Glow Discharge in a High-Velocity Air Flow: The Role of the Associative Ionization Reactions Involving Excited Atoms
Abstract
1. Introduction
2. The Model
3. Results and Discussion
4. Conclusions
- A kinetic scheme for non-equilibrium regimes of atmospheric pressure air discharges is developed. An improvement of the model is that it considers associative ionization with the participation of N(2D,2P) exited atoms.
- The model is used to simulate the parameters of a glow discharge ignited in a fast longitudinal flow of preheated (T0 = 1800–2900 K) air. The results adequately describe the dependence of the electric field in the glow discharge on the initial gas temperature.
- The rather–high vibrational non-equilibrium state of the discharge for high current density values, promotes the production of N(4S) atoms due to thermal dissociation of N2(X1∑g+, v) molecules, and also leads to a significantly speeds up of the production of N2(A3∑u+) molecules by electron-impact excitation from all the vibrational levels of N2(X1∑g+, v).
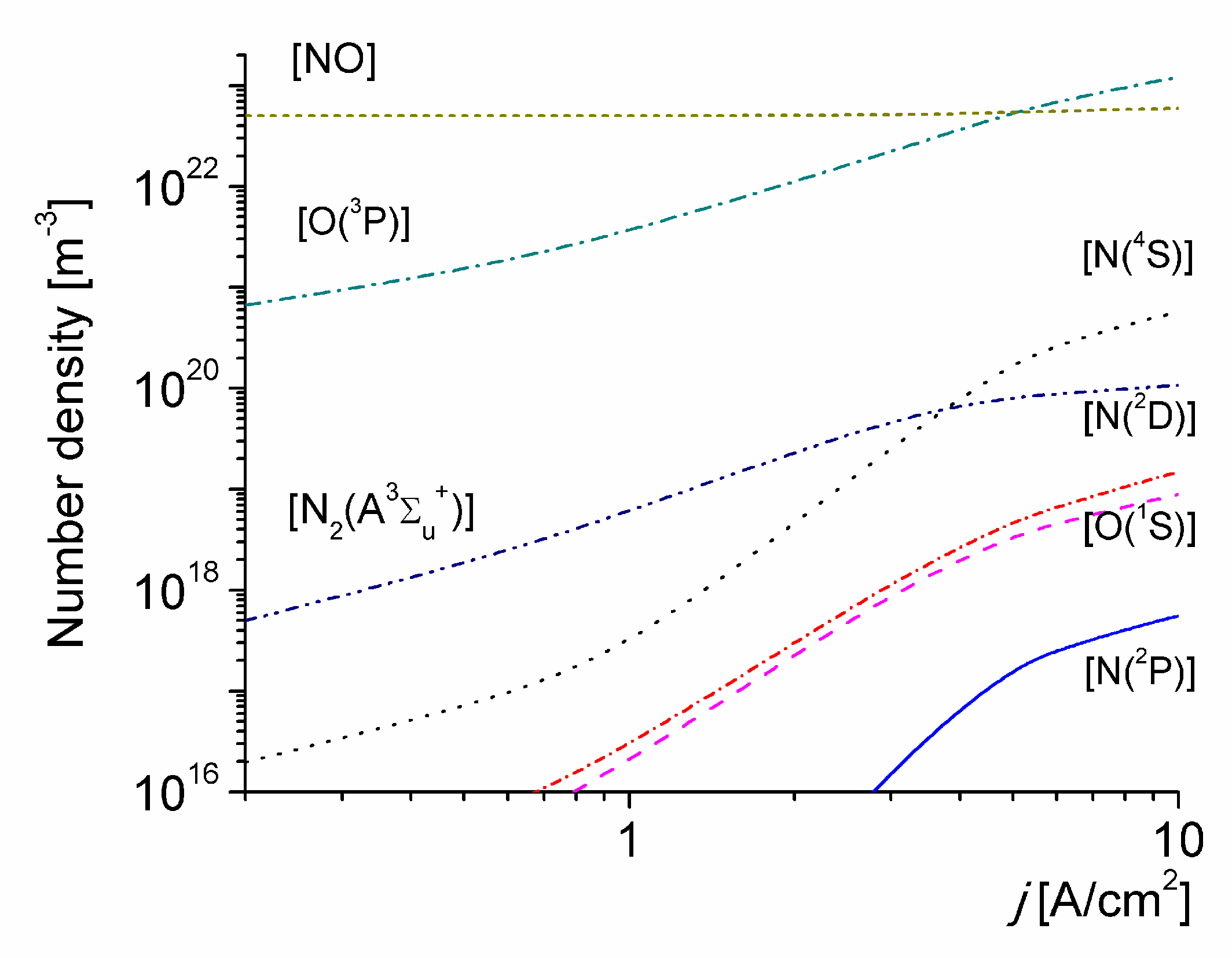
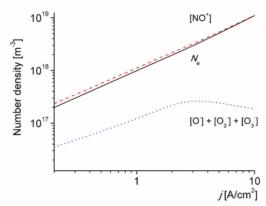
- For T0 = 1800 K, the accumulation of N(2P) metastable atoms at current density values higher than 3 A/cm2, significantly speed up the ionization kinetics of the discharge; mainly via the following reactions:accordingly; the reduced electric field begins to appreciably decrease at current densities higher than 3 A/cm2, because the electron energy (6.2 eV) required for the excitation of the N2(A3∑u+) state is considerably lower than the ionization energy (9.27 eV) of the NO molecules. For higher values of T0, the following reactions become also important in the charged particles production:because the reaction between N(2D) and O(3P) atoms is strongly dependent on the gas temperature.
Author Contributions
Funding
Acknowledgments
Conflicts of Interest
References
- André, P.; Barinov, Y.A.; Faure, G.; Shkol’nik, S.M. Characteristics of discharge with liquid nonmetallic cathode burning in air flow. J. Phys. D Appl. Phys. 2018, 51, 445202. [Google Scholar] [CrossRef]
- Staack, D.; Farouk, B.; Gutsol, A.; Fridman, A. Characterization of a dc atmospheric pressure normal glow discharge. Plasma Sources Sci. Technol. 2005, 14, 700–711. [Google Scholar] [CrossRef]
- Staack, D.; Farouk, B.; Gutsol, A.; Fridman, A. DC normal glow discharges in atmospheric pressure atomic and molecular gases. Plasma Sources Sci. Technol. 2008, 17, 025013. [Google Scholar] [CrossRef]
- Verreycken, T.; Schram, D.C.; Leys, C.; Bruggeman, P. Spectroscopic study of an atmospheric pressure dc glow discharge with a water electrode in atomic and molecular gases. Plasma Sources Sci. Technol. 2010, 19, 045004. [Google Scholar] [CrossRef]
- Stark, R.H.; Schoenbach, K.H. Direct current glow discharges in atmospheric air. Appl. Phys. Lett. 1999, 74, 3770–3772. [Google Scholar] [CrossRef]
- Leipold, F.; Stark, R.H.; El–Habachi, A.; Schoenbach, K.H. Electron density measurements in an atmospheric pressure air plasma by means of infrared heterodyne interferometry. J. Phys. D Appl. Phys. 2000, 33, 2268–2273. [Google Scholar] [CrossRef]
- Duten, X.; Packan, D.; Yu, L.; Laux, C.O.; Kruger, C.H. DC and Pulsed Glow Discharges in Atmospheric Pressure Air and Nitrogen. IEEE Trans. Plasma Sci. 2002, 30, 178–179. [Google Scholar] [CrossRef]
- Prevosto, L.; Kelly, H.; Mancinelli, B.; Chamorro, J.C.; Cejas, E. On the physical processes ruling an atmospheric pressure air glow discharge operating in an intermediate current regime. Phys. Plasmas 2015, 22, 023504. [Google Scholar] [CrossRef]
- Machala, Z.; Laux, C.O.; Kruger, C.H.; Candler, G.V. Atmospheric Air and Nitrogen DC Glow Discharges with Thermionic Cathodes and Swirl Flow. In Proceedings of the 42nd AIAA Aerospace Sciences Meeting and Exhibit, Reno, NV, USA, 5–8 January 2004. [Google Scholar]
- Machala, Z.; Marode, E.; Laux, C.O.; Kruger, C.H.J. DC Glow Discharges in Atmospheric Pressure Air. Adv. Oxid. Technol. 2004, 7, 133–137. [Google Scholar] [CrossRef]
- Arkhipenko, V.I.; Kirillov, A.A.; Safronau, Y.A.; Simonchika, L.V.; Zgirouski, S.M. Plasma non-equilibrium of the DC normal glow discharges in atmospheric pressure atomic and molecular gases. Eur. Phys. J. D 2012, 66, 252. [Google Scholar] [CrossRef]
- Akishev, Y.; Goossens, O.; Callebaut, T.; Leys, C.; Napartovich, A.; Trushkin, N. The influence of electrode geometry and gas flow on corona-to-glow and glow-to-spark threshold currents in air. J. Phys. D Appl. Phys. 2001, 34, 2875–2882. [Google Scholar] [CrossRef]
- Yu, L.; Laux, C.O.; Packan, D.M.; Kruger, C.H.J. Direct-current glow discharges in atmospheric pressure air plasmas. Appl. Phys. 2002, 91, 2678–2686. [Google Scholar] [CrossRef]
- Laux, C.O.; Yu, L.; Packan, D.M.; Gessman, R.J.; Pierrot, L.; Kruger, C.H.; Zare, R.N. Ionization Mechanisms in Two-Temperature Air Plasmas. In Proceedings of the 30th Plasmadynamic and Lasers Conference, Norfolk, VA, USA, 28 June–1 July 1999. [Google Scholar]
- Raizer, Y.P. Gas Discharge Physics; Springer: Berlin, Germany, 1991; pp. 99–239. [Google Scholar]
- Velikhov, E.P.; Golubev, V.S.; Pashkin, S.V. Glow discharge in a gas flow. Sov. Phys. Usp. 1982, 25, 340–358. [Google Scholar] [CrossRef]
- Adamovich, I.; Baalrud, S.D.; Bogaerts, A.; Bruggeman, P.J.; Cappelli, M.; Colombo, V.; Czarnetzki, U.; Ebert, U.; Eden, J.G.; Favia, P.; et al. The 2017 Plasma Roadmap: Low temperature plasma science and technology. J. Phys. D Appl. Phys. 2017, 50, 323001. [Google Scholar] [CrossRef]
- Naidis, G.V. Simulation of streamer-to-spark transition in short non-uniform air gaps. J. Phys. D Appl. Phys. 1999, 32, 2649–2654. [Google Scholar] [CrossRef]
- Naidis, G.V. Dynamics of streamer breakdown of short non-uniform air gaps. J. Phys. D Appl. Phys. 2005, 38, 3889–3893. [Google Scholar] [CrossRef]
- Benilov, M.S.; Naidis, G.V. Modelling of low-current discharges in atmospheric-pressure air taking account of non-equilibrium effects. J. Phys. D Appl. Phys. 2003, 36, 1834–1841. [Google Scholar] [CrossRef]
- Naidis, G.V. Simulation of convection-stabilized low-current glow and arc discharges in atmospheric-pressure air. Plasma Sources Sci. Technol. 2007, 16, 297–303. [Google Scholar] [CrossRef]
- Xaubet, M.; Giuliani, L.; Grondona, D.; Minotti, F. Experimental and theoretical study of an atmospheric air plasma-jet. Phys. Plasmas 2017, 24, 013502. [Google Scholar] [CrossRef]
- Benilov, M.S.; Naidis, G.V. Modelling of discharges in a flow of preheated air. Plasma Sources Sci. Technol. 2005, 16, 129–133. [Google Scholar] [CrossRef][Green Version]
- Popov, N.A. Simulations of a longitudinal glow discharge in a hot air flow at atmospheric pressure. Plasma Phys. Rep. 2006, 32, 237–245. [Google Scholar] [CrossRef]
- Aleksandrov, N.L.; Bazelyan, E.M.; Kochetov, I.V.; Dyatko, N.A. The ionization kinetics and electric field in the leader channel in long air gaps. J. Phys. D Appl. Phys. 1997, 30, 1616–1624. [Google Scholar] [CrossRef]
- Popov, N.A. Formation and Development of a Leader Channel in Air. Plasma Phys. Rep. 2003, 29, 695–708. [Google Scholar] [CrossRef]
- da Silva, C.L.; Pasko, V.P. Dynamics of streamer-to-leader transition at reduced air densities and its implications for propagation of lightning leaders and gigantic jets. J. Geophys. Res. 2013, 118, 13561–13590. [Google Scholar] [CrossRef]
- Aleksandrov, N.L.; Bazelyan, E.M. Ionization processes in spark discharge plasmas. Plasma Sources Sci. Technol. 1999, 8, 285–294. [Google Scholar] [CrossRef]
- Aleksandrov, N.L.; Bazelyan, E.M.J. The mechanism of re-breakdown within a post-arc channel in long non-uniform air gaps. Phys. D Appl. Phys. 1998, 31, 1343–1351. [Google Scholar] [CrossRef]
- Aleksandrov, N.L.; Bazelyan, E.M.; Konchakov, A.M. Plasma Parameters in the Channel of a Long Leader in Air. Plasma Phys. Rep. 2001, 27, 875–885. [Google Scholar] [CrossRef]
- Mankelevich, Y.A.; Pal, A.F.; Popov, N.A.; Rakhimova, T.V.; Filippov, A.V. Current Dynamics and Mechanisms for the Instability of a Non-Self-Sustained Glow Discharge in Nitrogen. Plasma Phys. Rep. 2001, 27, 979–989. [Google Scholar] [CrossRef]
- Hagelaar, G.J.M.; Pitchford, L.C. Solving the Boltzmann equation to obtain electron transport coefficients and rate coefficients for fluid models. Plasma Sources Sci. Technol. 2005, 14, 722–733, Freeware Code BOLSIG+ Version 07/2015. Available online: http://www.bolsig.laplace.univ-tlse.fr (accessed on 14 November 2015). [CrossRef]
- SIGLO. Database. Available online: http://www.lxcat.laplace.univ-tlse.fr (accessed on 4 June 2013).
- Capitelli, M.; Ferreira, C.M.; Gordiets, B.F.; Osipov, A.I. Plasma Kinetics in Atmospheric Gases; Springer: New York, NY, USA, 2000; pp. 66–154. [Google Scholar]
- Lin, S.C.; Teare, J.D. Rate of Ionization behind Shock Waves in Air. II. Theoretical Interpretations. Phys. Fluids 1963, 6, 355–375. [Google Scholar] [CrossRef]
- Chernyi, G.G.; Losev, S.A.; Macheret, S.O.; Potapkin, B.V. Physical and Chemical Processes in Gas Dynamics: Cross Sections and Rate Constants Vol. 1; AIAA: Reston, VA, USA, 2002; pp. 237–297. [Google Scholar]
- Le Padellec, A. Partial Near Threshold Cross Sections for the Associative Ionization to Form CO+, NO+ and O2+. Phys. Scr. 2005, 71, 621–626. [Google Scholar] [CrossRef]
- Golubkov, G.V.; Ozerov, G.K. The Near-Threshold Associative Ionization N(2D) + O(3P) → NO(X1Σ+) + e− Reaction. Doklady Phys. 2014, 59, 122–125. [Google Scholar] [CrossRef]
- Ringer, G.; Gentry, W.R. A merged molecular beam study of the endoergic associative ionization reaction N(2D)+O(3P) →NO++e−. J. Chem. Phys. 1979, 71, 1902–1909. [Google Scholar] [CrossRef]
- Matveyev, A.A.; Silakov, V.P. Theoretical study of the role of ultraviolet radiation of the non-equilibrium plasma in the dynamics of the microwave discharge in molecular nitrogen. Plasma Sources Sci. Technol. 1999, 8, 162–178. [Google Scholar] [CrossRef]
- Brunet, H.; Roca Serra, J. Model for a glow discharge in flowing nitrogen. J. Appl. Phys. 1985, 57, 1574–1581. [Google Scholar] [CrossRef]
- Park, C. A Review of Reaction Rates in High Temperature Air. In Proceedings of the 24th Thermophysics Conference, Buffalo, NY, USA, 12–14 June 1989. [Google Scholar]
- Hellberg, F.; Rosén, S.; Thomas, R.; Neau, A.; Larsson, M.; Petrignani, P.; van der Zande, W.J. Dissociative recombination of NO+: Dynamics of the X1 Σ+ and a3 Σ+ electronic states. J. Chem. Phys. 2003, 118, 6250–6259. [Google Scholar] [CrossRef]
- Kang, S.W.; Jones, W.L.; Dunn, M.G. Theoretical and Measured Electron-Density Distributions at High Altitudes. AIAA J. 1973, 11, 141–149. [Google Scholar] [CrossRef]
- Kossyi, I.A.; Kostinsky, A.Y.; Matveyev, A.A.; Silakov, V.P. Kinetic scheme of the non-equilibrium discharge in nitrogen-oxygen mixtures. Plasma Sources Sci. Technol. 1992, 1, 207–220. [Google Scholar] [CrossRef]
- Florescu, A.I.; Mitchell, J.B.A. Dissociative recombination. Phys. Rep. 2006, 430, 277–374. [Google Scholar]
- Herron, J.T. Evaluated Chemical Kinetics Data for Reactions of N(2D), N(2P), and N2(A3Σu+) in the Gas Phase. J. Phys. Chem. Ref. Data 1999, 28, 1453–1483. [Google Scholar] [CrossRef]
- Piper, L.G. Statetostate N2(A3Σu+) energy pooling reactions. II. The formation and quenching of N2(B3Πg, v′=1–12). J. Chem. Phys. 1988, 88, 6911–6921. [Google Scholar] [CrossRef]
- Gordiets, B.F.; Ferreira, C.M.; Guerra, V.L.; Loureiro, J.M.A.H.; Nahorny, J.; Pagnon, D.; Touzeau, M.; Vialle, M. Kinetic Model of a Low–Pressure N2–O2 Flowing Glow Discharge. IEEE Trans. Plasma Sci. 1995, 23, 750–768. [Google Scholar] [CrossRef]
- Shkurenkov, I.; Burnette, D.; Lempert, W.R.; Adamovich, I.V. Kinetics of excited states and radicals in a nanosecond pulse discharge and afterglow in nitrogen and air. Plasma Sources Sci. Technol. 2014, 23, 065003. [Google Scholar] [CrossRef]
- Piper, L.G. Quenching rate coefficients for N2(a′1Σu−). J. Chem. Phys. 1987, 87, 1625–1629. [Google Scholar] [CrossRef]
- Pancheshnyi, S.V.; Starikovskaia, S.M.; Starikovskii, A.Y. Collisional deactivation of N2(C3Πu, v = 0,1,2,3) states by N2, O2, H2 and H2O molecules. Chem. Phys. 2000, 262, 349–357. [Google Scholar] [CrossRef]
- Siskind, D.E.; Barth, D.A.; Cleary, D.D. The Possible Effect of Solar Soft X Rays on Thermospheric N itric Oxide. J. Geophys. Res. 1990, 95, 4311–4317. [Google Scholar] [CrossRef]
- Piper, L.G. The reactions of N(2P) with O2 and O. J. Chem. Phys. 1993, 98, 8560–8564. [Google Scholar] [CrossRef]
- Capitelli, M.; Colonna, G.; D’Ammando, G.; Laporta, V.; Laricchiuta, A. Nonequilibrium dissociation mechanisms in low temperature nitrogen and carbon monoxide plasmas. Chem. Phys. 2014, 438, 31–36. [Google Scholar] [CrossRef]
- Capitelli, M.; Colonna, G.; D’Ammando, G.; Laporta, V.; Laricchiuta, A. The role of electron scattering with vibrationally excited nitrogen molecules on non-equilibrium plasma kinetics. Phys. Plasmas 2013, 20, 101609. [Google Scholar] [CrossRef]
- Pietanza, L.D.; Colonna, G.; D’Ammando, G.; Laricchiuta, A.; Capitelli, M. Vibrational excitation and dissociation mechanisms of CO2 under non-equilibrium discharge and post-discharge conditions. Plasma Sources Sci. Technol. 2015, 24, 042002. [Google Scholar] [CrossRef]
- Park, C. Rate Parameters for Electonic Excitation of Diatomic Molecules 1. Electon-Impact Processes. In Proceedings of the 46th AIAA Aerospace Sciences Meeting and Exhibit, Reno, NV, USA, 7–10 January 2008. [Google Scholar]
- Pietanza, L.D.; Colonna, G.; D’Ammando, G.; Laricchiuta, A.; Capitelli, M. Non equilibrium vibrational assisted dissociation and ionization mechanisms in cold CO2 plasmas. Chem. Phys. 2016, 468, 44–52. [Google Scholar] [CrossRef]
- Loureiro, J.; Ferreira, C.M. Coupled electron energy and vibrational distribution functions in stationary N2 discharges. J. Phys. D Appl. Phys. 1986, 19, 17–35. [Google Scholar] [CrossRef]
- Thorsteinsson, E.G.; Gudmundsson, J.T. A global (volume averaged) model of a nitrogen discharge: I. Steady state. Plasma Sources Sci. Technol. 2009, 18, 045001. [Google Scholar] [CrossRef]
- Dyatko, N.A.; Kochetov, I.V.; Napartovich, A.P. Electron Temperature in Nitrogen Afterglow: Dependence of Theoretical Results on the Adopted Set of Cross Sections and on the Type of Molecular Distribution over Vibrational Levels. Plasma Phys. Rep. 2002, 28, 965–971. [Google Scholar] [CrossRef]
- Macheret, S.O.; Rich, J.W. Nonequilibrium dissociation rates behind strong shock waves: Classical model. Chem. Phys. 1993, 174, 25–43. [Google Scholar] [CrossRef]
- Fridman, A.A.; Kennedy, L.A. Plasma Physics and Engineering; Taylor & Francis Routledge: Oxfordshire, UK, 2004; pp. 139–155. [Google Scholar]
- da Silva, M.L.; Guerra, V.; Loureiro, J. Two-temperature models for nitrogen dissociation. Chem. Phys. 2007, 342, 275–287. [Google Scholar] [CrossRef]
- Dimokatis, P.E. The mixing transition in turbulent flows. J. Fluid Mech. 2000, 409, 69–98. [Google Scholar]
- Komuro, A.; Ono, R.; Oda, T. Kinetic model of vibrational relaxation in a humid-air pulsed corona discharge. Plasma Sources Sci. Technol. 2010, 19, 055004. [Google Scholar] [CrossRef]
- D’Angola, A.; Colonna, G.; Bonomo, A.; Bruno, D.; Laricchiuta, A.; Capitelli, M. A phenomenological approach for the transport properties of air plasmas. Eur. Phys. J. D 2012, 66, 205. [Google Scholar] [CrossRef]
- Hurlbatt, A.; Gibson, A.R.; Schroter, S.; Bredin, J.; Foote, A.P.S.; Grondein, P.; O’Connell, D.; Gans, T. Concepts, Capabilities, and Limitations of Global Models: A Review. Plasma Process. Polym. 2017, 14, 1600138. [Google Scholar] [CrossRef]
- Akishev, Y.; Grushin, M.; Karalnik, V.; Petryakov, A.; Trushkin, N. On basic processes sustaining constricted glow discharge in longitudinal N2 flow at atmospheric pressure. J. Phys. D Appl. Phys. 2010, 43, 215202. [Google Scholar] [CrossRef]
- Boeuf, J.P.; Kunhardt, E.E. Energy balance in a nonequilibrium weakly ionized nitrogen discharge. J. Appl. Phys. 1986, 60, 915–923. [Google Scholar] [CrossRef]
- Prevosto, L.; Kelly, H.; Mancinelli, B.; Chamorro, J.C. On the Gas Heating Mechanism for the Fast Anode Arc Reattachment in a Nontransferred Arc Plasma Torch Operating with Nitrogen Gas in the Restrike Mode. Plasma Chem. Plasma Process. 2015, 35, 1057–1070. [Google Scholar] [CrossRef]
- Breshears, W.D.; Bird, P.F. Effect of Oxygen Atoms on the Vibrational Relaxation of Nitrogen. J. Chem. Phys. 1968, 48, 4768–4773. [Google Scholar] [CrossRef]
- Eckstrom, D.J. Vibrational relaxation of shockheated N2 by atomic oxygen using the ir tracer method. J. Chem. Phys. 1973, 59, 2787–2795. [Google Scholar] [CrossRef]
- McNeal, R.J.; Whitson, M.E.; Cooke, G.R. Temperature Dependence of the Quenching of Vibrationally Excited Nitrogen by Atomic Oxygen. J. Geophys. Res. 1974, 79, 1527–1531. [Google Scholar] [CrossRef]
- Popov, N.A. Investigation of the Mechanism for Rapid Heating of Nitrogen and Air in Gas Discharges. Plasma Phys. Rep. 2001, 27, 886–896. [Google Scholar] [CrossRef]
- Gleizes, A.; Gonzalez, J.J.; Freton, P. Thermal plasma modelling. J. Phys. D Appl. Phys. 2005, 38, R153–R183. [Google Scholar] [CrossRef]







| No. j | Reaction | Rate Coefficient [m3/s or m6/s] | Reference |
|---|---|---|---|
| Electron-Impact Processes | |||
| R1 | e + N2(X) → e + e + N2+ | k1 = f (E/N) | [32,33] |
| R2 | e + O2 → e + e + O2+ | k2 = f (E/N) | [32,33] |
| R3 | e + NO → e + e + NO+ | k3 = f (E/N) | [32,33] |
| R4 | e + O(3P) → e + e + O+ | k4 = f (E/N) | [32,33] |
| R5 | e + N2(X) → e + N2*(∆E = 13 eV) e + N(4S) + N(2D) | k5 = f (E/N) | [32,33] |
| R6 | e + O2 → e + O2* (∆E = 6.0 eV) e + O(3P) + O(3P) + 0.8 eV | k6 = f (E/N) | [32,33] |
| R7 | e + O2 → e + O2 (∆E = 8.4 eV) e + O(3P) + O(1D) + 1.26 eV | k7 = f (E/N) | [32,33] |
| R8 | e + O2 → e + O2 (∆E = 9.97 eV) e + O(3P) + O(1S) + 0.6 eV | k8 = f (E/N) | [32,33] |
| R9 | e + N2(X) → e + N2(A) | k9 = f (E/N) | [32,33] |
| R10 | e + N2(X) → e + N2(B) | k10 = f (E/N) | [32,33] |
| R11 | e + N2(X) → e + N2(a’) | k11 = f (E/N) | [32,33] |
| R12 | e + N2(X) → e + N2(C) | k12 = f (E/N) | [32,33] |
| Associative Ionization | |||
| R13 | N(4S) + O(3P) → NO+ + e | k13 = 5 × 10−17 Tg−0.5 exp(−32,500/Tg) | [35] |
| R14 | N(4S) + O(1S) → NO+ + e | k14 = (1–3) × 10−17 (Tg/300)1/6 | [36] |
| R15 | N(4S) + O(1D) → NO+ + e | k15 = 3.1 × 10−25 Tg0.5 (9287 + 2 Tg) exp(–9287/Tg) | [37] |
| R16 | N(2D) + O(3P) → NO+ + e | k16 = 1.3 × 10−24 Tg0.5 (4411 + 2 Tg) exp(–4411/Tg) | [38,39] |
| R17 | N(2D) + N(2P) → N2+ + e | k17 = 1.9 × 10−21 Tg0.98 [1 − exp(–3129/Tg)]−1 | [40] |
| R18 | N(2P) + O(3P) → NO+ + e | k18 = (1–3) × 10−17 (Tg/300)1/6 | [36] |
| R19 | N(2P) + N(2P) → N2+ + e | k19 = 3.2 × 10−21 Tg0.98 [1 − exp(−3129/Tg)]−1 | [40] |
| Penning Ionization | |||
| R20 | N2(A) + N2(a’) → N2+ + N2(X) + e | k20 = 5 × 10−17 | [41] |
| R21 | N2(a’) + N2(a’) → N2+ + N2(X) + e | k21 = 2 × 10−16 | [41] |
| Dissociative Electron-Ion Recombination | |||
| R22 | e + NO+ → N(4S) + O(3P) | k22 = 0.05 ×1.5 × 10−11 Te−0.65 k22 = 0.05 ×1.1 × 10−8 Te−1.5 | [42,43] |
| [43,44] | |||
| R23 | e + NO+ → N(2D) + O(3P) | k23 = 0.95 × 1.5 × 10-11 Te-0.65 k23 = 0.95 ×1.1 × 10-8 Te-1.5 | [42,43] [43,44] |
| R24 | e + N2+ → N(4S) + N(2D) | k24 = 0.46 × 2.0 × 10−13 (300/Te)0.5 | [45,46] |
| R25 | e + N2+ → N(4S) + N(2P) | k25 = 0.08 × 2.0 × 10−13 (300/Te)0.5 | [45,46] |
| R26 | e + N2+ → N(2D) + N(2D) | k26 = 0.46 × 2.0 × 10−13 (300/Te)0.5 | [45,46] |
| R27 | e + O2+ → O(3P) + O(3P) | k27 = 0.32 × 2.0 × 10−13 (300/Te) | [45,46] |
| R28 | e + O2+ → O(3P) + O(1D) | k28 = 0.43 × 2.0 × 10−13 (300/Te) | [45,46] |
| R29 | e + O2+ → O(1D) + O(1D) | k29 = 0.20 × 2.0 × 10−13 (300/Te) | [45,46] |
| R30 | e + O2+ → O(1D) + O(1S) | k30 = 0.05 × 2.0 × 10−13 (300/Te) | [45,46] |
| Three Body Electron-Ion Recombination | |||
| R31 | e + e + O+ → e + O(3P) | k31 = 1.0 × 10−31 (300/Te)4.5 | [45] |
| Thermal Dissociation/Three Body Recombination | |||
| R32 | N2(X) + M → N(4S) + N(4S) + M M = N2(X), O2, NO | k32 = 5 × 10−14 exp(–113,200/Tg) [1 – exp(–3354/Tg)] | [25] |
| R33 | N2(X) + M → N(4S) + N(4S) + M M = N(4S), O(3P) | k33 = 1.1 × 10−13 exp(–113,200/Tg) [1 − exp(−3354/Tg)] | [25] |
| R34 | N(4S) + N(4S) + M → N2(X) + M M = N2(X), O2, NO, O(3P), N(4S) | k34 = 8.27 × 10−46 exp(500/Tg) | [25] |
| R35 | O2(X) + M → O(3P) + O(3P) + M M = O2 | k35 = 3.7 × 10−14 exp(–59,380/Tg) [1 − exp(−2240/Tg)] | [25] |
| R36 | O2(X) + M → O(3P) + O(3P) + M M = O(3P) | k36 = 1.3 × 10−13 exp(–59,380/Tg) [1 − exp(−2240/Tg)] | [25] |
| R37 | O2(X) + M → O(3P) + O(3P) + M M = N2(X), N(4S), NO | k37 = 9.3 × 10−15 exp(−59,380/Tg) [1 − exp(−2240/Tg)] | [25] |
| R38 | O(3P) + O(3P) + M → O2(X) + M M = N2(X) | k38 = 2.76 × 10−46 exp(720/Tg) | [25] |
| R39 | O(3P) + O(3P) + M → O2(X) + M M = O2 | k39 = 2.45 × 10−43 Tg−0.63 | [25] |
| R40 | O(3P) + O(3P) + M → O2(X) + M M = O(3P) | k40 = 8.8 × 10−43 Tg−0.63 | [25] |
| R41 | NO + M → N(4S) + O(3P) + M M = N2(X), O2 | k41 = 8.7 × 10−15 exp(−76,000/Tg) | [25] |
| R42 | NO + M → N(4S) + O(3P) + M M = O(3P), NO | k42 = 1.7 × 10−13 exp(−76,000/Tg) | [25] |
| R43 | N(4S) + O(3P) + M → NO(X) + M M = N2(X), O2,NO,O(3P) | k43 = 1.76 × 10−43 Tg−0.5 | [25] |
| Chemical Reactions | |||
| R44 | N2(A) + O2 → N2(X) + 2 O(3P) + 1.1 eV | k44 = 1.7 × 10−18 | [47] |
| R45 | N2(A) + O2 → N2(X) + O2(b) | k45 = 7.5 × 10−19 | [47] |
| R46 | N2(A) + N2(A) → N2(X) + N2(B) | k46 = 7.7 × 10−17 | [48] |
| R47 | N2(A) + N2(A) → N2(X) + N2(C) | k47 = 1.6 × 10−16 | [48] |
| R48 | N2(A) + O(3P) → N2(X) + O(1S) | k48 = 2.1 × 10−17 | [45] |
| R49 | N2(A) + O(3P) → NO + N(2D) | k49 = 7.0 × 10−18 | [45] |
| R50 | N2(A) + N(4S) → N2(X) + N(2P) | k50 = 5.0 × 10−17 | [49] |
| R51 | N2(A) + NO → N2(X) + NO | k51 = 6.4 × 10−17 | [47] |
| R52 | N2(B) + O2 → N2(X) + 2 O(3P) | k52 = 3.0 × 10−16 | [45] |
| R53 | N2(B) + N2(X) → N2(X) + N2(A) | k53 = 1.0 × 10−17 | [49] |
| R54 | N2(a’) + O2 → N2(X) + O(3P) + O(1D) + 1.4 eV | k54 = 2.8 × 10−17 | [45] |
| R55 | N2(a’) + N2(X) → N2(X) + N2(B) | k55 = 2.0 × 10−19 | [45] |
| R56 | N2(a’) + O(3P) → NO + N(2D) | k56 = 3.0 × 10−16 | [50] |
| R57 | N2(a’) + NO → N(4S) + O(3P) + N2(X) | k57 = 3.6 × 10−16 | [51] |
| R58 | N2(C) + O2 → N2(X) + 2 O(3P) | k58 = 2.5 × 10−16 | [52] |
| R59 | N2(C) + N2(X) → N2(X) + N2(B) | k59 = 1.0 × 10−17 | [52] |
| R60 | N2(C) → N2(B) + hυ | k60 = 2.4 × 107 s−1 | [45] |
| R61 | N(4S) + NO → O(3P) + N2(X) | k61 = 1.0 × 10−18 Tg0.5 | [45] |
| R62 | N(4S) + O2 → O(3P) + NO | k62 = 1.1 × 10−20 Tg exp(−3150/Tg) | [45] |
| R63 | N(2D) + N2(X) → N(4S) + N2(X) | k63 = 1.7 × 10−20 | [47] |
| R64 | N(2D) + O(3P) → N(4S) + O(3P) | k64 = 1.4 × 10−18 | [47] |
| R65 | N(2D) + O2 → NO + O(3P) | k65 = 2.4 × 10−18 exp(−185/Tg) | [47] |
| R66 | N(2D) + O2 → NO + O(1D) | k66 = 7.3 × 10−18 exp(−185/Tg) | [47] |
| R67 | N(2D) + NO → N2(X) + O(1S) | k67 = 6.0 × 10−17 | [47] |
| R68 | N(2P) + N(4S) → N(2D) + N(4S) | k68 = 1.8 × 10−18 | [45] |
| R69 | N(2P) + O(3P) → N(2D) + O(3P) | k69 = 1.0 × 10−18 | [49] |
| R70 | N(2P) + O2 → NO + O(3P) | k70 = 2.5 × 10−18 | [47] |
| R71 | N(2P) + NO → N2(X) + O(3P) | k71 = 2.9 × 10−17 | [47] |
| R72 | O(3P) + N2(X) → N(4S) + NO | k72 = 1.3 × 10−16 exp(−38,000/Tg) | [25] |
| R73 | O(3P) + NO → N(4S) + O2 | k73 = 2.5 × 10−21 Tg exp(−19,500/Tg) | [25] |
| R74 | O(1D) + O(3P) → O(3P) + O(3P) | k74 = 8.0 × 10−18 | [45] |
| R75 | O(1D) + O2 → O(3P) + O2(b) | k75 = 3.2 × 10−17 exp(67/Tg) | [45] |
| R76 | O(1D) + N2(X) → O(3P) + N2(X) + 1.4 eV | k76 = 1.8 × 10−17 exp(107/Tg) | [45] |
| R77 | O(1S) + O(3P) → O(1D) + O(3P) | k77 = 5.0 × 10−17 exp(−301/Tg) | [45] |
| R78 | O(1S) + O2 → O2 + O(3P) | k78 = 3.0 × 10−18 exp(−850/Tg) | [45] |
| R79 | O(1S) + O2 → O2 + O(1D) | k79 = 1.3 × 10−18 exp(−850/Tg) | [45] |
| R80 | O(1S) + N(4S) → O(3P) + N(2P) | k80 = 1.0 × 10−18 | [49] |
| R81 | O(1S) + NO → O(3P) + NO | k81 = 1.8 × 10−16 | [45] |
| R82 | O(1S) + NO → O(1D) + NO | k82 = 3.2 × 10−16 | [45] |
| Electron Attachment and Detachment | |||
| R83 | e + O2 + O2 → O2– + O2 | k83 = 1.4 × 10−41 (300/Te) exp(−660/Tg) exp[700 (Te − Tg)/(Te Tg)] | [45] |
| R84 | e + O2 → O– + O(3P) | k84 = f(E/N) | [32,33] |
| R85 | O2– + O2 → O2 + O2 + e | k85 = 2.7 × 10−16 (Tg/300)0.5 exp(–5590/Tg) | [45] |
| R86 | O2– + O(3P) → O3 + e | k86 = 1.5 × 10−16 | [45] |
| R87 | O– + N2(X) → N2O + e | k87 = 9.0 × 10−19 | [45] |
| R88 | O– + O(3P) → O2 + e | k88 = 5.0 × 10−16 | [45] |
| R89 | O– + NO → NO2 + e | k89 = 2.6 × 10−16 | [45] |
| R90 | O3– + O(3P) → O2 + O2 + e | k90 = 3.0 × 10−16 | [45] |
| Ion Conversion | |||
| R91 | O– + O2(X) + M → O3– + M M = N2(X),O2 | k91 = 1.1 × 10−42 (300/Tg) | [45] |
| R92 | O+ + N2(X) → NO+ + N(4S) | k92 = (1.5–2.0 × 10−3 Tg + 9.56 × 10−7 Tg2) × 10−18 | [49] |
| R93 | N2+ + O2(X) → N2(X) + O2+ | k93 = 6 × 10−17 (300/Tg)0.5 | [45] |
| R94 | N2+ + O(3P) → N2(X) + O+ | k94 = 1.0 × 10−17 (300/Tg)0.2 | [45] |
| R95 | N2+ + O(3P) → NO+ + N(4S) | k95 = 0.95 × 1.3 × 10−16 (300/Tg)0.5 | [45,53] |
| R96 | N2+ + O(3P) → NO+ + N(2D) | k96 = 0.05 × 1.3 × 10−16 (300/Tg)0.5 | [45,53] |
| R97 | O2+ + NO → NO+ + O2 | k97 = 6.3 × 10−16 | [49] |
| Ion-Ion Recombination | |||
| R98 | X– + Y+ → X + Y X– = O–, O2–, O3– Y+ = N2+, O2+, NO+, O+ | k98 = 2.0 × 10−13 (300/Tg)0.5 | [45] |
© 2019 by the authors. Licensee MDPI, Basel, Switzerland. This article is an open access article distributed under the terms and conditions of the Creative Commons Attribution (CC BY) license (http://creativecommons.org/licenses/by/4.0/).
Share and Cite
Cejas, E.; Mancinelli, B.R.; Prevosto, L. Glow Discharge in a High-Velocity Air Flow: The Role of the Associative Ionization Reactions Involving Excited Atoms. Materials 2019, 12, 2524. https://doi.org/10.3390/ma12162524
Cejas E, Mancinelli BR, Prevosto L. Glow Discharge in a High-Velocity Air Flow: The Role of the Associative Ionization Reactions Involving Excited Atoms. Materials. 2019; 12(16):2524. https://doi.org/10.3390/ma12162524
Chicago/Turabian StyleCejas, Ezequiel, Beatriz Rosa Mancinelli, and Leandro Prevosto. 2019. "Glow Discharge in a High-Velocity Air Flow: The Role of the Associative Ionization Reactions Involving Excited Atoms" Materials 12, no. 16: 2524. https://doi.org/10.3390/ma12162524
APA StyleCejas, E., Mancinelli, B. R., & Prevosto, L. (2019). Glow Discharge in a High-Velocity Air Flow: The Role of the Associative Ionization Reactions Involving Excited Atoms. Materials, 12(16), 2524. https://doi.org/10.3390/ma12162524

