The Significance of Entropy in Grain Boundary Segregation
Abstract
:1. Introduction
2. Thermodynamics of Grain Boundary Segregation
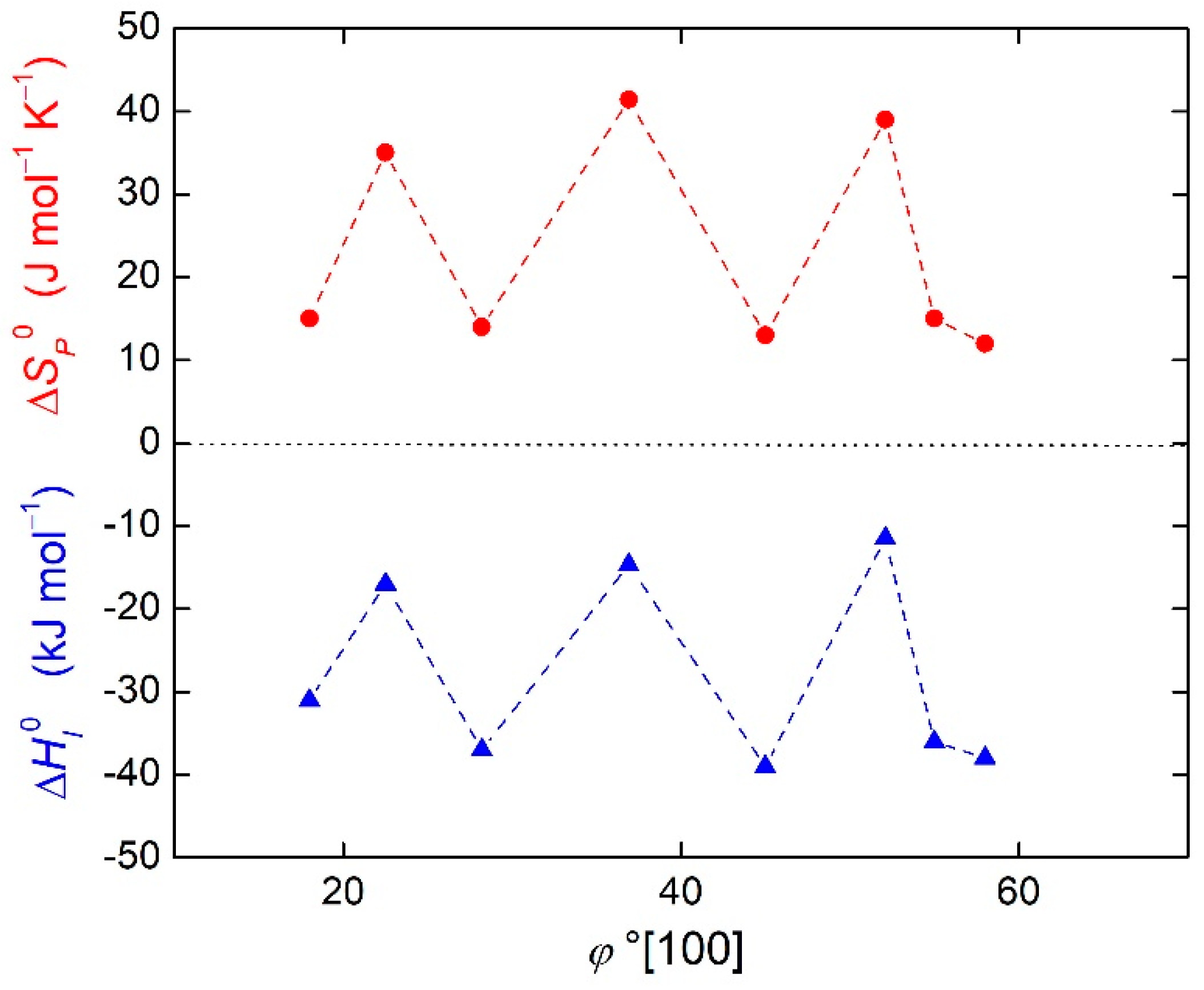
3. Effect of Entropy in Grain Boundary Segregation
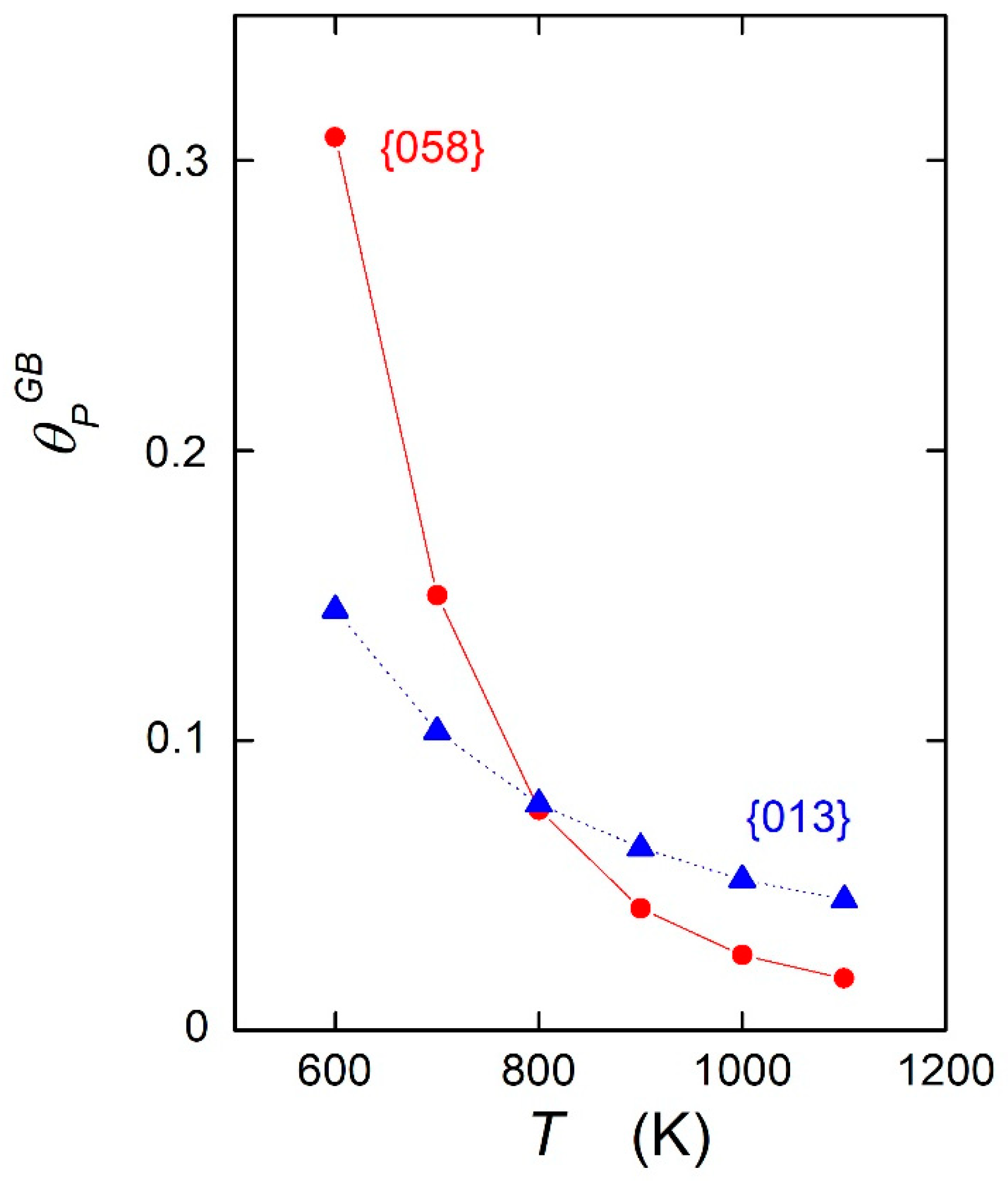
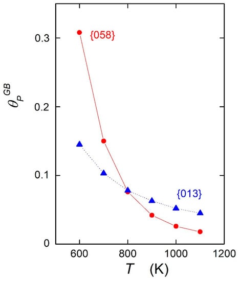
3.1. Temperature Dependence
3.2. Enthalpy-Entropy Compensation Effect
4. Discussion and Consequences for Practical Applications
5. Conclusions
Author Contributions
Funding
Conflicts of Interest
References
- Lejček, P. Grain Boundary Segregation in Metals; Springer: Berlin, Germany, 2010. [Google Scholar] [CrossRef]
- Watanabe, T. An approach to grain-boundary design for strong and ductile polycrystals. Res. Mech. 1984, 11, 47–84. [Google Scholar]
- Kirchheim, R. Grain coarsening inhibited by solute segregation. Acta Mater. 2002, 50, 413–419. [Google Scholar] [CrossRef]
- Lejček, P.; Hofmann, S. Thermodynamics and structural aspects of grain boundary segregation. Crit. Rev. Sol. State Mater. Sci. 1995, 20, 1–85. [Google Scholar] [CrossRef]
- Lejček, P.; Šob, M.; Paidar, V. Interfacial segregation and grain boundary embrittlement: An overview and critical assessment of experimental data and calculated results. Prog. Mater. Sci. 2017, 87, 83–139. [Google Scholar] [CrossRef]
- Kaptay, G. Modelling equilibrium grain boundary segregation, grain boundary energy and grain boundary segregation transition by the extended Butler equation. J. Mater. Sci. 2016, 51, 1738–1755. [Google Scholar] [CrossRef]
- Všianská, M.; Šob, M. The effect of segregated sp-impurities on grain-boundary and surface structure, magnetism and embrittlement in nickel. Prog. Mater. Sci. 2011, 56, 817–840. [Google Scholar] [CrossRef]
- Yamaguchi, M. First-principles study on the grain boundary embrittlement of metals by solute segregation: Part, I. Iron (Fe, Al, Cu)-hydrogen (H) systems. Metall. Mater. Trans. A 2011, 42, 319–329. [Google Scholar] [CrossRef]
- Yamaguchi, M.; Ebihara, K.I.; Itakura, M.; Kadoyoshi, T.; Suzudo, T.; Kaburaki, H. First-principles study on the grain boundary embrittlement of metals by solute segregation: Part II. Metal (Fe)-solute (B, C, P, and S) systems. Metall. Mater. Trans. A 2011, 42, 330–339. [Google Scholar] [CrossRef]
- Suzudo, T.; Kaburaki, H.; Yamaguchi, M. Modeling of the grain boundary segregation of helium in a-Fe. J. Nucl. Mater. 2011, 417, 1102–1105. [Google Scholar] [CrossRef]
- Suzudo, T.; Yamaguchi, M. Simulation of He embrittlement at grain boundaries in bcc transition metals. J. Nucl. Mater. 2015, 465, 695–701. [Google Scholar] [CrossRef]
- Lejček, P.; Zheng, L.; Hofmann, S.; Šob, M. Applied thermodynamics: Grain boundary segregation. Entropy 2014, 16, 1462–1483. [Google Scholar] [CrossRef]
- Lejček, P.; Šob, M.; Paidar, V.; Vitek, V. Why calculated energies of grain boundary segregation are unreliable when segregant solubility is low. Scr. Mater. 2013, 68, 547–550. [Google Scholar] [CrossRef]
- Lejček, P.; Hofmann, S. Interstitial and substitutional solute segregation at individual grain boundaries of α-iron: Data revisited. J. Phys. Condens. Matter 2016, 28, 064001. [Google Scholar] [CrossRef] [PubMed]
- Lejček, P.; Hofmann, S. Thermodynamics of grain boundary segregation and applications to anisotropy, compensation effect and prediction. Crit. Rev. Sol. State Mater. Sci. 2008, 33, 133–163. [Google Scholar] [CrossRef]
- Lejček, P.; Jäger, A.; Gärtnerová, V. Reversed anisotropy of grain boundary properties and its effect on grain boundary engineering. Acta Mater. 2010, 58, 1930–1937. [Google Scholar] [CrossRef]
- Stolarz, J.; LeCoze, J. Intergranular corrosion of stainless steels under transpassive conditions. Study of silicon segregation in <001> tilt bicrystals. J. Phys. Fr. 1990, 51, 641–645. [Google Scholar] [CrossRef]
- Grabke, H.J. Grain boundary segregation of impurities in iron and steels and effects on steel properties. In Impurities in Engineering Materials: Impact, Reliability and Control; Briant, C.L., Dekker, M., Eds.; Routledge: New York, NY, USA, 2017; pp. 143–192. [Google Scholar] [CrossRef]
- Briant, C.L. The effect of grain boundary segregation on intergranular failures. In Impurities in Engineering Materials: Impact, Reliability and Control; Briant, C.L., Dekker, M., Eds.; Routledge: New York, NY, USA, 2017; pp. 193–224. [Google Scholar] [CrossRef]
- Kalderon, D. Steam turbine failure at Hinkley Point ‘A’. Proc. Inst. Mech. Eng. 1972, 186, 341–377. [Google Scholar] [CrossRef]
- Janovec, J.; Grman, D.; Perháčová, J.; Lejček, P.; Patscheider, J.; Ševc, P. Thermodynamics of phosphorus grain boundary segregation in polycrystalline low-alloy steels. Surf. Interface Anal. 2000, 30, 354–358. [Google Scholar] [CrossRef]
- Tipler, H.R.; Hopkins, B.E. The creep cavitation of commercial and high-purity Cr-Mo-V steels. Met. Sci. 1976, 10, 47–56. [Google Scholar] [CrossRef]
- Krautschick, H.J.; Grabke, H.J.; Diekman, W. The effect of phosphorus on the mechanism of intergranular stress corrosion cracking of mild steels in nitrate solutions. Corros. Sci. 1988, 28, 251–258. [Google Scholar] [CrossRef]
- Darling, K.A.; Tschopp, M.A.; Vanleeuwen, B.K.; Atwater, M.A.; Liu, Z.K. Mitigating grain growth in binary nanocrystalline alloys through solute selection based on thermodynamic stability maps. Comput. Mater. Sci. 2014, 84, 255–266. [Google Scholar] [CrossRef]




| GB | (kJ mol−1) | (J mol−1 K−1) | ||
|---|---|---|---|---|
| {013} | −14.7 | 41.4 | −5 | −2 |
| {058} | −38 | 12 | −11 | −7 |
© 2019 by the authors. Licensee MDPI, Basel, Switzerland. This article is an open access article distributed under the terms and conditions of the Creative Commons Attribution (CC BY) license (http://creativecommons.org/licenses/by/4.0/).
Share and Cite
Lejček, P.; Hofmann, S.; Paidar, V. The Significance of Entropy in Grain Boundary Segregation. Materials 2019, 12, 492. https://doi.org/10.3390/ma12030492
Lejček P, Hofmann S, Paidar V. The Significance of Entropy in Grain Boundary Segregation. Materials. 2019; 12(3):492. https://doi.org/10.3390/ma12030492
Chicago/Turabian StyleLejček, Pavel, Siegfried Hofmann, and Václav Paidar. 2019. "The Significance of Entropy in Grain Boundary Segregation" Materials 12, no. 3: 492. https://doi.org/10.3390/ma12030492
APA StyleLejček, P., Hofmann, S., & Paidar, V. (2019). The Significance of Entropy in Grain Boundary Segregation. Materials, 12(3), 492. https://doi.org/10.3390/ma12030492

