Next Article in Journal
Phase Field Modelling of Abnormal Grain Growth
Next Article in Special Issue
Reliability Study of c-Si PV Module Mounted on a Concrete Slab by Thermal Cycling Using Electroluminescence Scanning: Application in Future Solar Roadways
Previous Article in Journal
Highly Deep Ultraviolet–Transparent h-BN Film Deposited on an Al0.7Ga0.3N Template by Low-Temperature Radio-Frequency Sputtering
 
 
Font Type:
Arial Georgia Verdana
Font Size:
Aa Aa Aa
Line Spacing:
Column Width:
Background:
Article

Performance Degradation Analysis of c-Si PV Modules Mounted on a Concrete Slab under Hot-Humid Conditions Using Electroluminescence Scanning Technique for Potential Utilization in Future Solar Roadways

1
Center of Research Excellence in Renewable Energy (CORERE), King Fahd University of Petroleum & Minerals (KFUPM), Dhahran 31261, Saudi Arabia
2
Energy Convergence Research Group, Daegu Gyeongbuk Institute of Science & Technology (DGIST), 333, Techno Jungang-Daero, Hyeonpung-Myeon, Dalseong-Gun, Daegu 42988, Korea
*
Author to whom correspondence should be addressed.
Materials 2019, 12(24), 4047; https://doi.org/10.3390/ma12244047
Submission received: 11 November 2019 / Revised: 27 November 2019 / Accepted: 3 December 2019 / Published: 5 December 2019

Abstract

The stability of the photovoltaic (PV) modules is critical when deployed in a non-ideal environment. Among the different factors, temperature and humidity are the two major factors affecting PV stability, making them significant causes of its degradation in terms of optoelectric and materials properties. Nowadays, with the increase in PV installation (here, we are only taking account of c-Si-based PV modules) to generate green electricity, effective space utilization is an important issue. Recently, people have been considering deploying PV modules on the road to utilize the space available on highways (roadways). This raises several new issues in the deployment of PV modules. However, issues related to temperature and humidity retain the same importance. Normally, these stability tests are performed in a damp-heat (DH) stress-testing chamber in an accelerated condition at 85 °C and 85% relative humidity (RH). In this work, c-Si PV modules were fixed over a concrete slab to prepare a PV interacted block, which can be used to build concrete-based roads. The performance of this PV on the concrete slab was tested in a DH stress-testing chamber in an accelerated condition at 85 °C and 85% RH for 4000 h. For the comparison, a PV module without concrete was also evaluated. The degradation of the PV modules was characterized using the electroluminescence scanning technique. After 2500 h of exposure to the DH conditions, the performance retention of the PV modules mounted on the concrete was 93.2%, which was nearly 5% higher than the module without the concrete slab.

1. Introduction

Crystalline silicon (c-Si) is dominating the PV market, because of its superior stability and performance, both of which affect the financial viability of solar PV installations. Normally, the PV modules pass through the stability certification under different simulated environmental conditions before commercialization. These procedures include dampheat (DH), thermal cycling (TC), UV exposure, mechanical load, etc., as well as various other aging mechanisms [1]. However, for a highly specific application environment, this stability certification may not be sufficient to necessitate PV installation. Thus, it required specific study of the PV modules performances under that particular environment.
Again, since PV based power plants occupy considerable land space, several countries are considering utilizing the free space of roadways. This would mean the space could be used for transportation and power generation at the same time. However, degradation and reliability are key factors in the implementation of this plan. Among the various factors affecting the stability of the PV modules, temperature and damp are more present than ever.
Common c-Si PV modules available on the market are guaranteed to operate for ~25 years and still provide 80% of initial power after this period [2]. To meet this standard, PV modules have to survive 25 years of outdoor exposure under real environmental conditions. Since waiting for 25 years to obtain the data is unfeasible, several indoor characterization techniques have been recommended by the International Electrotechnical Commission (IEC) 61215 [2,3]. These procedures, including DH, TC, UV exposure, mechanical strength, etc., can be used to explore various aging mechanisms [1,2,3]. There are several reports available in the literature that deal with DH testing for estimating the reliability and lifetime of PV modules [1,4,5,6,7,8]. Regrettably, most of these tests simply determine whether the PV modules passed or failed the test. However, some of the papers deal with estimating the lifetime of the modules. For example, Hacke et al. [9] used DH testing, in situ dark current-voltage (I–V) measurement (biased at −600 V) and exsitu illuminated I–V measurement at 100 mW/cm2 (25 °C) to estimate the degradation rate and predict lifetime. Zhu et al. [1] used various environmental conditions for the DH testing of three types of PV modules (with different types of back sheets). They [1] derived humidity dose from humidity, temperature, and time (1 dose ≈ 1430 h DH stress at 85 °C, 85% relative humidity, RH), and this data was then used to extract the power degradation, along with some of the solar cell parameters. Other research groups [1,2,10] have studied the degradation of some PV cell parameters (photogenerated current Iph, shunt resistance Rsh, series resistance Rs, diode ideality factor n and reverse saturation current I0) under DH stress.
In this work, c-Si PV modules were mounted on the concrete slab, which can be used to study the effect of high temperature and high humidity on the contraction of roadways. As no similar study is available, the power degradation of PV mounted concrete slabs was monitored in a simulated environment (85 °C and 85% RH) in an accelerated condition for 4000 h, and data were collected at different time intervals. Degradation of the performance parameters such as short circuit current Isc, open-circuit voltage Voc, fill factor FF and efficiency η were compared with the unmounted PV module. Five analytical PV cell parameters were used to conduct a loss analysis. The degradation of the PV modules was also characterized using the electroluminescence (EL) scanning technique.

2. Experimental Section

Monocrystalline PV modules (~20 W) were used for this study. The rigid modules included 36 cells, with an Al frame (module area = 1540 cm2, cell area = 31.2 cm2). DH stress was conducted at a temperature of 85 °C and a relative humidity of 85% for a DH stress cycle of 250 h (Figure 1). The DH test was conducted using an environmental chamber (Model: DS-323MHPS-153, M/s. DIMOSTECH, Incheon, Korea). Solar PV modules without concrete (3 modules), where the backside of the module was exposed to the environment, were used as a reference. However, the backside of the PV modules was covered with a concrete-filled metallic isolation box (4 modules, double-wall construction, with an insulating material filling the gap between the walls). After fitting the PV module with the isolation box, the gap between the edges of the module and the box was sealed with Kapton (polyimide) tape. The tape protected the backside of the module from moisture and heat (Figure 2). After each cycle (250 h), the PV modules were visually inspected using optical photographs of the front and rear surfaces. The EL scanning technique was used to obtain EL images using the EL system (Model: TE-2000, M/s. TNETECH, Gyeonggi-do, Korea) by applying a short circuit current.
Illuminated I–V characterization was conducted after each 500 h of DH stress. The illuminated I–V characteristics were obtained with a Keithley 2420 System SourceMeter using a solar simulator M/s Spire (Model: SPI-SUN SIMULATOR 4600SLP, The Hague, Netherlands) at 25 °C under 100 mW/cm2 illumination intensity of a simulated AM 1.5 Global solar spectrum. The intensity of illumination was measured using a reference silicon solar cell obtained from PV Measurements, Washington, DC, USA.

3. Results and Discussion

3.1. Performance Parameters Analysis

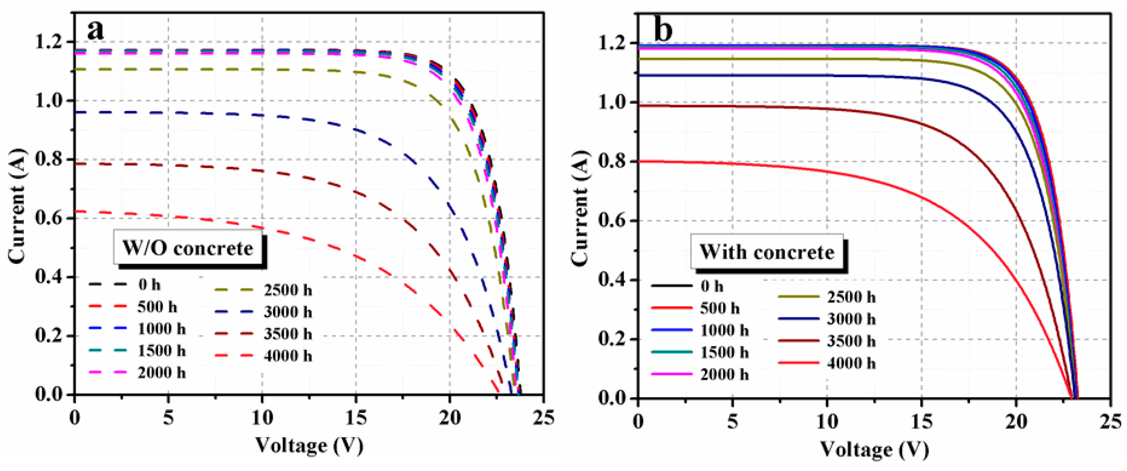
Four PV modules were used with the concrete slab, with three PV modules as references. Similar degradation was observed in each group. Here, one PV module in each group has been analyzed in detail. Moisture normally diffused into solar modules through their breathable back sheets or ethylene-vinyl acetate (EVA) sheets. In solar roadways, the top layer of the PV modules will be high-grade glass, so the backside of the PV module should be protected by moisture absorbent materials. Concretes will be a cheaper option to provide both mechanical strength and protection against the moisture or humidity, and even, to some extent, short flooding with water. Here, the PV modules were fixed on a concrete slab using the isolation box and Kapton insulating tape, and the results were promising. Compared to a reference PV module (without a concrete slab on the back), normalized values of the output power were improved when concrete was used. I–V curves of PV modules monitored without (reference PV module) and with concrete for different DH durations are shown in Figure 3a,b, respectively. Corresponding powervoltage (P–V) curves are shown in Figure 4. Performance parameters that were extracted from the I–V data are presented in Figure 5.
There was no significant change in Voc in either PV module until 1500 h in a DH chamber. However, as the duration increased further, the Voc value of the reference module started to degrade considerably compared to the Voc value of the PV module with concrete. After 4000 h, the obtained degradation in Voc was 4.5% and 1.4%, respectively, for reference and concrete-PV modules. Compared to the concrete-PV module, both Isc and FF were reduced faster up to 2000 h in the reference PV module. The normalized value of η of the PV module with concrete was reduced to 96.5%, 85.9% and 47.5% for the DH duration of 2000, 3000 and 4000 h, respectively. On the other hand, the η value of the reference PV module was reduced to 95.9%, 65.9% and 32.4% of its initial value for DH duration of 2000, 3000 and 4000 h, respectively.
EL results demonstrate that there was no defect in both the PV modules before the DH stress test (Figure 6). The Isc degradation of both PV modules was very slow for up to 2000 h of DH exposure. However, the degradation of the rate of Isc of PV module with concrete was slightly lower than the reference PV module in this duration. Figure 7 shows the EL images of the reference PV module and PV modules with concrete after a DH stress of 2000 h. Defective regions are indicated by the red dotted/dashed rectangles/circle (Figure 7a). A lower number of defects was found in the PV modules with concrete (Figure 7b), which revealed that the impact of DH stress on the PV module with concrete was smaller than that of the reference module. With a further increase in DH duration, the Isc degradation rate for the reference PV module was faster than that of the PV module with concrete. After a DH stress of 3000 h, the Isc values were reduced to 81.9% and 91.5% of their initial values, respectively, with reference to the PV module and PV module with concrete. The DH stress caused inhomogeneous aging in the PV modules, which reduced the current generation. Hence, Isc was reduced with DH stress [1]. Finally, after 4000 h in a DH chamber, the Isc values of the reference and PV module with concrete were reduced to 53.2% and 67.2%, respectively. This shows that for 3000 and 4000 h of DH exposure, the Isc value was reduced by 9.6% and 24.0%, respectively, when concrete was used.
Optical photographs of the backside of the PV modules after DH stress of 2000 h are shown in Figure 8. There is rust on the metal connection in the junction box (inset of Figure 8a) of reference PV modules. However, no rust is seen in the junction box of the PV module with concrete (inset of Figure 8b). These results demonstrate that the concrete contained an isolation box protects the backside of PV modules from exposure to moisture.
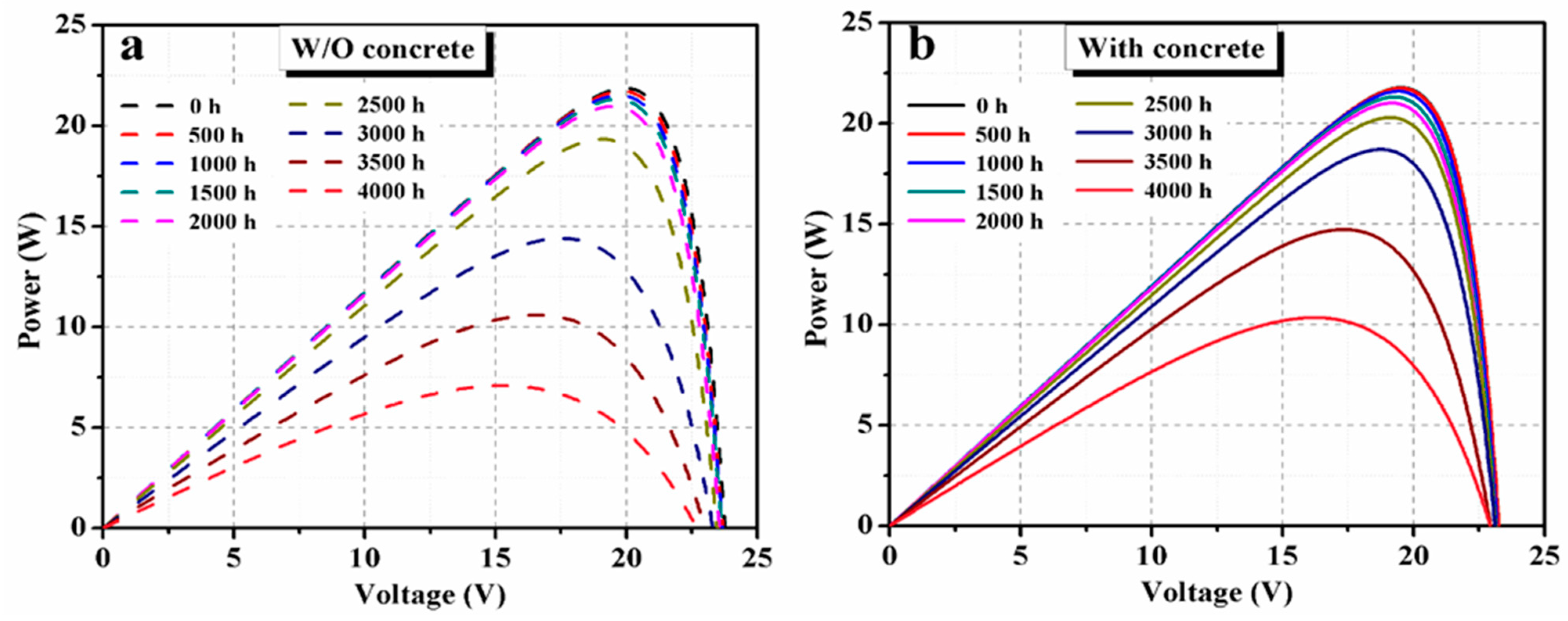
Overall, the output power degradation rate in the PV modules with concrete was lower than the reference module. The degradation of maximum power (Pm) is shown in Figure 9a. The corresponding current (Im) and voltage (Vm) degradation at the maximum power point are shown in Figs. 9b and c, respectively. The degradation rate of Pm in both PV modules was slow until 2000 h of exposure. Normalized Pm values of the PV-concrete module obtained for DH durations of 2000, 2500, 3000, 3500 and 4000 h were 96.5%, 93.2%, 85.9%, 67.6% and 47.5%, respectively. The corresponding normalized Pm values for the reference PV module are 95.9%, 88.4%, 65.9%, 48.5% and 32.4% for DH duration of 2000, 2500, 3000, 3500 and 4000 h, respectively. A similar Pm degradation in the reference PV module over DH duration was observed experimentally and by modeling on previous reports [1,2]. Zhu et al. [1] observed that the degradation rate of a PV module can be reduced using an aluminum moisture barrier with a back EVA sheet.
It can be seen from Figure 9 that the degradation of Im had a greater impact on the degradation of Pm than Vm because DH stress reduces the current generation. For a DH duration of 3000 h, the normalized Im values of reference PV module and PV modules with concrete reduced to 75.2% and 89.6% of their initial values, respectively. Relative enhancement in the performance parameters of the PV module with concrete, concerning the reference PV module, is shown in Figure 10. A significant relative improvement of more than 10% was found for Pm for DH duration beyond 2500 h. This confirms that using concrete reduces the impact of the temperature and humidity on the PV modules, which eventually enhances the performance lifetime of the PV modules.

3.2. PV Cell Parameters Analysis

Degradation of the performance parameters can also be explained using the five PV cell parameters. PV cell parameters of the PV modules are compared in Figure 11. Steady-state I–V characteristic of p-n junction solar cells, based on a one-diode model [11,12] operating in the first quadrant, is described in [13] as
I =   I p h I 0 [ e ( V + I R s n V T ) 1 ] ( V + I R s R s h )
The analytical method used in this case [13,14] is based on a single exponential model, which can be used to determine the PV cell parameters at operating temperature T under given illumination conditions. This method uses a single I–V characteristic curve to determine the five analytical PV cell parameters. The following equations are used to extract the values of Iph, Rsh, Rs, n, and I0, using the values of Isc, Voc, Rsc, Roc, Im, and Vm.
I p h =   I s c ( 1 +   R s R s h ) + I 0 [ e ( I s c R s n V T ) 1 ]
R s h =   R s c
R s =   R o c n V T I 0 e V o c n V T  
n =   ( V m   R o c I m   V o c ) V T { l n ( I s c   V m R s c   I m ) l n ( I s c   V o c R s c ) + ( I m I s c   V o c R s c ) }
I 0 = (   I s c   V o c R s c ) e V o c n V T  
Here, Rsc = (dI/dV)−1 at short circuit conditions (V = 0, I = Isc), Roc = (dI/dV)−1 at open circuit conditions (V = Voc, I = 0), and VT = kT/q (k being the Boltzmann’s constant, and q the elementary electronic charge).
A similar variation in Iph, as observed in Isc, is obtained with DH duration, confirming that the DH stress has a decisive effect on current generation. In most cases, the Iph linearly depends on Isc [14]. The value of Rsh in the PV module with concrete is nearly constant up to a DH duration of 1000 h and reduces to 92.6% after 2500 h of exposure. With a further increase in DH duration to 4000 h, Rsh is reduced to 91.5%. However, the value of Rsh in the reference module starts a gradual reduction from 500 h and then decreases to 89.6% and 77.9% of the initial value at 2500 h and 4000 h, respectively. Typically, Rsh is a parallel highlyconductive path within the PV cell due to local imperfection regions, which contain a large number of traps [15]. This occurs because the traps sink the majority chargecarriers or the lightgenerated minority chargecarriers [16]. More traps are generated with an increasing DH exposure [17], which results in local inhomogeneity in the traps and enhances the nonuniform current flow [18], as well as the leakage current through the p-n junction or from the edge [15]. These traps are more dynamic under low illumination conditions [19]. A low value of Rsh has a detrimental effect on Voc and FF, and thereby module performance, particularly at low intensity [10] or a higher operating temperature [14]. The value of Rs exponentially increases with a rise in DH duration. The variation range of Rs was found to be lower in the PV module with concrete than the reference module, whereas it increased faster in the reference PV module. Rs value of the PV module with concrete increased by 10% after 2500 h, while it increased by 40% for the reference PV module. Moreover, after DH stress of 4000 h, the value of Rs increased by 56% and 114% for PV modules with concrete and reference modules, respectively. The Rs value of a PV module is the combined resistance of the PV cell (base and emitter), front/back contacts, the resistance of solder bonds, and the resistance of junction boxes. The DH stress increased defects in the PV material (Si) and deteriorated contact between Si and metallic contacts. Thus, the overall series resistance was increased. Moreover, the reduction of current generation was also a reason to increase the value of the Rs. Rs severely shrinks the value of FF of the cell and thus degrades the cell efficiency. Correspondingly, n and I0 values also increased with an increase in DH duration. This severely decreased the FF of the PV modules and consequently reduced performance [20]. The value of n increased to 3.1 times its initial value for DH duration of 4000 h, while the increment of n value was higher for the reference module (4 times for DH duration of 4000 h). I0 values increased to 311,645.4 times and 111,654.9 times for the reference module and PV module with concrete, respectively, for DH duration of 4000 h. Voc and FF values were intensely affected by n and I0, where I0 had a decisive effect on the Voc. The rise in the value of n resulted in a higher Voc value, while the FF was severely reduced with an increase in n value [20]. It can be seen that the degradation in the Voc values are quite low, while the corresponding n values are enormously affected with the DH duration. This is accredited to inhomogeneous ageing of the PV cells and the cell mismatch.
The trend in the variation of the PV cell parameters of the reference PV module was similar to the cell parameters of the PV module without a moisture barrier reported by Zhu et al. [1]. However, in their study, the losses were reduced by the insertion of an aluminum moisture barrier on the EVA back sheet. Again, the metallic isolation box with concrete also worked as an effective moisture barrier and reduced the reduction rate of performance. Concrete slabs absorbed some fraction of the moisture, which diffused through the Kapton tape at the edges of the module and thus effected the power degradation rate.

3.3. Measurement Error Analysis

The error in the directly measured quantities are under a level of confidence [21,22]. However, errors propagation method is used to determine the errors in the calculated parameters. The error limits of various parameters are listed in Table 1.

4. Conclusions

IEC standard DH stress testing conditions were used to evaluate the PV module’s degradation of the performance parameters on the PV mounted on a concrete slab. PV cell parameters were analyzed to study the loss mechanism. The comparative study showed that using concrete contained in isolation boxes can reduce the rate of performance degradation of the PV module. EL results revealed that fewer defects were created in the PV module with concrete than the reference module without any concrete slab. Normalized Pm values of the PV module with concrete obtained for DH durations of 2000, 2500, 3000, 3500 and 4000 h were 96.5%, 93.2%, 85.9%, 67.6% and 47.5%, respectively. Corresponding normalized Pm values obtained for the reference PV module were 95.9%, 88.4%, 65.9%, 48.5% and 32.4% for DH durations of 2000, 2500, 3000, 3500 and 4000 h, respectively. For the DH duration of 4000 h, the values of n increased by 4.0 times and 3.1 times for the reference module and PV module with concrete, respectively. Similarly, the corresponding I0 values of the reference and PV module with concrete increased to 311,645.4 times and 111,654.9 times, respectively. From this preliminary study, it is clear that the concrete back layer plays an important part in the protection of the PV modules from the destructive effects of high temperature and humidity. A more in-depth study is required, and modified PV modules will be introduced for viable solar roadways, which is in progress in our laboratory.

Author Contributions

F.K. anticipated the idea and design the experimentations. J.H.K. conducted the experiments. F.K. and J.H.K. examined the results and drafted the paper.

Funding

This research was funded by the Energy Technology Development Program of the Korea Institute of Energy Technology Evaluation and Planning (KETEP, Grant No. 20173010012880), Republic of Korea.

Acknowledgments

The authors are very thankful to Energy Technology Development Program of the Korea Institute of Energy Technology Evaluation and Planning (KETEP) for providing financial support to conduct this work. The author F.K. gratefully acknowledges the Center of Research Excellence in Renewable Energy (CORERE), Research Institute, King Fahd University of Petroleum & Minerals (KFUPM), Kingdom of Saudi Arabia.

Conflicts of Interest

The authors declare no conflict of interest.

References

  1. Zhu, J.; Koehl, M.; Hoffmann, S.; Berger, K.A.; Zamini, S.; Bennett, I.; Gerritsen, E.; Malbranche, P.; Pugliatti, P.; Di Stefano, A.; et al. Changes of solar cell parameters during damp-heat exposure. Prog. Photovolt. 2016, 24, 1346–1358. [Google Scholar] [CrossRef]
  2. Braisaz, B.; Duchayne, C.; Iseghem, M.V.; Radouane, K. PV aging model applied to several meteorological conditions. In Proceedings of the 29th European Photovoltaic Solar Energy Conference and Exhibition (EUPVSEC), Amsterdam, The Netherlands, 22–26 September 2014; pp. 2303–2309. [Google Scholar]
  3. Crystalline Silicon Terrestrial Photovoltaic (PV) Modules—Design Qualification and Type Approval; IEC 61215:2005; IEC Central Office: Geneva, Switzerland, April 2005.
  4. Wohlgemuth, J.H.; Kempe, M.D. Equating damp heat testing with field failures of PV modules. In Proceedings of the 39th IEEE Photovoltaic Specialists Conference (PVSC), Tampa, FL, USA, 16–21 June 2013; pp. 126–131. [Google Scholar]
  5. Osterwald, C.R.; McMahon, T.J. History of accelerated and qualification testing of terrestrial photovoltaic modules: a literature review. Prog. Photovolt. 2009, 17, 11–33. [Google Scholar] [CrossRef]
  6. Wohlgemuth, J.H.; Kurtz, S. Using accelerated testing to predict module reliability. In Proceedings of the 37th IEEE Photovoltaic Specialists Conference, Seattle, WA, USA, 19–24 June 2011; pp. 3601–3605. [Google Scholar]
  7. Wohlgemuth, J.H.; Cunningham, D.W.; Amin, D.; Shaner, J.; Xia, Z.; Miller, J. Using accelerated tests and field data to predict module reliability and lifetime. In Proceedings of the 23rd European Photovoltaic Solar Energy Conference and Exhibition (EUPVSEC), Valencia, Spain, 1–4 September 2008; pp. 2663–2669. [Google Scholar]
  8. Bennett, I.J.; Roca, F.; Graditi, G.; Zubilaga, O.; Malbranche, P.; Zhu, J.; Gottschalg, R.; Köhl, M.; Hoffmann, S.; Berger, K.A.; et al. PV module lifetime prediction and quality assurance as addressed by SOPHIYA. In Proceedings of the 29th European Photovoltaic Solar Energy Conference and Exhibition (EUPVSEC), Amsterdam, The Netherlands, 22–26 September 2014; pp. 2495–2498. [Google Scholar]
  9. Hacke, P.; Smith, R.; Terwilliger, K.; Glick, S.; Jordan, D.; Johnston, S.; Kempe, M.; Kurtz, S. Testing and analysis for lifetime prediction of crystalline silicon PV modules undergoing degradation by system voltage stress. IEEE J. Photvolt. 2013, 3, 246–253. [Google Scholar] [CrossRef]
  10. Meyer, E.L.; van Dyk, E.E. Assessing the reliability and degradation of photovoltaic module performance parameters. IEEE Trans. Reliab. 2004, 53, 83–92. [Google Scholar] [CrossRef]
  11. Khan, F.; Baek, S.H.; Kim, J.H. Intensity dependency of photovoltaic cell parameters under high illumination conditions: An analysis. Appl. Energy 2014, 133, 356–362. [Google Scholar] [CrossRef]
  12. Khan, F.; Baek, S.H.; Park, Y.; Kim, J.H. Extraction of diode parameters of silicon solar cells under high illumination conditions. Energy Con. Manag. 2013, 76, 421–429. [Google Scholar] [CrossRef]
  13. Phang, J.C.H.; Chan, D.S.H.; Phillips, J.R. Accurate analytical method for the extraction of solar cell model parameters. Electron. Lett. 1984, 20, 406–408. [Google Scholar] [CrossRef]
  14. Khan, F.; Baek, S.H.; Kim, J.H. Wide range temperature dependence of analytical photovoltaic parameters for silicon solar cells under high illumination conditions. Appl. Energy 2016, 183, 715–724. [Google Scholar] [CrossRef]
  15. Breitenstein, O.; Rakotoniaina, J.P.; Al Rifai, M.H.; Werner, M. Shunt type in crystalline silicon solar cells. Prog. Photovolt. 2004, 12, 529–538. [Google Scholar] [CrossRef]
  16. Singh, S.N.; Kumar, D. Phenomenological model of anomalously high photovoltage generated in obliquely deposited semiconductor films. J. Appl. Phys. 2008, 103, 023713. [Google Scholar] [CrossRef]
  17. Rummel, S.R.; McMahon, T.J. Effect of cell shunt resistance on module performance at reduced light levels. In Proceedings of the 13th NREL photovoltaics program review meeting, Lakewood, CO, USA, 16–19 May 1995; pp. 581–586. [Google Scholar]
  18. Chakravarty, B.C.; Arora, N.K.; Singh, S.N.; Das, B.K. Solar cell performance with an inhomogeneous grain size distribution. IEEE Trans. Electron. Dev. 1986, 33, 158–160. [Google Scholar] [CrossRef]
  19. Khan, F.; Singh, S.N.; Husain, M. Effect of illumination intensity on cell parameters of a silicon solar cell. Sol. Energy Mater. Sol. Cells 2010, 94, 1473–1476. [Google Scholar] [CrossRef]
  20. Khan, F.; Baek, S.H.; Kim, J.H. Determination of the diode parameters of a-Si and CdTe solar modules using variation of the intensity of illumination: An application. Sol. Energy 2011, 85, 2288–2294. [Google Scholar] [CrossRef]
  21. Khan, F.; Baek, S.H.; Singh, S.N.; Singh, P.K.; Kim, J.H. Effective passivation of silicon surface by AZO films: application in bifacial solar cells. Sol. Energy 2013, 97, 474–483. [Google Scholar] [CrossRef]
  22. Clifford, A.A. Multivariate Error Analysis: A Handbook of Error Propagation and Calculation in Many-Parameter Systems; John Wiley & Sons: New York, NY, USA, 1973. [Google Scholar]
Figure 1. Schematic for the procedure used for Damp-Heat (DH) stress test.
Figure 1. Schematic for the procedure used for Damp-Heat (DH) stress test.
Materials 12 04047 g001
Figure 2. Optical image of (left) metallic isolation box with concrete (concrete slab) and (right) photovoltaic (PV) module mounted on concrete slab.
Figure 2. Optical image of (left) metallic isolation box with concrete (concrete slab) and (right) photovoltaic (PV) module mounted on concrete slab.
Materials 12 04047 g002
Figure 3. Illuminated I–V curves for various DH stress duration of PV module (a) without concrete, and (b) with concrete.
Figure 3. Illuminated I–V curves for various DH stress duration of PV module (a) without concrete, and (b) with concrete.
Materials 12 04047 g003
Figure 4. Illuminated P–V curves for various DH stress duration of PV module (a) without concrete, and (b) with concrete.
Figure 4. Illuminated P–V curves for various DH stress duration of PV module (a) without concrete, and (b) with concrete.
Materials 12 04047 g004
Figure 5. The variation of (a) short circuit current, (b) open-circuit voltage, (c) fill factor and (d) conversion efficiency with DH stress duration.
Figure 5. The variation of (a) short circuit current, (b) open-circuit voltage, (c) fill factor and (d) conversion efficiency with DH stress duration.
Materials 12 04047 g005
Figure 6. Electroluminescence images of PV modules (a) without concrete, and (b) with concrete before DH stress test.
Figure 6. Electroluminescence images of PV modules (a) without concrete, and (b) with concrete before DH stress test.
Materials 12 04047 g006
Figure 7. Electroluminescence images of PV modules (a) without concrete, and (b) with concrete after DH stress duration of 2000 h.
Figure 7. Electroluminescence images of PV modules (a) without concrete, and (b) with concrete after DH stress duration of 2000 h.
Materials 12 04047 g007
Figure 8. Optical photographs of backside PV modules (a) without concrete, and (b) with concrete after DH stress duration of 2000 h. (Inset optical photographs of junction box and of corresponding PV modules).
Figure 8. Optical photographs of backside PV modules (a) without concrete, and (b) with concrete after DH stress duration of 2000 h. (Inset optical photographs of junction box and of corresponding PV modules).
Materials 12 04047 g008
Figure 9. The dependency of (a) output power, (b) current, and (c) voltage at maximum power point on DH stress duration.
Figure 9. The dependency of (a) output power, (b) current, and (c) voltage at maximum power point on DH stress duration.
Materials 12 04047 g009
Figure 10. The relative improvement of performance parameters of the PV module with concrete, concerning parameters of PV module without concrete.
Figure 10. The relative improvement of performance parameters of the PV module with concrete, concerning parameters of PV module without concrete.
Materials 12 04047 g010
Figure 11. Variation of (a) photo-generated current, (b) shunt resistance, (c) series resistance, (d) diode ideality factor, and (e) reverse saturation current.
Figure 11. Variation of (a) photo-generated current, (b) shunt resistance, (c) series resistance, (d) diode ideality factor, and (e) reverse saturation current.
Materials 12 04047 g011
Table 1. Error limits of the measured/calculated quantities.
Table 1. Error limits of the measured/calculated quantities.
ParametersError (%)
Isc (A), Im (A), Voc (V), Vm (V)0.12
FF0.21
Pm, η0.56

Share and Cite

MDPI and ACS Style

Khan, F.; Kim, J.H. Performance Degradation Analysis of c-Si PV Modules Mounted on a Concrete Slab under Hot-Humid Conditions Using Electroluminescence Scanning Technique for Potential Utilization in Future Solar Roadways. Materials 2019, 12, 4047. https://doi.org/10.3390/ma12244047

AMA Style

Khan F, Kim JH. Performance Degradation Analysis of c-Si PV Modules Mounted on a Concrete Slab under Hot-Humid Conditions Using Electroluminescence Scanning Technique for Potential Utilization in Future Solar Roadways. Materials. 2019; 12(24):4047. https://doi.org/10.3390/ma12244047

Chicago/Turabian Style

Khan, Firoz, and Jae Hyun Kim. 2019. "Performance Degradation Analysis of c-Si PV Modules Mounted on a Concrete Slab under Hot-Humid Conditions Using Electroluminescence Scanning Technique for Potential Utilization in Future Solar Roadways" Materials 12, no. 24: 4047. https://doi.org/10.3390/ma12244047

APA Style

Khan, F., & Kim, J. H. (2019). Performance Degradation Analysis of c-Si PV Modules Mounted on a Concrete Slab under Hot-Humid Conditions Using Electroluminescence Scanning Technique for Potential Utilization in Future Solar Roadways. Materials, 12(24), 4047. https://doi.org/10.3390/ma12244047

Note that from the first issue of 2016, this journal uses article numbers instead of page numbers. See further details here.

Article Metrics

Back to TopTop