The Effect of Swinging Ball Heads with Different Arrangements in Multi-Point Stretch-Forming Process
Abstract
:1. Introduction
2. The Forming Principle of a Swinging Ball Head
2.1. Geometric Relationship Between Ball Head Radius and Formed Part Surface
2.2. The Design of the Swinging Ball Head
3. The Effect of the Swinging Ball Head on the Forming Result
3.1. Surface Quality Analysis
3.2. Stress Analysis
3.3. Tension Strain Analysis
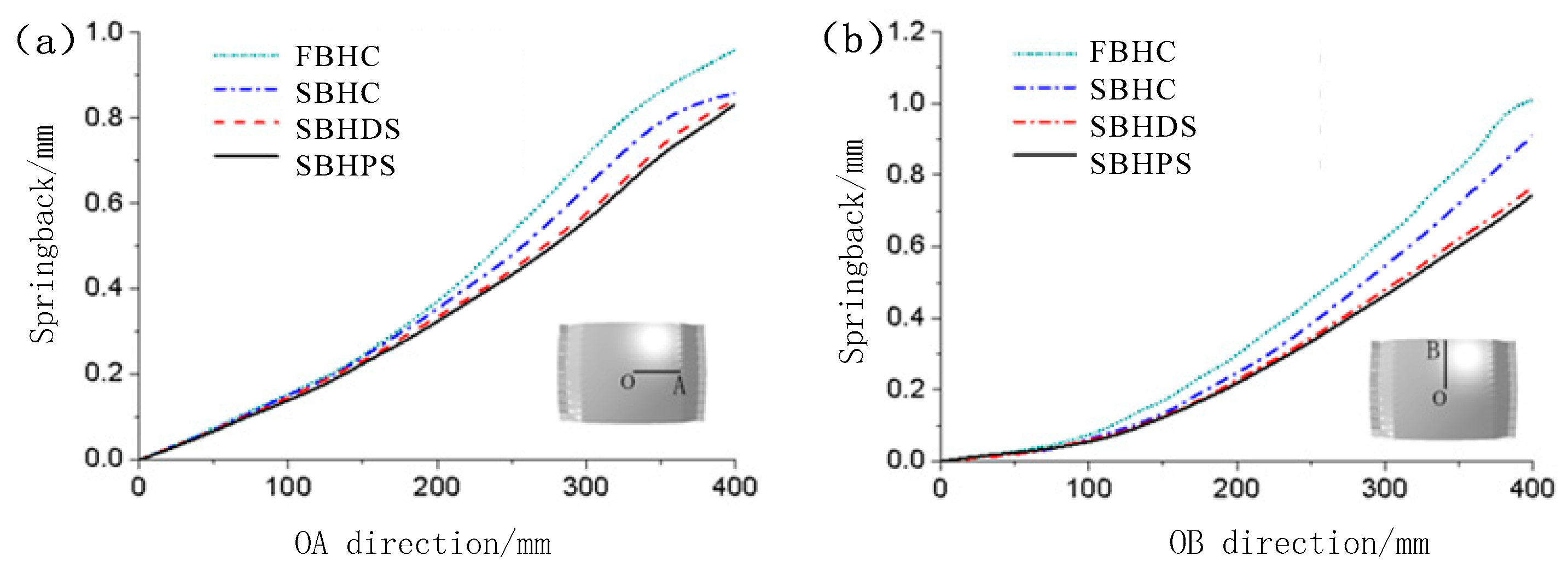
3.4. Springback Analysis
4. Forming Experiments
5. Conclusions
- The replacement of a fixed ball head with a swinging ball head can form a more continuous die profile, effectively suppressing the surface indentation of the formed part and improving the forming quality.
- The use of a swinging ball head can reduce the use of an elastic pad, reduce the springback, and improve the forming accuracy.
- A better forming effect can be achieved by applying a swinging ball head to the multi-point die with a staggered arrangement, where the best forming effect can be achieved in using the multi-point die with SBHPS.
- The experimental results are consistent with the trend of numerical simulation results, verifying the correctness of the numerical simulation results and providing a valuable reference for the development of new multi-point dies.
Author Contributions
Funding
Acknowledgments
Conflicts of Interest
References
- Yu, J.; Li, Y.; Teng, F.; Liang, J.; Lin, X.; Liang, C.; Chen, G.; Sun, G. Research on the cross section forming quality of three-dimensional multipoint stretch forming parts. Adv. Mater. Sci. Eng. 2018, 2018, 1–11. [Google Scholar] [CrossRef]
- Peng, H.; Li, Z.; Cheng, Q.; Yuan, Y.; Li, M. Numerical investigation of flexible clamp multi-point stretch forming. Appl. Mech. Mater. 2014, 4, 602–605. [Google Scholar] [CrossRef]
- Liu, Y.; Li, M.; Ju, F. Research on the process of flexible blank holder in multi-point forming for spherical surface parts. Int. J. Adv. Manuf. Technol. 2016, 89, 2315–2322. [Google Scholar] [CrossRef]
- Wang, S.; Cai, Z.; Li, M.; Lan, Y. Numerical simulation on the local stress and local deformation in multi-point stretch forming process. Int. J. Adv. Manuf. Technol. 2012, 60, 901–911. [Google Scholar] [CrossRef]
- Qu, E.; Li, M.; Li, R.; Zhao, L.; Yi, Z. Inhibitory effects of a flexible steel pad on wrinkling in multi-point die forming. Int. J. Adv. Manuf. Technol. 2018, 95, 2413–2420. [Google Scholar]
- Zhou, Z.; Cai, Z.; Li, M. Stretching process based on multi-point die and its numerical simulation. J. Jilin Univ. Technol. 2005, 35, 287–291. [Google Scholar]
- Chen, Z.; Li, M.; Gao, Z. Numerical simulation study about forming defects on the process of multi-point stretch-forming for skin parts. J. Plast. Eng. 2007, 14, 112–116. [Google Scholar]
- Wang, S.; Cai, Z.; Li, M.; Li, X. Numerical simulation on the effect of punch element size on multi-point stretch forming results. J. Jilin Univ. 2009, 39, 619–623. [Google Scholar]
- Liu, X.; Fu, W.; Li, M.; Li, Y.; Sun, S. Effect of layered polyurethane elastic cushion on quality of surface part in multi-point forming. In Proceedings of the 2017 3rd International Conference on Energy, Environment and Materials Science, Singapore, 28–30 July 2017. [Google Scholar]
- Cao, J.; Fu, W.; Li, M.; Peng, H. Research on the elastic cushion conditions in multi-point thermoforming for polymer sheet. Proc. Inst. Mech. Eng. Part E 2015, 229, 149–161. [Google Scholar] [CrossRef]
- Song, X.; Cai, Z.; Li, M. Numerical analysis of the deformation of elastic cushion and its effect on the forming results in MPF of sheet metal. J. Plast. Eng. 2006, 13, 36–39. [Google Scholar]
- Yao, N. Numerical simulation of springback of the multi-point forming for metal plank after using elastic cushion. Appl. Mech. Mater. 2011, 473, 121–124. [Google Scholar] [CrossRef]
- Zhang, C.; Fu, W.; Li, M. Suppression of dimples in digital multi-point stretching process. J. Jilin Univ. 2009, 39, 83–87. [Google Scholar] [CrossRef]
- Cheng, Y.; Li, M.; Xing, J. Effect of unit form on flexible stretch forming of multi-point die. J. Jilin Univ. 2016, 46, 1552–1557. [Google Scholar]
- Xing, J.; Li, M.; Cheng, Y.; Wang, B.; Yang, Z.; Wang, Y. Effect of the arrangement of the punch units in multi-point stretch forming process. Int. J. Adv. Manuf. Technol. 2016, 86, 2309–2317. [Google Scholar] [CrossRef]














© 2019 by the authors. Licensee MDPI, Basel, Switzerland. This article is an open access article distributed under the terms and conditions of the Creative Commons Attribution (CC BY) license (http://creativecommons.org/licenses/by/4.0/).
Share and Cite
Xing, J.; Cheng, Y.-y.; Yi, Z. The Effect of Swinging Ball Heads with Different Arrangements in Multi-Point Stretch-Forming Process. Materials 2019, 12, 337. https://doi.org/10.3390/ma12030337
Xing J, Cheng Y-y, Yi Z. The Effect of Swinging Ball Heads with Different Arrangements in Multi-Point Stretch-Forming Process. Materials. 2019; 12(3):337. https://doi.org/10.3390/ma12030337
Chicago/Turabian StyleXing, Jian, Yan-yan Cheng, and Zhuo Yi. 2019. "The Effect of Swinging Ball Heads with Different Arrangements in Multi-Point Stretch-Forming Process" Materials 12, no. 3: 337. https://doi.org/10.3390/ma12030337
APA StyleXing, J., Cheng, Y.-y., & Yi, Z. (2019). The Effect of Swinging Ball Heads with Different Arrangements in Multi-Point Stretch-Forming Process. Materials, 12(3), 337. https://doi.org/10.3390/ma12030337
