Improvement of Dielectric Breakdown Performance by Surface Modification in Polyethylene/TiO2 Nanocomposites
Abstract
1. Introduction
2. Materials and Experimental Methods
3. Experimental Results
3.1. FTIR Detection
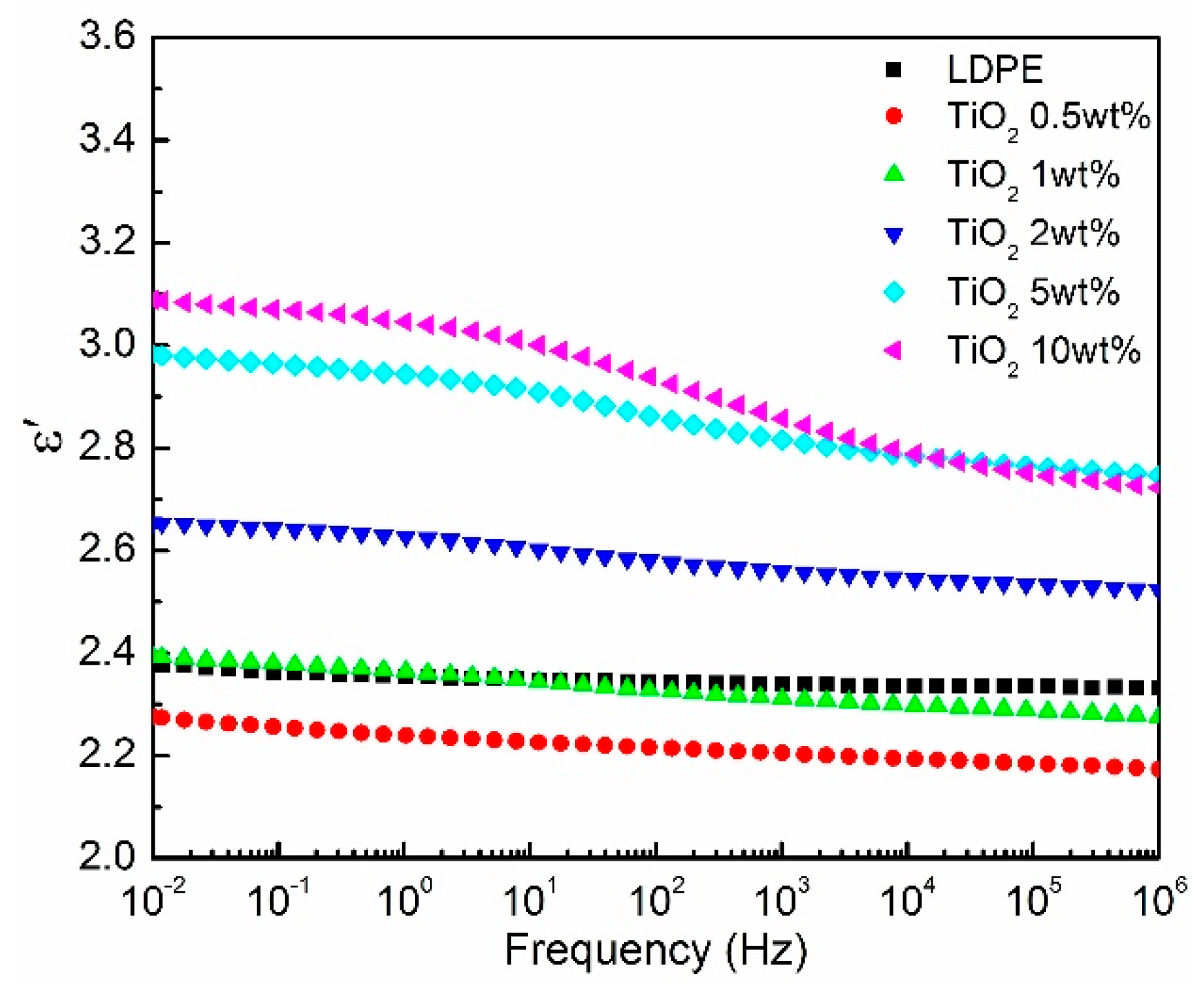
3.2. Dielectric Permittivity
3.3. TSDC Results
3.3.1. Relaxation Process from TSDC Results
3.3.2. Trap Parameters
3.4. Dielectric Breakdown
4. Discussion
5. Conclusions
Author Contributions
Funding
Conflicts of Interest
References
- Nelson, J.K.; Fothergill, J.C. Internal charge behaviour of nanocomposites. Nanotechnology 2004, 15, 586–595. [Google Scholar] [CrossRef]
- Imai, T.; Sawa, F.; Ozaki, T.; Shimizu, T.; Kido, R.; Kozako, M.; Tanaka, T. Influence of temperature on mechanical and insulation properties of epoxy-Layered silicate nanocomposite. IEEE Trans. Dielectr. Electr. Insul. 2006, 13, 445–452. [Google Scholar] [CrossRef]
- Tanaka, T.; Montanari, G.C.; Mulhaupt, R. Polymer nanocomposites as dielectrics and electrical insulation-Perspectives for processing technologies, material characterization and future applications. IEEE Trans. Dielectr. Electr. Insul. 2004, 11, 763–784. [Google Scholar] [CrossRef]
- Lewis, T.J. Interfaces: Nanometric dielectrics. J. Phys. D Appl. Phys. 2005, 38, 202–212. [Google Scholar] [CrossRef]
- Green, C.D.; Vaughan, A.S.; Mitchell, G.R.; Liu, T. Structure property relationships in polyethylene/montmorillonite nanodielectrics. IEEE Trans. Dielectr. Electr. Insul. 2008, 15, 134–143. [Google Scholar] [CrossRef]
- Li, S.T.; Yin, G.L.; Li, J.Y. Breakdown performance of low density polyethylene nanocomposites. In Proceedings of the IEEE 10th International Conference on the Properties and Applications of Dielectric Materials (ICPADM 2012), Bangalore, India, 24–28 July 2012; pp. 1–4. [Google Scholar] [CrossRef]
- Li, S.T.; Wang, W.W.; Yu, S.H.; Sun, H.G. Influence of hydrostatic pressure on dielectric properties of polyethylene/aluminum oxide nanocomposites. IEEE Trans. Dielectr. Electr. Insul. 2014, 21, 519–528. [Google Scholar] [CrossRef]
- Wang, W.; Min, D.; Li, S. Understanding the conduction and breakdown properties of polyethylene nanodielectrics: Effect of deep traps. IEEE Trans. Dielectr. Electr. Insul. 2016, 23, 564–572. [Google Scholar] [CrossRef]
- Roy, M.; Nelson, J.; MacCrone, R.; Schadler, L. Candidate mechanisms controlling the electrical characteristics of silica/XLPE nanodielectrics. J. Mater. Sci. 2007, 42, 3789–3799. [Google Scholar] [CrossRef]
- Dongling, M.; Treese, A.H.; Richard, W.S.; Anna, C.; Eva, M.; Carina, Ö.; Linda, S.S. Influence of nanoparticle surface modification on the electrical behaviour of polyethylene nanocomposites. Nanotechnology 2005, 16, 724–731. [Google Scholar]
- Singha, S.; Thomas, M.J. Dielectric properties of epoxy nanocomposites. IEEE Trans. Dielectr. Electr. Insul. 2008, 15, 12–23. [Google Scholar] [CrossRef]
- Roy, M.; Nelson, J.K.; MacCrone, R.K.; Schadler, L.S.; Reed, C.W.; Keefe, R.; Zenger, W. Polymer nanocomposite dielectrics-The role of the interface. IEEE Trans. Dielectr. Electr. Insul. 2005, 12, 629–643. [Google Scholar] [CrossRef]
- Tanaka, T.; Kozako, M.; Fuse, N.; Ohki, Y. Proposal of a multi-Core model for polymer nanocomposite dielectrics. IEEE Trans. Dielectr. Electr. Insul. 2005, 12, 669–681. [Google Scholar] [CrossRef]
- Schadler, L. Nanocomposites-Model interfaces. Nat. Mater. 2007, 6, 257–258. [Google Scholar] [CrossRef] [PubMed]
- Tanaka, T. Dielectric nanocomposites with insulating properties. IEEE Trans. Dielectr. Electr. Insul. 2005, 12, 914–928. [Google Scholar] [CrossRef]
- Li, S.T.; Yin, G.L.; Bai, S.N.; Li, J.Y. A new potential barrier model in epoxy resin nanodielectrics. IEEE Trans. Dielectr. Electr. Insul. 2011, 18, 1535–1543. [Google Scholar] [CrossRef]
- Smith, R.C.; Liang, C.; Landry, M.; Nelson, J.K.; Schadler, L.S. The mechanisms leading to the useful electrical properties of polymer nanodielectrics. IEEE Trans. Dielectr. Electr. Insul. 2008, 15, 187–196. [Google Scholar] [CrossRef]
- Cao, Y.; Irwin, P.C.; Younsi, K. The future of nanodielectrics in the electrical power industry. IEEE Trans. Dielectr. Electr. Insul. 2004, 11, 797–807. [Google Scholar]
- Wu, K.; Okamoto, T.; Suzuoki, Y. Simulation study on the correlation between morphology and electrical breakdown in polyethylene. J. Appl. Phys. 2005, 98, 114102. [Google Scholar] [CrossRef]
- Ma, D.; Siegel, R.W.; Hong, J.I.; Schadler, L.S.; Martensson, E.; Onneby, C. Influence of nanoparticle surfaces on the electrical breakdown strength of nanoparticle-Filled low-Density polyethylene. J. Mater. Res. 2004, 19, 857–863. [Google Scholar] [CrossRef]
- Xingyi, H.; Fei, L.; Pingkai, J. Effect of nanoparticle surface treatment on morphology, electrical and water treeing behavior of LLDPE composites. IEEE Trans. Dielectr. Electr. Insul. 2010, 17, 1697–1704. [Google Scholar] [CrossRef]
- Jonscher, A.K. Dielectric Relaxation in Solids; Chelsea Dielectric Press: London, UK, 1983. [Google Scholar]
- Wang, W.; Li, S.A. transition of interface characteristics in LDPE/Al2O3 nanocomposites by permittivity simulation. IEEE Trans. Dielectr. Electr. Insul. 2018, 25, 2–12. [Google Scholar] [CrossRef]
- Nelson, J.K.; Hu, Y. Nanocomposite dielectrics—properties and implications. J. Phys. D Appl. Phys. 2005, 38, 213–222. [Google Scholar] [CrossRef]
- Choudalakis, G.; Gotsis, A.D. Free volume and mass transport in polymer nanocomposites. Curr. Opin. Colloid Interface Sci. 2012, 17, 132–140. [Google Scholar] [CrossRef]
- Ieda, M. Electrical-Conduction and carrier traps in polymeric materials. IEEE Trans. Electr. Insul. 1984, 19, 162–178. [Google Scholar] [CrossRef]
- 930-2004, I.S. IEEE Guide for the Statistical Analysis of Electrical Insulation Breakdown Data. 2004, pp. 1–41. Available online: https://ieeexplore.ieee.org/document/1490128 (accessed on 14 October 2019). [CrossRef]
- Murakami, Y.; Nemoto, M.; Okuzumi, S.; Masuda, S.; Nagao, M.; Hozumi, N.; Sekiguchi, Y. DC conduction and electrical breakdown of MgO/LDPE nanocomposite. IEEE Trans. Dielectr. Electr. Insul. 2008, 15, 35–39. [Google Scholar] [CrossRef]
- Lau, K.Y.; Vaughan, A.S.; Chen, G.; Hosier, I.L. Polyethylene nanodielectrics: The effect of nanosilica and its surface treatment on electrical breakdown strength. In Proceedings of the 2012 Annual Report Conference on Electrical Insulation and Dielectric Phenomena (CEIDP 2012), Montreal, QC, Canada, 14–17 October 2012; pp. 21–24. [Google Scholar]
- Le Gressus, C.; Blaise, G. Breakdown phenomena related to trapping/detrapping processes in wide band gap insulators. IEEE Trans. Electr. Insul. 1992, 27, 472–481. [Google Scholar] [CrossRef]
- Ieda, M.; Nagao, M.; Hikita, M. High-Field conduction and breakdown in insulating polymers. Present situation and future prospects. IEEE Trans. Dielectr. Electr. Insul. 1994, 1, 934–945. [Google Scholar] [CrossRef]
- Preetha, P.; Thomas, M.J. AC breakdown characteristics of epoxy nanocomposites. IEEE Trans. Dielectr. Electr. Insul. 2011, 18, 1526–1534. [Google Scholar] [CrossRef]
- Kao, K.C. Electrical conduction and breakdown in insulating polymers. In Proceedings of the 6th International Conference on Properties and Applications of Dielectric Materials (ICPADM 2000), Xi’an, China, 21–26 June 2000; pp. 1–17. [Google Scholar]
- Lewis, T.J. The physico-Chemical origins and nature of space charge in insulating solids under electrical stress. In Proceedings of the 2001 IEEE 7th International Conference on Solid Dielectrics, Eindhoven, The Netherlands, 25–29 June 2001; pp. 223–227. [Google Scholar]
- Teyssedre, G.; Laurent, C. Charge transport modeling in insulating polymers: From molecular to macroscopic scale. IEEE Trans. Dielectr. Electr. Insul. 2005, 12, 857–875. [Google Scholar] [CrossRef]











| Samples | Peak 1 | Peak 2 | Peak 3 | Peak 4 | Peak 5 | ||||||||||
|---|---|---|---|---|---|---|---|---|---|---|---|---|---|---|---|
| Tm (°C) | Et (eV) | Q (nC) | Tm (°C) | Et (eV) | Q (nC) | Tm (°C) | Et (eV) | Q (nC) | Tm (°C) | Et (eV) | Q (nC) | Tm (°C) | Et (eV) | Q (nC) | |
| LDPE | / | / | / | 76.5 | 1.10 | 1.05 | 50.9 | 0.61 | 6.60 | / | / | / | −45 | 0.06 | 0.14 |
| 0.1 wt% | 84.1 | 1.23 | 0.14 | 74.5 | 0.90 | 0.51 | 55.2 | 0.52 | 1.16 | 10.7 | 0.1 | 0.26 | −43 | 0.13 | 0.23 |
| 0.5 wt% | 84.5 | 1.42 | 0.43 | 73.6 | 0.91 | 0.45 | 58.1 | 0.65 | 0.78 | 7.5 | 0.1 | 0.18 | −37 | 0.14 | 0.45 |
| 1 wt% | 85.1 | 1.65 | 0.59 | 73.9 | 0.87 | 1.74 | 54.5 | 0.51 | 1.27 | / | / | / | −23 | 0.15 | 0.62 |
| 2 wt% | 84.2 | 1.45 | 1.15 | 72.6 | 0.72 | 1.1 | / | / | / | / | / | / | −23 | 0.18 | 0.98 |
| 5 wt% | / | / | / | / | / | / | / | / | / | 21.8 | 0.33 | 0.10 | −33 | 0.2 | 2.82 |
| 10 wt% | / | / | / | / | / | / | / | / | / | / | / | / | −34 | 0.3 | 4.24 |
| Samples | α′ (kV/mm) | β′ |
|---|---|---|
| Neat LDPE | 223.28 | 4.33 |
| 0.1 wt% | 238.97 | 4.84 |
| 0.5 wt% | 262.77 | 7.86 |
| 1 wt% | 265.55 | 6.36 |
| 2 wt% | 229.61 | 3.89 |
| 5 wt% | 210.95 | 3.10 |
| 10 wt% | 202.27 | 5.38 |
© 2019 by the authors. Licensee MDPI, Basel, Switzerland. This article is an open access article distributed under the terms and conditions of the Creative Commons Attribution (CC BY) license (http://creativecommons.org/licenses/by/4.0/).
Share and Cite
Wang, W.; Li, S. Improvement of Dielectric Breakdown Performance by Surface Modification in Polyethylene/TiO2 Nanocomposites. Materials 2019, 12, 3346. https://doi.org/10.3390/ma12203346
Wang W, Li S. Improvement of Dielectric Breakdown Performance by Surface Modification in Polyethylene/TiO2 Nanocomposites. Materials. 2019; 12(20):3346. https://doi.org/10.3390/ma12203346
Chicago/Turabian StyleWang, Weiwang, and Shengtao Li. 2019. "Improvement of Dielectric Breakdown Performance by Surface Modification in Polyethylene/TiO2 Nanocomposites" Materials 12, no. 20: 3346. https://doi.org/10.3390/ma12203346
APA StyleWang, W., & Li, S. (2019). Improvement of Dielectric Breakdown Performance by Surface Modification in Polyethylene/TiO2 Nanocomposites. Materials, 12(20), 3346. https://doi.org/10.3390/ma12203346
