Recyclable Polymer-Supported N-Hydroxyphthalimide Catalysts for Selective Oxidation of Pullulan
Abstract
1. Introduction
2. Experimental Section
2.1. Materials
2.2. Preparation of Catalysts
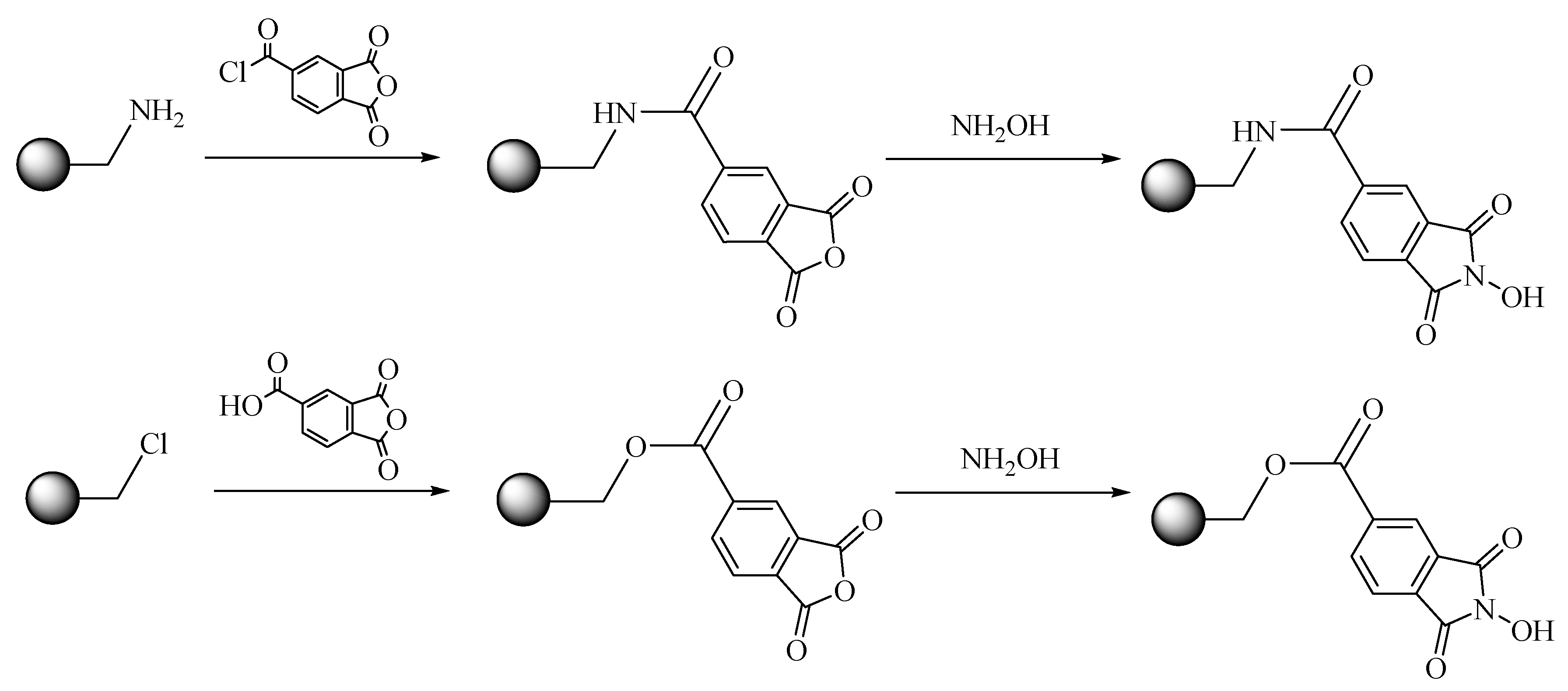
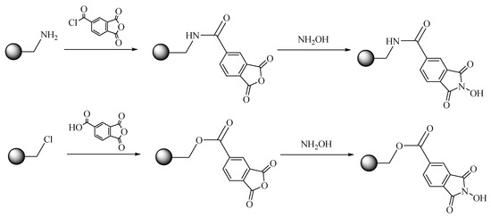
2.2.1. Immobilization of NHPI by Amide Bond Using (aminomethyl) Polystyrene Resin
2.2.2. Immobilization of NHPI by Ester Bond Using (Chloromethyl) Polystyrene Resin
2.3. Preparation of the Oxidized Pullulan
2.4. Fourier-Transform Infrared Spectroscopy (FTIR)
2.5. 1H and 13C NMR
2.6. Elemental Analysis
2.7. Zeta-Potential (ζ) Measurements
2.8. Polyelectrolyte Titration
2.9. Scanning Electron Microscopy (SEM)
3. Results and Discussions
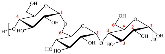
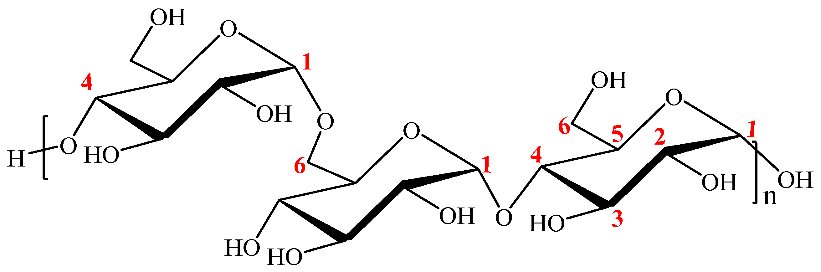
3.1. Pullulan Oxidation
3.2. NMR Analyses
3.3. FTIR Analyses
3.4. SEM Analyses
4. Conclusions
Supplementary Materials
Author Contributions
Funding
Acknowledgments
Conflicts of Interest
References
- Yackel, E.C.; Kenyon, W.O. The Oxidation of Cellulose by Nitrogen Dioxide*. J. Am. Chem. Soc. 1942, 64, 121–127. [Google Scholar] [CrossRef]
- Coseri, S. Cellulose: To depolymerize… or not to? Biotechnol. Adv. 2017, 35, 251–266. [Google Scholar] [CrossRef] [PubMed]
- Coseri, S.; Bercea, M.; Harabagiu, V.; Budtova, T. Oxidation vs. degradation in polysaccharides: Pullulan—A case study. Eur. Polym. J. 2016, 85, 82–91. [Google Scholar] [CrossRef]
- Coseri, S. N-Hydroxyphthalimide (NHPI)/Lead Tetraacetate, a Peculiar System for the Phthalimide-N-Oxyl (PINO) Radical Generation. Mini-Rev. Org. Chem. 2008, 5, 222–227. [Google Scholar] [CrossRef]
- Coseri, S. N-Hydroxyphthalimide (NHPI)/lead tetraacetate reactions with cyclic and acyclic alkenes. J. Phys. Org. Chem. 2009, 22, 397–402. [Google Scholar] [CrossRef]
- Coseri, S. Phthalimide-N-oxyl (PINO) Radical, a Powerful Catalytic Agent: Its Generation and Versatility Towards Various Organic Substrates. Catal. Rev. 2009, 51, 218–292. [Google Scholar] [CrossRef]
- Biliuta, G.; Fras, L.; Harabagiu, V.; Coseri, S. Mild oxidation of cellulose fibers using dioxygen as ultimate oxidizing agent. Dig. J. Nanomater. Biostruct. 2011, 6, 293–299. [Google Scholar]
- Coseri, S.; Nistor, G.; Fras, L.; Strnad, S.; Harabagiu, V.; Simionescu, B.C. Mild and Selective Oxidation of Cellulose Fibers in the Presence ofN-Hydroxyphthalimide. Biomacromolecules 2009, 10, 2294–2299. [Google Scholar] [CrossRef]
- Biliuta, G.; Fras, L.; Strnad, S.; Harabagiu, V.; Coseri, S. Oxidation of cellulose fibers mediated by nonpersistent nitroxyl radicals. J. Polym. Sci. Part Polym. Chem. 2010, 48, 4790–4799. [Google Scholar] [CrossRef]
- Biliuta, G.; Coseri, S. Cellulose: A ubiquitous platform for ecofriendly metal nanoparticles preparation. Co-ord. Chem. Rev. 2019, 383, 155–173. [Google Scholar] [CrossRef]
- Leathers, T.D. Biotechnological production and applications of pullulan. Appl. Microbiol. Biotechnol. 2003, 62, 468–473. [Google Scholar] [CrossRef] [PubMed]
- Kimoto, T.; Shibuya, T.; Shiobara, S. Safety studies of a novel starch, pullulan: Chronic toxicity in rats and bacterial mutagenicity. Food Chem. Toxicol. 1997, 35, 323–329. [Google Scholar] [CrossRef]
- Tsuji, K.; Fujimoto, M.; Masuko, F.; Nagase, T. Carboxylated Pullulan and Method for Producing Same. U.S. Patent 4,090,016, 16 May, 1978. [Google Scholar]
- Fujita, F.; Fukami, K.; Fujimoto, M. Pullulan Aminoalkyl Ether. U.S. Patent 4,167,623, 09 November, 1979. [Google Scholar]
- Hijiya, H.; Shiosaka, M. Shaped Bodies of Pullulan Esters and Their Use. U.S. Patent 3,871,892, 18 March, 1975. [Google Scholar]
- Baron, R.I.; Culica, M.E.; Biliuta, G.; Bercea, M.; Gherman, S.; Zavastin, D.; Ochiuz, L.; Avadanei, M.; Coseri, S. Physical Hydrogels of Oxidized Polysaccharides and Poly(Vinyl Alcohol) for Wound Dressing Applications. Materials 2019, 12, 1569. [Google Scholar] [CrossRef] [PubMed]
- De Nooy, A.E.J.; Besemer, A.C.; van Bekkum, H. Selective oxidation of primary alcohols mediated by nitroxyl radical in aqueous solution. Kinetics and mechanism. Carbohydr. Res. 1995, 269, 89–98. [Google Scholar] [CrossRef]
- Biliuta, G.; Sacarescu, L.; Socoliuc, V.; Iacob, M.; Gheorghe, L.; Negru, D.; Coseri, S. Carboxylated Polysaccharides Decorated with Ultrasmall Magnetic Nanoparticles with Antibacterial and MRI Properties. Macromol. Chem. Phys. 2017, 218, 1700062. [Google Scholar] [CrossRef]
- Gherman, S.; Zavastin, D.; Ochiuz, L.; Biliuta, G.; Coseri, S. Enalapril maleate loaded pullulan film for mucoadhesive buccal drug delivery applications. Cellul. Chem. Technol. 2016, 50, 593–600. [Google Scholar]
- Kasperczyk, K.; Orlińska, B.; Witek, E.; Łątka, P.; Zawadiak, J.; Proniewicz, L. Polymer-Supported N-Hydroxyphthalimide as Catalyst for Toluene and p-Methoxytoluene Aerobic Oxidation. Catal. Lett. 2015, 145, 1856–1867. [Google Scholar] [CrossRef]
- Jian, M.; Jianlan, C.; Dongmei, L.; Meina, X. Catalytic properties of N-hydroxyphthalimide immobilized on a novel porous organic polymer in the oxidation of toluene by molecular oxygen. RSC Adv. 2016, 6, 68170–68177. [Google Scholar] [CrossRef]
- Łątka, P.; Kasperczyk, K.; Orlińska, B.; Drozdek, M.; Skorupska, B.; Witek, E. N-Hydroxyphthalimide Immobilized on Poly(HEA-co-DVB) as Catalyst for Aerobic Oxidation Processes. Catal. Lett. 2016, 146, 1991–2000. [Google Scholar] [CrossRef]
- Gao, B.; Bi, C. Some catalytic characteristics of compositional catalysts of immobilized N-hydroxyphthalimide and metal salts in aerobic oxidation of 1-phenylethanol. Catal. Commun. 2018, 115, 6–11. [Google Scholar] [CrossRef]
- Arnosti, C.; Repeta, D.J. Nuclear Magnetic Resonance Spectroscopy of Pullulan and Isomaltose: Complete Assignment of Chemical Shifts. Starch-Stärke 1995, 47, 73–75. [Google Scholar] [CrossRef]
- Spatareanu, A.; Bercea, M.; Budtova, T.; Harabagiu, V.; Sacarescu, L.; Coseri, S. Synthesis, characterization and solution behaviour of oxidized pullulan. Carbohydr. Polym. 2014, 111, 63–71. [Google Scholar] [CrossRef] [PubMed]
- Pereira, J.M.; Mahoney, M.; Edgar, K.J. Synthesis of amphiphilic 6-carboxypullulan ethers. Carbohydr. Polym. 2014, 100, 65–73. [Google Scholar] [CrossRef] [PubMed]






| Catalyst | Immobilized by | Crosslinking Degree of Resin (% DVB) | NHPI Loading, Our Work, (mmol NHPI/g) | NHPI Loading, Ref. [20] (mmol NHPI/g) |
|---|---|---|---|---|
| APS-NHCO-NHPI-1 (APS) | Amide bond | 2.0 | 1.6 | 1.12 |
| AMPS-OCO-NHPI-1 (AMPS) | Ester bond | 5.5 | 2.1 | 1.65 |
| BMPS-OCO-NHPI-2 (BMPS) | Ester bond | 2.0 | 0.9 | 0.9 |
| Pullulan (g) | Catalyst | NaBr (mM/g) | NaOCl (mM/g) | EC (%) | ζ (mV) | ||
|---|---|---|---|---|---|---|---|
| Type | Recycle | Amount (g) | |||||
| 1 | APS-NHCO-NHPI-1 (APS) | 0 | 0.8 | 1 | 10 | 21 ± 0.4 | −19.7 ± 0.6 |
| 1 | 0.75 | 0.94 | 26 ± 0.2 | −19.5 ± 0.4 | |||
| 2 | 0.6 | 0.76 | 27 ± 0.3 | −18.8 ± 0.2 | |||
| 3 | 0.5 | 0.63 | 27 ± 0.6 | −22.1 ± 0.8 | |||
| 1 | AMPS-OCO-NHPI-1 (AMPS) | 0 | 0.8 | 1 | 10 | 17 ± 0.1 | −18.6 ± 0.2 |
| 1 | 0.75 | 0.94 | 21 ± 0.3 | −17.6 ± 0.6 | |||
| 2 | 0.7 | 0.88 | 13 ± 0.9 | −16.2 ± 0.4 | |||
| 3 | 0.6 | 0.86 | 16 ± 0.6 | −16.6 ± 0.2 | |||
| 1 | BMPS-OCO-NHPI-2 (BMPS) | 0 | 0.8 | 1 | 10 | 17 ± 0.5 | −24.7 ± 0.2 |
| 1 | 0.75 | 0.96 | 18 ± 0.3 | −21.8 ± 0.2 | |||
| 2 | 0.65 | 0.85 | 27 ± 0.4 | −24.9 ± 0.5 | |||
| 3 | 0.5 | 0.65 | 35 ± 1.5 | −27.3 ± 0.6 | |||
© 2019 by the authors. Licensee MDPI, Basel, Switzerland. This article is an open access article distributed under the terms and conditions of the Creative Commons Attribution (CC BY) license (http://creativecommons.org/licenses/by/4.0/).
Share and Cite
Culica, M.E.; Kasperczyk, K.; Baron, R.I.; Biliuta, G.; Macsim, A.M.; Lazea-Stoyanova, A.; Orlinska, B.; Coseri, S. Recyclable Polymer-Supported N-Hydroxyphthalimide Catalysts for Selective Oxidation of Pullulan. Materials 2019, 12, 3585. https://doi.org/10.3390/ma12213585
Culica ME, Kasperczyk K, Baron RI, Biliuta G, Macsim AM, Lazea-Stoyanova A, Orlinska B, Coseri S. Recyclable Polymer-Supported N-Hydroxyphthalimide Catalysts for Selective Oxidation of Pullulan. Materials. 2019; 12(21):3585. https://doi.org/10.3390/ma12213585
Chicago/Turabian StyleCulica, Madalina Elena, Kornela Kasperczyk, Raluca Ioana Baron, Gabriela Biliuta, Ana Maria Macsim, Andrada Lazea-Stoyanova, Beata Orlinska, and Sergiu Coseri. 2019. "Recyclable Polymer-Supported N-Hydroxyphthalimide Catalysts for Selective Oxidation of Pullulan" Materials 12, no. 21: 3585. https://doi.org/10.3390/ma12213585
APA StyleCulica, M. E., Kasperczyk, K., Baron, R. I., Biliuta, G., Macsim, A. M., Lazea-Stoyanova, A., Orlinska, B., & Coseri, S. (2019). Recyclable Polymer-Supported N-Hydroxyphthalimide Catalysts for Selective Oxidation of Pullulan. Materials, 12(21), 3585. https://doi.org/10.3390/ma12213585

