Thermal Degradation Mechanism of a Thermostable Polyester Stabilized with an Open-Cage Oligomeric Silsesquioxane
Abstract
:1. Introduction
2. Results and Discussion
2.1. Thermal Degradation of the Thermostable Polyester
2.2. Thermal Degradation of the Polyester/Oligomer Silsesquioxane Composite
2.3. Mechanism for the Thermal Degradation of the Thermostable Polyester and the Composite
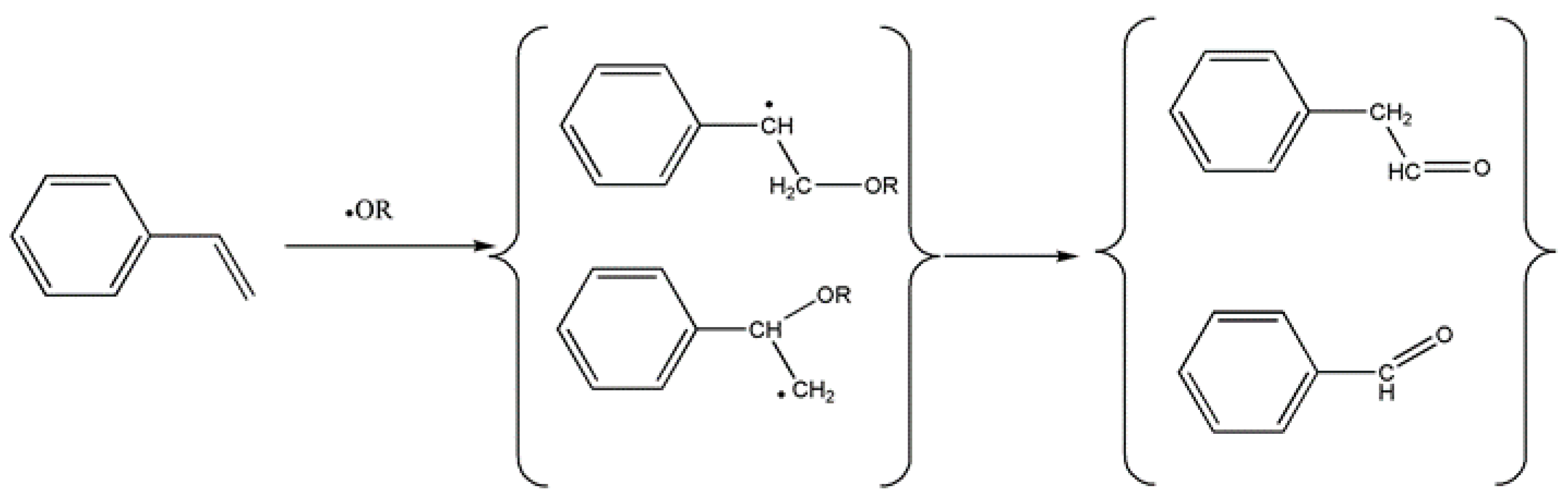
2.3.1. Aldehyde Generation
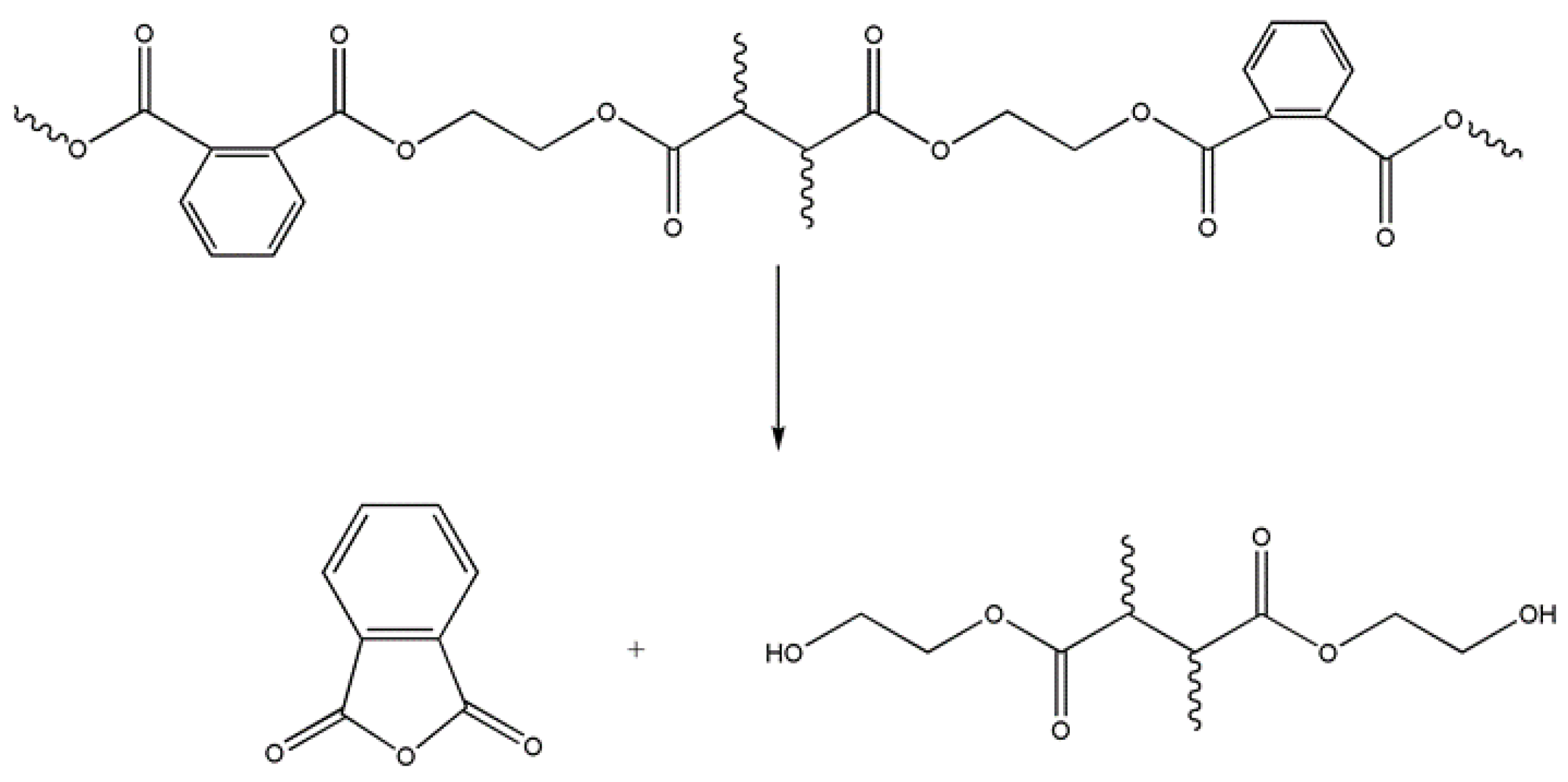
2.3.2. Phthalic Anhydride Formation
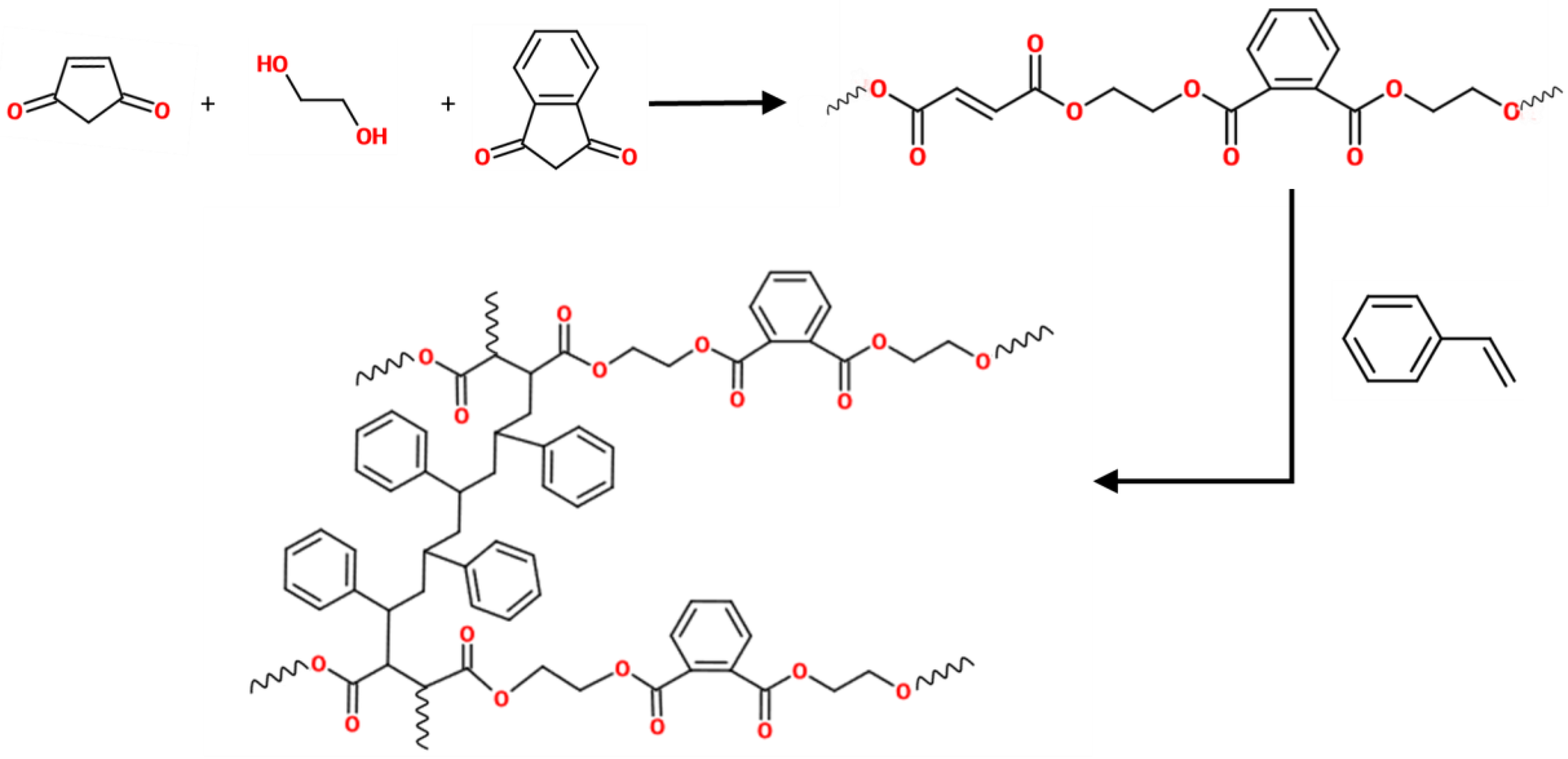
2.3.3. Main Chain Scission
2.3.4. Summary
3. Materials and Methods
3.1. Materials
3.2. Preparation of the Silsesquioxane Oligomer
3.3. Preparation of the Thermostable Polyester
3.4. Preparation of the Polyester/Oligomer Silsesquioxane Composite
3.5. Sample Characterization
4. Conclusions
Author Contributions
Conflicts of Interest
References
- Bruins, P.F. Unsaturated Polyester Technology; Gordon and Breach: New York, NY, USA, 1976. [Google Scholar]
- Laoutid, F.; Bonnaud, L.; Alexandre, M.; López-Cuesta, J.-M.; Dubois, P. New prospects in flame retardant polymer materials: From fundamentals to nanocomposites. Mater. Sci. Eng. 2009, 63, 100–125. [Google Scholar] [CrossRef]
- Camino, G.; Delobel, R. Fire Retardancy for Polymeric Materials; Grand, A.F., Wilkie, C.A., Eds.; Marcel Dekker: New York, NY, USA, 2000. [Google Scholar]
- Zhanga, W.; Camino, G.; Yang, R. Polymer/polyhedral oligomeric silsesquioxane (POSS) nanocomposites: An overview of fire retardance. Prog. Polym. Sci. 2017, 67, 77–125. [Google Scholar] [CrossRef]
- Franchini, E.; Galy, J.; Gérard, J.-F.; Tabuani, D.; Medici, A. Influence of POSS structure on the fire retardant properties of epoxy hybrid networks. Polym. Degrad. Stab. 2009, 94, 1728–1736. [Google Scholar] [CrossRef]
- Zhang, W.; Li, X.; Jiang, Y.; Yang, R. Investigations of epoxy resins flame-retarded by phenyl silsesquioxanes of cage and ladder structures. Polym. Degrad. Stab. 2013, 98, 246–254. [Google Scholar] [CrossRef]
- Li, Z.; Yang, R. Flame retardancy, thermal and mechanical properties of sulfonate-containing polyhedral oligomeric silsesquioxane (S-POSS)/polycarbonate composites. Polym. Degrad. Stab. 2015, 116, 81–87. [Google Scholar] [CrossRef]
- Song, L.; He, Q.; Hu, Y.; Chen, H.; Liu, L. Study on thermal degradation and combustion behaviors of PC/POSS hybrids. Polym. Degrad. Stab. 2008, 93, 627–639. [Google Scholar] [CrossRef]
- Blanco, I.; Bottino, F.A. The influence of the nature of POSSs cage’s periphery on the thermal stability of a series of new bridged POSS/PS nanocomposites. Polym. Degrad. Stab. 2015, 121, 180–186. [Google Scholar] [CrossRef]
- Lewicki, J.P.; Pielichowski, K.; Jancia, M.; Hebda, E.; Albo, R.L.F.; Maxwell, R.S. Degradative and morphological characterization of POSS modified nanohybrid polyurethane elastomers. Polym. Degrad. Stab. 2014, 104, 50–56. [Google Scholar] [CrossRef]
- Carvalho, H.W.P.; Suzana, A.F.; Santilli, C.V.; Pulcinelli, S.H. Structure and thermal behavior of PMMA-polysilsesquioxane organic-inorganic hybrids. Polym. Degrad. Stab. 2014, 104, 112–119. [Google Scholar] [CrossRef]
- Bautista, Y.; Gozalbo, A.; Mestre, S.; Sanz, V. Improvements in char strength with an open cage silsesquioxane flame retardant. Materials 2017, 10, 567. [Google Scholar] [CrossRef] [PubMed]
- Sanz, S.V.; Bautista, R.Y.; Silva, M.G. Thermostable Copolymer Materials Having Flame-Retardant Behaviour, And Objects Manufactured From Such Materials. WO2010070175 A1, 2010. [Google Scholar]
- Moldoveanu, S.C. Analytical Pyrolysis of Synthetic Organic Polymers; Elsevier: Amsterdam, The Netherlands, 2005. [Google Scholar]
- Evans, S.J.; Haines, P.J.; Skinner, G.A. The effects of structure on the thermal degradation of polyester resins. Thermochim. Acta 1996, 278, 77–89. [Google Scholar] [CrossRef]
- Evans, S.J.; Haines, P.J.; Skinner, G.A. The thermal degradation of polyester resins II. The effects of cure and fillers on degradation. Thermochim. Acta 1997, 291, 43–49. [Google Scholar] [CrossRef]
- Budrugeac, P.; Segal, E. Thermooxidativa degradation of an unsatured polyester resin. J. Therm. Anal. Calorim. 1997, 49, 183–191. [Google Scholar] [CrossRef]
- Baudry, A.; Dufay, J.; Reignier, N.; Mortaigne, B. Thermal degradation and fire behaviour of unsaturated polyester with chain ends modified by dicyclopentadiene. Polym. Degrad. Stab. 1998, 61, 441–452. [Google Scholar] [CrossRef]
- Agrawal, J.P.; Sarwade, D.B.; Makashir, P.S.; Mahajan, R.R.; Dendage, P.S. Thermal degradation studies of novel diethylene glycol based unsaturated polyesters in air. Polym. Degrad. Stab. 1998, 62, 9–14. [Google Scholar] [CrossRef]
- Evans, S.J.; Haines, P.J.; Skinner, G.A. Pyrolysis-gas chromatographic study of a series of polyester thermosets. J. Anal. Appl. Pyrolysis 2000, 55, 13–28. [Google Scholar] [CrossRef]
- Kicko-Walczak, E. Kinetics of thermal decomposition of unsaturated polyester resins with reduced flammability. J. Appl. Polym. Sci. 2003, 88, 2851–2857. [Google Scholar] [CrossRef]
- Shih, Y.F.; Jeng, R.J.; Wei, K.M. Carbon black containing interpenetrating polymer networks based on unsatured polyester/epoxy III: Thermal and pyrolysis analysis. J. Anal. Appl. Pyrolysis 2003, 70, 129–144. [Google Scholar] [CrossRef]
- Shih, Y.F.; Jeng, R.J. Thermal degradation behaviour and kinetic analysis of unsaturated polyester-based composite and IPNs by conventional and modulated thermogravimetric analysis. Polym. Degrad. Stab. 2006, 91, 823–831. [Google Scholar] [CrossRef]
- Kandare, E.; Kandola, B.K.; Price, D.; Nazaré, S.; Horrocks, R.A. Study of the thermal decomposition of flame-retarded unsaturated polyester resins by thermogravimetric analysis and Py-GC/MS. Polym. Degrad. Stab. 2008, 93, 1996–2006. [Google Scholar] [CrossRef]
- Tibiletti, L.; Longuet, C.; Ferry, L.; Coutelen, P.; Mas, A.; Robin, J.J.; Lopez-Cuesta, J.M. Thermal degradation and fire behaviour of unsaturates polyesters filled with metallic oxides. Polym. Degrad. Stab. 2011, 96, 67–75. [Google Scholar] [CrossRef]
- Mark, J.E. Physical Properties Polymers Handbook; American Institute of Physics: Woodbury, NY, USA, 1996. [Google Scholar]
- Anderson, D.A.; Freeman, E.S. The kinetics of the thermal degradation of the synthetic styrenated polyester, laminac 4116. J. Appl. Polym. Sci. 1959, 1, 192–199. [Google Scholar] [CrossRef]
- Singh, B.; Sharma, N. Mechanistic implications of plastic degradation. Polym. Degrad. Stab. 2008, 93, 561–584. [Google Scholar] [CrossRef]
- Ravey, M. Pyrolysis of unsaturated polyester resin. Quantitative aspects. J. Polym. Sci. Polym. Chem. 1983, 21, 1–5. [Google Scholar] [CrossRef]
- Sivasamy, P.; Palaniandavar, M.; Vijayakumar, C.T.; Lederer, K. The role of β-hydrogen in the degradation of polyesters. Polym. Degrad. Stab. 1992, 38, 15–21. [Google Scholar] [CrossRef]
- Pohl, H.A. The Thermal Degradation of Polyesters. J. Am. Chem. Soc. 1951, 73, 5660–5661. [Google Scholar] [CrossRef]
- Buxbaum, L.H. The Degradation of Poly(ethylene terephthalate). Angew. Chem. Int. Ed. 1968, 7, 182–190. [Google Scholar] [CrossRef]
- Zimmermann, H. Developments in Polymer Degradation; Grassie, N., Ed.; Applied Science: London, UK, 1984; Volume 5. [Google Scholar]
- Persenaire, O.; Alexandre, M.; Degée, P.; Dubois, P. Mechanisms and Kinetics of Thermal Degradation of Poly(ε-caprolactone). Biomacromolecules 2001, 2, 288–294. [Google Scholar] [CrossRef] [PubMed]
- Bikiaris, D.N.; Chrissafis, K.; Paraskevopoulos, K.M.; Triantafyllidis, K.S.; Antonakou, E.V. Investigation of thermal degradation mechanism of an aliphatic polyester using pyrolysis-gas chromatography-mass spectrometry and a kinetic study of the effect of the amount of polymerisation catalyst. Polym. Degrad. Stab. 2007, 92, 525–536. [Google Scholar] [CrossRef]
- Yang, D.; Zhang, W.; Yao, R.; Jiang, B. Thermal stability enhancement mechanism of poly(dimethylsiloxane) composite by incorporating octavinyl polyhedral oligomeric silsesquioxanes. Polym. Degrad. Stab. 2013, 98, 109–114. [Google Scholar] [CrossRef]
- Bansal, R.K.; Mittal, J.; Singh, P. Thermal stability and degradation studies of polyester resins. J. Appl. Polym. Sci. 1989, 37, 1901–1908. [Google Scholar] [CrossRef]














| Wavenumber (cm−1) | Identified Volatile Species |
|---|---|
| 3720, 3620, 2358, 670 | CO2 |
| 2173, 2080 | CO |
| 3650, 1650, 1490 | H2O |
| 1770, 1290, 1130 | Phthalates |
| 3090, 2810, 2730, 1731 | Benzaldehyde |
| 3070, 2710, 1745, 1030 | Phenylacetaldehyde |
| 1803, 1250, 890 | Phthalic anhydride |
© 2017 by the authors. Licensee MDPI, Basel, Switzerland. This article is an open access article distributed under the terms and conditions of the Creative Commons Attribution (CC BY) license (http://creativecommons.org/licenses/by/4.0/).
Share and Cite
Bautista, Y.; Gozalbo, A.; Mestre, S.; Sanz, V. Thermal Degradation Mechanism of a Thermostable Polyester Stabilized with an Open-Cage Oligomeric Silsesquioxane. Materials 2018, 11, 22. https://doi.org/10.3390/ma11010022
Bautista Y, Gozalbo A, Mestre S, Sanz V. Thermal Degradation Mechanism of a Thermostable Polyester Stabilized with an Open-Cage Oligomeric Silsesquioxane. Materials. 2018; 11(1):22. https://doi.org/10.3390/ma11010022
Chicago/Turabian StyleBautista, Yolanda, Ana Gozalbo, Sergio Mestre, and Vicente Sanz. 2018. "Thermal Degradation Mechanism of a Thermostable Polyester Stabilized with an Open-Cage Oligomeric Silsesquioxane" Materials 11, no. 1: 22. https://doi.org/10.3390/ma11010022
APA StyleBautista, Y., Gozalbo, A., Mestre, S., & Sanz, V. (2018). Thermal Degradation Mechanism of a Thermostable Polyester Stabilized with an Open-Cage Oligomeric Silsesquioxane. Materials, 11(1), 22. https://doi.org/10.3390/ma11010022

