Numerical Validation of Two-Parameter Weibull Model for Assessing Failure Fatigue Lives of Laminated Cementitious Composites—Comparative Assessment of Modeling Approaches
Abstract
1. Introduction
2. Experimental Work
2.1. Fabrication of LCC Specimens
2.2. Fatigue Test Program
3. Fatigue Modeling Approaches for Cementitious Composites
3.1. Two-Parameter Weibull Distribution Model
3.2. Three-Parameter Weibull Distribution Model
4. Results and Discussion
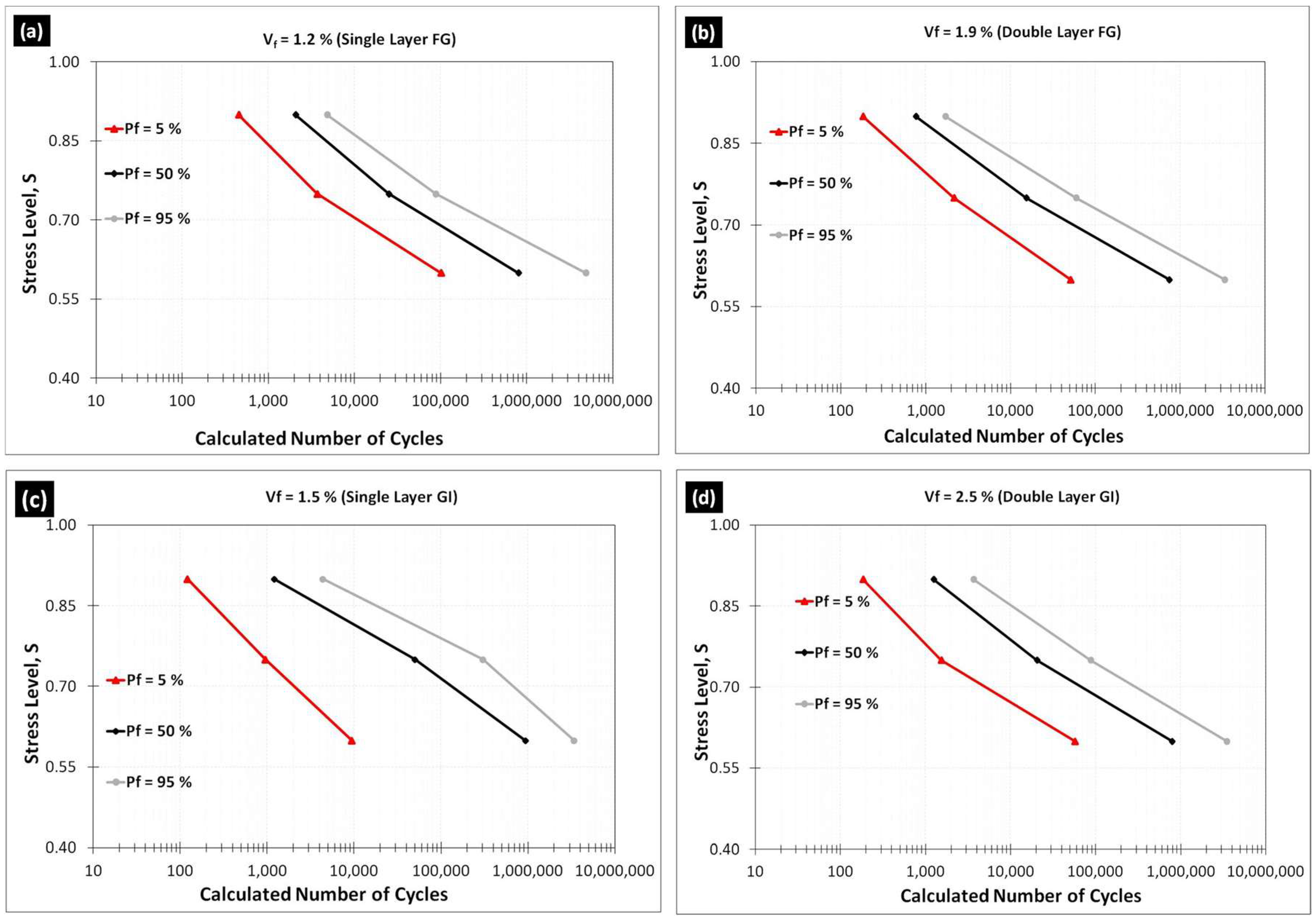
4.1. Two-Parameter Weibull Distribution Model
4.2. Three-Parameter Weibull Distribution Model
5. Conclusions
Author Contributions
Funding
Conflicts of Interest
References
- American Concrete Institute. Report on Thin Reinforced Cementitious Products; ACI 549.2R-04; American Concrete Institute: Farmington Hills, MI, USA, 2004. [Google Scholar]
- Naaman, A.E. Ferrocement and Laminated Cementitious Composites, 1st ed.; Technopress: Ann Arbor, MI, USA, 2000; ISBN 0967493900. [Google Scholar]
- Naaman, A.E. Ferrocement: International Revival. ACI Spec. Publ. 2002, 206, 323–340. [Google Scholar]
- Hanif, A.; Cheng, Y.; Lu, Z.; Li, Z. Mechanical Behavior of Thin-Laminated Cementitious Composites Incorporating Cenosphere Fillers. ACI Mater. J. 2018, 115, 117–127. [Google Scholar] [CrossRef]
- Hanif, A.; Lu, Z.; Sun, M.; Parthasarathy, P.; Li, Z. Green lightweight ferrocement incorporating fly ash cenosphere based fibrous mortar matrix. J. Clean. Prod. 2017, 159, 326–335. [Google Scholar] [CrossRef]
- Yerramala, A.; Ramachandurdu, C.; Bhaskar Desai, V. Flexural strength of metakaolin ferrocement. Compos. Part B Eng. 2013, 55, 176–183. [Google Scholar] [CrossRef]
- Memon, N.A.; Sumadi, S.R.; Ramli, M. Performance of high wokability slag-cement mortar for ferrocement. Build. Environ. 2007, 42, 2710–2717. [Google Scholar] [CrossRef]
- Desayi, P.; Reddy, V. Strength of Lightweight Ferrocement in Flexure. Cem. Concr. Compos. 1991, 13, 13–20. [Google Scholar] [CrossRef]
- Memon, N.A.; Sumadi, S.R.; Ramli, M. Ferrocement encased lightweight aerated concrete: A novel approach to produce sandwich composite. Mater. Lett. 2007, 61, 4035–4038. [Google Scholar] [CrossRef]
- Hanif, A. Development and Application of High Performance Lightweight Cementitious Composite for Wind Energy Harvesting; The Hong Kong University of Science and Technology: Hong Kong, China, 2017. [Google Scholar]
- Paskova, T.; Meyer, C. Low-cycle Fatigue of Plain and Fiber-Reinforced Concrete. ACI Mater. J. 1997, 94, 273–285. [Google Scholar]
- Hsu, T.T.C. Fatigue of Plain Concrete. ACI J. 1981, 78, 292–305. [Google Scholar]
- Tepfers, R.; Hedberg, B.; Szczekocki, G. Absorption of energy in fatigue loading of plain concrete. Mateiraux Constr. 1984, 17, 59–64. [Google Scholar] [CrossRef]
- Byung, H.O. Fatigue Analysis of Plain Concrete in Flexure. ASCE J. Struct. Eng. 1986, 112, 273–288. [Google Scholar]
- Naik, T.R.; Singh, S.S.; Ye, C. Fatigue Behavior of Plain Concrete Made with or Without Fly Ash; The Department of Civil Engineering and Mechanics, University of Wisconsin-Milwaukee for Electric Power Research Institute (EPRI): Palo Alto, CA, USA, 2015. [Google Scholar]
- Singh, S.R.; Kaushik, S.K. Flexural fatigue life distributions and failure probability of steel fibrous concrete. ACI Struct. J. 2000, 97, 658–667. [Google Scholar]
- Saleh, M.F.; Yeow, T.; Macrae, G.; Scott, A. Effect of steel fibre content on the fatigue behaviour of steel fibre reinforced concrete. RILEM Bookseries 2012, 4, 815–825. [Google Scholar]
- Yan, H.; Sun, W.; Chen, H. The effect of silica fume and steel fiber on the dynamic mechanical performance of high-strength concrete. Cem. Concr. Res. 1999, 29, 423–426. [Google Scholar] [CrossRef]
- Behbahani, H.P. Flexural Behavior of Steel Fibers Reinforced Concrete Beams. Master’s Thesis, Universiti Teknologi Malaysia, Johor, Malaysia, 2010. [Google Scholar]
- Chang, D.I.; Chai, W.K. Flexural fracture and fatigue behavior of steel-fiber-reinforced concrete structures. Nucl. Eng. Des. 1995, 156, 201–207. [Google Scholar] [CrossRef]
- Batson, B.G.; Ball, C.; Bailey, L.; Landers, E.; Hooks, J. Flexural Fatigue Strength of Steel Fiber Reinforced Concrete Beams. J. Proc. 1972, 69, 673–677. [Google Scholar]
- Jang, J.G.; Kim, H.K.; Kim, T.S.; Min, B.J.; Lee, H.K. Improved flexural fatigue resistance of PVA fiber-reinforced concrete subjected to freezing and thawing cycles. Constr. Build. Mater. 2014, 59, 129–135. [Google Scholar] [CrossRef]
- Ranjbarian, M.; Mechtcherine, V. A novel test setup for the characterization of bridging behaviour of single microfibres embedded in a mineral-based matrix. Cem. Concr. Compos. 2018, 92, 92–101. [Google Scholar] [CrossRef]
- Hanif, A.; Kim, Y.; Parthasarathy, P.; Usman, M.; Li, Z. Flexural Fatigue Behavior of Lightweight Ferrocement: Experimental Investigation & Numerical Modeling. In Proceedings of the International Federation for Structural Concrete 5th International FIB Congress 2018, Melbourne, Australia, 7–11 October 2018. [Google Scholar]
- Hanif, A.; Usman, M.; Lu, Z.; Cheng, Y.; Li, Z. Flexural Fatigue Behaviour of Thin Laminated Cementitious Composites Incorporating Cenosphere Fillers. Mater. Des. 2018, 140, 267–277. [Google Scholar] [CrossRef]
- Huang, B.; Li, Q.; Xu, S.; Zhou, B. Investigation on Compressive Fatigue Damage Process of Ultra-High Toughness Cementitious Composites. In Proceedings of the 9th International Conference on Fracture Mechanics of Concrete and Concrete Structures, Berkeley, CA, USA, 22–25 May 2016. [Google Scholar]
- Huang, B.-T.; Li, Q.-H.; Xu, S.-L.; Liu, W.; Wang, H.-T. Fatigue deformation behavior and fiber failure mechanism of ultra-high toughness cementitious composites in compression. Mater. Des. 2018, 157, 457–468. [Google Scholar] [CrossRef]
- Huang, B.-T.; Li, Q.-H.; Xu, S.-L.; Zhou, B.-M. Tensile fatigue behavior of fiber-reinforced cementitious material with high ductility: Experimental study and novel P-S-N model. Constr. Build. Mater. 2018, 178, 349–359. [Google Scholar] [CrossRef]
- Huang, B.-T.; Li, Q.-H.; Xu, S.-L.; Zhou, B.-M. Frequency Effect on the Compressive Fatigue Behavior of Ultrahigh Toughness Cementitious Composites: Experimental Study and Probabilistic Analysis. J. Struct. Eng. 2017, 143, 04017073. [Google Scholar] [CrossRef]
- Huang, B.-T.; Li, Q.-H.; Xu, S.-L. Fatigue Deformation Model of Plain and Fiber-Reinforced Concrete Based on Weibull Function. J. Struct. Eng. 2019, 145, 04018234. [Google Scholar] [CrossRef]
- Singh, S.P.; Mohammadi, Y.; Kaushik, S.K. Flexural Fatigue Analysis of Steel Fibrous Concrete Containing Mixed Fibers. ACI Mater. J. 2005, 102, 306–312. [Google Scholar]
- Behloul, M.; Chanvillard, G.; Pimienta, P.; Pineaud, A.; Rivillon, P. Fatigue Flexural Behavior of Pre-cracked Specimens of Special UHPFRC. In Proceedings of the Seventh International Symposium on the Utilization of High Strength/High-Performance Concrete, Washington, DC, USA, 20–24 June 2005; pp. 1253–1268. [Google Scholar]
- Mohamadi, M.R.; Mohandesi, J.A.; Homayonifar, M. Fatigue behavior of polypropylene fiber reinforced concrete under constant and variable amplitude loading. J. Compos. Mater. 2013, 47, 3331–3342. [Google Scholar] [CrossRef]
- Castillo, E.; Ramos, A.; Koller, R.; López-Aenlle, M.; Fernández-Canteli, A. A critical comparison of two models for assessment of fatigue data. Int. J. Fatigue 2008, 30, 45–57. [Google Scholar] [CrossRef]
- Castillo, E.; Fernendez-Canteli, A. A Unified Statistical Methodology for Modeling Fatigue Damage; Springer: Dordrecht, The Netherlands, 2009; ISBN 978-1-4020-9181-0. [Google Scholar]
- Fernández-Canteli, A.; Przybilla, C.; Nogal, M.; Aenlle, M.L.; Castillo, E. ProFatigue: A Software Program for Probabilistic Assessment of Experimental Fatigue Data Sets. Procedia Eng. 2014, 74, 236–241. [Google Scholar] [CrossRef]
- Hanif, A.; Parthasarathy, P.; Ma, H.; Fan, T.; Li, Z. Properties Improvement of Fly Ash Cenosphere Modified Cement Pastes Using Nano-Silica. Cem. Concr. Compos. 2017, 81, 35–48. [Google Scholar] [CrossRef]
- Goel, S.; Singh, S.P.; Singh, P. Fatigue Analysis of Plain and Fiber-Reinforced Self Consolidating Concrete. ACI Mater. J. 2013, 573–582. [Google Scholar]
- Oh, B.H. Fatigue Life Distributions of Concrete for Various Stress Levels. ACI Mater. J. 1991, 88, 122–128. [Google Scholar]
- Singh, S.P.; Mohammadi, Y.; Madan, S.K. Flexural fatigue analysis of steel fibrous concrete containing mixed fibers. J. Zhejiang Univ. Sci. A 2006, 7, 1329–1335. [Google Scholar] [CrossRef]
- Singh, S.P.; Kaushik, S.K. Fatigue strength of steel fibre reinforced concrete in flexure. Cem. Concr. Compos. 2003, 25, 779–786. [Google Scholar] [CrossRef]
- Przybilla, C.; Fernández-Canteli, A.; Castillo, E. Maximum likelihood estimation for the three-parameter Weibull cdf of strength in presence of concurrent flaw populations. J. Eur. Ceram. Soc. 2013, 33, 1721–1727. [Google Scholar] [CrossRef]
- Pyttel, B.; Canteli, A.F.; Ripoll, A.A. Comparison of different statistical models for description of fatigue including very high cycle fatigue. Int. J. Fatigue 2016, 93, 435–442. [Google Scholar] [CrossRef]





| Reinforcement Type | Manufacturer | Thickness (µm) | Opening (mm) | Yield Strength (Mpa) | Elastic Modulus (GPa) | Density (g/cm3) | Elongation (%) |
|---|---|---|---|---|---|---|---|
| Fiber Glass Mesh (FG) | HaoXin hardware mesh Co. Ltd., Wuxi, China | 250 | 5 × 5 | 1100 | 75 | 2.6 | 3.9 |
| Galvanized Iron Welded Wire Mesh (GI) | Xing Meng Zinc Steel Guardrail Co. Ltd., Chengdu, China | 750 | 5 × 5 | 250 | 300 | 7.8 | 7 |
| PVA Fibers | Kuraray Co., Ltd., Okayama, Japan | 15 | NA | 1600 | 41 | 1.3 | 6 |
| Series | Matrix | Mesh Type | No. of Layers | Mesh Volume Fraction, Vr (%) | PVA Fibers Volume Fraction, Vf (%) | Total Reinforcement Ratio, (%) |
|---|---|---|---|---|---|---|
| No. 1 | Mix 1 | GI | 1 | 1.00% | 0.50% | 1.50% |
| No. 2 | Mix 1 | GI | 2 | 2.00% | 0.50% | 2.50% |
| No. 3 | Mix 1 | FG | 1 | 0.70% | 0.50% | 1.20% |
| No. 4 | Mix 1 | FG | 2 | 1.40% | 0.50% | 1.90% |
| No. 5 | Mix 2 | GI | 1 | 1.00% | 0.50% | 1.50% |
| No. 6 | Mix 2 | GI | 2 | 2.00% | 0.50% | 2.50% |
| No. 7 | Mix 2 | FG | 1 | 0.70% | 0.50% | 1.20% |
| No. 8 | Mix 2 | FG | 2 | 1.40% | 0.50% | 1.90% |
| No. 9 | Mix 3 | GI | 1 | 1.00% | 0.50% | 1.50% |
| No. 10 | Mix 3 | GI | 2 | 2.00% | 0.50% | 2.50% |
| No. 11 | Mix 3 | FG | 1 | 0.70% | 0.50% | 1.20% |
| No. 12 | Mix 3 | FG | 2 | 1.40% | 0.50% | 1.90% |
| No. 13 | Mix 4 | GI | 1 | 1.00% | 0.50% | 1.50% |
| No. 14 | Mix 4 | GI | 2 | 2.00% | 0.50% | 2.50% |
| No. 15 | Mix 4 | FG | 1 | 0.70% | 0.50% | 1.20% |
| No. 16 | Mix 4 | FG | 2 | 1.40% | 0.50% | 1.90% |
| Series | Cyclic Test (Number of Cycles, N) | Cyclic Test, log10(N) | ||||
|---|---|---|---|---|---|---|
| Stress Range (0.10–0.60) | Stress Range (0.10–0.75) | Stress Range (0.10–0.90) | Stress Range (0.10–0.60) | Stress Range (0.10–0.75) | Stress Range (0.10–0.90) | |
| Series 1 | 73,214 | 35,925 | 1646 | 4.86 | 4.56 | 3.22 |
| Series 2 | 240,772 | 6916 | 975 | 5.38 | 3.84 | 2.99 |
| Series 3 | 380,751 | 4144 | 1455 | 5.58 | 3.62 | 3.16 |
| Series 4 | 89,960 | 8450 | 630 | 4.95 | 3.93 | 2.80 |
| Series 5 | 1,016,836 | 5944 | 372 | 6.01 | 3.77 | 2.57 |
| Series 6 | 214,647 | 18,446 | 283 | 5.33 | 4.27 | 2.45 |
| Series 7 | 504,847 | 47,101 | 1695 | 5.70 | 4.67 | 3.23 |
| Series 8 | 155,944 | 10,918 | 346 | 5.19 | 4.04 | 2.54 |
| Series 9 | 1,703,252 | 584,742 | 3523 | 6.23 | 5.77 | 3.55 |
| Series 10 | 1,808,915 | 19,458 | 1816 | 6.26 | 4.29 | 3.26 |
| Series 11 | 2,112,929 | 14,022 | 1596 | 6.32 | 4.15 | 3.20 |
| Series 12 | 2,097,152 | 7904 | 858 | 6.32 | 3.90 | 2.93 |
| Series 13 | 2,000,000 | 10,649 | 773 | 6.30 | 4.03 | 2.89 |
| Series 14 | 2,000,000 | 72,045 | 2867 | 6.30 | 4.86 | 3.46 |
| Series 15 | 2,000,000 | 323,705 | 33,263 | 6.30 | 5.51 | 4.52 |
| Series 16 | 2,000,000 | 126,156 | 1469 | 6.30 | 5.10 | 3.17 |
© 2018 by the authors. Licensee MDPI, Basel, Switzerland. This article is an open access article distributed under the terms and conditions of the Creative Commons Attribution (CC BY) license (http://creativecommons.org/licenses/by/4.0/).
Share and Cite
Hanif, A.; Kim, Y.; Park, C. Numerical Validation of Two-Parameter Weibull Model for Assessing Failure Fatigue Lives of Laminated Cementitious Composites—Comparative Assessment of Modeling Approaches. Materials 2019, 12, 110. https://doi.org/10.3390/ma12010110
Hanif A, Kim Y, Park C. Numerical Validation of Two-Parameter Weibull Model for Assessing Failure Fatigue Lives of Laminated Cementitious Composites—Comparative Assessment of Modeling Approaches. Materials. 2019; 12(1):110. https://doi.org/10.3390/ma12010110
Chicago/Turabian StyleHanif, Asad, Yongjae Kim, and Cheolwoo Park. 2019. "Numerical Validation of Two-Parameter Weibull Model for Assessing Failure Fatigue Lives of Laminated Cementitious Composites—Comparative Assessment of Modeling Approaches" Materials 12, no. 1: 110. https://doi.org/10.3390/ma12010110
APA StyleHanif, A., Kim, Y., & Park, C. (2019). Numerical Validation of Two-Parameter Weibull Model for Assessing Failure Fatigue Lives of Laminated Cementitious Composites—Comparative Assessment of Modeling Approaches. Materials, 12(1), 110. https://doi.org/10.3390/ma12010110

