Temporary Inhibition of the Corrosion of AZ31B Magnesium Alloy by Formation of Bacillus subtilis Biofilm in Artificial Seawater
Abstract
:1. Introduction
2. Materials and Methods
2.1. Bacterium and Medium
2.2. Material and Specimen
2.3. Scanning Electron Microscopy/Energy Dispersive X-ray Spectra Analysis (SEM & EDS)
2.4. Electrochemical Techniques
2.4.1. Electrochemical Corrosion
2.4.2. Electron Transfer Property
2.5. Ultraviolet-Visible Spectroscopy Analysis (UV-VIS)
2.6. Fourier Transform Infrared Spectroscopy Analysis (FTIR)
3. Results
3.1. SEM & EDS
3.2. Electrochemical Corrosion
3.2.1. OCP
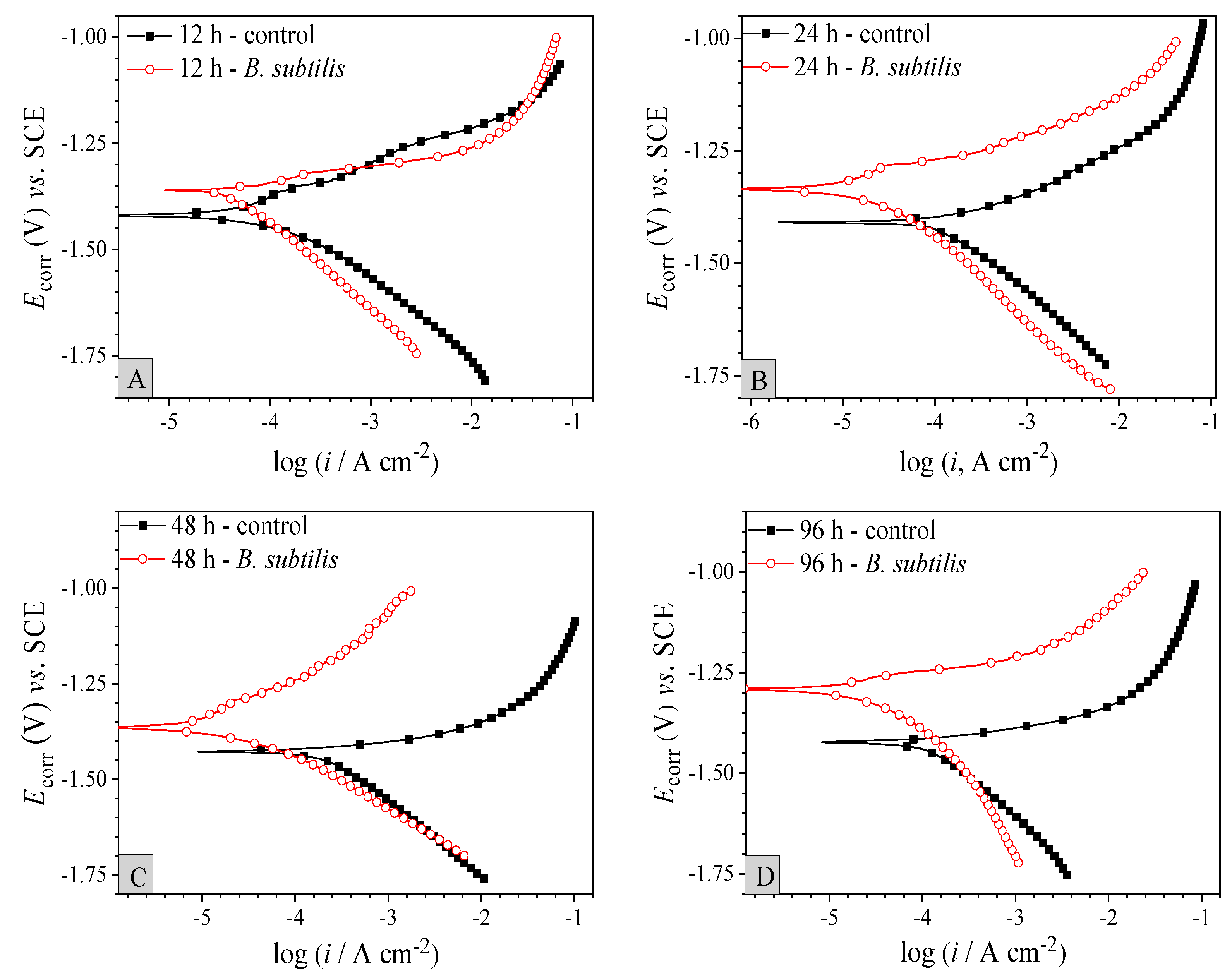
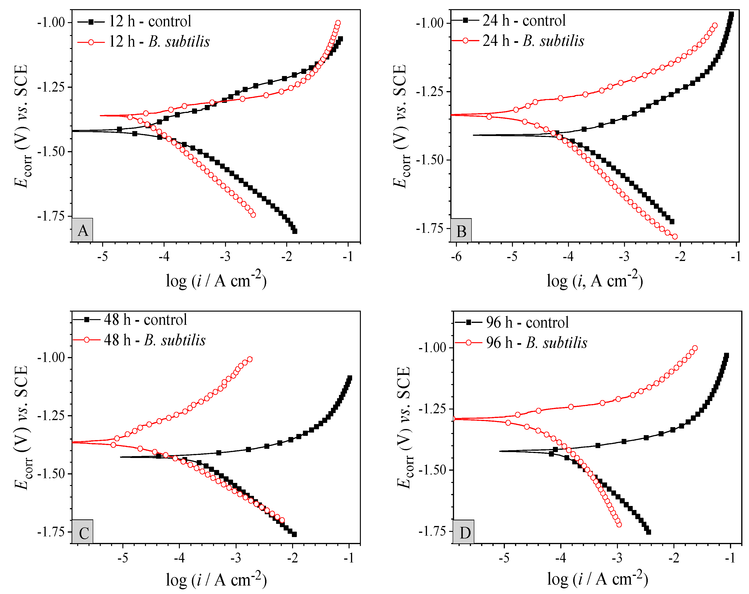
3.2.2. Potentiodynamic Polarization
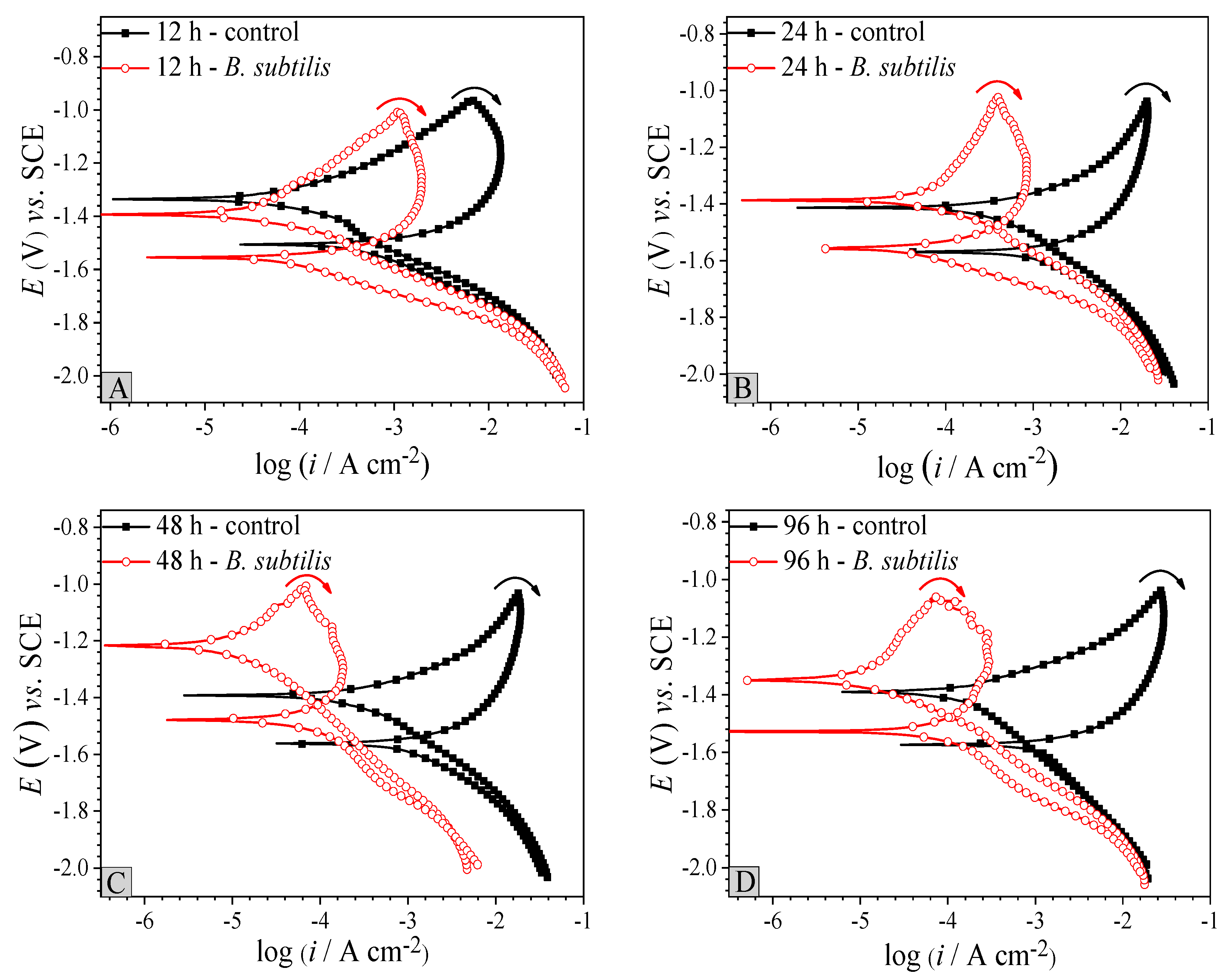
3.2.3. Cyclic Polarization
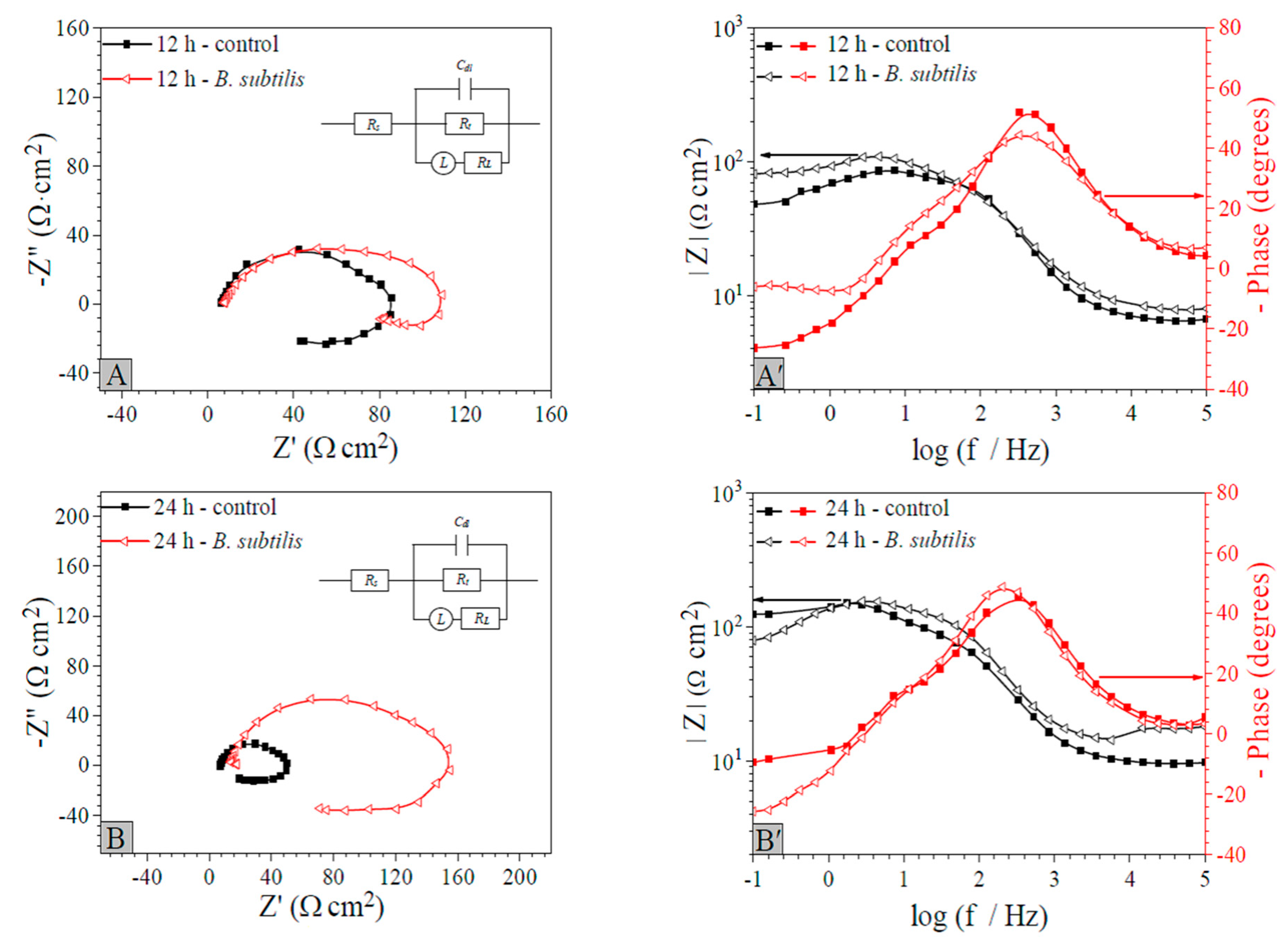
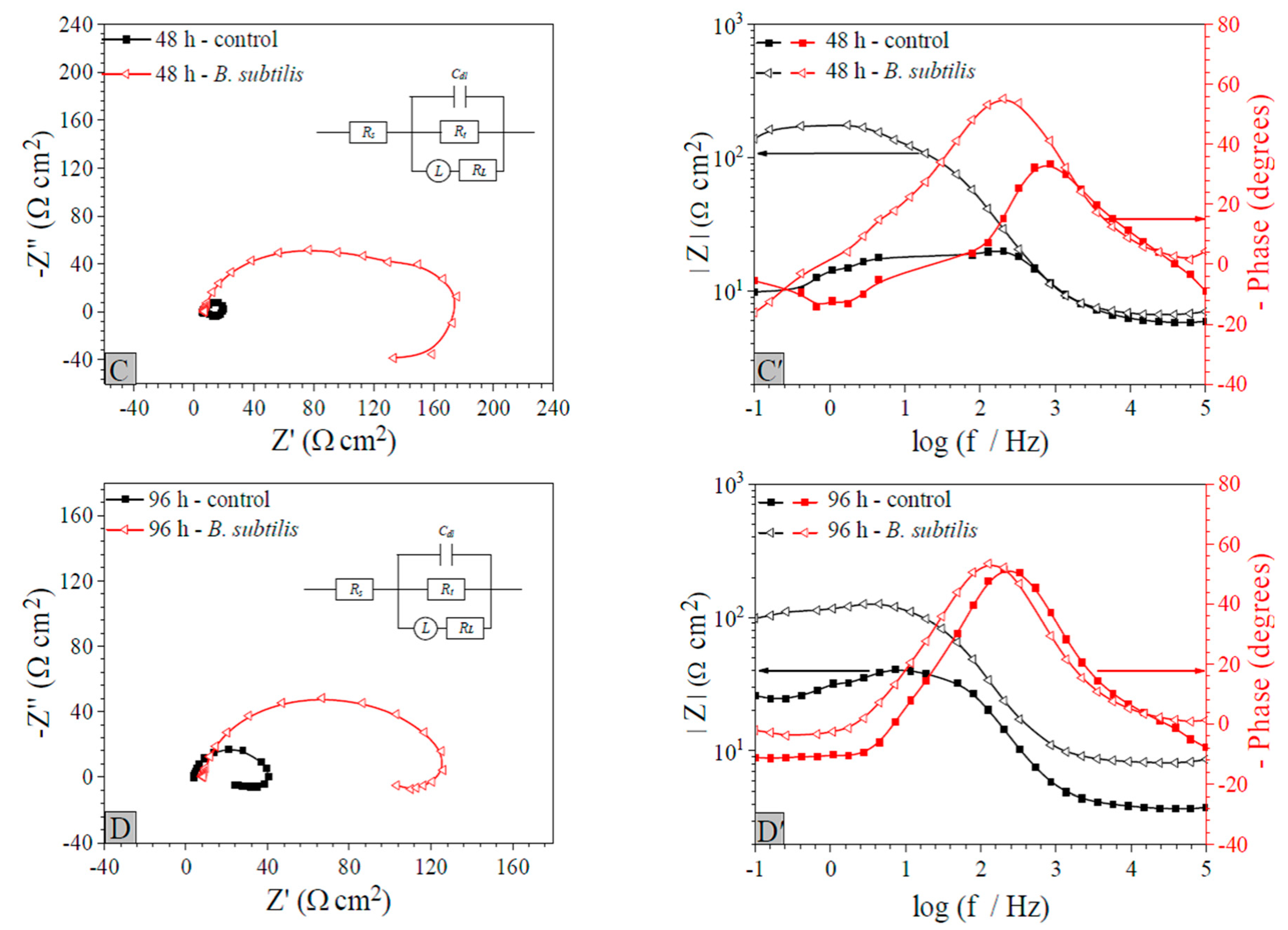
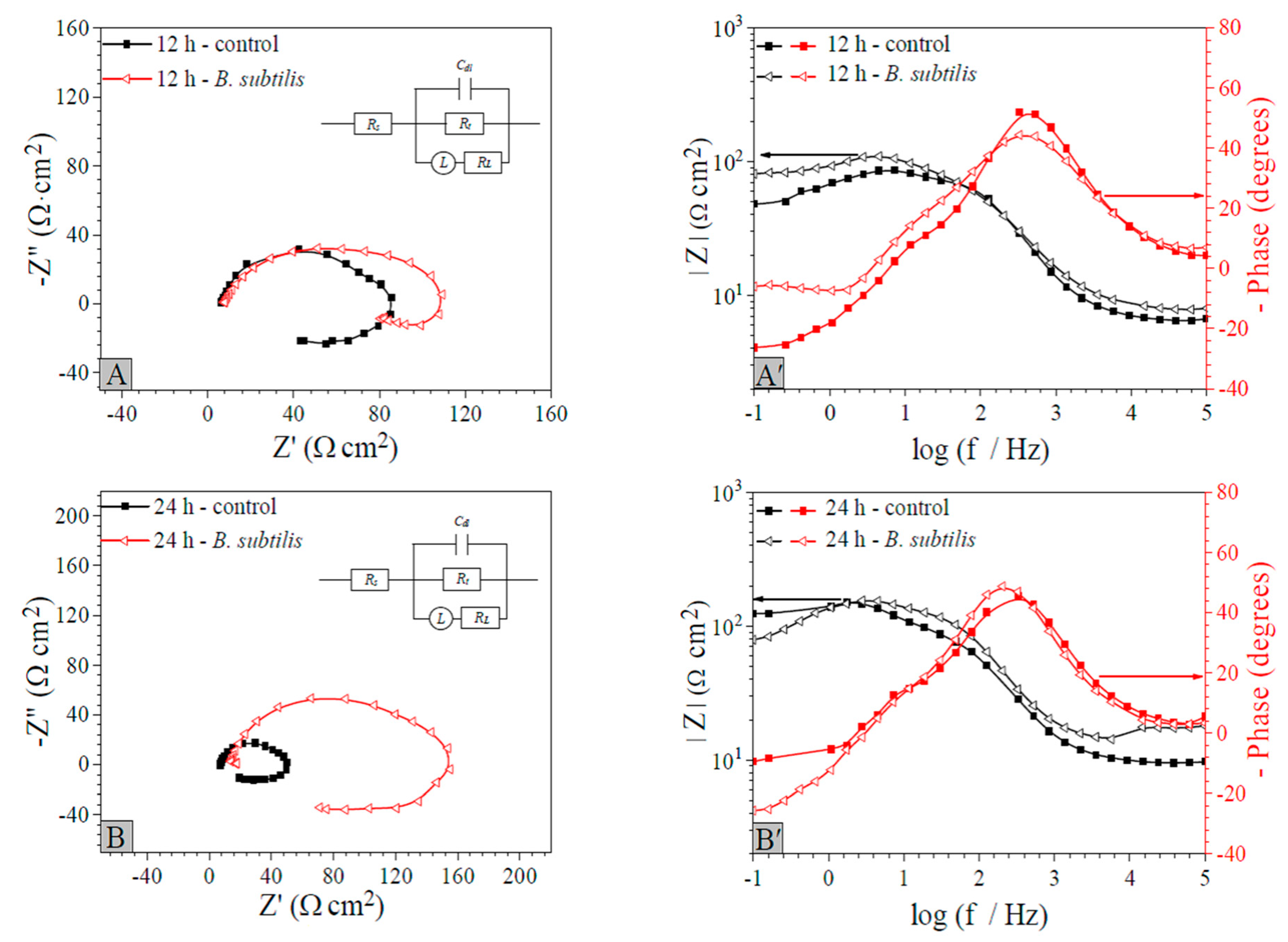
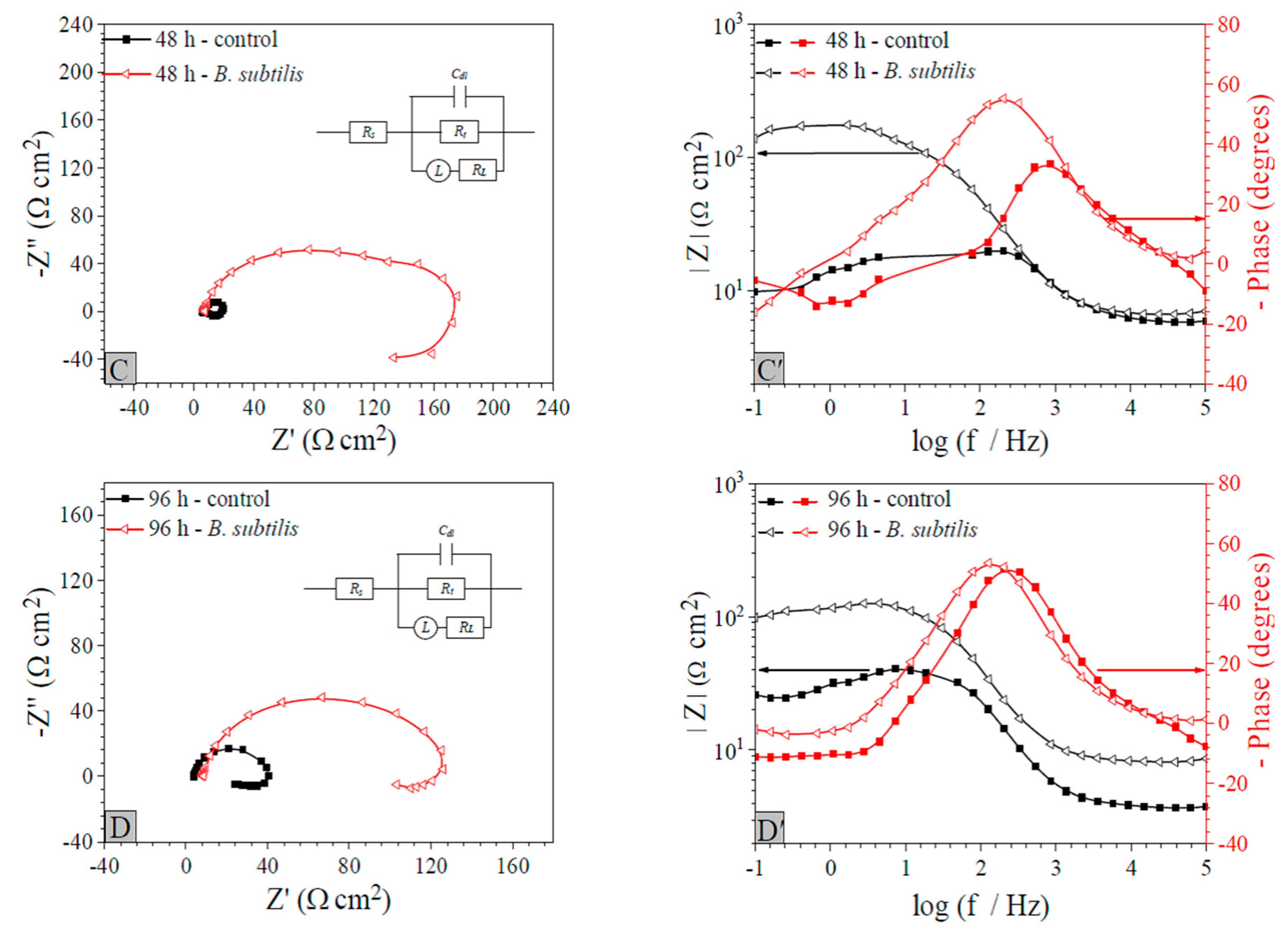
3.2.4. EIS
3.3. Electron Transfer Property
3.4. UV-VIS
3.5. FTIR
4. Discussion
5. Conclusions
Supplementary Materials
Author Contributions
Funding
Conflicts of Interest
References
- Jia, R.; Unsal, T.; Xu, D.K.; Lekbach, Y.; Gu, T.Y. Microbiologically influenced corrosion and current mitigation strategies: A state of the art review. Int. Biodeterior. Biodegrad. 2018, 125, 116–124. [Google Scholar] [CrossRef]
- Mansfeld, F. The interaction of bacteria and metal surfaces. Electrochim. Acta 2007, 52, 7670–7680. [Google Scholar] [CrossRef]
- Mansfeld, F.; Hsu, H.; Örnek, D.; Wood, T.K.; Syrettc, B.C. Corrosion control using regenerative biofilms on Aluminum 2024 and Brass in different media. J. Electrochem. Soc. 2002, 149, B130–B138. [Google Scholar] [CrossRef]
- Li, S.L.; Li, L.; Qu, Q.; Kang, Y.X.; Zhu, B.L.; Yu, D.T.; Huang, R. Extracellular electron transfer of Bacillus cereus biofilm and its effect on the corrosion behaviour of 316L stainless steel. Colloid Surf. B 2019, 173, 139–147. [Google Scholar] [CrossRef] [PubMed]
- Li, L.; Li, S.L.; Qu, Q.; Zuo, L.M.; He, Y.; Zhu, B.L.; Li, C. Streptococcus Sanguis biofilm architecture and its influence on titanium corrosion in enriched artificial saliva. Materials 2017, 10, 255. [Google Scholar] [CrossRef]
- Vigneron, A.; Head, I.M.; Tsesmetzis, N. Damage to offshore production facilities by corrosive microbial biofilms. Appl. Microbiol. Biotechnol. 2018, 102, 2525–2533. [Google Scholar] [CrossRef] [PubMed]
- San, N.O.; Nazır, H.; Dönmez, G. Microbially influenced corrosion and inhibition of nickel-zinc and nickel-copper coatings by Pseudomonas aeruginosa. Corros. Sci. 2014, 79, 177–183. [Google Scholar] [CrossRef]
- Guo, Z.W.; Liu, T.; Cheng, Y.F.; Guo, N.; Yin, Y.S. Adhesion of Bacillus subtilis and Pseudoalteromonas lipolytica to steel in a seawater environment and their effects on corrosion. Colloids Surf. B 2017, 157, 157–165. [Google Scholar] [CrossRef]
- Duan, J.Z.; Wu, S.R.; Zhang, X.J.; Huang, G.Q.; Du, M.; Hou, B.R. Corrosion of carbon steel influenced by anaerobic biofilm in natural seawater. Electrochim. Acta 2008, 54, 22–28. [Google Scholar] [CrossRef]
- Batmanghelich, F.; Li, L.; Seo, Y. Influence of multispecies biofilms of Pseudomonas aeruginosa and Desulfovibrio vulgaris on the corrosion of cast iron. Corros. Sci. 2017, 121, 94–104. [Google Scholar] [CrossRef]
- Örnek, D.; Wood, T.K.; Hsu, C.H.; Mansfeld, F. Corrosion control using regenerative biofilms (CCURB) on brass in different media. Corros. Sci. 2002, 44, 2291–2302. [Google Scholar] [CrossRef]
- Abriouel, H.; Franz, C.M.; Ben Omar, N.; Gálvez, A. Diversity and applications of Bacillus bacteriocins. FEMS Microbiol. Rev. 2011, 35, 201–232. [Google Scholar] [CrossRef] [PubMed]
- Ivanova, E.P.; Vysotskii, M.V.; Svetashev, V.I.; Nedashkovskaya, O.I.; Gorshkova, N.M.; Mikhailov, V.V.; Yumoto, N.; Shigeri, Y.; Taguchi, T.; Yoshikawa, S. Characterization of Bacillus strains of marine origin. Int. Microbiol. 1999, 2, 267–271. [Google Scholar] [PubMed]
- Siefert, J.L.; Larios Sanz, M.; Nakamura, L.K.; Slepecky, R.A.; Paul, J.H.; Moore, E.R.; Fox, G.E.; Jurtshuk, P. Phylogeny of marine Bacillus isolates from the Gulf of Mexico. Curr. Microbiol. 2000, 41, 84–88. [Google Scholar] [CrossRef]
- Miranda, C.A.; Martins, O.B.; Clementino, M.M. Specieslevel identification of Bacillus strains isolates from marine sediments by conventional biochemical, 16S rRNA gene sequencing and inter-tRNA gene sequence lengths analysis. Antonie Van Leeuwenhoek 2008, 93, 297–304. [Google Scholar] [CrossRef]
- Qu, Q.; He, Y.; Wang, L.; Xu, H.T.; Li, L.; Chen, Y.J.; Ding, Z.T. Corrosion behavior of cold rolled steel in artificial seawater in the presence of Bacillus subtilis C2. Corros. Sci. 2015, 91, 321–329. [Google Scholar] [CrossRef]
- Örnek, D.; Jayaraman, A.; Wood, T.K.; Sun, Z.; Hsu, C.H.; Mansfeld, F. Pitting corrosion control using regenerative biofims on aluminium 2024 in artificial seawater. Corros. Sci. 2001, 43, 2121–2133. [Google Scholar] [CrossRef]
- Abdoli, L.; Suo, X.K.; Li, H. Distinctive colonization of Bacillus sp. bacteria and the influence of the bacterial biofilm on electrochemical behaviors of aluminum coatings. Colloids Surf. B 2016, 145, 688–694. [Google Scholar] [CrossRef]
- Wadood, H.Z.; Rajasekar, A.; Ting, Y.P.; Sabari, A.N. Role of Bacillus subtilis and Pseudomonas aeruginosa on corrosion behaviour of stainless steel. Arab. J. Sci. Eng. 2015, 40, 1825–1836. [Google Scholar] [CrossRef]
- Li, Y.; Liu, G.W.; Zhai, Z.J.; Liu, L.N.; Li, H.W.; Yang, K.; Tan, L.L.; Wan, P.; Liu, X.Q.; Ouyang, Z.X.; et al. Antibacterial properties of magnesium in vitro and in an in vivo model of implant associated methicillin-resistant Staphylococcus aureus infection. Antimicrob. Antimicrob. Agents Chemother. 2014, 58, 7586–7591. [Google Scholar] [CrossRef]
- Qin, H.; Zhao, Y.C.; An, Z.Q.; Cheng, M.Q.; Wang, Q.; Cheng, T.; Wang, Q.J.; Wang, J.X.; Jiang, Y.; Zhang, X.L.; et al. Enhanced antibacterial properties, biocompatibility, and corrosion resistance of degradable Mg-Nd-Zn-Zr alloy. Biomaterials 2015, 53, 211–220. [Google Scholar] [CrossRef] [PubMed]
- Tie, D.; Feyerabend, F.; Müller, W.D.; Schade, R.; Liefeith, K.; Kainer, K.U.; Willumeit, R. Antibacterial Biodegradable Mg-Ag Alloys. Eur. Cells Mater. 2013, 25, 284–298. [Google Scholar] [CrossRef]
- Bbott, T.B. Magnesium: Industrial and research developments over the last 15 years. Corrosion 2015, 71, 120–127. [Google Scholar]
- Aghion, E.; Bronfin, B. Magnesium alloys development towards the 21st century. Mater. Sci. Forum 2000, 350–351, 19–30. [Google Scholar] [CrossRef]
- Liu, J.H.; Song, Y.W.; Shan, D.Y.; Han, E.H. Different microgalvanic corrosion behavior of cast and extruded EW75 Mg alloys. J. Electrochem. Soc. 2016, 163, C856–C863. [Google Scholar] [CrossRef]
- Arrabal, R.; Pardo, A.; Merino, M.C.; Mohedano, M.; Casajús, P.; Merino, S. Al/SiC thermal spray coatings for corrosion protection of Mg-Al alloys in humid and saline environments. Surf. Coat. Technol. 2010, 204, 2767–2774. [Google Scholar] [CrossRef]
- Zhang, J.; Hiromoto, S.; Yamazaki, T.; Niu, J.L.; Huang, H.; Jia, G.Z.; Li, H.Y.; Ding, W.J.; Yuan, G.Y. Effect of macrophages on in vitro corrosion behavior of magnesium alloy. J. Biomed. Mater. Res. A 2016, 104, 2476–2487. [Google Scholar] [CrossRef] [PubMed]
- Xin, Y.; Hu, T.; Chu, P.K. In vitro studies of biomedical magnesium alloys in a simulated physiological environment: A review. Acta Biomater. 2011, 7, 1452–1459. [Google Scholar] [CrossRef]
- Hornberger, H.; Virtanen, S.; Boccaccini, A.R. Biomedical coatings on magnesium alloys-A review. Acta Biomater. 2012, 8, 2442–2455. [Google Scholar] [CrossRef]
- Zhang, S.Y.; Li, Q.; Chen, B.; Xu, S.Q.; Fan, J.M.; Luo, F. Electrodeposition of zinc on AZ91D magnesium alloy pre-treated by stannate conversion coatings. Mater. Corros. 2010, 61, 860–865. [Google Scholar] [CrossRef]
- LindstrÖm, R.; Johansson, L.G.; Svensson, J.E. The influence of NaCl and CO2 on the atmospheric corrosion of magnesium alloy AZ91. Mater. Corros. 2003, 54, 587–594. [Google Scholar] [CrossRef]
- Liao, J.S.; Hotta, M. Corrosion products of field-exposed Mg-Al series magnesium alloys. Corros. Sci. 2016, 112, 276–288. [Google Scholar] [CrossRef]
- Merino, M.C.; Pardo, A.; Arrabal, R.; Merino, S.; Casajús, P.; Mohedano, M. Influence of chloride ion concentration and temperature on the corrosion of Mg-Al alloys in salt fog. Corros. Sci. 2010, 52, 1696–1704. [Google Scholar] [CrossRef]
- Liu, Y.H.; Wang, Q.; Song, Y.L.; Zhang, D.W.; Yu, S.R.; Zhu, X.Y. A study on the corrosion behavior of Ce-modified cast AZ91 magnesium alloy in the presence of sulfate-reducing bacteria. J. Alloys Compd. 2009, 473, 550–556. [Google Scholar] [CrossRef]
- Zhu, X.Y.; Liu, Y.H.; Wang, Q.; Liu, J.A. Influence of sulfate-reducing bacteria on the corrosion residual strength of an AZ91D magnesium alloy. Materials 2014, 7, 7118–7129. [Google Scholar] [CrossRef] [PubMed]
- Cui, Y.Y.; Li, J.; Ding, Q.M. Research of microorganism corrosion properties of 2024-T31 Aluminum-Magnesium alloy in Oil-Water system. Int. J. Corros. 2017, 2017, 1–9. [Google Scholar] [CrossRef]
- Qu, Q.; Li, S.; Li, L.; Zuo, L.; Ran, X.; Qu, Y.; Zhu, B. Adsorption and corrosion behaviour of Trichoderma harzianum for AZ31B magnesium alloy in artificial seawater. Corros. Sci. 2017, 118, 12–23. [Google Scholar] [CrossRef]
- Qu, Q.; Wang, L.; Li, L.; He, Y.; Yang, M.; Ding, Z.T. Effect of the fungus, Aspergillus niger, on the corrosion behaviour of AZ31B magnesium alloy in artificial seawater. Corros. Sci. 2015, 98, 249–259. [Google Scholar] [CrossRef]
- Flemming, H.C.; Neu, T.R.; Wozniak, D.J. The EPS matrix: The “house of biofilm cells”. J. Bacteriol. 2007, 189, 7945–7947. [Google Scholar] [CrossRef] [PubMed]
- Li, S.X.; Bacco, A.C.; Birbilis, N.; Cong, H.B. Passivation and potential fluctuation of Mg alloy AZ31B in alkaline environments. Corros. Sci. 2016, 112, 596–610. [Google Scholar] [CrossRef]
- Poursaee, A. Determining the appropriate scan rate to perform cyclic polarization test on the steel bars in concrete. Electrochim. Acta 2010, 55, 1200–1206. [Google Scholar] [CrossRef]
- Itagaki, M.; Suzuki, T.; Watanabe, K. Anodic dissolution of Fe-Mo in sulfuric acid solution as investigated by electrochemical impedance spectroscopy combined with channel flow double electrode. Corros. Sci. 1998, 40, 1255–1265. [Google Scholar] [CrossRef]
- Qu, Q.; Wang, L.; Chen, Y.J.; Li, L.; He, Y.; Ding, Z.T. Corrosion behavior of titanium in artificial saliva by lactic acid. Materials 2014, 7, 5528–5542. [Google Scholar] [CrossRef] [PubMed]
- Liu, H.W.; Gu, T.Y.; Asif, M.; Zhang, G.A.; Liu, H.F. The corrosion behavior and mechanism of carbon steel induced by extracellular polymeric substances of iron-oxidizing bacteria. Corros. Sci. 2017, 114, 102–111. [Google Scholar] [CrossRef]
- Yu, L.; Duan, J.Z.; Du, X.Q.; Huang, Y.L.; Hou, B.R. Accelerated anaerobic corrosion of electroactive sulfate-reducing bacteria by electrochemical impedance spectroscopy and chronoamperometry. Electrochem. Commun. 2013, 26, 101–104. [Google Scholar] [CrossRef]
- Chang, B.Y.; Park, S.M. Electrochemical impedance spectroscopy. Annu. Rev. Anal. Chem. 2010, 3, 207–229. [Google Scholar] [CrossRef] [PubMed]
- Li, Y.C.; Xu, D.K.; Chen, C.F.; Li, X.G.; Jia, R.; Zhang, D.W.; Sande, W.; Wang, F.H.; Gu, T.Y. Anaerobic microbiologically influenced corrosion mechanisms interpreted using bioenergetics and bioelectrochemistry: A review. J. Mater. Sci. Technol. 2018, 34, 1713–1718. [Google Scholar] [CrossRef]
- Jia, R.; Tan, J.L.; Jin, P.; Blackwoodb, D.J.; Xu, D.K.; Gu, T.Y. Effects of biogenic H2S on the microbiologically influenced corrosion of C1018 carbon steel by sulfate reducing Desulfovibrio vulgaris biofilm. Corros. Sci. 2018, 130, 1–11. [Google Scholar] [CrossRef]
- Huang, Y.; Zhou, E.Z.; Jiang, C.Y.; Jia, R.; Liu, S.J.; Xu, D.K.; Gu, T.Y.; Wang, F.H. Endogenous phenazine-1-carboxamide encoding gene PhzH regulated the extracellular electron transfer in biocorrosion of stainless steel by marine Pseudomonas aeruginosa. Electrochem. Commun. 2018, 94, 9–13. [Google Scholar] [CrossRef]
- Mageshwari, K.; Sathyamoorthy, R. Studies on photocatalytic performance of MgO nanoparticles prepared by wet chemical method. Trans. Indian Inst. Met. 2012, 65, 49–55. [Google Scholar] [CrossRef]
- Moradi, M.; Song, Z.L.; Tao, X. Introducing a novel bacterium Vibrio neocaledonicus sp., with the highest corrosion inhibition efficiency. Electrochem. Commun. 2015, 51, 64–68. [Google Scholar] [CrossRef]
- Dutta, A.; Bhattacharyya, S.; Kundu, A.; Dutta, D.; Das, A.K. Macroscopic amyloid fiber formation by Staphylococcal biofilm associated SuhB protein. Biophys. Chem. 2016, 217, 32–41. [Google Scholar] [CrossRef] [PubMed]
- San, N.O.; Nazır, H.; Dönmez, G. The effect of Aeromonas eucrenophila on microbiologically induced corrosion of nickel-zinc alloy. Int. Biodeter. Biodegr. 2013, 80, 34–40. [Google Scholar] [CrossRef]
- Naik, U.C.; Srivastava, S.; Thakur, I.S. Isolation and characterization of Bacillus cereus IST105 from electroplating effluent for detoxification of hexavalent chromium. Environ. Sci. Pollut. Res. 2012, 19, 3005–3014. [Google Scholar] [CrossRef] [PubMed]
- Peron, M.; Torgersen, J.; Berto, F. Mg and its alloys for biomedical applications: Exploring corrosion and its interplay with mechanical failure. Metals 2017, 7, 252. [Google Scholar] [CrossRef]
- Pestova, E.; Millichap, J.J.; Noskin, G.A.; Peterson, L.R. Intracellular targets of moxifloxacin: A comparison with other fluoroquinolones. J. Antimicrob. Chemother. 2000, 45, 583–590. [Google Scholar] [CrossRef] [PubMed]
- Sathyamoorthy, R.; Mageshwari, K.; Mali, S.S.; Priyadharshini, S.; Patil, P.S. Effect of organic capping agent on the photocatalytic activity of MgO nanoflakes obtained by thermal decomposition route. Ceram. Int. 2013, 39, 323–330. [Google Scholar] [CrossRef]
- Sunde, M.; Kwan, A.H.; Templeton, M.D.; Beever, R.E.; Mackay, J.P. Structural analysis of hydrophobins. Micron 2008, 39, 773–784. [Google Scholar] [CrossRef]
- Klotz, S.A.; Drutz, D.J.; Zajic, J.E. Factors governing adherence of Candida species to plastic surfaces. Infect. Immun. 1985, 50, 97–101. [Google Scholar]
- An, Y.H.; Friedman, R.J. Concise review of mechanisms of bacterial adhesion to biomaterial surfaces. J. Biomed. Mater. Res. 1998, 43, 338–348. [Google Scholar] [CrossRef]










| Element | Al | Zn | Mn | Si | Ni | Fe | Cu | Mg |
|---|---|---|---|---|---|---|---|---|
| wt % | 3.05 | 0.99 | 0.28 | 0.025 | 0.0049 | 0.003 | 0.002 | balance |
| Element (wt %) | C | O | Na | Mg | Al | P | S | Cl | Ca | Others |
|---|---|---|---|---|---|---|---|---|---|---|
| The sterile control group | 0.81 | 23.63 | 0.55 | 62.52 | 3.48 | 0.67 | 0.37 | 0.32 | 7.65 | <0.001 |
| The B. subtilis presence group | 6.11 | 33.39 | 2.35 | 31.61 | 4.06 | 11.90 | 0.57 | 2.40 | 7.61 | <0.001 |
| Groups | Time (h) | Ecorr (mV) vs. SCE | icorr (μA cm−2) | βa (mV deg−1) | βc (mV deg−1) |
|---|---|---|---|---|---|
| The sterile control group | 12 | −1415.4 ± 0.1 | 83.0 ± 0.5 | 152.5 ± 9.2 | −113.0 ± 3.6 |
| 24 | −1410.7 ± 0.1 | 166.4 ± 0.7 | 193.2 ± 6.8 | −89.8 ± 7.4 | |
| 48 | −1427.7 ± 0.1 | 243.3 ± 1.2 | 203.7 ± 10.5 | −52.1 ± 10.2 | |
| 96 | −1423.1 ± 0.2 | 116.4 ± 0.8 | 199.7 ± 11.6 | −37.1 ± 6.3 | |
| The B. subtilis presence group | 12 | −1362.4 ± 0.1 | 47.4 ± 0.6 | 209.7 ± 7.2 | −48.1 ± 5.4 |
| 24 | −1341.1 ± 0.2 | 18.3 ± 1.0 | 189.5 ± 9.3 | −52.3 ± 6.8 | |
| 48 | −1356.9 ± 0.1 | 14.5 ± 0.9 | 117.2 ± 9.8 | −151.3 ± 11.3 | |
| 96 | −1291.3 ± 0.1 | 16.3 ± 0.9 | 113.1 ± 10.2 | −72.1 ± 8.9 |
| Groups | Time (h) | Rs (Ω cm2) | Cdl (×10−5 F cm−2) | Rt (Ω cm2) | L (H cm2) | RL (Ω cm2) |
|---|---|---|---|---|---|---|
| The sterile control group | 12 | 6.5 ± 0.1 | 4.1 ± 0.1 | 76.9 ± 1.8 | 39.1 ± 1.7 | 53.2 ± 0.2 |
| 24 | 7.0 ± 0.2 | 8.5 ± 0.3 | 40.9 ± 0.8 | 18.4 ± 0.9 | 15.2 ± 0.2 | |
| 48 | 5.9 ± 0.1 | 2.2 ± 0.3 | 13.8 ± 2.2 | 1.8 ± 2.5 | 8.1 ± 0.23 | |
| 96 | 3.8 ± 0.3 | 9.3 ± 0.3 | 36.8 ± 0.5 | 9.23 ± 0.7 | 47.4 ± 0.1 | |
| The B. subtilis presence group | 12 | 7.7 ± 0.2 | 7.7 ± 0.2 | 90.2 ± 0.7 | 40.9 ± 0.9 | 81.7 ± 0.2 |
| 24 | 16.0 ± 0.2 | 3.5 ± 0.2 | 131.1 ± 0.9 | 91.6 ± 1.2 | 67.2 ± 0.2 | |
| 48 | 6.5 ± 0.2 | 9.8 ± 0.5 | 161.4 ± 1.2 | 98.2 ± 2.4 | 132.8 ± 0.3 | |
| 96 | 8.3 ± 0.2 | 8.1 ± 0.1 | 120.3 ± 0.3 | 63.1 ± 0.8 | 493.3 ± 0.2 |
© 2019 by the authors. Licensee MDPI, Basel, Switzerland. This article is an open access article distributed under the terms and conditions of the Creative Commons Attribution (CC BY) license (http://creativecommons.org/licenses/by/4.0/).
Share and Cite
Kang, Y.; Li, L.; Li, S.; Zhou, X.; Xia, K.; Liu, C.; Qu, Q. Temporary Inhibition of the Corrosion of AZ31B Magnesium Alloy by Formation of Bacillus subtilis Biofilm in Artificial Seawater. Materials 2019, 12, 523. https://doi.org/10.3390/ma12030523
Kang Y, Li L, Li S, Zhou X, Xia K, Liu C, Qu Q. Temporary Inhibition of the Corrosion of AZ31B Magnesium Alloy by Formation of Bacillus subtilis Biofilm in Artificial Seawater. Materials. 2019; 12(3):523. https://doi.org/10.3390/ma12030523
Chicago/Turabian StyleKang, Yaxin, Lei Li, Shunling Li, Xin Zhou, Ke Xia, Chang Liu, and Qing Qu. 2019. "Temporary Inhibition of the Corrosion of AZ31B Magnesium Alloy by Formation of Bacillus subtilis Biofilm in Artificial Seawater" Materials 12, no. 3: 523. https://doi.org/10.3390/ma12030523
APA StyleKang, Y., Li, L., Li, S., Zhou, X., Xia, K., Liu, C., & Qu, Q. (2019). Temporary Inhibition of the Corrosion of AZ31B Magnesium Alloy by Formation of Bacillus subtilis Biofilm in Artificial Seawater. Materials, 12(3), 523. https://doi.org/10.3390/ma12030523

