Contrast Variation Small Angle Neutron Scattering Investigation of Micro- and Nano-Sized TATB
Abstract
1. Introduction
2. Theoretical Background of SANS and Contrast Variation Method
3. Materials and Methods
3.1. Materials
3.2. Method
3.2.1. Swelling Method
3.2.2. SANS Method
3.2.3. Complementary Method
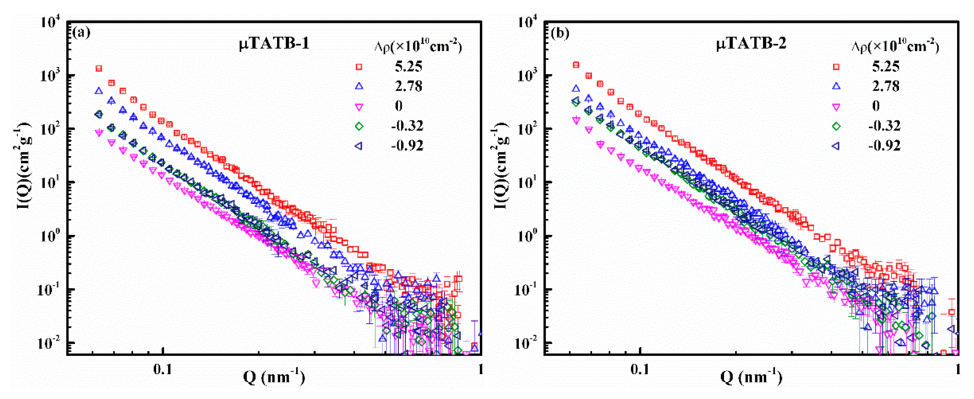
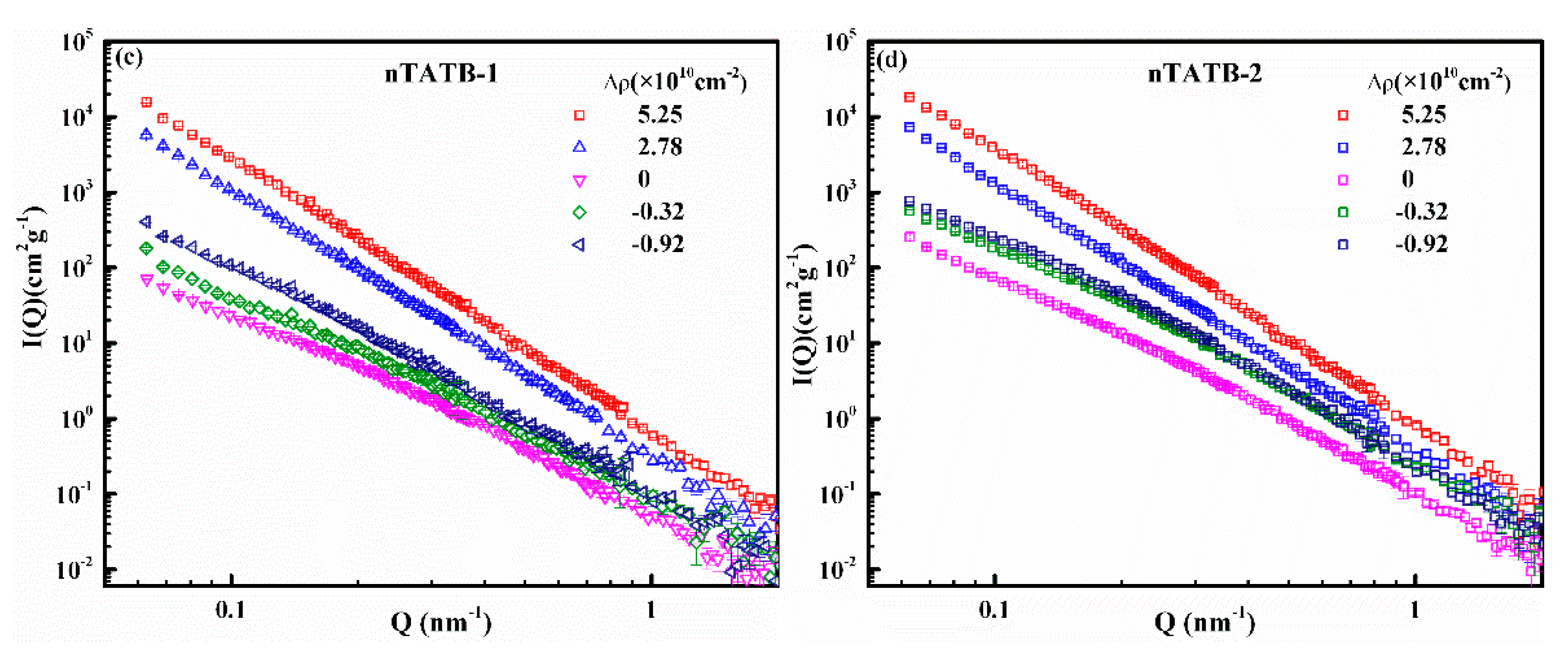
4. Results and Discussion
5. Conclusions
Author Contributions
Funding
Acknowledgments
Conflicts of Interest
References
- Yang, G.; Nie, F.; Huang, H.; Zhao, L.; Pang, W. Preparation and Characterization of Nano-TATB Explosive. Propellants Explos. Pyrotech. 2006, 31, 390–394. [Google Scholar] [CrossRef]
- Yadollah, B.; Vida, Z. Preparation and Characterization of Nano-CL-20 Explosive. J. Energetic Mater. 2011, 29, 281–291. [Google Scholar]
- An, C.; Li, H.; Ye, B.; Xu, C.; Wang, J. Preparation and Characterization of Ultrafine HMX/TATB Explosive Co-Crystals. Cent. Eur. J. Energetic Mater. 2017, 14, 876–887. [Google Scholar] [CrossRef]
- Yang, L.; Ren, X.; Li, T.; Wang, S.; Zhang, T. Preparation of Ultrafine TATB and the Technology for Crystal Morphology Control. Chin. J. Chem. 2012, 30, 293–298. [Google Scholar] [CrossRef]
- Um, J.E.; Yeo, T.; Choi, W.; Chae, J.S.; Kim, H.S.; Kim, W.J. Enhanced Energy Release from Homogeneous Carbon Nanotube-Energetic Material Composites. Sci. Adv. Mater. 2016, 8, 164–170. [Google Scholar] [CrossRef]
- Huang, C.; Liu, J.; Ding, L.; Wang, D.; Yang, Z.; Nie, F. Facile Fabrication of Nanoparticles Stacked 2,6-diamino-3,5-dinitropyrazine-1-oxide (LLM-105) Sub-Microspheres via Electrospray Deposition. Propellants Explos. Pyrotech. 2018, 43, 188–193. [Google Scholar] [CrossRef]
- Guanyun, Y.; Qiang, T.; Jiahui, L.; Bo, C.; Guangai, S.; Ming, H.; Xiuhong, L. Small-angle X-ray analysis of the effect of grain size on the thermal damage of octahydro-1, 3, 5, 7-tetranitro-1, 3, 5, 7 tetrazocine-based plastic-bounded expolsives. Chin. Phys. B 2014, 23, 560–564. [Google Scholar]
- Lee Perry, W.; Clements, B.; Ma, X.; Mang, J.T. Relating microstructure, temperature, and chemistry to explosive ignition and shock sensitivity. Combust. Flame 2018, 190, 171–176. [Google Scholar] [CrossRef]
- Tarver, C.M.; Chidester, S.K.; Nichols, A.L.I. Critical conditions for impact- and shock-induced hot spots in solid explosives. J. Phys. Chem. 1996, 100, 5794–5799. [Google Scholar] [CrossRef]
- Willey, T.M.; van Buuren, T.; Lee, J.R.I.; Overturf, G.E.; Kinney, J.H.; Handly, J.; Weeks, B.L.; Ilavsky, J. Changes in Pore Size Distribution upon Thermal Cycling of TATB-Based Explosives Measured by Ultra-Small Angle X-ray Scattering. Propellants Explos. Pyrotech. 2006, 31, 466–471. [Google Scholar] [CrossRef]
- Springer, H.K.; Bastea, S.; Nichols, A.L.; Tarver, C.M.; Reaugh, J.E. Modeling the Effects of Shock Pressure and Pore Morphology on Hot Spot Mechanisms in HMX. Propellants Explos. Pyrotech. 2018, 43, 805–817. [Google Scholar] [CrossRef]
- Yi, W.; Xiaolan, S.; Hao, H. An Elementary Fractal Thermal Conduction Theory Model for Nanometer Energetic Materials. Chin. J. Explos. Propellants 2018, 41, 554–561. [Google Scholar]
- Zhang, H.; Sun, J.; Kang, B.; Shu, Y.; Shu, X.; Liu, Y.; Liu, X. Crystal Morphology Controlling of TATB by High Temperature Anti-Solvent Recrystallization. Propellants Explos. Pyrotech. 2012, 37, 172–178. [Google Scholar] [CrossRef]
- Sun, M.; Yu, B.; Hu, Q.; Yang, R.; Zhang, Y.; Li, B.; Melnichenko, Y.B.; Cheng, G. Pore structure characterization of organic-rich Niutitang shale from China: Small angle neutron scattering (SANS) study. Int. J. Coal Geol. 2018, 186, 115–125. [Google Scholar] [CrossRef]
- Littrell, K.C.; Khalili, N.R.; Campbell, M.; Sandí, G.; Thiyagarajan, P. Microstructural Analysis of Activated Carbons Prepared from Paper Mill Sludge by SANS and BET. Chem. Mater. 2002, 14, 327–333. [Google Scholar] [CrossRef]
- Mang, J.T.; Skidmore, C.B.; Hjelm, R.P.; Howe, P.M. Application of small-angle neutron scattering to the study of porosity in energetic materials. J. Mater. Res. 2000, 15, 1199–1208. [Google Scholar] [CrossRef]
- Mang, J.T.; Hjelm, R.P. Fractal Networks of Inter-Granular Voids in Pressed TATB. Propellants Explos. Pyrotech. 2013, 38, 831–840. [Google Scholar] [CrossRef]
- Mang, J.T.; Hjelm, R.P. Small-Angle Neutron Scattering and Contrast Variation Measurement of the Interfacial Surface Area in PBX 9501 as a Function of Pressing Intensity. Propellants Explos. Pyrotech. 2011, 36, 439–445. [Google Scholar] [CrossRef]
- Fratzl, P.; Vogl, G.; Klaumünzer, S. Small-angle scattering from porous amorphous substances. J. Appl. Crystallogr. 1991, 24, 588–592. [Google Scholar] [CrossRef]
- Stoltz, C.A.; Mason, B.P.; Hooper, J. Neutron scattering study of internal void structure in RDX. J. Appl. Phys. 2010, 107, 103527. [Google Scholar] [CrossRef]
- Mark Hoffman, D.; Willey, T.M.; Mitchell, A.R.; Depiero, S.C. Comparison of New and Legacy TATBs. J. Energetic Mater. 2008, 26, 139–162. [Google Scholar] [CrossRef]
- Melnichenko, Y.B.; Wignall, G.D. Small-angle neutron scattering in materials science: Recent practical applications. J. Appl. Phys. 2007, 102, 3–13. [Google Scholar] [CrossRef]
- Hjelm, R.P.; Wampler, W.A.; Seeger, P.A.; Gerspacher, M. The microstructure and morphology of carbon black: A study using small angle neutron scattering and contrast variation. J. Mater. Res. 1994, 9, 3210–3222. [Google Scholar] [CrossRef][Green Version]
- Stuhrmann, H.B.; Duee, E.D. The determination of the scattering density distribution of polydisperse solutions by contrast variation: A neutron scattering study of ferritin. J. Appl. Crystallogr. 2010, 8, 538–542. [Google Scholar] [CrossRef]
- Zemb, T.; Lindner, P. Neutron, X-rays and Light. Scattering Methods Applied to Soft Condensed Matter. Mater. Today 2002, 5, 38. [Google Scholar]
- Mei, P.; Sun, L.; Liang, C.; Sun, G.; Bo, C.; Xie, C.; Xia, Q.; Yan, G.; Qiang, T.; Huang, C. A new small-angle neutron scattering spectrometer at China Mianyang research reactor. Nucl. Instrum. Methods Phys. Res. Sect. A 2016, 810, 63–67. [Google Scholar]
- Keiderling, U. The new ‘BerSANS-PC’ software for reduction and treatment of small angle neutron scattering data. Appl. Phys. A 2002, 74, s1455–s1457. [Google Scholar] [CrossRef]
- Liu, K.; Ostadhassan, M.; Sun, L.; Zou, J.; Yuan, Y.; Gentzis, T.; Zhang, Y.; Carvajal-Ortiz, H.; Rezaee, R. A comprehensive pore structure study of the Bakken Shale with SANS, N2 adsorption and mercury intrusion. Fuel 2019, 245, 274–285. [Google Scholar] [CrossRef]
- Potton, J.A.; Daniell, G.J.; Rainford, B.D. A new method for the determination of particle size distributions from small angle neutron scattering measurements. J. Appl. Crystallogr. 1988, 21, 891–897. [Google Scholar] [CrossRef]
- Potton, J.A.; Daniell, G.J.; Rainford, B.D. Particle Size Distributions from SANS Data Using the Maximum Entropy Method. J. Appl. Crystallogr. 1988, 21, 663–668. [Google Scholar] [CrossRef]
- Li, T.; Senesi, A.J.; Lee, B. Small Angle X-ray Scattering for Nanoparticle Research. Chem. Rev. 2016, 116, 11128–11180. [Google Scholar] [CrossRef] [PubMed]
- Glatter, O.; Kratky, O. Small-Angle X-ray Scattering; Academic Press: London, UK, 1982. [Google Scholar]
- Lopez, R.R. Complexity in Biological and Physical Systems; Intech Open Limited: London, UK, 2018; pp. 169–191. [Google Scholar]
- Beaucage, G. Approximations Leading to a Unified Exponential/Power-Law Approach to Small-Angle Scattering. J. Appl. Crystallogr. 1995, 28, 717–728. [Google Scholar] [CrossRef]








| Samples | SSANS (m2/g) | SBET (m2/g) | Q Range (nm−1) |
|---|---|---|---|
| μTATB-1 | 0.376 | 0.854 | 0.068~0.74 |
| μTATB-2 | 0.503 | 0.468 | 0.068~0.74 |
| nTATB-1 | 18.3 | 8.50 | 0.68~2.00 |
| nTATB-2 | 22.9 | 12.9 | 0.68~2.00 |
| Samples | G | GS | BS | Rg (nm) | RS (nm) |
|---|---|---|---|---|---|
| nTATB-1 | 107.708 | 17.5706 | 0.0161152 | 41.4934 | 17.0181 |
| nTATB-2 | 475.460 | 69.0405 | 0.0340799 | 45.1318 | 20.2040 |
| Samples | Invariant | Volume Fraction (%) |
|---|---|---|
| μTATB-1 | 0.0254 | 0.0541 |
| μTATB-2 | 0.0434 | 0.0924 |
| nTATB-1 | 0.0601 | 0.128 |
| nTATB-2 | 0.169 | 0.361 |
© 2019 by the authors. Licensee MDPI, Basel, Switzerland. This article is an open access article distributed under the terms and conditions of the Creative Commons Attribution (CC BY) license (http://creativecommons.org/licenses/by/4.0/).
Share and Cite
Song, P.; Tu, X.; Bai, L.; Sun, G.; Tian, Q.; Gong, J.; Zeng, G.; Chen, L.; Qiu, L. Contrast Variation Small Angle Neutron Scattering Investigation of Micro- and Nano-Sized TATB. Materials 2019, 12, 2606. https://doi.org/10.3390/ma12162606
Song P, Tu X, Bai L, Sun G, Tian Q, Gong J, Zeng G, Chen L, Qiu L. Contrast Variation Small Angle Neutron Scattering Investigation of Micro- and Nano-Sized TATB. Materials. 2019; 12(16):2606. https://doi.org/10.3390/ma12162606
Chicago/Turabian StyleSong, Panqi, Xiaoqing Tu, Liangfei Bai, Guangai Sun, Qiang Tian, Jian Gong, Guiyu Zeng, Liang Chen, and Lili Qiu. 2019. "Contrast Variation Small Angle Neutron Scattering Investigation of Micro- and Nano-Sized TATB" Materials 12, no. 16: 2606. https://doi.org/10.3390/ma12162606
APA StyleSong, P., Tu, X., Bai, L., Sun, G., Tian, Q., Gong, J., Zeng, G., Chen, L., & Qiu, L. (2019). Contrast Variation Small Angle Neutron Scattering Investigation of Micro- and Nano-Sized TATB. Materials, 12(16), 2606. https://doi.org/10.3390/ma12162606

