Evaluation of Stress–Strain Behavior of Self-Compacting Rubber Lightweight Aggregate Concrete under Uniaxial Compression Loading
Abstract
1. Introduction
2. Experimental Program
2.1. Material Properties
2.2. Mixture Proportions and Specimens Preparation
2.3. Testing Method
3. Results and Discussion
3.1. Compressive Strength of SCRLC
3.2. Typical Failure Pattern of Prisms
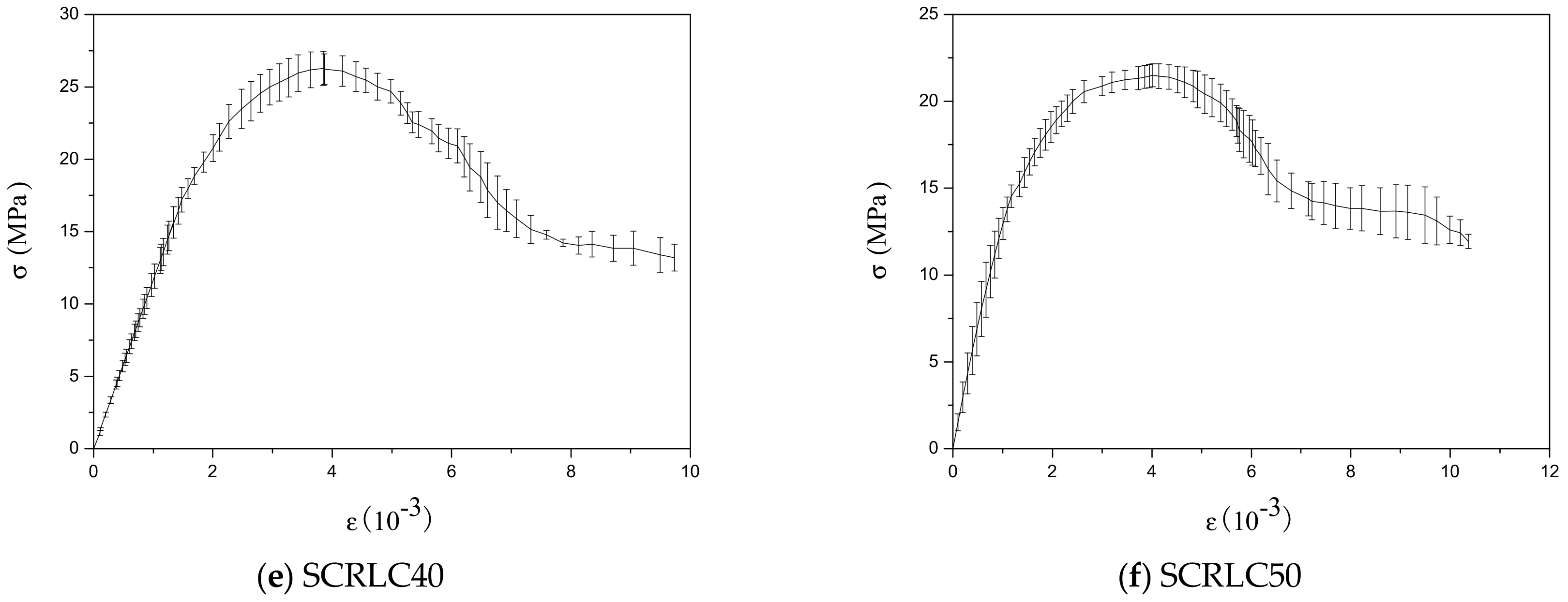
3.3. Uniaxial Stress–Strain Curves
3.4. Stress–Strain Relationship
3.4.1. Existing Models
3.4.2. Comparison Results
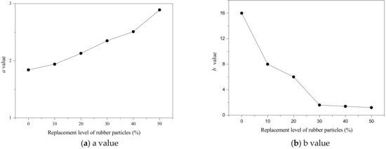
3.4.3. Parameters Analysis
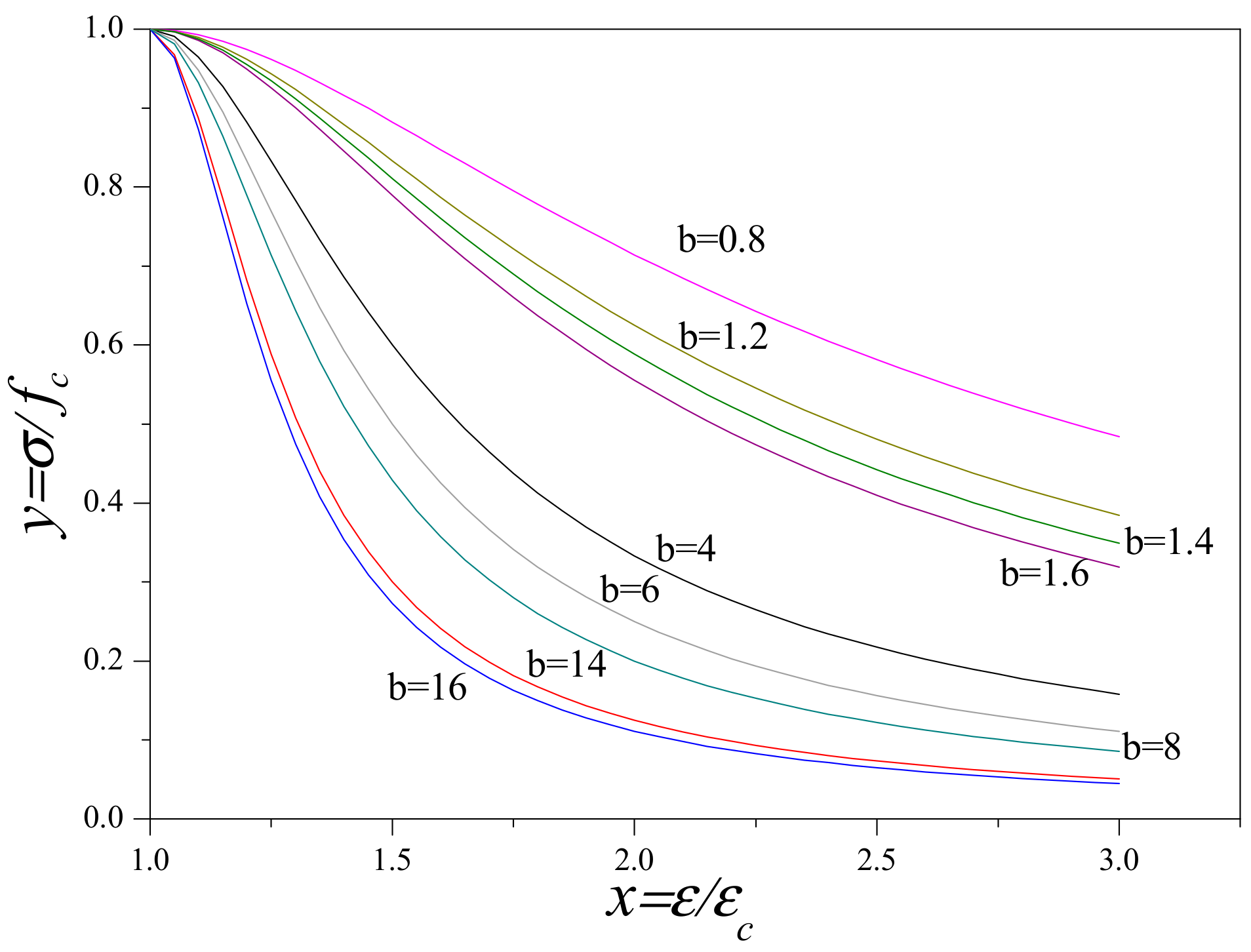
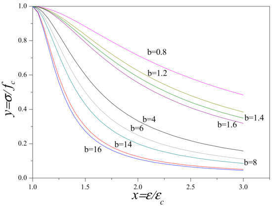
3.4.4. Stress–Strain Relationship Prediction
4. Conclusions
- (1)
- The failure patterns of SCRLC prism specimens were significantly affected by the content of rubber particles in the SCRLC. With increasing rubber particles substitution percentage, the failure patterns gradually transformed from brittle to ductile failure.
- (2)
- As the rubber particles substitution percentage increased from 0% to 50%, the peak strain increased from 0.0025926 to 0.0040162 while peak stress, elastic modulus, and peak secant modulus deceased from 38.4 to 21.5 MPa, 26.8 to 15.5 GPa, and 14.5 to 5.4 GPa, respectively.
- (3)
- Six types of SCRLC had similar variation trends in the ascending stage of stress–strain curves, which were all approximately linear. However, the descending stages of the stress–strain curves were different, especially when the rubber particles substitution percentage was greater than 30%. The descending stages of stress–strain curves of SCRLC with rubber particles substitution percentage under 30% were much steeper than those with substitution percentages over 30%. The results suggest that the deformation and toughness properties of SCRLC would be improved significantly with the incorporation of rubber particles.
- (4)
- In a comparison of three widely-used models for describing the stress–strain relationship of SCRLC, Guo’s model was much more suitable for describing the full stress–strain curves, including ascending and descending stages. Based on the established relationships between characteristic parameters, the different strength levels of the stress–strain relationship of SCRLC would be predicted accurately by Guo’s model.
Author Contributions
Funding
Conflicts of Interest
References
- Mucsi, G.; Szenczi, Á.; Nagu, S. Fiber reinforced geopolymer from synergetic utilization of fly ash and waste tire. J. Clean. Prod. 2018, 178, 429–440. [Google Scholar] [CrossRef]
- Wang, Z.W.; Burra, K.G.; Lei, T.Z.; Gupta, A.K. Co-gasification characteristics of waste tire and pine bark mixtures in CO2 atmosphere. Fuel 2019, 257, 116025. [Google Scholar] [CrossRef]
- Siddika, A.; Mamun, M.A.A.; Alyousef, R.; Amran, Y.H.M.; Aslani, F.; Alabduljabbar, H. Properties and utilizations of waste tire rubber in concrete: A review. Constr. Build. Mater. 2019, 224, 711–731. [Google Scholar] [CrossRef]
- Hasan, A.; Dincer, I. Comparative assessment of various gasification fuels with waste tires for hydrogen production. Int. J. Hydrog. Energy 2019, 44, 18818–18826. [Google Scholar] [CrossRef]
- Gupta, T.; Siddique, S.; Sharma, R.K.; Chaudhary, S. Behaviour of waste rubber powder and hybrid rubber concrete in aggressive environment. Constr. Build. Mater. 2019, 217, 283–291. [Google Scholar] [CrossRef]
- Guo, Q.; Zhang, R.Y.; Luo, Q.R.; Wu, H.; Sun, H.P.; Ye, Y. Prediction on damage evolution of recycled crumb rubber concrete using quantitative cloud imagine correlation. Constr. Build. Mater. 2019, 209, 340–353. [Google Scholar] [CrossRef]
- Guo, S.C.; Dai, Q.L.; Si, R.Z.; Sun, X.; Lu, C. Evaluation of properties and performance of rubber-modified concrete for recycling of waste scrap tire. J. Clean. Prod. 2017, 148, 681–689. [Google Scholar] [CrossRef]
- Rashid, K.; Yazdanbakhsh, A.; Rehman, M.U. Sustainable selection of the concrete incorporating recycled tire aggregate to be used as medium to low strength material. J. Clean. Prod. 2019, 224, 396–410. [Google Scholar] [CrossRef]
- Sofi, A. Effect of waste tyre rubber on mechanical and durability properties of concrete—A review. Ain Shams Eng. J. 2018, 9, 2691–2700. [Google Scholar] [CrossRef]
- Jokar, F.; Khorram, M.; Karimi, G.; Hataf, N. Experimental investigation of mechanical properties of crumbed rubber concrete containing natural zeolite. Constr. Build. Mater. 2019, 208, 651–658. [Google Scholar] [CrossRef]
- Su, H.L.; Yang, J.; Ling, T.C.; Gurmel, G.S.; Dirar, S. Properties of concrete prepared with waste tyre rubber particles of uniform and varying sizes. J. Clean. Prod. 2015, 91, 288–296. [Google Scholar] [CrossRef]
- Issa, C.A.; Salem, G. Utilization of recycled crumb rubber as fine aggregates in concrete mix design. Constr. Build. Mater. 2013, 42, 48–52. [Google Scholar] [CrossRef]
- Gerges, N.N.; Issa, C.A.; Fawaz, S.A. Rubber concrete: Mechanical and dynamical properties. Case Stud. Constr. Mater. 2018, 9, 1–13. [Google Scholar] [CrossRef]
- Feng, W.H.; Liu, F.; Yang, F.; Li, L.J.; Jing, L. Experimental study on dynamic split tensile properties of rubber concrete. Constr. Build. Mater. 2018, 165, 675–687. [Google Scholar] [CrossRef]
- Youssf, O.; Mills, J.E.; Hassanli, R. Assessment of the mechanical performance of crumb rubber concrete. Constr. Build. Mater. 2016, 125, 175–183. [Google Scholar] [CrossRef]
- Mohammadi, I.; Khabbaz, H. Shrinkage performance of Crumb Rubber Concrete (CRC) prepared by water-soaking treatment method for rigid pavements. Cem. Concr. Compos. 2015, 62, 106–116. [Google Scholar] [CrossRef]
- Hilal, N.N. Hardened properties of self-compacting concrete with different crumb rubber size and content. Int. J. Sustain. Built Environ. 2017, 6, 191–206. [Google Scholar] [CrossRef]
- Youssf, O.; ElGawady, M.A.; Mills, J.E. Static cyclic behaviour of FRP-confined crumb rubber concrete columns. Eng. Struct. 2016, 113, 371–387. [Google Scholar] [CrossRef]
- Mendis, A.S.M.; Al-Deen, S.; Ashraf, M. Effect of rubber particles on the flexural behaviour of reinforced crumbed rubber concrete beams. Constr. Build. Mater. 2017, 154, 644–657. [Google Scholar] [CrossRef]
- Strukar, K.; Šipoš, T.K.; Miličević, I.; Bušić, R. Potential use of rubber as aggregate in structural reinforced concrete element—A review. Eng. Struct. 2019, 188, 452–468. [Google Scholar] [CrossRef]
- Han, Q.H.; Wang, Y.H.; Xu, J.; Xing, Y.; Yang, G. Numerical analysis on shear stud in push-out test with crumb rubber concrete. J. Constr. Steel Res. 2017, 130, 148–158. [Google Scholar] [CrossRef]
- Holmes, N.; Dunne, K.; O’Donnell, J. Longitudinal shear resistance of composite slabs containing crumb rubber in concrete toppings. Constr. Build. Mater. 2014, 55, 365–378. [Google Scholar] [CrossRef]
- Gil-Martín, L.M.; Rodríguez-Suesca, A.E.; Fernández-Ruiz, M.A.; Hernández-Montes, E. Cyclic behavior of RC beam-column joints with epoxy resin and ground tire rubber as partial cement replacement. Constr. Build. Mater. 2019, 211, 659–674. [Google Scholar]
- Alshaikh, I.M.; Bakar, B.A.; Alwesabi, E.A.; Akil, H.M. Progressive collapse of reinforced rubberised concrete: Experimental study. Constr. Build. Mater. 2019, 226, 307–316. [Google Scholar] [CrossRef]
- Hunag, L.J.; Wang, H.Y.; Wu, Y.W. Properties of the mechanical in controlled low-strength rubber lightweight aggregate concrete (CLSRLC). Constr. Build. Mater. 2016, 112, 1054–1058. [Google Scholar] [CrossRef]
- Zhang, B.Y.; Poon, C.S. Sound insulation properties of rubberized lightweight aggregate concrete. J. Clean. Prod. 2018, 172, 3176–3185. [Google Scholar] [CrossRef]
- Lv, J.; Zhou, T.H.; Du, Q.; Wu, H.H. Effects of rubber particles on mechanical properties of lightweight aggregate concrete. Constr. Build. Mater. 2015, 91, 145–149. [Google Scholar] [CrossRef]
- Miller, N.M.; Tehrani, F.M. Mechanical properties of rubberized lightweight aggregate concrete. Constr. Build. Mater. 2017, 147, 264–271. [Google Scholar] [CrossRef]
- Lv, J.; Du, Q.; Zhou, T.H.; He, Z.Q.; Li, K.L. Fresh and Mechanical Properties of Self-Compacting Rubber Lightweight Aggregate Concrete and Corresponding mortar. Adv. Mater. Sci. Eng. 2019, 2019, 1–14. [Google Scholar] [CrossRef]
- Shi, C.J.; Wu, Z.M.; Lv, K.X.; Wu, L.M. A review on mixture design methods for self-compacting concrete. Constr. Build. Mater. 2015, 84, 387–398. [Google Scholar] [CrossRef]
- Alyhya, W.S.; Kulasegaram, S.; Karihaloo, B.L. Simulation of the flow of self-compacting concrete in the V-funnel by SPH. Cem. Concr. Res. 2017, 100, 47–59. [Google Scholar] [CrossRef]
- Beygi, M.H.A.; Kazemi, M.T.; Nikbin, I.M.; Amiri, J.V.; Rabbanifar, S.; Rahmani, E. The influence of coarse aggregate size and volume on the fracture behavior and brittleness of self-compacting concrete. Cem. Concr. Res. 2014, 66, 75–90. [Google Scholar] [CrossRef]
- Munir, M.J.; Wu, Y.F.; Kazmi, S.M.S.; Patnaikuni, I.; Zhou, Y.W.; Xing, F. Stress-strain behavior of spirally confined recycled aggregate concrete: An approach towards sustainable design. Resour. Conserv. Recycl. 2019, 146, 127–139. [Google Scholar] [CrossRef]
- Li, P.D.; Wu, Y.F.; Zhou, Y.W.; Xing, F. Stress-strain model for FRP-confined concrete subject to arbitrary load path. Compos. Part B Eng. 2019, 163, 9–25. [Google Scholar] [CrossRef]
- GB50081-2002—Standard for Test. Method of Mechanical Properties on Ordinary Concrete; China Architecture and Building Press: Beijing, China, 2003. (In Chinese)
- Guo, Z.H.; Shi, X.D. Reinforced Concrete Theory and Analysis; Tsinghua University Press: Beijing, China, 2009. [Google Scholar]
- Zhao, Q.H.; Wang, F.; Zhu, H. Compression test on curves and constitutive model of crumb rubber concrete for structural purposes. Acta Mater. Compos. Sin. 2017, 35, 2222–2234. (In Chinese) [Google Scholar]
- Li, D.D.; Yan, Z.G.; Rebecca, G.; Julie, E.M. Compressive stress strain behavior of crumb rubber concrete (CRC) and application in reinforced CRC slab. Constr. Build. Mater. 2018, 166, 745–759. [Google Scholar] [CrossRef]
- Cui, H.Z.; Lo, T.Y.; Memon, S.A.; Xu, W.T. Effect of lightweight aggregates on the mechanical properties and brittleness of lightweight aggregate concrete. Constr. Build. Mater. 2012, 35, 149–158. [Google Scholar] [CrossRef]
- GB50010-2010—Code for Design of Concrete Structures; China Architecture and Building Press: Beijing, China, 2010. (In Chinese)
- Xiao, J.Z.; Zhang, K.J.; Akbarnezhad, A. Variability of stress-strain relationship for recycled aggregate concrete under uniaxial compression loading. J. Clean. Prod. 2018, 181, 753–771. [Google Scholar] [CrossRef]
- BS. Eurocode 2: Design of Concrete Structures: Part 1-1. General Rules and Rules for Buildings; EN 1992-1-1-2004; British Standards Institution: London, UK, 2004. [Google Scholar]
- Guo, Z.H.; Zhang, X.Q.; Zhang, D.C.; Wang, R.Q. Experimental investigation of the complete stress-strain curve of concrete. J. Build. Struct. 1982, 3, 1–12. [Google Scholar]






















| Mineral Compositions | Content/% | ||||||||
|---|---|---|---|---|---|---|---|---|---|
| CaO | SiO2 | Al2O3 | Fe2O3 | MgO | SO3 | K2O | Na2O | Loss on Ignition | |
| Ordinary Portland Cement | 62.45 | 20.18 | 4.91 | 3.88 | 2.67 | 2.14 | 0.47 | 0.29 | 2.05 |
| Fly Ash | 5.31 | 48.92 | 26.27 | 5.86 | 0.84 | 1.21 | 0.79 | 0.22 | 3.60 |
| Type of Concrete | Replacement (by Volume) | Weight per Cubic Meter (kg/m3) | |||||||
|---|---|---|---|---|---|---|---|---|---|
| Cement | Fly Ash | Rubber Particles | Sand | Shale Ceramsite | Thickener | Water Reducer | Water | ||
| SCLC | 0% | 425 | 85 | 0 | 700 | 610 | 0.204 | 5.1 | 179 |
| SCRLC10 | 10% | 425 | 85 | 31 | 630 | 610 | 0.204 | 5.1 | 179 |
| SCRLC20 | 20% | 425 | 85 | 62 | 560 | 610 | 0.204 | 5.1 | 179 |
| SCRLC30 | 30% | 425 | 85 | 93 | 490 | 610 | 0.204 | 5.1 | 179 |
| SCRLC40 | 40% | 425 | 85 | 124 | 420 | 610 | 0.204 | 5.1 | 179 |
| SCRLC50 | 50% | 425 | 85 | 155 | 350 | 610 | 0.204 | 5.1 | 179 |
| NO. | Peak Stress σcp (MPa) | Peak Strain εcp (10−3) | Elastic Modulus Ec (GPa) | Peak Secant Modulus Ecp (GPa) |
|---|---|---|---|---|
| SCLC | 38.4 | 2.5926 | 26.8 | 14.5 |
| SCRLC10 | 36.8 | 2.9378 | 24.3 | 12.5 |
| SCRLC20 | 33.1 | 3.1017 | 22.7 | 10.7 |
| SCRLC30 | 31.2 | 3.5011 | 19.9 | 8.9 |
| SCRLC40 | 26.3 | 3.8604 | 18.1 | 6.8 |
| SCRLC50 | 21.5 | 4.0162 | 15.5 | 5.4 |
| Parameters | SCLC | SCRLC10 | SCRLC20 | SCRLC 30 | SCRLC 40 | SCRLC 50 |
|---|---|---|---|---|---|---|
| a | 1.84 | 1.94 | 2.13 | 2.35 | 2.51 | 2.89 |
| b | 16 | 8 | 6 | 1.6 | 1.4 | 1.2 |
© 2019 by the authors. Licensee MDPI, Basel, Switzerland. This article is an open access article distributed under the terms and conditions of the Creative Commons Attribution (CC BY) license (http://creativecommons.org/licenses/by/4.0/).
Share and Cite
Lv, J.; Zhou, T.; Du, Q.; Li, K.; Sun, K. Evaluation of Stress–Strain Behavior of Self-Compacting Rubber Lightweight Aggregate Concrete under Uniaxial Compression Loading. Materials 2019, 12, 4064. https://doi.org/10.3390/ma12244064
Lv J, Zhou T, Du Q, Li K, Sun K. Evaluation of Stress–Strain Behavior of Self-Compacting Rubber Lightweight Aggregate Concrete under Uniaxial Compression Loading. Materials. 2019; 12(24):4064. https://doi.org/10.3390/ma12244064
Chicago/Turabian StyleLv, Jing, Tianhua Zhou, Qiang Du, Kunlun Li, and Kai Sun. 2019. "Evaluation of Stress–Strain Behavior of Self-Compacting Rubber Lightweight Aggregate Concrete under Uniaxial Compression Loading" Materials 12, no. 24: 4064. https://doi.org/10.3390/ma12244064
APA StyleLv, J., Zhou, T., Du, Q., Li, K., & Sun, K. (2019). Evaluation of Stress–Strain Behavior of Self-Compacting Rubber Lightweight Aggregate Concrete under Uniaxial Compression Loading. Materials, 12(24), 4064. https://doi.org/10.3390/ma12244064
