Solid-State Characterization and Compatibility Studies of Penciclovir, Lysine Hydrochloride, and Pharmaceutical Excipients
Abstract
1. Introduction
2. Materials and Methods
2.1. Materials
2.2. Physical–Chemical Characterization
2.2.1. Differential Scanning Calorimetry (DSC)/Thermogravimetry (TG)
2.2.2. X-ray Powder Diffraction (XRPD)
2.2.3. Diffuse Reflectance Fourier Transform Infrared Spectroscopy (FTIR)
2.2.4. Scanning Electron Microscopy (SEM)
2.3. Compatibility Studies
2.4. Selection of Excipients and Development of Formulation
2.5. Stability Study
3. Results and Discussion
3.1. Characterization of Penciclovir and Lysine and the Binary Mixture Compatibility Studies
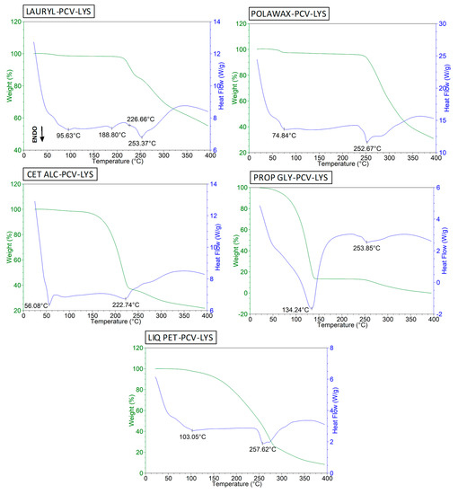
3.2. Compatibility Study in Ternary Mixtures
3.3. Stability Studies
4. Conclusions
5. Patents
Supplementary Materials
Author Contributions
Funding
Acknowledgments
Conflicts of Interest
References
- Hodge, R.A.V. Famciclovir and Penciclovir. The Mode of Action of Famciclovir Including Its Conversion to Penciclovir. Antivir. Chem. Chemother. 1993, 4, 67–84. [Google Scholar] [CrossRef]
- Boyd, M.R.; Safrin, S.; Kern, E.R. Penciclovir: A review of its spectrum of activity, selectivity, and cross-resistance pattern. Antivir. Chem. Chemother. 1993, 4, 3–11. [Google Scholar] [CrossRef]
- Mondal, D. Penciclovir. Ref. Modul. Biomed. Sci. 2016, 1–4. [Google Scholar] [CrossRef]
- Abdel-Haq, N.; Chearskul, P.; Al-Tatari, H.; Asmar, B. New antiviral agents. Indian J. Pediatr. 2006, 73, 313–321. [Google Scholar] [CrossRef] [PubMed]
- Raborn, G.W.; Martel, A.Y.; Lassonde, M.; Lewis, M.A.O.; Boon, R.; Spruance, S.L. Effective treatment of herpes simplex labialis with penciclovir cream: Combined results of two trials. J. Am. Dent. Assoc. 2002, 133, 303–309. [Google Scholar] [CrossRef] [PubMed]
- Boyd, M.R.; Bacon, T.H.; Sutton, D.; Cole, M. Antiherpesvirus activity of 9-(4-hydroxy-3-hydroxymethylbut-1-yl)guanine (BRL 39123) in cell culture. Antimicrob. Agents Chemother. 1987, 31, 1238–1242. [Google Scholar] [CrossRef] [PubMed]
- Abdelhameed, A.S.; Bakheit, A.H.; Almutairi, F.M.; AlRabiah, H.; Kadi, A.A. Biophysical and in silico studies of the interaction between the anti-viral agents acyclovir and penciclovir, and human serum albumin. Molecules 2017, 22, 1906. [Google Scholar] [CrossRef] [PubMed]
- Kim, D.-K.; Lee, N.; Ryu, S.H.; Kim, Y.-W.; Kim, J.S.; Chang, K.; Im, G.-J.; Choi, W.-S.; Cho, Y.-B.; Kim, K.H.; et al. Synthesis and evaluation of 2-Amino-9-(3-hydroxymethyl-4- alkoxycarbonyloxybut-1-yl)purines as potential prodrugs of penciclovir. Bioorg. Med. Chem. 1999, 7, 1715–1725. [Google Scholar] [CrossRef]
- Zhu, W.; Yu, A.; Wang, W.; Dong, R.; Wu, J.; Zhai, G. Formulation design of microemulsion for dermal delivery of penciclovir. Int. J. Pharm. 2008, 360, 184–190. [Google Scholar] [CrossRef]
- Poole, C.L.; James, S.H. Antiviral therapies for herpesviruses: Current agents and new directions. Clin. Ther. 2018, 40, 1282–1298. [Google Scholar] [CrossRef]
- Brazil. ANVISA—Lista de Medicamentos de Referência. Available online: http://portal.anvisa.gov.br/registros-e-autorizacoes/medicamentos/produtos/medicamentos-de-referencia/lista (accessed on 26 March 2019).
- Crimi, S.; Fiorillo, L.; Bianchi, A.; D’Amico, C.; Amoroso, G.; Gorassini, F.; Mastroieni, R.; Marino, S.; Scoglio, C.; Catalano, F.; et al. Herpes Virus, Oral Clinical Signs and QoL: Systematic Review of Recent Data. Viruses 2019, 11, 463. [Google Scholar] [CrossRef]
- Tao, M.; Zhu, M.; Wu, C.; He, Z. Degradation kinetic study of lysine in lysine hydrochloride solutions for injection by determining its main degradation product. Asian J. Pharm. Sci. 2015, 10, 57–63. [Google Scholar] [CrossRef]
- Griffith, R.S.; Norins, A.L.; Kagan, C. A multicentered study of lysine therapy in herpes simplex infection. Dermatologica 1978, 156, 257–267. [Google Scholar] [CrossRef]
- Gaby, A.R. Natural remedies for herpes simplex. Altern. Med. Rev. 2006, 11, 93–101. [Google Scholar]
- Moreton, C. Functionality and Performance of Excipients in a Quality-by-Design World. Available online: http://www.finnbrit.com/SubPages/Background/PDF Files/QbD APR_ExcipientSupplement 2010.pdf (accessed on 3 April 2019).
- Zarmpi, P.; Flanagan, T.; Meehan, E.; Mann, J.; Fotaki, N. Biopharmaceutical aspects and implications of excipient variability in drug product performance. Eur. J. Pharm. Biopharm. 2017, 111, 1–15. [Google Scholar] [CrossRef]
- DiFeo, T.J. Drug product development: A technical review of chemistry, manufacturing, and controls information for the support of pharmaceutical compound licensing activities. Drug Dev. Ind. Pharm. 2003, 29, 939–958. [Google Scholar] [CrossRef]
- Mohamed, A.I.; Abd-Motagaly, A.M.E.; Ahmed, O.A.A.; Amin, S.; Ali, A.I.M. Investigation of drug-polymer compatibility using chemometric-assisted UV-spectrophotometry. Pharmaceutics 2017, 9, 7. [Google Scholar] [CrossRef]
- Ford, J.L.; Timmins, P. Pharmaceutical Thermal Analysis; Ellis Horwood Limited: Chichester, UK, 1989; pp. 239–247. [Google Scholar]
- Cunha-Filho, M.S.S.; Martínez-Pacheco, R.; Landín, M. Compatibility of the antitumoral β-lapachone with different solid dosage forms excipients. J. Pharm. Biomed. Anal. 2007, 45, 590–598. [Google Scholar] [CrossRef]
- Matos, A.P.S.; Costa, J.S.; Boniatti, J.; Seiceira, R.C.; Pitaluga Jr, A.; Oliveira, D.L.; Viçosa, A.L.; Holandino, C. Compatibility study between diazepam and tablet excipients. J. Therm. Anal. Calorim. 2016, 127, 1675–1682. [Google Scholar] [CrossRef]
- Sun, B.-W.; Fu, Y.; Chen, L.; Ding, T.; Zhai, L.-H. Compatibility study of rivaroxaban and its pharmaceutical excipients. J. Anal. Calorim. 2017, 130, 1569–1573. [Google Scholar]
- Veiga, A.; Oliveira, P.R.; Bernardi, L.S.; Mendes, C.; Silva, M.A.S.; Sangoi, M.S.; Janissek, P.R.; Murakami, F.S. Solid-state compatibility studies of a drug without melting point: The case of omeprazole sodium. J. Therm. Anal. Calorim. 2018, 131, 3201–3209. [Google Scholar] [CrossRef]
- Sultana, S.; Mohammed, S. A review on stability studies of pharmaceutical products. Int. J. Pharm. Biol. Res. 2017, 2, 67–75. [Google Scholar] [CrossRef]
- Rowe, R.C.; Sheskey, P.J.; Quinn, M.E. Handbook of Pharmaceutical Excipients, 6th ed.; Pharmaceutical Press: Lake County, IL, USA, 2009; pp. 129–815. [Google Scholar]
- Gomes EC de, L.; Ercole de Carvalho, I.; Fialho, S.L.; Barbosa, J.; Yoshida, M.I.; da Silva Cunha Júnior, A. Mixing method influence on compatibility and polymorphism studies by DSC and statistical analysis. J. Anal. Calorim. 2018, 131, 2123–2128. [Google Scholar] [CrossRef]
- Ferreira, A.O.; Brandão, M.F.; Silva, M.A.D.C.G. Guia Prático para Farmácia de Manipulação, 2nd ed.; Ortofarma: Juiz de Fora, MG, Brazil, 2002; p. 356. [Google Scholar]
- Ribeiro, C. Cosmetologia Aplicada a Dermoestética, 2nd ed.; São Paulo, S.P., Pharmabooks: São Paulo, SP, Brazil, 2010; p. 460. [Google Scholar]
- International Conference on Harmonization, ICH Harmonised Tripartite Guideline: Stability Testing of New Drug Substances and Products Q1A (R2); U.S. Department of Health and Human Services: Rockville, MD, USA, 2003.
- Ahmed, A.; Barry, B.W.; Williams, A.C.; Davis, A.F. Penciclovir solubility in Eudragit films: A comparison of X-ray, thermal, microscopic and release rate techniques. J. Pharm. Biomed. Anal. 2004, 34, 945–956. [Google Scholar] [CrossRef]
- Aydin, M.; Kartal, Z.; Osmanoǧlu, Ş.; Halim Başkan, M.; Topkaya, R. EPR and FT-IR Spectroscopic Studies of L-Lysine Monohydrochloride and L-Glutamic Acid Hydrochloride Powders. J. Mol. Struct. 2011, 994, 150–154. [Google Scholar] [CrossRef]
- Kasten, G.; Nouri, K.; Grohganz, H.; Rades, T.; Löbmann, K. Performance comparison between crystalline and co-amorphous salts of indomethacin-lysine. Int. J. Pharm. 2017, 533, 138–144. [Google Scholar] [CrossRef]
- Harnden, M.R.; Jarvest, R.L.; Slawin, A.M.Z.; Williams, D.J. Crystal and molecular structures of the antiviral acyclonucleoside 9-[4-hydroxy-3-(hydroxymethyl)butyl]guanine (brl 39123, Penciclovir) and its Prodrug 9-[4-acetoxy-3-(acetoxymethyl)butyl]-2-aminopurine (brl 42810, Famciclovir). J. Nucleos. Nucleot. 1990, 9, 499–513. [Google Scholar] [CrossRef]
- Batista, J.C. Study of the Vibrational and Structural Properties of Crystals L-Lysine Dihydrate Monohydrochloride and DL-Lysine Monohydrochloride. Ph.D. Thesis, Federal University of Ceara, Fortaleza, CE, Brazil, October 2016. [Google Scholar]
- Williams, P.A.; Hughes, C.E.; Harris, K.D.M. L-Lysine: Exploiting Powder X-ray Diffraction to Complete the Set of Crystal Structures of the 20 Directly Encoded Proteinogenic Amino Acids. Angew. Chem.-Int. Ed. 2015, 54, 3973–3977. [Google Scholar] [CrossRef]
- Phadnis, N.V.; Cavatur, R.K.; Suryanarayanan, R. Identification of drugs in pharmaceutical dosage forms by X-ray powder diffractometry. J. Pharm. Biomed. Anal. 1997, 15, 929–943. [Google Scholar] [CrossRef]
- Barbosa LC de, A. Infrared Spectroscopy in the Characterization of Organic Compounds; UFV: Viçosa, MG, Brazil, 2007; pp. 15–59. [Google Scholar]
- Garoufis, A.; Karidi, K.; Hadjiliadis, N.; Kasselouri, S.; Kobe, J.; Balzarini, J.; De Clercq, E. Synthesis, Characterization and Antiviral Properties of Pd(II) Complexes with Penciclovir. Met. Based Drugs 2001, 8, 57–63. [Google Scholar] [CrossRef]
- Akimsheva, E.Y.; Dolinina, E.S.; Parfenyuk, E.V. Interactions of Sol-Gel Encapsulated Acyclovir with Silica Matrix. Colloid. Surf. B 2019, 178, 103–110. [Google Scholar] [CrossRef]
- Petrosyan, A.M.; Ghazaryan, V.V. Vibrational spectra of L-Lysine monohydrochloride dihydrate and its two anhydrous forms. J. Mol. Struct. 2009, 917, 56–62. [Google Scholar] [CrossRef]
- Bruni, G.; Berbenni, V.; Milanese, C.; Girella, A.; Marini, A. Drug-excipient compatibility studies in binary and ternary mixtures by physico-chemical techniques. J. Anal. Calorim. 2010, 102, 193–201. [Google Scholar] [CrossRef]
- Neto, H.S.; Novák, C.; Matos, J.R. Thermal analysis and compatibility studies of prednicarbate with excipients used in semi solid pharmaceutical form. J. Anal. Calorim. 2009, 97, 367–374. [Google Scholar] [CrossRef]
- Gelbrich, T.; Braun, D.E.; Ellern, A.; Griesser, U.J. Four polymorphs of methylparaben: Structural relationships and relative energy differences. Cryst. Growth Des. 2013, 13, 1206–1217. [Google Scholar] [CrossRef]
- Moyano, M.A.; Broussalis, A.M.; Segall, A.I. Thermal analysis of lipoic acid and evaluation of the compatibility with excipientes. J. Anal. Calorim. 2010, 99, 631–637. [Google Scholar] [CrossRef]
- de Oliveira, M.A.; Yoshida, M.I.; Silva, D.C. Quality evaluation of pharmaceutical formulations containing hydrochlorothiazide. Molecules 2014, 19, 16824–16836. [Google Scholar] [CrossRef]
- Reddy, S.T.; Sivaramakrishna, D.; Swamy, M.J. Physicochemical characterization of Lauryl Glycinate-Dodecyl sulfate equimolar complex: A base-triggerable catanionic liposomal system. Colloid. Surf. A 2017, 516, 139–146. [Google Scholar] [CrossRef]
- Lira, A.M.; Araújo, A.A.S.; Basílio, I.D.J.; Santos, B.L.L.; Santana, D.P.; Macedo, R.O. Compatibility studies of lapachol with pharmaceutical excipients for the development of topical formulations. Thermochim. Acta 2007, 457, 1–6. [Google Scholar] [CrossRef]
- Wong, L.P.; Gilligan, C.A.; Po, A.L.W. Preparation and Characterisation of Sustained-Release Ibuprofen-Cetostearyl Alcohol Spheres. Int. J. Pharm. 1992, 85, 95–114. [Google Scholar] [CrossRef]
- Batista RS de, A. Development of Analytical Methodology for Analysis of Thermal Stability of Formulation Retinoic Acid Cream. Master’s Thesis, State University of Paraíba, Campina Grande, Brazil, March 2015. [Google Scholar]
- de Cássia da Silva, R.; Tadeu Gomes Cavalheiro, É. Synthesis, characterization, and thermal analysis of alginate and monoethanolamine product. J. Therm. Anal. Calorim. 2015, 120, 855–862. [Google Scholar] [CrossRef]
- Narang, A.S.; Yamniuk, A.; Zhang, L.; Comezoglu, S.N.; Bindra, D.S.; Varia, S.A.; Doyle, M.; Badawy, S. Excipient Applications in Formulation Design and Drug Delivery; Narang, A.S., Boddu, S.H., Eds.; Springer: New York, NY, USA, 2015; Volume 1, pp. 11–35. [Google Scholar]







| PCV | ||
| Peak | Bonding | Absorption Region (cm−1) |
| 1 | N–H (aliphatic) | 3400 |
| 2 | N–H (cyclic) | 3313/3126 |
| 3 | CH2 (symmetrical vibration) | 2885 |
| 4 | C=O | 1683 |
| 5 | C–O and C–N | 1381/1310/1176 |
| 6 | C–H (off-plane folds) | 848 |
| LYS | ||
| Peak | Bonding | Absorption Region (cm−1) |
| 1 | H–O–H | 3366 |
| 2 | C–H | 3087 |
| 3 | N–H | 3000-2800 |
| 4 | NH2 | 2200/1900 |
| 5 | C=O | 1624/1425 |
| 6 | C–N | 1045 |
| 7 | H–Cl and C=O (deformations) | 735/705/663 |
| Sample | Ratio (Drug:Drug or Drug:Drug: Excipient) | Tpeak/°C |
|---|---|---|
| PCV | - | 278.27 |
| LYS | - | 260.92 |
| PCV-LYS | 1:1 | 253.10 |
| EDTA-PCV-LYS | 1:1:1 | 252.18 |
| PROPYL-PCV-LYS | 1:1:1 | 251.41 |
| METHYL-PCV-LYS | 1:1:1 | 251.85 |
| BHT-PCV-LYS | 1:1:1 | 251.76 |
| PARAFF-PCV-LYS | 1:1:1 | 252.86 |
| LAURYL-PCV-LYS | 1:1:1 | 253.37 |
| POLAWAX-PCV-LYS | 1:1:1 | 252.67 |
| CET ALC-PCV-LYS | 1:1:1 | 222.74 |
| PROP GLY-PCV-LYS | 1:1:1 | 253.85 |
| LIQ PET-PCV-LYS | 1:1:1 | 257.62 |
| Conditions | PCV Assay (%) ± RSD * | LYS Assay (%) ± RSD * | ||
|---|---|---|---|---|
| 0 Month | 6 Months | 0 Month | 6 Months | |
| 5 ± 2 °C | 100.24 ± 0.55 | 98.60 ± 0.39 | 99.76 ± 0.37 | 97.91 ± 1.01 |
| 25 ± 2 °C | 100.24 ± 0.55 | 98.53 ± 0.50 | 99.76 ± 0.37 | 98.69 ± 0.94 |
| 40 ± 2 °C | 100.24 ± 0.55 | 97.84 ± 1.08 | 99.76 ± 0.37 | 97.72 ± 1.21 |
© 2019 by the authors. Licensee MDPI, Basel, Switzerland. This article is an open access article distributed under the terms and conditions of the Creative Commons Attribution (CC BY) license (http://creativecommons.org/licenses/by/4.0/).
Share and Cite
Meira, R.Z.C.; Biscaia, I.F.B.; Nogueira, C.; Murakami, F.S.; Bernardi, L.S.; Oliveira, P.R. Solid-State Characterization and Compatibility Studies of Penciclovir, Lysine Hydrochloride, and Pharmaceutical Excipients. Materials 2019, 12, 3154. https://doi.org/10.3390/ma12193154
Meira RZC, Biscaia IFB, Nogueira C, Murakami FS, Bernardi LS, Oliveira PR. Solid-State Characterization and Compatibility Studies of Penciclovir, Lysine Hydrochloride, and Pharmaceutical Excipients. Materials. 2019; 12(19):3154. https://doi.org/10.3390/ma12193154
Chicago/Turabian StyleMeira, Rafaela Z. C., Isabela F. B. Biscaia, Camila Nogueira, Fabio S. Murakami, Larissa S. Bernardi, and Paulo R. Oliveira. 2019. "Solid-State Characterization and Compatibility Studies of Penciclovir, Lysine Hydrochloride, and Pharmaceutical Excipients" Materials 12, no. 19: 3154. https://doi.org/10.3390/ma12193154
APA StyleMeira, R. Z. C., Biscaia, I. F. B., Nogueira, C., Murakami, F. S., Bernardi, L. S., & Oliveira, P. R. (2019). Solid-State Characterization and Compatibility Studies of Penciclovir, Lysine Hydrochloride, and Pharmaceutical Excipients. Materials, 12(19), 3154. https://doi.org/10.3390/ma12193154

