Shrinkage Properties of Self-Compacting Rubber Lightweight Aggregate Concrete: Experimental and Analytical Studies
Abstract
1. Introduction
2. Experimental Program
2.1. Material Properties and Mix Proportions
2.2. Specimens and Test Methods
3. Results and Discussion
3.1. Experimental Shrinkage Strain
3.2. Predictive Models of Shrinkage Strain
3.2.1. Existing Models
3.2.2. Comparison Analysis
3.2.3. Modified Model
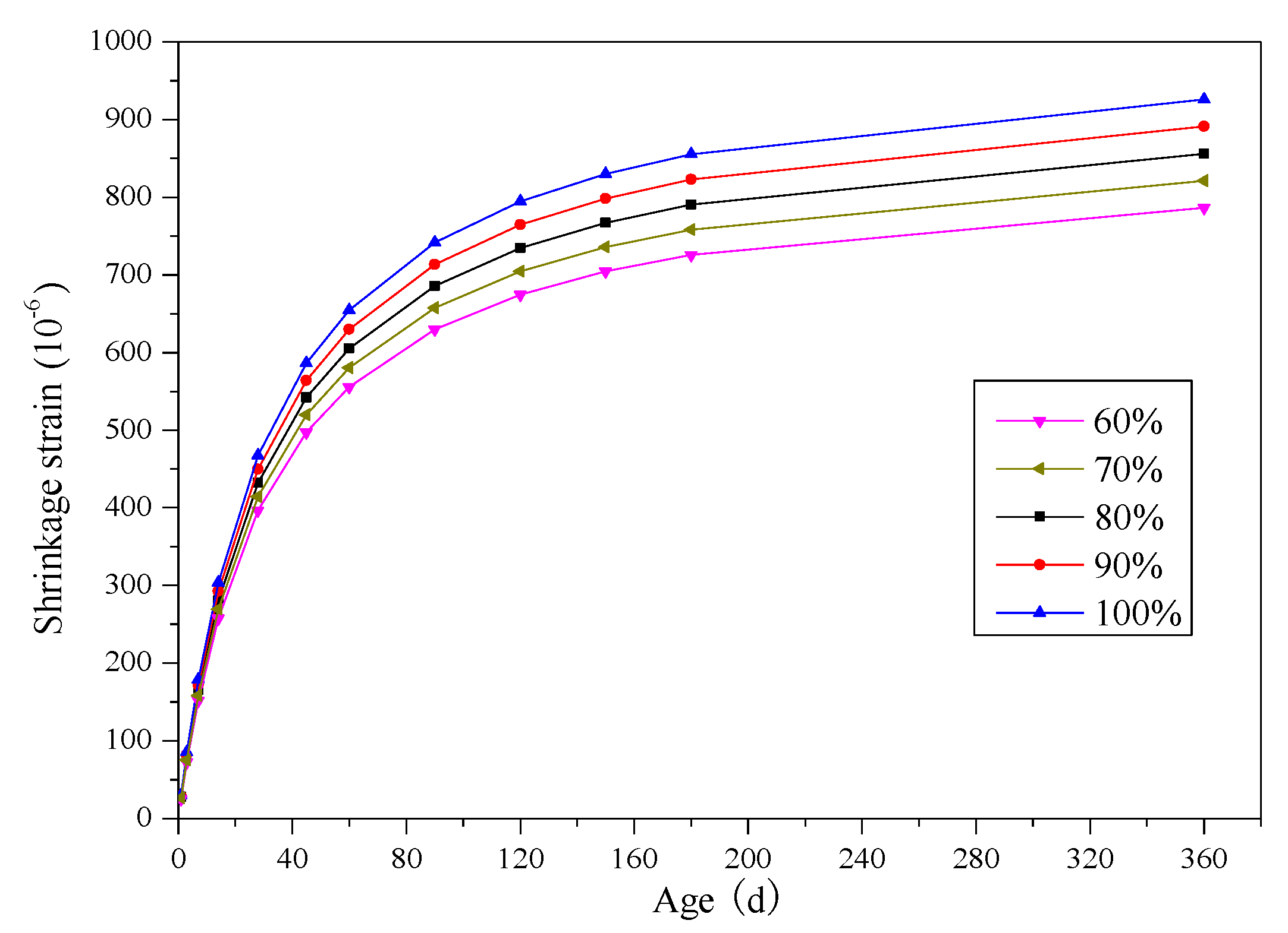
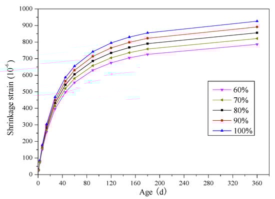
3.2.4. Shrinkage Strain Prediction
3.3. Discussion
4. Conclusions
- (1)
- The shrinkage strains of SCRLC increased with an increase of rubber particles substitution percentages. Most increment of shrinkage strain of SCRLC occurred during the age of 3–120 days. Compared with the plain sample, the shrinkage strain of SCRLC increased from 624 × 10−6 to 754 × 10−6 as rubber particles substitution percentage increased from 0% to 50% at an age of 360 days.
- (2)
- Based on the China Academy of Building Research model, the influence coefficients of rubber particles substitution percentage β6 were introduced and a model was established to depict the shrinkage properties of SCRLC. After statistical regression, the influence coefficients of rubber particles substitution percentage β6 were calculated.
- (3)
- According to the relationship between coefficients of rubber particles substitution percentage and rubber particles substitution percentage, shrinkage strains of SCRLC with rubber particles substitution percentages ranged from 60% to 100% and were predicted by the proposed model. When the rubber particles substitution percentage was larger than 80%, the shrinkage strain of SCRLC at age of 360 days was bigger than 820 × 10−6, which exceeded the limiting value stipulated in JGJ51-2002.
Author Contributions
Funding
Acknowledgments
Conflicts of Interest
References
- Ghourchian, S.; Wyrzykowski, M.; Plamondon, M.; Lura, P. On the mechanism of plastic shrinkage cracking in fresh cementitious materials. Cem. Concr. Res. 2019, 155, 251–263. [Google Scholar] [CrossRef]
- Abdalhmid, J.M.; Sheehan, A.F.A.T. Long-term drying shrinkage of self-compacting concrete: Experimental and analytical investigations. Constr. Build. Mater. 2019, 202, 825–837. [Google Scholar] [CrossRef]
- Merzouki, T.; Bouasker, M.; Khalifa, N.E.H.; Mounanga, P. Contribution to the modeling of hydration and chemical shrinkage of slag-blended cement at early age. Constr. Build. Mater. 2013, 44, 368–380. [Google Scholar] [CrossRef]
- Matsushita, F.; Aono, Y.; Shibata, S. Calcium silicate structure and carbonation shrinkage of a tobermorite-based material. Cem. Concr. Res. 2004, 34, 1251–1257. [Google Scholar] [CrossRef]
- Gastaldini, A.L.G.; Silva, M.P.; Zamberlan, F.B.; Neto, C.Z.M. Total shrinkage, chloride penetration, and compressive strength of concretes that contain clear-colored rice husk ash. Constr. Build. Mater. 2014, 54, 369–377. [Google Scholar] [CrossRef]
- Griza, S.; Ueki, M.M.; Souza, D.H.G.; Cervier, A.; Strohaecker, T.R. Thermally induced strains and total shrinkage of the polymethyl-methacrylate cement in simplified models of total hip arthroplasty. J. Mech. Behav. Biomed. Mater. 2013, 18, 29–36. [Google Scholar] [CrossRef]
- Zhan, P.M.; He, Z.H. Application of shrinkage reducing admixture in concrete: A review. Constr. Build. Mater. 2019, 201, 676–690. [Google Scholar] [CrossRef]
- Xie, T.; Fang, C.; Ali, M.S.M.; Visintin, P. Characterizations of autogenous and drying shrinkage of ultra-high performance concrete (UHPC): An experimental study. Cem. Concr. Compos. 2018, 91, 156–173. [Google Scholar] [CrossRef]
- Samouh, H.; Rozière, E.; Wisniewski, V.; Loukili, A. Consequences of longer sealed curing on drying shrinkage, cracking and carbonation of concrete. Cem. Concr. Res. 2017, 95, 117–131. [Google Scholar] [CrossRef]
- Lv, J.; Du, Q.; Zhou, T.H.; He, Z.Q.; Li, K.L. Fresh and Mechanical Properties of self-compacting rubber lightweight aggregate concrete and corresponding mortar. Adv. Mater. Sci. Eng. 2019, 2019, 8372547. [Google Scholar] [CrossRef]
- Lv, J.; Zhou, T.H.; Du, Q.; Li, K.L. Experimental and analytical study on uniaxial compressive fatigue behavior of self-compacting rubber lightweight aggregate concrete. Constr. Build. Mater. 2020, 237, 1–13. [Google Scholar] [CrossRef]
- Raffoul, S.; Garcia, R.; Pilakoutas, K.; Guadagnini, M.; Medina, N.F. Optimisation of rubberised concrete with high rubber content: An experimental investigation. Constr. Build. Mater. 2016, 124, 391–404. [Google Scholar] [CrossRef]
- Thomas, B.S.; Gupta, R.C. A comprehensive review on the applications of waste tire rubber in cement concrete. Renew. Sustain. Energy Rev. 2016, 54, 1323–1333. [Google Scholar] [CrossRef]
- Si, R.Z.; Wang, J.Q.; Guo, S.C.; Dai, Q.L.; Han, S. Evaluation of laboratory performance of self-consolidating concrete with recycled tire rubber. J. Clean. Prod. 2018, 180, 823–831. [Google Scholar] [CrossRef]
- Medina, N.F.; Medina, D.F.; Hernández-Olivares, F.; Navacerrada, M.A. Mechanical and thermal properties of concrete incorporating rubber and fibres from tyre recycling. Constr. Build. Mater. 2017, 144, 563–573. [Google Scholar] [CrossRef]
- Chylík, R.; Fládr, J.; Bílý, P.; Trtík, T.; Vráblík, L. An analysis of the applicability of existing shrinkage prediction models to concretes containing steel fibres or crumb rubber. J. Build. Eng. 2016, 24, 1–12. [Google Scholar] [CrossRef]
- Lv, J.; Zhou, T.H.; Du, Q.; Wu, H.H. Effects of rubber particles on mechanical properties of lightweight aggregate concrete. Constr. Build. Mater. 2015, 91, 145–149. [Google Scholar] [CrossRef]
- Qin, R.Y.; Hao, H.L.; Rousakis, T.; Lau, D. Effect of shrinkage reducing admixture on new-to-old concrete interface. Compos. Part B Eng. 2019, 165, 346–355. [Google Scholar] [CrossRef]
- Hawreen, A.; Bogas, J.A. Creep, shrinkage and mechanical properties of concrete reinforced with different types of carbon nanotubes. Constr. Build. Mater. 2019, 198, 70–81. [Google Scholar] [CrossRef]
- Zhang, J.; Wang, J.H.; Ding, X.P. Calculation of shrinkage stress in concrete structures with impact of internal curing. Eng. Fract. Mech. 2018, 192, 54–76. [Google Scholar] [CrossRef]
- AI-Saleh, S.A. Comparison of theoretical and experimental shrinkage in concrete. Constr. Build. Mater. 2014, 72, 326–332. [Google Scholar] [CrossRef]
- Silva, R.V.; Brito, J.D.; Dhir, R.K. Prediction of the shrinkage behavior of recycled aggregate concrete: A review. Constr. Build. Mater. 2015, 77, 327–339. [Google Scholar] [CrossRef]
- Rezvani, M.; Proske, T.; Graubner, C.A. Modelling the drying shrinkage of concrete made with limestone-rich cements. Cem. Concr. Res. 2019, 115, 160–175. [Google Scholar] [CrossRef]
- Kiani, B.; Sajedi, S.; Gandomi, A.H.; Huang, Q.D.; Liang, R.Y. Optimal adjustment of ACI formula for shrinkage of concrete containing pozzolans. Constr. Build. Mater. 2017, 131, 485–495. [Google Scholar] [CrossRef]
- ACI Committee 209. Prediction of Creep, Shrinkage and Temperature Effects in Concrete Structures; American Concrete Institute: Farmington Hills, MI, USA, 1992. [Google Scholar]
- FIB. Model Code for Concrete Structures 2010; International Federation for Structural Concrete (fib): Lausanne, Switzerland, 2013; pp. 92–94. [Google Scholar]
- Bazant, Z.P.; Baweja, S. Justification and refinement of model B3 for concrete creep and shrinkage. Mater. Struct. 1995, 28, 488–495. [Google Scholar] [CrossRef]
- Gardner, N.J.; Lockman, M.J. Design provisions for drying shrinkage and creep of normal-strength concrete. ACI Mater. J. 2001, 98, 159–167. [Google Scholar]
- Yoo, D.Y.; Min, K.H.; Lee, J.H.; Yoon, Y.S. Autogenous shrinkage of concrete with design strength 60–120 N/mm2. Mag. Concr. Res. 2011, 63, 751–761. [Google Scholar] [CrossRef]
- Zhang, K.; Cao, G.H.; Hu, J.X. Experimental study on influence of reinforcement on long-term shrinkage strain of concrete. J. Highway Transp. Res. Dev. 2014, 31, 78–81, 147. (in Chinese). [Google Scholar]
- Lee, K.H.; Yang, K.H.; Yoon, H.S. Shrinkage strains of lightweight aggregate concrete using expanded bottom ash and dredged soil granules. Constr. Build. Mater. 2018, 188, 934–945. [Google Scholar] [CrossRef]
- Wang, X.F.; Fang, C.; Kuang, W.Q.; Li, D.W.; Han, N.X.; Xing, F. Experimental investigation on the compressive strength and shrinkage of concrete with pre-wetted lightweight aggregates. Constr. Build. Mater. 2017, 155, 867–879. [Google Scholar] [CrossRef]
- GB/T 50082-2009. Standard for Test Methods of Long-Term Performance and Durability of Ordinary Concrete; China National Standard: Beijing, China, 2009. [Google Scholar]
- JGJ51-2002. Technical Specification for Lightweight Aggregate Concrete; China Professional Standard: Beijing, China, 2002. [Google Scholar]
- Demir, İ.; Sevim, Ö.; Tekin, E. The effects of shrinkage-reducing admixtures used in self-compacting concrete on its strength and durability. Constr. Build. Mater. 2018, 172, 153–165. [Google Scholar] [CrossRef]








| Type of Concrete | Replacement (by Volume) | Weight per Cubic Meter (kg/m3) | |||||||
|---|---|---|---|---|---|---|---|---|---|
| Cement | Fly Ash | Rubber Particles | Sand | Shale Ceramsite | Thickener | Water Reducer | Water | ||
| SCLC | 0 | 425 | 85 | 0 | 700 | 610 | 0.204 | 5.1 | 179 |
| SCRLC10 | 10% | 425 | 85 | 31 | 630 | 610 | 0.204 | 5.1 | 179 |
| SCRLC20 | 20% | 425 | 85 | 62 | 560 | 610 | 0.204 | 5.1 | 179 |
| SCRLC30 | 30% | 425 | 85 | 93 | 490 | 610 | 0.204 | 5.1 | 179 |
| SCRLC40 | 40% | 425 | 85 | 124 | 420 | 610 | 0.204 | 5.1 | 179 |
| SCRLC50 | 50% | 425 | 85 | 155 | 350 | 610 | 0.204 | 5.1 | 179 |
| Chemical Analysis (%) | Ordinary Portland Cement | Fly Ash |
|---|---|---|
| CaO | 62.45 | 5.31 |
| SiO2 | 20.18 | 48.92 |
| Al2O3 | 4.91 | 26.27 |
| Fe2O3 | 3.88 | 5.86 |
| MgO | 2.67 | 0.84 |
| SO3 | 2.14 | 1.21 |
| K2O | 0.47 | 0.79 |
| Na2O | 0.29 | 0.22 |
| Loss on ignition | 2.05 | 3.60 |
| Specific gravity | 3.16 | 2.21 |
| Fineness (m2/kg) | 331 | 275 |
| Type of Concrete | Parameter | Ages (d) | |||||||||
|---|---|---|---|---|---|---|---|---|---|---|---|
| 1 | 3 | 7 | 28 | 60 | 90 | 120 | 150 | 180 | 360 | ||
| SCLC | Mean value (10−6) | 38 | 77 | 136 | 316 | 449 | 493 | 539 | 557 | 584 | 624 |
| Standard deviation | 3.6 | 7.9 | 4.4 | 7.2 | 7.5 | 12.2 | 20.0 | 21.9 | 13.9 | 9.2 | |
| SCRLC10 | Mean value (10−6) | 35 | 74 | 148 | 335 | 428 | 504 | 551 | 569 | 589 | 617 |
| Standard deviation | 5.7 | 7.0 | 16.1 | 9.6 | 20.7 | 21.0 | 16.7 | 11.1 | 11.5 | 18.5 | |
| SCRLC20 | Mean value (10−6) | 46 | 85 | 151 | 338 | 447 | 516 | 547 | 572 | 592 | 641 |
| Standard deviation | 7.0 | 5.6 | 12.1 | 16.5 | 13.1 | 18.5 | 4.6 | 18.4 | 16.5 | 12.1 | |
| SCRLC30 | Mean value (10−6) | 49 | 87 | 154 | 348 | 492 | 541 | 589 | 605 | 642 | 681 |
| Standard deviation | 5.6 | 7.2 | 7.2 | 15.9 | 13.5 | 9.6 | 4.6 | 17.1 | 8.2 | 15.7 | |
| SCRLC40 | Mean value (10−6) | 63 | 93 | 161 | 367 | 521 | 573 | 623 | 649 | 677 | 718 |
| Standard deviation | 4.4 | 4.5 | 11.5 | 14.5 | 14.0 | 7.9 | 13.2 | 8.7 | 14.5 | 15.1 | |
| SCRLC50 | Mean value (10−6) | 69 | 98 | 172 | 384 | 538 | 592 | 657 | 683 | 711 | 754 |
| Standard deviation | 5.6 | 4.0 | 7.8 | 13.1 | 8.7 | 8.2 | 17.7 | 17.1 | 23.5 | 24.1 | |
| Influence Factor | Rubber Particles Substitution Percentage (%) | Symbol | Influence Coefficients |
|---|---|---|---|
| Rubber Particles Substituted Sand | 0 | β6 | 1.00 |
| 10 | 1.00 | ||
| 20 | 1.04 | ||
| 30 | 1.10 | ||
| 40 | 1.16 | ||
| 50 | 1.20 |
© 2019 by the authors. Licensee MDPI, Basel, Switzerland. This article is an open access article distributed under the terms and conditions of the Creative Commons Attribution (CC BY) license (http://creativecommons.org/licenses/by/4.0/).
Share and Cite
Lv, J.; Zhou, T.; Li, K.; Sun, K. Shrinkage Properties of Self-Compacting Rubber Lightweight Aggregate Concrete: Experimental and Analytical Studies. Materials 2019, 12, 4059. https://doi.org/10.3390/ma12244059
Lv J, Zhou T, Li K, Sun K. Shrinkage Properties of Self-Compacting Rubber Lightweight Aggregate Concrete: Experimental and Analytical Studies. Materials. 2019; 12(24):4059. https://doi.org/10.3390/ma12244059
Chicago/Turabian StyleLv, Jing, Tianhua Zhou, Kunlun Li, and Kai Sun. 2019. "Shrinkage Properties of Self-Compacting Rubber Lightweight Aggregate Concrete: Experimental and Analytical Studies" Materials 12, no. 24: 4059. https://doi.org/10.3390/ma12244059
APA StyleLv, J., Zhou, T., Li, K., & Sun, K. (2019). Shrinkage Properties of Self-Compacting Rubber Lightweight Aggregate Concrete: Experimental and Analytical Studies. Materials, 12(24), 4059. https://doi.org/10.3390/ma12244059
