Three-Dimensional Vibration Analysis of a Functionally Graded Sandwich Rectangular Plate Resting on an Elastic Foundation Using a Semi-Analytical Method
Abstract
1. Introduction
2. Theoretical Formulations
2.1. Geometrical Configuration
2.2. Admissible Displacement Functions
2.3. Energy Expressions
2.4. Solution Methodology
3. Numerical Results and Discussion
3.1. Convergence Study
3.2. Validation Studies
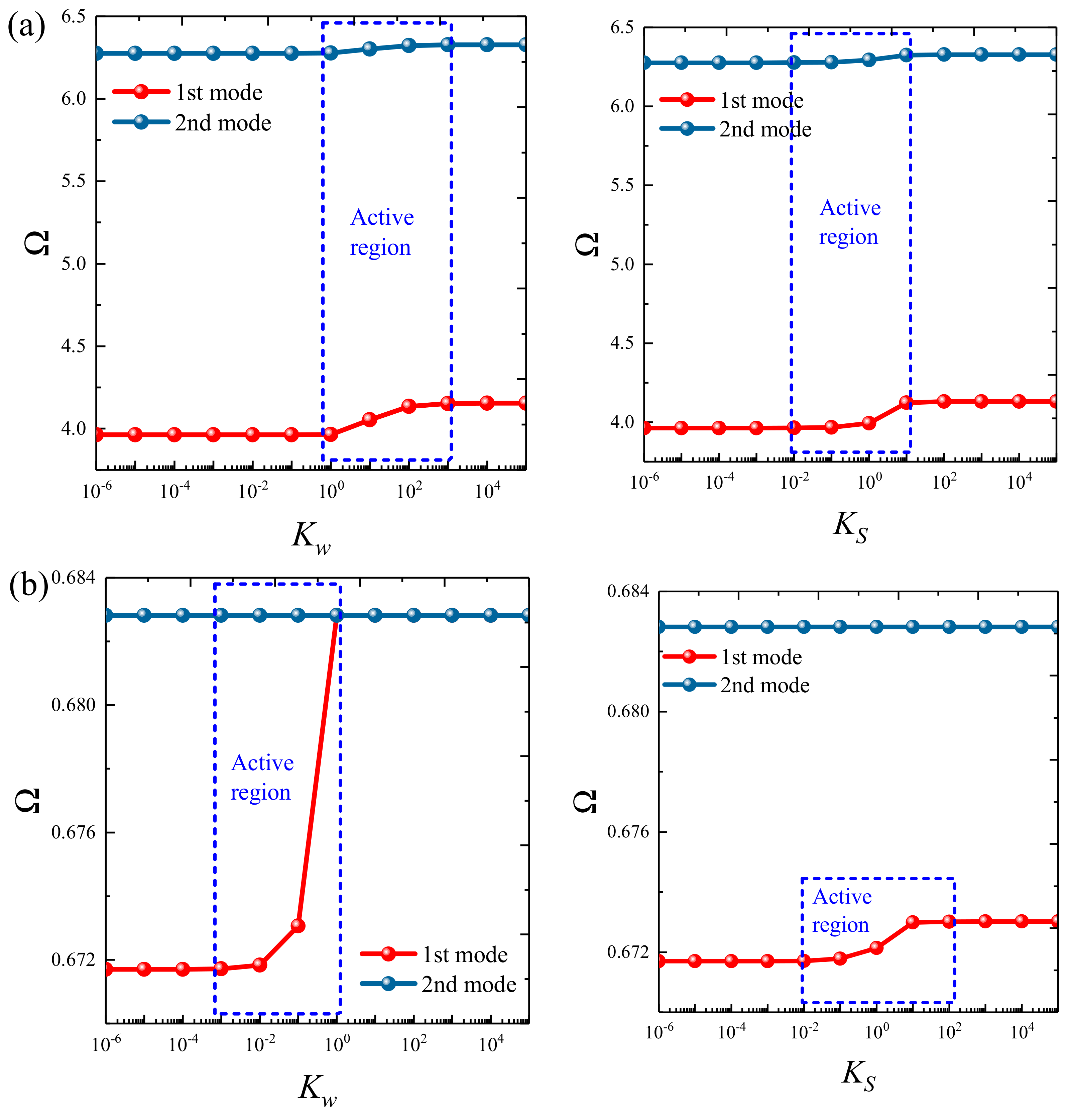
3.3. Parametric Studies
4. Conclusions
Author Contributions
Funding
Conflicts of Interest
Appendix A
References
- Tian, A.; Ye, R.; Chen, Y. A new higher order analysis model for sandwich plates with flexible core. J. Compos. Mater. 2016, 50, 949–961. [Google Scholar] [CrossRef]
- Cui, J.; Ye, R.; Zhao, N.; Wu, J.; Wang, M. Assessment on energy absorption of double layered and sandwich plates under ballistic impact. Thin-Walled Struct. 2018, 130, 520–534. [Google Scholar] [CrossRef]
- Tian, A.; Ye, R.; Ren, P.; Jiang, P.; Chen, Z.; Yin, X.; Zhao, Y. New higher-order models for sandwich plates with a flexible core and their accuracy assessment. Int. J. Struct. Stab. Dyn. 2019, 19, 1950024. [Google Scholar] [CrossRef]
- Zhao, N.; Ye, R.; Tian, A.; Cui, J.; Ren, P.; Wang, M. Experimental and numerical investigation on the anti-penetration performance of metallic sandwich plates for marine applications. J. Sandw. Struct. Mater. 2019. [Google Scholar] [CrossRef]
- Kirchhoff, V.G. Uber das gleichgewicht und die bewegung einer elastischen scheibe. J. Fur Die Reine Und Angew. Math. 1850, 40, 51–88. [Google Scholar]
- Mohammadi, M.; Saidi, A.R.; Jomehzadeh, E. Levy solution for buckling analysis of functionally graded rectangular plates. Appl. Compos. Mater. 2010, 17, 81–93. [Google Scholar] [CrossRef]
- Mindlin, R.D. Influence of rotatory inertia and shear on flexural motions of isotropic, elastic plates. J. Appl. Mech. 1951, 18, 31–38. [Google Scholar]
- Ardestani, M.M.; Soltani, B.; Shams, S. Analysis of functionally graded stiffened plates based on FSDT utilizing reproducing kernel particle method. Compos. Struct. 2014, 112, 231–240. [Google Scholar] [CrossRef]
- Reddy, J.N. A simple higher-order theory for laminated composite plates. J. Appl. Mech. 1984, 51, 745–752. [Google Scholar] [CrossRef]
- Najafizadeh, M.M.; Heydari, H.R. Thermal buckling of functionally graded circular plates based on higher order shear deformation plate theory. Eur. J. Mech. A/Solids 2004, 23, 1085–1100. [Google Scholar] [CrossRef]
- Matsunaga, H. Free vibration and stability of functionally graded shallow shells according to a 2D higher-order deformation theory. Compos. Struct. 2008, 84, 132–146. [Google Scholar] [CrossRef]
- Carrera, E.; Pagani, A.; Petrolo, M.; Zappino, E. Recent developments on refined theories for beams with applications. Mech. Eng. Rev. 2015, 2, 14-00298. [Google Scholar] [CrossRef]
- Al Khateeb, S.A.; Zenkour, A.M. A refined four-unknown plate theory for advanced plates resting on elastic foundations in hygrothermal environment. Compos. Struct. 2014, 111, 240–248. [Google Scholar] [CrossRef]
- Zidi, M.; Tounsi, A.; Houari, M.S.A.; Bedia, E.A.A.; Bég, O.A. Bending analysis of FGM plates under hygro-thermo-mechanical loading using a four variable refined plate theory. Aerosp. Sci. Technol. 2014, 34, 24–34. [Google Scholar] [CrossRef]
- Bennoun, M.; Houari MS, A.; Tounsi, A. A novel five-variable refined plate theory for vibration analysis of functionally graded sandwich plates. Mech. Adv. Mater. Struct. 2016, 23, 423–431. [Google Scholar] [CrossRef]
- Benachour, A.; Tahar, H.D.; Atmane, H.A.; Tounsi, A.; SidAhmed, M. A four variable refined plate theory for free vibrations of functionally graded plates with arbitrary gradient. Compos. Part B Eng. 2011, 42, 1386–1394. [Google Scholar] [CrossRef]
- Hebali, H.; Tounsi, A.; Houari, M.S.A.; Bessaim, A.; Bedia, E.A. New quasi-3D hyperbolic shear deformation theory for the static and free vibration analysis of functionally graded plates. J. Eng. Mech. 2014, 140, 374–383. [Google Scholar] [CrossRef]
- Kashtalyan, M.; Menshykova, M. Three-dimensional elasticity solution for sandwich panels with a functionally graded core. Compos. Struct. 2009, 87, 36–43. [Google Scholar] [CrossRef]
- Carrera, E. Evaluation of layerwise mixed theories for laminated plates analysis. AIAA J. 1998, 36, 830–839. [Google Scholar] [CrossRef]
- Yan, Y.; Pagani, A.; Carrera, E. Exact solutions for free vibration analysis of laminated, box and sandwich beams by refined layer-wise theory. Compos. Struct. 2017, 175, 28–45. [Google Scholar] [CrossRef]
- Komarsofla, M.K.; Salami, S.J.; Shakeri, M. Thermo elastic-up to yielding behavior of three dimensional functionally graded cylindrical panel based on a full layer-wise theory. Compos. Struct. 2019, 208, 261–275. [Google Scholar] [CrossRef]
- Kumar, P.; Srinivas, J. Vibration, buckling and bending behavior of functionally graded multi-walled carbon nanotube reinforced polymer composite plates using the layer-wise formulation. Compos. Struct. 2017, 177, 158–170. [Google Scholar] [CrossRef]
- Carrera, E. CZ requirements—Models for the two dimensional analysis of multilayered structures. Compos. Struct. 1997, 37, 373–383. [Google Scholar] [CrossRef]
- Mantari, J.L.; Ramos, I.A.; Carrera, E.; Petrolo, M. Static analysis of functionally graded plates using new non-polynomial displacement fields via Carrera Unified Formulation. Compos. Part B Eng. 2016, 89, 127–142. [Google Scholar] [CrossRef]
- Thai, H.T.; Choi, D.H. A simple first-order shear deformation theory for the bending and free vibration analysis of functionally graded plates. Compos. Struct. 2013, 101, 332–340. [Google Scholar] [CrossRef]
- Bourada, M.; Kaci, A.; Houari MS, A.; Tounsi, A. A new simple shear and normal deformations theory for functionally graded beams. Steel Compos. Struct. 2015, 18, 409–423. [Google Scholar] [CrossRef]
- Belabed, Z.; Houari MS, A.; Tounsi, A.; Mahmoud, S.R.; Bég, O.A. An efficient and simple higher order shear and normal deformation theory for functionally graded material (FGM) plates. Compos. Part B Eng. 2014, 60, 274–283. [Google Scholar] [CrossRef]
- Zhen, W.; Wanji, C. Free vibration of laminated composite and sandwich plates using global–local higher-order theory. J. Sound Vib. 2006, 298, 333–349. [Google Scholar] [CrossRef]
- Shariyat, M.; Hosseini, S.H. Accurate eccentric impact analysis of the preloaded SMA composite plates, based on a novel mixed-order hyperbolic global–local theory. Compos. Struct. 2015, 124, 140–151. [Google Scholar] [CrossRef]
- Brischetto, S.; Carrera, E. Advanced mixed theories for bending analysis of functionally graded plates. Comput. Struct. 2010, 88, 1474–1483. [Google Scholar] [CrossRef]
- Cinefra, M.; Soave, M. Accurate vibration analysis of multilayered plates made of functionally graded materials. Mech. Adv. Mater. Struct. 2011, 18, 3–13. [Google Scholar] [CrossRef]
- Moita, J.S.; Araújo, A.L.; Soares, C.M.M.; Soares, C.A.M. Vibration analysis of functionally graded material sandwich structures with passive damping. Compos. Struct. 2018, 183, 407–415. [Google Scholar] [CrossRef]
- Thai, C.H.; Ferreira, A.J.M.; Wahab, M.A.; Nguyen-Xuan, H. A moving Kriging meshfree method with naturally stabilized nodal integration for analysis of functionally graded material sandwich plates. Acta Mech. 2018, 229, 2997–3023. [Google Scholar] [CrossRef]
- Tounsi, A.; Houari, M.S.A.; Benyoucef, S.; Bedia, E. A refined trigonometric shear deformation theory for thermoelastic bending of functionally graded sandwich plates. Aerosp. Sci. Technol. 2013, 24, 209–220. [Google Scholar] [CrossRef]
- Trinh, M.-C.; Kim, S.-E. Nonlinear thermomechanical behaviors of thin functionally graded sandwich shells with double curvature. Compos. Struct. 2018, 195, 335–348. [Google Scholar] [CrossRef]
- Pandey, S.; Pradyumna, S. Analysis of functionally graded sandwich plates using a higher-order layerwise theory. Compos. Part B Eng. 2018, 153, 325–336. [Google Scholar] [CrossRef]
- Pandey, S.; Pradyumna, S. A finite element formulation for thermally induced vibrations of functionally graded material sandwich plates and shell panels. Compos. Struct. 2017, 160, 877–886. [Google Scholar] [CrossRef]
- Daikh, A.A.; Megueni, A. Thermal buckling analysis of functionally graded sandwich plates. J. Therm. Stresses 2018, 41, 139–159. [Google Scholar] [CrossRef]
- Neves, A.M.A.; Ferreira, A.J.M.; Carrera, E.; Cinefra, M.; Roque, C.M.C.; Jorge, R.M.N.; Soares, C.M.M. Static, free vibration and buckling analysis of isotropic and sandwich functionally graded plates using a quasi-3D higher-order shear deformation theory and a meshless technique. Compos. Part B Eng. 2013, 44, 657–674. [Google Scholar] [CrossRef]
- Bourada, M.; Tounsi, A.; Houari, M.S.A.; Bedia, E.A. A new four-variable refined plate theory for thermal buckling analysis of functionally graded sandwich plates. J. Sandw. Struct. Mater. 2012, 14, 5–33. [Google Scholar] [CrossRef]
- Houari, S.A.M.; Tounsi, A.; Bég, O.A. Thermoelastic bending analysis of functionally graded sandwich plates using a new higher order shear and normal deformation theory. Int. J. Mech. Sci. 2013, 76, 102–111. [Google Scholar] [CrossRef]
- Li, Q.; VIu, P.; Kou, K.P. Three-dimensional vibration analysis of functionally graded material sandwich plates. J. Sound Vib. 2008, 311, 498–515. [Google Scholar] [CrossRef]
- Jalali, S.K.; Naei, M.H.; Poorsolhjouy, A. Thermal stability analysis of circular functionally graded sandwich plates of variable thickness using pseudo-spectral method. Mater. Des. 2010, 31, 4755–4763. [Google Scholar] [CrossRef]
- Ahmed Houari, M.S.; Benyoucef, S.; Mechab, I.; Tounsi, A.; Bedia, E.A. Two-Variable Refined Plate Theory for Thermoelastic Bending Analysis of Functionally Graded Sandwich Plates. J. Therm. Stresses 2011, 34, 315–334. [Google Scholar] [CrossRef]
- Thai, H.-T.; Nguyen, T.; Vo, T.P.; Lee, J. Analysis of functionally graded sandwich plates using a new first-order shear deformation theory. Eur. J. Mech. A/Solids 2014, 45, 211–225. [Google Scholar] [CrossRef]
- Nguyen, V.-H.; Nguyen, T.; Thai, H.; Vo, T.P. A new inverse trigonometric shear deformation theory for isotropic and functionally graded sandwich plates. Compos. Part B Eng. 2014, 66, 233–246. [Google Scholar] [CrossRef]
- Hadji, L.; Hassen, A.A.; Tounsi, A.; Mechab, I.; Bedia, E.A.A. Free vibration of functionally graded sandwich plates using four-variable refined plate theory. Appl. Math. Mech. 2011, 32, 925–942. [Google Scholar] [CrossRef]
- Merdaci, S.; Tounsi, A.; Houari, M.S.A.; Mechab, I.; Hebali, H.; Benyoucef, S. Two new refined shear displacement models for functionally graded sandwich plates. Arch. Appl. Mech. 2011, 81, 1507–1522. [Google Scholar] [CrossRef]
- Neves, A.M.A.; AFerreira, J.M.; Carrera, E.; Cinefra, M.; Jorge, R.M.N.; Soares, C.M.M. Static analysis of functionally graded sandwich plates according to a hyperbolic theory considering Zig-Zag and warping effects. Adv. Eng. Softw. 2012, 52, 30–43. [Google Scholar] [CrossRef]
- Bhangale, R.K.; Ganesan, N. Thermoelastic buckling and vibration behavior of a functionally graded sandwich beam with constrained viscoelastic core. J. Sound Vib. 2006, 295, 294–316. [Google Scholar] [CrossRef]
- Mahi, A.; Bedia, E.A.A.; Tounsi, A. A new hyperbolic shear deformation theory for bending and free vibration analysis of isotropic, functionally graded, sandwich and laminated composite plates. Appl. Math. Model. 2015, 39, 2489–2508. [Google Scholar] [CrossRef]
- Apetre, N.A.; Sankar, B.V.; Ambur, D.R. Low-velocity impact response of sandwich beams with functionally graded core. Int. J. Solids Struct. 2006, 43, 2479–2496. [Google Scholar] [CrossRef]
- Venkataraman, S.; Sankar, B.V. Elasticity Solution for Stresses in a Sandwich Beam with Functionally Graded Core. AIAA J. 2015, 41, 2501–2505. [Google Scholar] [CrossRef]
- Venkataraman, S.; Sankar, B. Analysis of sandwich beams with functionally graded core. AIAA J. 2013, 16–19. [Google Scholar] [CrossRef]
- Vo, T.P.; Thai, H.; Nguyen, T.; Maheri, A.; Lee, J. Finite element model for vibration and buckling of functionally graded sandwich beams based on a refined shear deformation theory. Eng. Struct. 2014, 64, 12–22. [Google Scholar] [CrossRef]
- Loja, M.A.R.; Soares, C.M.M.; Barbosa, J.I. Analysis of functionally graded sandwich plate structures with piezoelectric skins, using B-spline finite strip method. Compos. Struct. 2013, 96, 606–615. [Google Scholar] [CrossRef]
- Ye, T.; Jin, G.; Chen, Y.; Ma, X.; Su, Z. Free vibration analysis of laminated composite shallow shells with general elastic boundaries. Compos. Struct. 2013, 106, 470–490. [Google Scholar] [CrossRef]
- Wang, Q.; Xiaohui, C.; Bin, Q.; Qian, L.; Jinyuan, T. A semi-analytical method for vibration analysis of functionally graded (FG) sandwich doubly-curved panels and shells of revolution. Int. J. Mech. Sci. 2017, 134 (Suppl. C), 479–499. [Google Scholar] [CrossRef]
- El Meiche, N.; Tounsi, A.; Ziane, N.; lMechab, I.; Bedi, E. A new hyperbolic shear deformation theory for buckling and vibration of functionally graded sandwich plate. Int. J. Mech. Sci. 2011, 53, 237–247. [Google Scholar] [CrossRef]
- Cui, J.; Li, Z.; Ye, R.; Jiang, W.; Tao, S. A Semianalytical Three-Dimensional Elasticity Solution for Vibrations of Orthotropic Plates with Arbitrary Boundary Conditions. Shock Vib. 2019, 2019, 1237674. [Google Scholar] [CrossRef]
- Baferani, A.H.; Saidi, A.R.; Ehteshami, H. Accurate solution for free vibration analysis of functionally graded thick rectangular plates resting on elastic foundation. Compos. Struct. 2011, 93, 1842–1853. [Google Scholar] [CrossRef]
- Zhao, J.; Xie, F.; Wang, A.; Shuai, C.; Tang, J.; Wang, Q. Vibration behavior of the functionally graded porous (FGP) doubly-curved panels and shells of revolution by using a semi-analytical method. Compos. Part B Eng. 2019, 157, 219–238. [Google Scholar] [CrossRef]












| M × N × Q | CCCC | SSSS | |||||||||||
|---|---|---|---|---|---|---|---|---|---|---|---|---|---|
| 1 | 2 | 3 | 4 | 5 | 6 | 1 | 2 | 3 | 4 | 5 | 6 | ||
| (0,0) | 4 × 4 × 4 | 3.970 | 6.283 | 6.283 | 6.532 | 6.532 | 7.637 | 3.000 | 3.389 | 3.389 | 4.781 | 5.833 | 5.833 |
| 5 × 5 × 5 | 3.965 | 6.278 | 6.278 | 6.528 | 6.528 | 7.636 | 2.998 | 3.389 | 3.389 | 4.781 | 5.831 | 5.831 | |
| 6 × 6 × 6 | 3.963 | 6.277 | 6.277 | 6.526 | 6.526 | 7.635 | 2.998 | 3.389 | 3.389 | 4.780 | 5.831 | 5.831 | |
| 7 × 7 × 7 | 3.962 | 6.276 | 6.276 | 6.525 | 6.525 | 7.635 | 2.998 | 3.389 | 3.389 | 4.780 | 5.831 | 5.831 | |
| 8 × 8 × 8 | 3.961 | 6.275 | 6.275 | 6.524 | 6.524 | 7.635 | 2.998 | 3.389 | 3.389 | 4.780 | 5.831 | 5.831 | |
| (10,10) | 4 × 4 × 4 | 4.117 | 6.336 | 6.336 | 6.561 | 6.561 | 7.638 | 3.110 | 3.389 | 3.389 | 4.781 | 5.870 | 5.870 |
| 5 × 5 × 5 | 4.105 | 6.330 | 6.330 | 6.555 | 6.555 | 7.637 | 3.104 | 3.389 | 3.389 | 4.781 | 5.867 | 5.867 | |
| 6 × 6 × 6 | 4.078 | 6.318 | 6.318 | 6.547 | 6.547 | 7.636 | 3.086 | 3.389 | 3.389 | 4.780 | 5.858 | 5.858 | |
| 7 × 7 × 7 | 4.071 | 6.315 | 6.315 | 6.544 | 6.544 | 7.635 | 3.082 | 3.389 | 3.389 | 4.780 | 5.857 | 5.857 | |
| 8 × 8 × 8 | 4.052 | 6.308 | 6.308 | 6.540 | 6.540 | 7.635 | 3.069 | 3.389 | 3.389 | 4.780 | 5.852 | 5.852 | |
| M × N × Q | CCCC | SSSS | |||||||||||
|---|---|---|---|---|---|---|---|---|---|---|---|---|---|
| 1 | 2 | 3 | 4 | 5 | 6 | 1 | 2 | 3 | 4 | 5 | 6 | ||
| (0,0) | 4 × 4 × 4 | 3.590 | 5.141 | 5.141 | 5.823 | 5.823 | 5.883 | 2.736 | 3.092 | 3.092 | 4.151 | 5.291 | 5.291 |
| 5 × 5 × 5 | 3.584 | 5.125 | 5.125 | 5.805 | 5.805 | 5.864 | 2.734 | 3.089 | 3.089 | 4.143 | 5.283 | 5.283 | |
| 6 × 6 × 6 | 3.580 | 5.123 | 5.123 | 5.803 | 5.803 | 5.864 | 2.734 | 3.089 | 3.089 | 4.143 | 5.283 | 5.283 | |
| 7 × 7 × 7 | 3.575 | 5.117 | 5.117 | 5.792 | 5.792 | 5.858 | 2.732 | 3.088 | 3.088 | 4.140 | 5.277 | 5.277 | |
| 8 × 8 × 8 | 3.573 | 5.115 | 5.115 | 5.790 | 5.790 | 5.857 | 2.732 | 3.088 | 3.088 | 4.139 | 5.277 | 5.277 | |
| (10,10) | 4 × 4 × 4 | 3.755 | 5.151 | 5.151 | 5.884 | 6.013 | 6.013 | 2.826 | 3.092 | 3.092 | 4.151 | 5.342 | 5.342 |
| 5 × 5 × 5 | 3.739 | 5.132 | 5.132 | 5.865 | 5.992 | 5.992 | 2.818 | 3.089 | 3.089 | 4.143 | 5.336 | 5.336 | |
| 6 × 6 × 6 | 3.715 | 5.130 | 5.130 | 5.865 | 5.966 | 5.966 | 2.808 | 3.089 | 3.089 | 4.143 | 5.330 | 5.330 | |
| 7 × 7 × 7 | 3.701 | 5.124 | 5.124 | 5.859 | 5.943 | 5.943 | 2.802 | 3.088 | 3.088 | 4.140 | 5.321 | 5.321 | |
| 8 × 8 × 8 | 3.683 | 5.122 | 5.122 | 5.857 | 5.919 | 5.919 | 2.794 | 3.088 | 3.088 | 4.139 | 5.314 | 5.314 | |
| B.C | Method | p = 1 | p = 10 | ||||||||
|---|---|---|---|---|---|---|---|---|---|---|---|
| 1 | 2 | 3 | 4 | 5 | 1 | 2 | 3 | 4 | 5 | ||
| SS SS | Ref. [42,59] | 1.30182 | 3.15875 | 3.15875 | 4.91659 | 6.04048 | 0.94044 | 2.28616 | 2.28616 | 3.56466 | 4.38441 |
| Present | 1.30251 | 3.15931 | 3.15931 | 4.91678 | 6.04735 | 0.94075 | 2.28598 | 2.28598 | 3.56405 | 4.38964 | |
| Error (%) | 0.05 | 0.02 | 0.02 | 0.00 | 0.11 | 0.03 | 0.01 | 0.01 | 0.02 | 0.12 | |
| CC CC | Ref. [42,59] | 2.29049 | 4.46721 | 4.46721 | 6.35053 | 7.56005 | 1.66075 | 3.24938 | 3.24938 | 4.6307 | 5.52175 |
| Present | 2.30672 | 4.50244 | 4.50244 | 6.40202 | 7.61991 | 1.67303 | 3.27800 | 3.27800 | 4.67538 | 5.57666 | |
| Error (%) | 0.71 | 0.79 | 0.79 | 0.81 | 0.79 | 0.74 | 0.88 | 0.88 | 0.96 | 0.99 | |
| p | SSSS | SCSC | SFSF | SSSF | ||||||||
|---|---|---|---|---|---|---|---|---|---|---|---|---|
| Ref. [61] | Present | Error (%) | Ref. [61] | Present | Error (%) | Ref. [61] | Present | Error (%) | Ref. [61] | Present | Error (%) | |
| 0 | 1.8470 | 1.8459 | 0.06 | 1.9139 | 1.9139 | 0.00 | 1.0652 | 1.0645 | 0.06 | 0.9570 | 0.9571 | 0.01 |
| 1 | 1.4687 | 1.4687 | 0.00 | 1.5724 | 1.5726 | 0.01 | 0.8342 | 0.8342 | 0.00 | 0.7937 | 0.7940 | 0.03 |
| 2 | 1.3095 | 1.3101 | 0.04 | 1.4026 | 1.4031 | 0.04 | 0.7464 | 0.7469 | 0.06 | 0.7149 | 0.7153 | 0.06 |
| 5 | 1.1450 | 1.1461 | 0.09 | 1.2072 | 1.2085 | 0.11 | 0.6687 | 0.6694 | 0.10 | 0.6168 | 0.6177 | 0.15 |
| h1–h2–h3 | Mode | Boundary Conditions | |||||||
|---|---|---|---|---|---|---|---|---|---|
| CCCC | SSSS | CFCF | CSCF | E1E1E1E1 | E2E2E2E2 | E3E3E3E3 | E4E4E4E4 | ||
| 1 | 3.006 | 2.277 | 2.154 | 2.204 | 0.735 | 0.735 | 0.851 | 0.729 | |
| 1–0–1 | 2 | 4.579 | 2.509 | 2.277 | 2.400 | 2.551 | 2.551 | 1.930 | 0.825 |
| 3 | 4.804 | 3.523 | 2.301 | 2.907 | 2.667 | 2.667 | 2.945 | 1.034 | |
| 1 | 3.598 | 2.612 | 2.529 | 2.584 | 0.702 | 0.702 | 0.816 | 0.698 | |
| 1–1–1 | 2 | 5.602 | 3.109 | 2.673 | 2.972 | 3.017 | 3.017 | 2.124 | 0.796 |
| 3 | 5.881 | 4.348 | 2.843 | 3.418 | 3.228 | 3.228 | 3.411 | 0.990 | |
| 1 | 3.906 | 2.873 | 2.739 | 2.800 | 0.687 | 0.687 | 0.800 | 0.684 | |
| 1–2–1 | 2 | 6.095 | 3.350 | 2.902 | 3.202 | 3.288 | 3.288 | 2.274 | 0.784 |
| 3 | 6.398 | 4.704 | 3.064 | 3.746 | 3.456 | 3.456 | 3.682 | 0.969 | |
| 1 | 4.188 | 3.172 | 2.937 | 3.008 | 0.673 | 0.673 | 0.784 | 0.670 | |
| 1–4–1 | 2 | 6.532 | 3.561 | 3.130 | 3.405 | 3.555 | 3.555 | 2.447 | 0.772 |
| 3 | 6.870 | 5.023 | 3.258 | 4.097 | 3.657 | 3.657 | 3.957 | 0.950 | |
| 1 | 4.403 | 3.433 | 3.091 | 3.172 | 0.662 | 0.662 | 0.772 | 0.660 | |
| 1–8–1 | 2 | 6.848 | 3.707 | 3.315 | 3.545 | 3.771 | 3.771 | 2.603 | 0.763 |
| 3 | 7.174 | 5.240 | 3.393 | 4.391 | 3.796 | 3.796 | 4.181 | 0.935 | |
| h1–h2–h3 | Mode | Boundary Conditions | |||||||
|---|---|---|---|---|---|---|---|---|---|
| CCCC | SSSS | CFCF | CSCF | E1E1E1E1 | E2E2E2E2 | E3E3E3E3 | E4E4E4E4 | ||
| 1 | 3.673 | 2.775 | 2.521 | 2.585 | 0.694 | 0.694 | 0.808 | 0.690 | |
| 1–0–1 | 2 | 5.050 | 3.068 | 2.587 | 2.980 | 3.094 | 3.094 | 2.209 | 0.791 |
| 3 | 5.760 | 4.088 | 3.120 | 3.588 | 3.191 | 3.191 | 3.527 | 0.979 | |
| 1 | 3.399 | 2.612 | 2.339 | 2.405 | 0.707 | 0.707 | 0.822 | 0.702 | |
| 1–1–1 | 2 | 4.733 | 2.855 | 2.408 | 2.779 | 2.885 | 2.885 | 2.119 | 0.803 |
| 3 | 5.442 | 3.805 | 2.949 | 3.382 | 2.991 | 2.991 | 3.317 | 0.995 | |
| 1 | 3.287 | 2.561 | 2.270 | 2.336 | 0.713 | 0.713 | 0.829 | 0.708 | |
| 1–2–1 | 2 | 4.617 | 2.758 | 2.338 | 2.689 | 2.804 | 2.804 | 2.090 | 0.810 |
| 3 | 5.267 | 3.696 | 2.861 | 3.299 | 2.900 | 2.900 | 3.233 | 1.004 | |
| 1 | 3.187 | 2.525 | 2.212 | 2.277 | 0.720 | 0.720 | 0.836 | 0.714 | |
| 1–4–1 | 2 | 4.511 | 2.662 | 2.278 | 2.600 | 2.734 | 2.734 | 2.069 | 0.817 |
| 3 | 5.103 | 3.594 | 2.768 | 3.225 | 2.810 | 2.810 | 3.159 | 1.013 | |
| 1 | 3.116 | 2.500 | 2.171 | 2.237 | 0.725 | 0.725 | 0.842 | 0.720 | |
| 1–8–1 | 2 | 4.430 | 2.583 | 2.237 | 2.528 | 2.685 | 2.685 | 2.054 | 0.823 |
| 3 | 4.977 | 3.513 | 2.686 | 3.168 | 2.736 | 2.736 | 3.106 | 1.021 | |
© 2019 by the authors. Licensee MDPI, Basel, Switzerland. This article is an open access article distributed under the terms and conditions of the Creative Commons Attribution (CC BY) license (http://creativecommons.org/licenses/by/4.0/).
Share and Cite
Cui, J.; Zhou, T.; Ye, R.; Gaidai, O.; Li, Z.; Tao, S. Three-Dimensional Vibration Analysis of a Functionally Graded Sandwich Rectangular Plate Resting on an Elastic Foundation Using a Semi-Analytical Method. Materials 2019, 12, 3401. https://doi.org/10.3390/ma12203401
Cui J, Zhou T, Ye R, Gaidai O, Li Z, Tao S. Three-Dimensional Vibration Analysis of a Functionally Graded Sandwich Rectangular Plate Resting on an Elastic Foundation Using a Semi-Analytical Method. Materials. 2019; 12(20):3401. https://doi.org/10.3390/ma12203401
Chicago/Turabian StyleCui, Jie, Taoran Zhou, Renchuan Ye, Oleg Gaidai, Zichao Li, and Shenghui Tao. 2019. "Three-Dimensional Vibration Analysis of a Functionally Graded Sandwich Rectangular Plate Resting on an Elastic Foundation Using a Semi-Analytical Method" Materials 12, no. 20: 3401. https://doi.org/10.3390/ma12203401
APA StyleCui, J., Zhou, T., Ye, R., Gaidai, O., Li, Z., & Tao, S. (2019). Three-Dimensional Vibration Analysis of a Functionally Graded Sandwich Rectangular Plate Resting on an Elastic Foundation Using a Semi-Analytical Method. Materials, 12(20), 3401. https://doi.org/10.3390/ma12203401
