Toner Waste Powder (TWP) as a Filler for Polymer Blends (LDPE/HIPS) for Enhanced Electrical Conductivity
Abstract
1. Introduction
2. Materials and Methods
2.1. Materials
2.2. Composite Films Preparation
2.3. Characterization Techniques
3. Results
3.1. Toner Waste Powder
3.1.1. Morphology and Elemental Analysis of Toner Waste Powder
3.1.2. Crystallinity and Crystal Structure of Toner Waste Powder
3.2. TWP/Polymer Composites
3.2.1. FTIR of the TWP and TWP/Polymer Composites
3.2.2. Polymer Composites Morphology
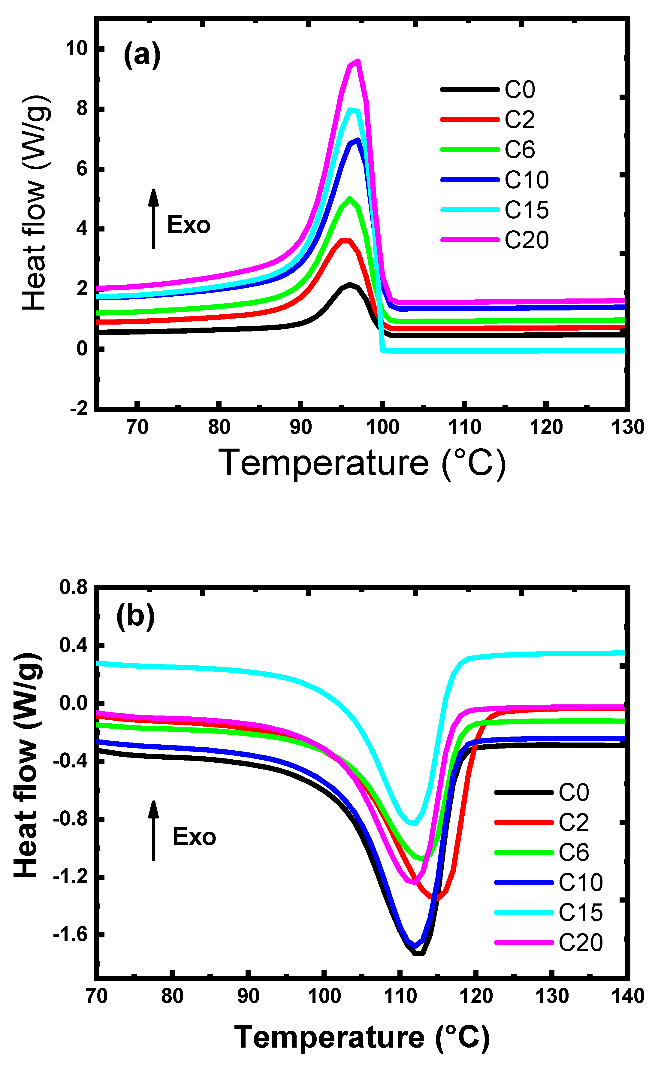
3.2.3. Differential Scanning Calorimetry (DSC)
3.2.4. Thermogravimetric Analysis
3.2.5. Electrical Resistivity
4. Conclusions
Author Contributions
Funding
Conflicts of Interest
References
- Kabongo, J.D. Waste Valorization. In Encyclopedia of Corporate Social Responsibility; Idowu, S.O., Capaldi, N., Zu, L., Gupta, A.D., Eds.; Springer: Berlin/Heidelberg, Germany, 2013. [Google Scholar]
 - IMARC Report: Ink Market: Global Industry Trends, Share, Size, Growth, Opportunity and Forecast 2019–2024; IMARC: New York, NY, USA, 2019.
 - Hassan, T.A.; Rangari, V.K.; Jeelani, S. Value-Added Biopolymer Nanocomposites from Waste Eggshell-Based CaCO3 Nanoparticles as Fillers. ACS Sustain. Chem. Eng. 2014, 2, 706–717. [Google Scholar] [CrossRef]
 - Khalil, H.A.; Fizree, H.M.; Bhat, A.H.; Jawaid, M.; Abdullah, C.K. Development and characterization of epoxy nanocomposites based on nano-structured oil palm ash. Compos. Part B Eng. 2013, 53, 324–333. [Google Scholar] [CrossRef]
 - Ismail, H.; Omar, N.F.; Othman, N. Effect of carbon black loading on curing characteristics and mechanical properties of waste tyre dust/carbon black hybrid filler filled natural rubber compounds. J. Appl. Polym. Sci. 2011, 121, 1143–1150. [Google Scholar] [CrossRef]
 - Barhoum, A.; Shalan, A.E.; El-Hout, S.I.; Ali, G.A.M.; Abdelbasir, S.M.; Abu Serea, E.S.; Ibrahim, A.H.; Pal, K. A Broad Family of Carbon Nanomaterials: Classification, Properties, Synthesis, and Emerging Applications. In Handbook of Nanofibers; Springer International Publishing: New York City, NY, USA, 2019; pp. 1–40. [Google Scholar]
 - Barhoum, A.; Van Lokeren, L.; Rahier, H.; Dufresne, A.; Van Assche, G. Roles of in Situ Surface Modification in Controlling the Growth and Crystallization of CaCO3 Nanoparticles, and Their Dispersion in Polymeric Materials. J. Mater. Sci. 2015, 50, 7908–7918. [Google Scholar] [CrossRef]
 - Essawy, H.A.; El-Sabbagh, S.H.; Tawfik, M.E.; Van Assche, G.; Barhoum, A. Assessment of Provoked Compatibility of NBR/SBR Polymer Blend with Montmorillonite Amphiphiles from the Thermal Degradation Kinetics. Polym. Bull. 2017, 75, 1417–1430. [Google Scholar] [CrossRef]
 - Abdel-Haleem, F.M.; Saad, M.; Barhoum, A.; Bechelany, M.; Rizk, M.S. PVC Membrane, Coated-Wire, and Carbon-Paste Ion-Selective Electrodes for Potentiometric Determination of Galantamine Hydrobromide. Physiological Fluids. Mater. Sci. Eng. C 2018, 89, 140–148. [Google Scholar] [CrossRef]
 - Haichao, L.; Haoyi, L.; Bubakir, M.M.; Weimin, Y.; Barhoum, A. Engineering Nanofibers as Electrode and Membrane Materials for Batteries, Supercapacitors, and Fuel Cells. In Handbook of Nanofibers; Springer International Publishing: Cham, Switzerland, 2018; pp. 1–27. [Google Scholar]
 - Gopalakrishnan, R.; Li, Y.; Smekens, J.; Barhoum, A.; Van Assche, G.; Omar, N.; Van Mierlo, J. Electrochemical Impedance Spectroscopy Characterization and Parameterization of Lithium Nickel Manganese Cobalt Oxide Pouch Cells: Dependency Analysis of Temperature and State of Charge. Ionics (Kiel). 2019, 25, 111–123. [Google Scholar] [CrossRef]
 - Behera, K.; Yadav, M.; Chiu, F.C.; Rhee, K.Y. Graphene Nanoplatelet-Reinforced Poly(vinylidene fluoride)/High Density Polyethylene Blend-Based Nanocomposites with Enhanced Thermal and Electrical Properties. Nanomaterials 2019, 9, 361. [Google Scholar] [CrossRef]
 - Turky, A.O.; Barhoum, A.; Rashad, M.M.; Bechlany, M. Enhanced the Structure and Optical Properties for ZnO/PVP Nanofibers Fabricated via Electrospinning Technique. J. Mater. Sci. Mater. Electron. 2017, 28, 17526–17532. [Google Scholar] [CrossRef]
 - Hammani, S.; Moulai-Mostefa, N.; Benyahia, L. Effect of carbon black nanoparticle on the morphology rheology and thermal properties of emulsion polymer blends. Int. J. Nanotechnol. 2013, 10, 533–542. [Google Scholar] [CrossRef]
 - Cao, L.; Bai, X.; Lin, Z.; Zhang, P.; Deng, S.; Du, X.; Li, W. The Preparation of Ag Nanoparticle and Ink Used for Inkjet Printing of Paper Based Conductive Patterns. Materials 2017, 10, 1004. [Google Scholar] [CrossRef] [PubMed]
 - Inglezakis, V.J.; Moustakas, K. Household hazardous waste management: A review. J. Environ. Manag. 2015, 150, 310–321. [Google Scholar] [CrossRef] [PubMed]
 - Lu, C.; Zhang, L.; Zhong, Y.; Ren, W.; Tobias, M.; Mu, Z.; Ma, Z.; Geng, Y.; Xue, B. An overview of e-waste management in China. J. Mater. Cycles Waste Manag. 2015, 17, 1–12. [Google Scholar] [CrossRef]
 - Rada, E.C.; Zatelli, C.; Cioca, L.I.; Torretta, V. Selective Collection Quality Index for Municipal Solid Waste Management. Sustainability 2018, 10, 257. [Google Scholar] [CrossRef]
 - Gecol, H.; Scamehorn, J.F.; Christian, S.D.; Grady, B.P.; Riddell, F. Use of surfactants to remove water-based inks from plastics films. Colloids Surf. A Phys. Eng. Asp. 2001, 189, 55–64. [Google Scholar] [CrossRef]
 - Ruan, J.; Li, J.; Xu, Z. An Environmental Friendly Recovery Production Line of Waste Toner Cartridges. J. Hazard. Mater. 2011, 185, 696–702. [Google Scholar] [CrossRef] [PubMed]
 - Vila, A.; Ferrer, N.; Garcia, J.F. Chemical composition of contemporary black printing inks based on infrared spectroscopy: Basic information for the characterization and discrimination of artistic prints. Anal. Chim. Acta 2007, 591, 97–105. [Google Scholar] [CrossRef] [PubMed]
 - Zayed, M.A.; Imam, N.G.; Ahmed, M.A.; El Sherbiny, D.H. Spectrophotometric analysis of hematite/magnetite nanocomposites in comparison with EDX and XRF techniques. J. Mol. Liq. 2017, 231, 288–295. [Google Scholar] [CrossRef]
 - Barhoum, A.; García-Betancourt, M.L.; Rahier, H.; Van Assche, G. Physicochemical Characterization of Nanomaterials: Polymorph, Composition, Wettability, and Thermal Stability. In Emerging Applications of Nanoparticles and Architectural Nanostructures: Current Prospects and Future Trends; Elsevier Inc.: Oxford, UK, 2018; pp. 255–278. [Google Scholar]
 - Barhoum, A.; Luisa García-Betancourt, M. Physicochemical Characterization of Nanomaterials: Size, Morphology, Optical, Magnetic, and Electrical Properties. In Emerging Applications of Nanoparticles and Architectural Nanostructures: Current Prospects and Future Trends; Elsevier Inc.: Oxford, UK, 2018; pp. 279–304. [Google Scholar]
 - Zięba-Palus, J.; Kunicki, M. Application of the micro-FTIR spectroscopy, Raman spectroscopy and XRF method examination of inks. Forensic Sci. Int. 2006, 158, 164–172. [Google Scholar] [CrossRef]
 - Kazeminezhad, I.; Mosivand, S. Phase Transition of Electro oxidized Fe3O4 to γ and α-Fe2O3 Nanoparticles Using Sintering Treatment. Acta Phys. Pol. A 2014, 125, 1210–1214. [Google Scholar] [CrossRef]
 - Chelliah, M.; Rayappan, J.B.B.; Krishnan, U.M. Synthesis and characterisation of cerium oxide nanoparticles by hydoxide mediated approach. J. Appl. Sci. 2012, 12, 1734–1737. [Google Scholar]
 - Zhao, H.; Fu, W.; Yang, H.; Zhao, W.; Chen, Y.Z.H.; Jing, Q.; Qi, X.; Cao, J.; Zhou, X.; Li, Y. Synthesis and characterization of TiO2/Fe2O3 core-shell nanocomposition film and their photoelectron-chemical property. Appl. Surf. Sci. 2011, 257, 8778–8783. [Google Scholar] [CrossRef]
 - Sugimoto, M.; Shimada, A.; Kudoh, H.; Tamura, K.; Seguchi, T. Product analysis for polyethylene degradation by radiation and thermal aging. Radiat. Phys. Chem. 2013, 82, 69–73. [Google Scholar] [CrossRef]
 - Ahangaran, F.; Hassanzadeh, A.; Nouri, S.; Neisiany, R.E. Investigation of thermal and dielectric properties of Fe3O4/high-density polyethylene nanocomposites. J. Compos. Mater. 2017, 51, 3923–3929. [Google Scholar] [CrossRef]
 - Guo, L.; Gao, S.; An, Q.-D.; Xiao, Z.-Y.; Zhai, S.; Yang, D.; Cui, L. Dopamine-derived cavities/Fe3O4 nanoparticles encapsulated carbonaceous composites with self generated three-dimensional network structure as an excellent microwave absorber. RSC Adv. 2019, 9, 766–780. [Google Scholar] [CrossRef]
 - Xu, D.; Wang, P.; Shen, B. Development of TiO2-reduced graphene oxide nanocomposites and their enhanced photocatalytic and photovoltaic performance Digest. J. Nanomater. Biostruct. 2016, 11, 15–22. [Google Scholar]
 - Nassar, M.Y.; Ali, E.I.; Zakaria, E.S. Tunable auto-combustion preparation of TiO2 nanostructures as efficient adsorbents for the removal of an anionic textile dye. RSC Adv. 2017, 7, 8034–8050. [Google Scholar] [CrossRef]
 - Hu, K.; Cui, Z.; Yuan, Y.; Zhuang, Q.; Wang, T.; Liu, X.; Han, Z. Synthesis, Structure, and Properties of High-Impact Polystyrene/Octavinyl Polyhedral Oligomeric Silsesquioxane Nanocomposites. Polym. Compos. 2014, 37, 1049–1055. [Google Scholar] [CrossRef]
 - Gaska, K.; Kádár, R.; Rybak, A.; Siwek, A.; Gubanski, S. Gas Barrier, Thermal, Mechanical and Rheological Properties of Highly Aligned Graphene-LDPE Nanocomposites. Polymers 2017, 9, 294. [Google Scholar] [CrossRef]
 - Hammani, S.; Barhoum, A.; Bechelany, M. Fabrication of PMMA/ZnO Nanocomposite: Effect of High Nanoparticles Loading on the Optical and Thermal Properties. J. Mater. Sci. 2018, 53, 1911–1921. [Google Scholar] [CrossRef]
 - Samarth, N.B.; Mahanwar, P.A. Study and characterization of LDPE/Polyolefin elastomer and LDPE/EPDM blend: Effect of chlorinated water on blend performance. Adv. Manuf. Polym. Compos. Sci. 2017, 3, 62–72. [Google Scholar] [CrossRef][Green Version]
 - Zheng, L.; Li, Y.; Weng, Y.; Zhu, J.; Zeng, J. Localization control of carbon nanotubes in immiscible polymer blends through dynamic vulcanization. Compos. Part B 2019, 167, 683–689. [Google Scholar] [CrossRef]
 - Tao, F.; Nysten, B.; Baudouin, A.; Thomassin, J.; Vuluga, D.; Detrembleur, C.; Bailly, C. Influence of nanoparticle-polymer interactions on the apparent migration behaviour of carbon nanotubes in an immiscible polymer blend. Polymer 2011, 52, 4798–4805. [Google Scholar] [CrossRef]
 - Kausar, A.; Taherian, R. Electrical Conductivity in Polymer Composite Filled With Carbon Microfillers. In Electrical Conductivity in Polymer-Based Composites: Experiments, Modelling and Applications; Elsevier: Amsterdam, The Netherlands, 2019; pp. 19–40. [Google Scholar]
 - Liu, Z.; Peng, W.; Zare, Y.; Hui, D.; Rhee, K.Y. Predicting the Electrical Conductivity in Polymer Carbon Nanotube Nanocomposites Based on the Volume Fractions and Resistances of the Nanoparticle, Interphase, and Tunneling Regions in Conductive Networks. RSC Adv. 2018, 8, 19001–19010. [Google Scholar] [CrossRef]
 - Kyrylyuk, A.V.; van der Schoot, P. Continuum percolation of carbon nanotubes in polymeric and colloidal media. Proc. Natl. Acad. Sci. USA 2008, 105, 8221–8226. [Google Scholar] [CrossRef] [PubMed]
 - Otten, R.H.; van der Schoot, P. Continuum Percolation of Polydisperse Nanofillers. Phys. Rev. Lett. 2009, 103, 225704. [Google Scholar] [CrossRef] [PubMed]
 - Luyt, A.S.; Molefi, J.A.; Krump, H. Thermal, mechanical and electrical properties of copper powder filled low-density and linear low-density polyethylene composites. Polym. Degrad. Stab. 2006, 91, 1629–1636. [Google Scholar] [CrossRef]
 









| Samples | Composition of Polymer Blend | TWP wt % Relative to the Polymer Blend* | |
|---|---|---|---|
| LDPE (wt %) | HIPS (wt %) | ||
| C0 | 80 | 20 | 0 | 
| C2 | 80 | 20 | 2 | 
| C6 | 80 | 20 | 6 | 
| C10 | 80 | 20 | 10 | 
| C15 | 80 | 20 | 15 | 
| C20 | 80 | 20 | 20 | 
| Elements % Atomic | Specter 1 | Specter 2 | Specter 3 | Specter 4 | 
|---|---|---|---|---|
| C | 70.9 | 72.6 | 73.7 | 23.3 | 
| O | 21.4 | 20.5 | 18.9 | 41.6 | 
| Fe | 7.4 | 6.2 | 6.7 | 1.4 | 
| Si | 0.3 | 0.4 | 0.3 | 0.2 | 
| Ca | / | 0.3 | 0.2 | 16.6 | 
| Ti | / | / | 0.2 | 16.9 | 
| Main Elements | Percentage (%) | Trace Elements | Percentage (ppm) | 
|---|---|---|---|
| Fe | 71.43 | Si | 4973 | 
| Ti | 3.02 | Zn | 4285 | 
| Ca | 2.72 | Mn | 4117 | 
| Ce | 1.73 | P | 1624 | 
| Sample | Melting | Crystallization | Crystallinity Degree | Electrical Resistivity | ||
|---|---|---|---|---|---|---|
| Tm (°C) | ΔHm (J/g) | Tc (°C) | ΔHc (J/g) | χc (%) | Ohm cm | |
| C0 | 112.1 ± 0.8 | 90.9 ± 0.6 | 96.6 ± 0.5 | 66.5 ± 0.8 | 25.4 | 7.37 × 1014 | 
| C2 | 113.4 ± 0.7 | 93.4 ± 0.6 | 94.6 ± 0.7 | 63.9 ± 0.5 | 24.4 | 2.36 × 1013 | 
| C6 | 113.3 ± 0.9 | 60.7 ± 0.7 | 97.3 ± 0.8 | 38.9 ± 0.8 | 15.4 | 2.56 × 109 | 
| C10 | 114.5 ± 0.6 | 86.3 ± 0.8 | 98.0 ± 0.5 | 56.0 ± 0.6 | 24.1 | 2.90 × 107 | 
| C15 | 112.0 ± 0.9 | 72.9 ± 1.1 | 95.3 ± 0.8 | 50.1 ± 0.7 | 22.6 | 2.77 × 107 | 
| C20 | 110.0 ± 0.9 | 76.0 ± 0.9 | 97.5 ± 0.9 | 47.5 ± 1.0 | 18.01 | 2.70 × 107 | 
| Samples | C0 | C2 | C6 | C10 | C15 | C20 | 
|---|---|---|---|---|---|---|
| T (at 10% Mass loss) (°C) | 417 ± 1 | 417 ± 1 | 418 ± 1 | 422 ± 1 | 411 ± 2 | 410 ± 2 | 
| Tmax (°C) | 462 ± 1 | 461 ± 1 | 462 ± 1 | 464 ± 1 | 459 ± 2 | 458 ± 2 | 
| Residue at 600 °C | 0.01 ± 0.04 | 0.9 ± 0.1 | 2.3 ± 0.1 | 4.2 ± 0.1 | 6.1 ± 0.2 | 8.1 ± 0.2 | 
© 2019 by the authors. Licensee MDPI, Basel, Switzerland. This article is an open access article distributed under the terms and conditions of the Creative Commons Attribution (CC BY) license (http://creativecommons.org/licenses/by/4.0/).
Share and Cite
Hammani, S.; Barhoum, A.; Nagarajan, S.; Bechelany, M. Toner Waste Powder (TWP) as a Filler for Polymer Blends (LDPE/HIPS) for Enhanced Electrical Conductivity. Materials 2019, 12, 3062. https://doi.org/10.3390/ma12193062
Hammani S, Barhoum A, Nagarajan S, Bechelany M. Toner Waste Powder (TWP) as a Filler for Polymer Blends (LDPE/HIPS) for Enhanced Electrical Conductivity. Materials. 2019; 12(19):3062. https://doi.org/10.3390/ma12193062
Chicago/Turabian StyleHammani, Salim, Ahmed Barhoum, Sakthivel Nagarajan, and Mikhael Bechelany. 2019. "Toner Waste Powder (TWP) as a Filler for Polymer Blends (LDPE/HIPS) for Enhanced Electrical Conductivity" Materials 12, no. 19: 3062. https://doi.org/10.3390/ma12193062
APA StyleHammani, S., Barhoum, A., Nagarajan, S., & Bechelany, M. (2019). Toner Waste Powder (TWP) as a Filler for Polymer Blends (LDPE/HIPS) for Enhanced Electrical Conductivity. Materials, 12(19), 3062. https://doi.org/10.3390/ma12193062
        
