Investigation of the Itinerant Electron Ferromagnetism of Ni2+xMnGa1−x and Co2VGa Heusler Alloys
Abstract
1. Introduction
2. Materials and Methods
3. Results and Discussion
3.1. Results of the Magnetic Measurements of Ni2+xMnGa1−x
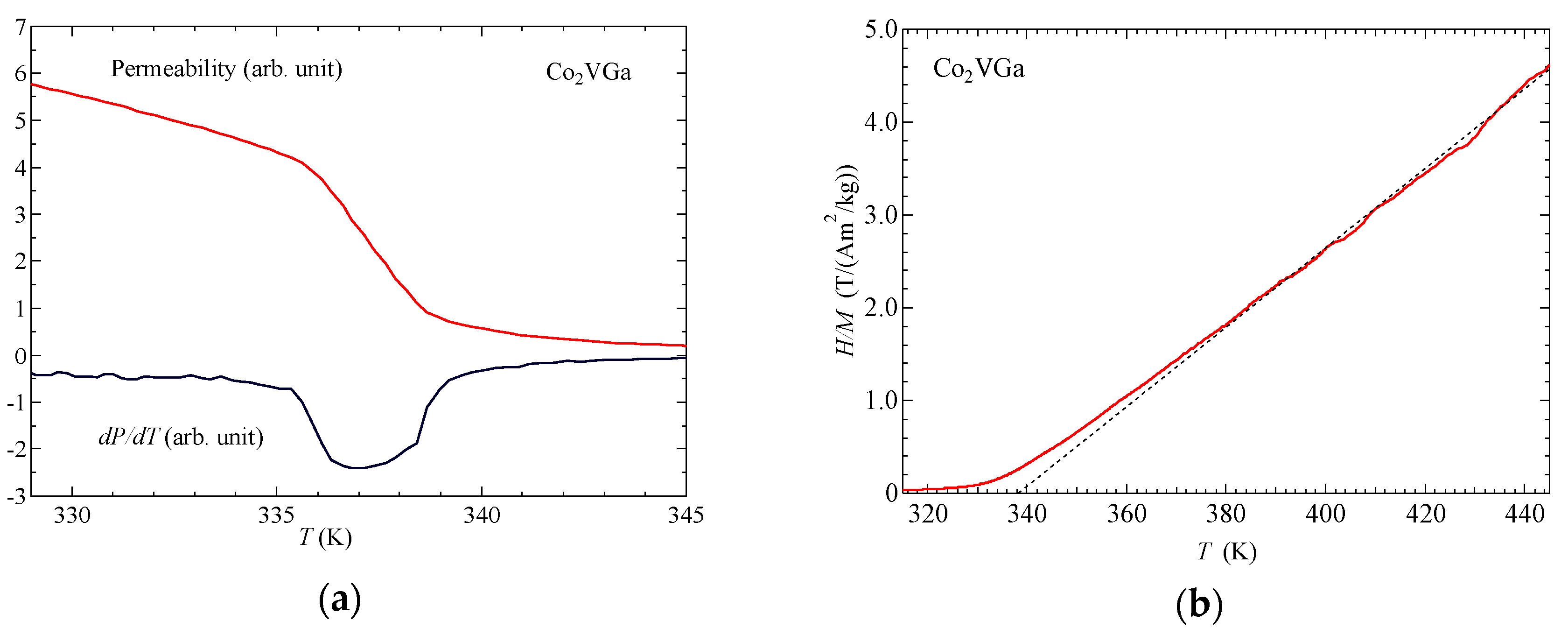
3.2. Results of the Magnetic Measurements of Half-Metallic Ferromagnet Co2VGa
3.3. Analysis According to the Takahashi Theory
3.4. Comparison between the Spontaneous Magnetic Moment at the Ground State, pS, and the Paramagnetic Magnetic Moment, pC, for HMFs
4. Conclusions
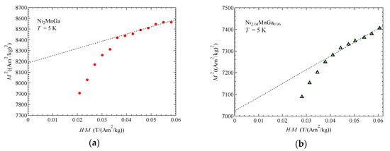
- As for Ni2+xMnGa1−x, the spin fluctuation parameters in k-space (momentum space, TA) and that in energy space (T0) obtained at TC and 5 K were almost the same within 10% error. This consequently indicates that the spin fluctuation parameters can be obtained from the H/M vs. M4 plot at TC and also from an Arrott plot (H/M vs. M2) at a low temperature of T << TC.
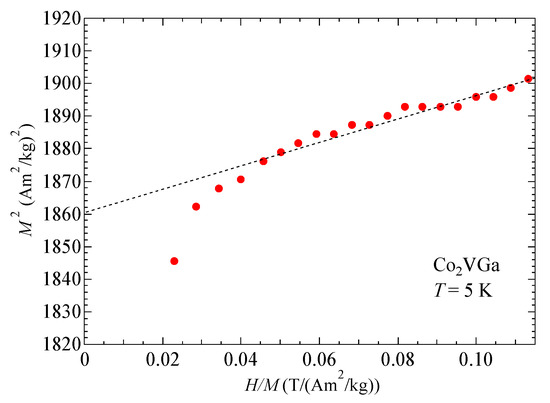
- As for Co2VGa, the H vs. M5 dependence was not shown at TC. TA and T0 were obtained by means of an Arrott plot at 5 K, which is well below TC = 337 K;
- In order to obtain a km value as defined in Equation 8, the magnetic susceptibility was measured, and the peff was obtained by means of Curie law. The km of Co2VGa (1.50) and Co2MnGa (1.57) were around 1.4, which was proposed in Takahashi’s theory. The generalized Rhodes–Wohlfarth plot of peff/pS versus TC/T0 indicated that the relationship between peff/pS and T0/TC for the ferromagnets, including Ni2+xMnGa1−x and HMFs of Co2VGa and Co2MnGa, followed Takahashi’s theory. In HMFs, the band for minority spin electrons has a gap at the Fermi level and indicates semi-metallic bands. On the other hand, for majority spin electrons, the Fermi level intersects the bands and represents metallic bands. The magnetic properties of the itinerant electron of these two HMFs alloys appeared in the majority bands and were confirmed by Takahashi’s theory;
- As for Ni2+xMnGa1−x and HFMs, we obtained the spontaneous magnetic moment at the ground state, pS, by an Arrott plot at 5 K, and the high temperature magnetic moment, pC, at the paramagnetic phase. The pC/pS was smaller than 1 for many Heusler alloys, which is a different property from the localized ferromagnets (pC/pS = 1), or, for weak itinerant electron ferromagnets (pC/pS > 1). A comparison between Co2VGa and Co2MnGa indicates that the alloy with a larger spin polarization showed a smaller pC/pS value. Further, an experimental investigation into the temperature dependence of spin polarization is needed to clarify the mechanism of shrinkage of the magnetic moments in the paramagnetic phase at a high temperature.
Author Contributions
Funding
Acknowledgments
Conflicts of Interest
References
- Moriya, T. Spin Fluctuations in Itinerant Electron Magnetism; Springer: Berlin, Germany, 1985; ISBN 978-3-642-82499-9. [Google Scholar]
- Moriya, T.; Kawabata, A. Effect of Spin Fluctuations on Itinerant Electron Ferromagnetism. J. Phys. Soc. Jpn. 1973, 34, 639–651. [Google Scholar] [CrossRef]
- Moriya, T.; Kawabata, A. Effect of Spin Fluctuations on Itinerant Electron Ferromagnetism. II. J. Phys. Soc. Jpn. 1973, 35, 669–676. [Google Scholar] [CrossRef]
- Takahashi, Y. On the origin of the Curie Weiss law of the magnetic susceptibility in itinerant electron ferromagnetism. J. Phys. Soc. Jpn. 1986, 55, 3553–3573. [Google Scholar] [CrossRef]
- Takahashi, Y. Theoretical Development in Itinerant Electron Ferromagnetism. J. Phys. Conf. Ser. 2017, 868, 012002. [Google Scholar] [CrossRef]
- Takahashi, Y.; Nakano, H. Magnetovolume effect of itinerant electron ferromagnets. J. Phys. Cond. Matter. 2006, 18, 521. [Google Scholar] [CrossRef]
- Takahashi, Y. Spin Fluctuation Theory of Itinerant Electron Magnetism; Springer: Berlin, Germany, 2013; ISBN 978-3-642-36666-6. [Google Scholar]
- Sakon, T.; Hayashi, Y.; Fujimoto, N.; Kanomata, T.; Nojiri, H.; Adachi, Y. Forced magnetostriction of ferromagnetic Heusler alloy Ni2MnGa at the Curie temperature. J. Appl. Phys. 2018, 123, 213902. [Google Scholar] [CrossRef]
- Sakon, T.; Hayashi, Y.; Li, D.X.; Honda, F.; Oomi, G.; Narumi, Y.; Hagiwara, M.; Kanomata, T.; Eto, T. Forced Magnetostrictions and Magnetizations of Ni2+xMnGa1−x at Its Curie Temperature. Materials 2018, 11, 2115. [Google Scholar] [CrossRef]
- Matsunaga, M.; Ishikawa, Y.; Nakajima, T. Magneto-volume effect in the weak itinerant ferromagnet MnSi. J. Phys. Soc. Jpn. 1982, 51, 1153. [Google Scholar] [CrossRef]
- Rizal, C.; Kolthammer, J.; Pokharel, R.K.; Choi, B.C. Magnetic properties of nanostructured Fe-Co alloys. J. Appl. Phys. 2013, 113, 113905. [Google Scholar] [CrossRef]
- Nishihara, H.; Harada, T.; Kanomata, T.; Wada, T. Magnetization process near the Curie temperature of an itinerant ferromagnet CoS2. J. Phys. Conf. Ser. 2012, 400, 032068. [Google Scholar] [CrossRef]
- Nishihara, H.; Komiyama, K.; Oguro, I.; Kanomata, T.; Chernenko, V. Magnetization processes near the Curie temperatures of the itinerant ferromagnets, Ni2MnGa and pure nickel. J. Alloys Compd. 2007, 442, 191–193. [Google Scholar] [CrossRef]
- Tateiwa, N.; Pospíšil, J.; Haga, Y.; Sakai, H.; Matsuda, T.D.; Yamamoto, E. Itinerant ferromagnetism in actinide 5f-electron systems: Phenomenological analysis with spin fluctuation theory. Phys. Rev. B 2017, 96, 035125. [Google Scholar] [CrossRef]
- Webster, P.J.; Ziebeck, K.R.A.; Town, S.L.; Peak, M.S. Magnetic order and phase transition in Ni2MnGa. Philos. Mag. B. 1984, 49, 295–310. [Google Scholar] [CrossRef]
- Umetsu, R.Y.; Kobayashi, K.; Fijita, A.; Kainuma, R.; Ishida, K.; Fukamichi, K.; Sakuma, A. Magnetic properties, phase stability, electric structure, and half-metallicity of L21-type Co2 (V1−xMnx)Ga Heusler alloys. Phys. Rev. B 2008, 77, 104422. [Google Scholar] [CrossRef]
- Nishihara, H.; Furutani, Y.; Wada, T.; Kanomata, T.; Kobayashi, K.; Kainuma, R.; Ishida, K.; Yamauchi, T. Magnetization Process near the Curie Temperature of a Ferromagnetic Heusler Alloy Co2VGa. J. Supercond. Nov. Magn. 2011, 24, 679–681. [Google Scholar] [CrossRef]
- Seeger, M.; Kaul, S.N.; Kronmüller, H.; Reisser, R. Asymptotic critical behavior of Ni. Phys. Rev. B 1995, 51, 12585. [Google Scholar] [CrossRef]
- Ido, H.; Yasuda, S. Magnetic properties of Co-Heusler and related mixed alloys. J. Phys. Colloques (Paris) 1988, 49, C8-141–C8-142. [Google Scholar] [CrossRef]
- De Boer, F.R.; Biesterbos, J.; Schinkel, C.J. Ferromagnetism in the intermetallic phase Ni3Al. Phys. Lett. A 1969, 24, 355–357. [Google Scholar] [CrossRef]
- Yoshimura, K.; Takigawa, M.; Takahashi, Y.; Yasuoka, H.; Nakamura, Y. NMR Study of Weakly Itinerant Ferromagnetic Y(Co1−xAlx)2. J. Phys. Soc. Jpn. 1987, 56, 1138–1155. [Google Scholar] [CrossRef]
- Ogawa, S. Electrical Resistivity of Weak Itinerant Ferromagnet ZrZn2. J. Phys. Soc. Jpn. 1976, 40, 1007–1009. [Google Scholar] [CrossRef]
- Miyahara, S. Magnetic Properties of FeS2 and CoS2. J. Appl. Phys. 1968, 39, 896–897. [Google Scholar] [CrossRef]
- Sato, N.K.; Deguchi, K.; Imura, K.; Kabeya, N.; Tamura, N.; Yamamoto, K. Correlation of Ferromagnetism and Superconductivity in UCoGe. AIP Conf. Proc. 2011, 1347, 132–137. [Google Scholar] [CrossRef]
- Aoki, D.; Haga, Y.; Homma, Y.; Sakai, H.; Ikeda, S.; Shiokawa, Y.; Yamamoto, E.; Nakamura, A.; Onuki, Y. First single crystal growth of the Transuranium filled-Skutterudite compound NpFe4P12 and its magnetic and electrical properties. J. Phys. Soc. Jpn. 2006, 75, 073073. [Google Scholar] [CrossRef]
- Rhodes, P.; Wohlfarth, E.P. The effective Curie-Weiss constant of ferromagnetic metals and alloys. Proc. Roy. Soc. A 1963, 273, 247–258. [Google Scholar] [CrossRef]
- Otto, M.J.; van Woerden, R.A.M.; van der Valk, P.J.; Wijngaard, J.; van Bruggen, C.F.; Haas, C.; Buschow, K.H.J. Half-metallic ferromagnets. I. Structure and magnetic properties of NiMnSb and related inter-metallic compounds. J. Phys. Cond. Mater. 1989, 1, 2341–2350. [Google Scholar] [CrossRef]
- Webster, P.J.; Ramadan, M.R.I. Magnetic order in Palladium-based Heusler alloys Part 1: Pd2MnIn1−xSnx and Pd2MnIn1−xSbx. J. Magn. Magn. Mater. 1977, 5, 51–59. [Google Scholar] [CrossRef]
- Dong, X.Y.; Adelmann, C.; Xie, J.Q.; Palmstrøm, C.J.; Low, X.; Strand, J.; Crowell, P.A.; Barnes, J.-P.; Petford-Long, A.K. Spin injection from the Heusler alloy Co2MnGe into Al0.1Ga0.9As/GaAs heterostructures. Appl. Phys. Lett. 2005, 86, 102107. [Google Scholar] [CrossRef]
- Ido, H. Induced magnetic moment on Co below TC in the ferromagnetic Heusler-type alloys Co2MnX (X = Si, Ge and Sn). J. Magn. Magn. Mater. 1986, 54–57, 937–938. [Google Scholar] [CrossRef]
- Uhl, E. Magnetization of two new series of Heusler alloys: (Rh1−xCox)2MnSn and (Rh1−xNix)2MnSn. J. Magn. Magn. Mater. 1985, 49, 101–105. [Google Scholar] [CrossRef]
- Deka, B.; Chakraborty, D.; Srinivasan, A. Magnetic properties of Co2Fe(Ga1−xSix) alloys. Physica B 2014, 448, 173–176. [Google Scholar] [CrossRef]
- Kanomata, T.; Shirakawa, K.; Kaneko, T. Effect of hydrostatic pressure on the Curie temperature of the Heusler alloys Ni2MnZ (Z = Al, Ga, In Sn and Sb). J. Magn. Magn. Mater. 1987, 65, 76–82. [Google Scholar] [CrossRef]
- Webster, P.J. Heusler alloys. Contemp. Phys. 1969, 10, 559–577. [Google Scholar] [CrossRef]






| Sample | pS (μB/f. u.) | peff (μB/f. u.) | TC (K) | TA (K) (5 K) | TA (K) (TC) [9] | T0 (K) (5 K) | T0 (K) (TC) [9] |
|---|---|---|---|---|---|---|---|
| Ni2MnGa | 3.93 | 4.75 | 375 | 556 | 563 | 254 | 245 |
| Ni2.02MnGa0.98 | 3.79 | 4.72 | 372 | 580 | 566 | 269 | 288 |
| Ni2.04MnGa0.96 | 3.64 | 4.68 | 366 | 583 | 567 | 316 | 345 |
| TC (K) | peff (μB) | pS (μB) | peff/pS | TA (K) | T0 (K) | TC/T0 | km | Reference 1 | |
|---|---|---|---|---|---|---|---|---|---|
| Ni2MnGa | 375 | 4.75 * | 3.93 | 1.21 | 563 | 245 | 1.53 | 1.61 | This work *, [9] |
| Ni2.02MnGa0.98 | 372 | 4.72 * | 3.79 | 1.25 | 566 | 288 | 1.29 | 1.48 | This work *, [9] |
| Ni2.04MnGa0.96 | 366 | 4.68 * | 3.64 | 1.28 | 567 | 345 | 1.06 | 1.34 | This work *, [9] |
| Co2VGa | 337 | 2.06 | 1.87 | 1.10 | 2258 | 213 | 1.58 | 1.50 | This work |
| Co2MnGa | 695 | 4.16 | 4.09 | 1.02 | 1,037 | 364 | 1.91 | 1.57 | [16,19] |
| Ni | 623 | 3.3 | 0.6 | 5.5 | 1.76 × 104 | 4.83 × 103 | 0.129 | 1.41 | [13] |
| MnSi | 30 | 2.25 | 0.4 | 5.6 | 2.18 × 103 | 155 | 0.194 | 1.88 | [7,10] |
| Ni3Al | 41.5 | 1.3 | 0.075 | 17.3 | 3.67 × 104 | 2.76 × 103 | 0.015 | 1.06 | [7,20] |
| Y(Co0.85Al0.15)2 | 26 | 2.15 | 0.138 | 15.6 | 7.26× 103 | 1.41× 103 | 0.018 | 1.08 | [7,21] |
| ZrZn2 | 21.3 | 1.44 | 0.12 | 12 | 7.4× 103 | 1390 | 0.015 | 0.74 | [7,22] |
| CoS2 | 120 | 1.72 | 0.98 | 1.76 | 2.20× 103 | 294 | 0.41 | 0.96 | [12,23] |
| UCoGe | 2.4 | 1.93 | 0.039 | 49.5 | 5.92 × 103 | 362 | 0.0065 | 1.74 | [7,24] |
| UGe2 | 52.6 | 3.00 | 1.41 | 2.13 | 442 | 92.2 | 0.571 | 1.61 | [14] |
| NpFe4P12 | 23 | 1.55 | 1.35 | 1.15 | 285 | 16.4 | 1.40 | 1.44 | [14,25] |
| Sample | TC (K) | pS (μB/f.u.) | peff (μB/f.u.) | pC (μB/f.u.) | pC/pS | Reference |
|---|---|---|---|---|---|---|
| Ni2MnGa | 375 | 3.93 | 4.75 * | 3.85 | 0.980 | This work *, [9] |
| Ni2.02MnGa0.98 | 372 | 3.79 | 4.72 * | 3.82 | 1.01 | This work *, [9] |
| Ni2.04MnGa0.96 | 366 | 3.64 | 4.68 * | 3.79 | 1.04 | This work *, [9] |
| Co2VGa | 337 | 1.87 | 2.06 | 1.30 | 0.70 | This work |
| Co2MnSi | 1034 | 5.01 | 2.86 | 2.03 | 0.41 | [30] |
| Co2MnGe | 905 | 4.76 | 3.70 | 2.82 | 0.56 | [30] |
| Co2MnSn | 825 | 5.02 | 5.29 | 4.38 | 0.87 | [31] |
| Co2MnGa | 695 | 4.09 | 4.16 | 3.28 | 0.80 | [19] |
| Co2FeSi | 1015 | 5.42 (300 K) | 5.65 | 4.74 | 0.875 | [32] |
| Co2FeGa | 1089 | 5.05 (300 K) | 4.59 | 3.69 | 0.730 | [32] |
| CoMnSb | 478 | 4.2 | 4.0–4.6 | 3.1-3.7 | 0.74–0.88 | [27] |
| NiMnSb | 728 | 4.2 | 2.9–4.2 | 2.1-3.3 | 0.69–0.79 | [27] |
| PtMnSb | 572 | 3.96 | 4.3–4.9 | 3.4-4.0 | 0.86–1.01 | [27] |
| Ni2MnIn | 315 | 4.4 | 4.69 | 3.80 | 0.86 | [33,34] |
| Rh2MnSn | 410 | 4.14 | 4.83 | 3.93 | 0.95 | [31] |
| Pd2MnSn | 189 | 4.23 | 4.70 | 3.81 | 0.90 | [28] |
| Pd2MnSb | 255 | 4.40 | 4.8 | 3.9 | 0.89 | [28] |
© 2019 by the authors. Licensee MDPI, Basel, Switzerland. This article is an open access article distributed under the terms and conditions of the Creative Commons Attribution (CC BY) license (http://creativecommons.org/licenses/by/4.0/).
Share and Cite
Sakon, T.; Hayashi, Y.; Fukuya, A.; Li, D.; Honda, F.; Umetsu, R.Y.; Xu, X.; Oomi, G.; Kanomata, T.; Eto, T. Investigation of the Itinerant Electron Ferromagnetism of Ni2+xMnGa1−x and Co2VGa Heusler Alloys. Materials 2019, 12, 575. https://doi.org/10.3390/ma12040575
Sakon T, Hayashi Y, Fukuya A, Li D, Honda F, Umetsu RY, Xu X, Oomi G, Kanomata T, Eto T. Investigation of the Itinerant Electron Ferromagnetism of Ni2+xMnGa1−x and Co2VGa Heusler Alloys. Materials. 2019; 12(4):575. https://doi.org/10.3390/ma12040575
Chicago/Turabian StyleSakon, Takuo, Yuhi Hayashi, Akihito Fukuya, Dexin Li, Fuminori Honda, Rie Y. Umetsu, Xiao Xu, Gendo Oomi, Takeshi Kanomata, and Tetsujiro Eto. 2019. "Investigation of the Itinerant Electron Ferromagnetism of Ni2+xMnGa1−x and Co2VGa Heusler Alloys" Materials 12, no. 4: 575. https://doi.org/10.3390/ma12040575
APA StyleSakon, T., Hayashi, Y., Fukuya, A., Li, D., Honda, F., Umetsu, R. Y., Xu, X., Oomi, G., Kanomata, T., & Eto, T. (2019). Investigation of the Itinerant Electron Ferromagnetism of Ni2+xMnGa1−x and Co2VGa Heusler Alloys. Materials, 12(4), 575. https://doi.org/10.3390/ma12040575
