GaN-Based Laser Wireless Power Transfer System
Abstract
1. Introduction
2. Experimental Details
3. Efficiency and Improvements
3.1. Electrical Load
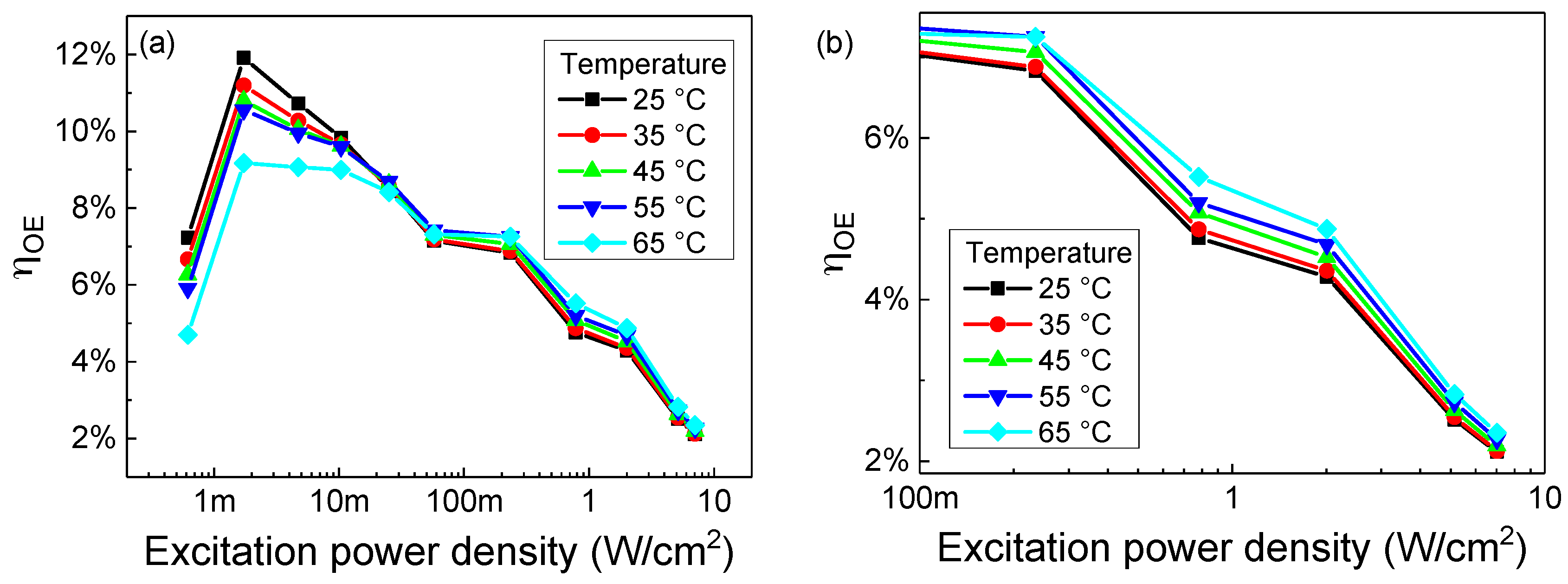
3.2. Dependence on Temperature
3.3. Partial Absorption
3.4. Laser Beam Uniformity
3.5. Comparison with Commercial Wireless Power Transfer System
4. Applications
4.1. Inter-Satellite Power Trasfer Optimization
4.2. Emergency Power Transfer
5. Conclusions
Acknowledgments
Author Contributions
Conflicts of Interest
References
- Kizilyalli, I.C.; Edwards, A.P.; Nie, H.; Bour, D.; Prunty, T.; Disney, D. 3.7 kV vertical GaN PN diodes. IEEE Electron. Device Lett. 2014, 35, 247–249. [Google Scholar] [CrossRef]
- Pearton, S.J.; Zolper, J.C.; Shul, R.J.; Ren, F. GaN: Processing, defects, and devices. J. Appl. Phys. 1999, 86, 1–78. [Google Scholar] [CrossRef]
- Eastman, L.F. Results, potential and challenges of high power GaN-based transistors. Phys. Status Solidi Appl. Res. 1999, 176, 175–178. [Google Scholar] [CrossRef]
- Piprek, J.; Nakamura, S. Physics of high-power InGaN/GaN lasers. IEE Proc. Optoelectron. 2002, 149, 145–151. [Google Scholar] [CrossRef]
- Jiang, H.X.; Lin, J.Y. AlGaN and InAlGaN alloys—Epitaxial growth, optical and electrical properties, and applications. Opto-Electron. Rev. 2002, 10, 271–286. [Google Scholar]
- Young, N.G.; Farrell, R.M.; Hu, Y.L.; Terao, Y.; Iza, M.; Keller, S.; Denbaars, S.P.; Nakamura, S.; Speck, J.S. High performance thin quantum barrier InGaN/GaN solar cells on sapphire and bulk (0001) GaN substrates. Appl. Phys. Lett. 2013, 103. [Google Scholar] [CrossRef]
- Dogmus, E.; Zegaoui, M.; Largeau, L.; Tchernycheva, M.; Neplokh, V.; Weiszer, S.; Schuster, F.; Stutzmann, M.; Foldyna, M.; Medjdoub, F. High structural quality InGaN/GaN multiple quantum well solar cells. Phys. Status Solidi 2015, 12, 1412–1415. [Google Scholar] [CrossRef]
- Kamyczek, P.; Placzek-Popko, E.; Kolkovsky, V.; Grzanka, S.; Czernecki, R. A deep acceptor defect responsible for the yellow luminescence in GaN and AlGaN. J. Appl. Phys. 2012, 111, 113105. [Google Scholar] [CrossRef]
- Ogino, T.; Aoki, M. Mechanism of yellow luminescence in GaN. Jpn. J. Appl. Phys. 1980, 19, 2395–2405. [Google Scholar] [CrossRef]
- Lyons, J.L.; Janotti, A.; van de Walle, C.G. Carbon impurities and the yellow luminescence in GaN. Appl. Phys. Lett. 2010, 97, 152108. [Google Scholar] [CrossRef]
- Lyons, J.L.; Janotti, A.; van de Walle, C.G. Effects of carbon on the electrical and optical properties of InN, GaN, and AlN. Phys. Rev. B 2014, 89, 35204. [Google Scholar] [CrossRef]
- Neugebauer, J.; van de Walle, C.G. Gallium vacancies and the yellow luminescence in GaN. Appl. Phys. Lett. 1996, 69, 503–505. [Google Scholar] [CrossRef]
- Sedhain, A.; Li, J.; Lin, J.Y.; Jiang, H.X. Nature of deep center emissions in GaN. Appl. Phys. Lett. 2010, 96, 5–8. [Google Scholar] [CrossRef]
- Loeffler, A.; Eichler, C.; Mueller, J.; Gerhard, S.; Stojetz, B.; Tautz, S.; Vierheilig, C.; Ristic, J.; Avramescu, A.; Horn, M.; et al. InGaN power laser chips in a novel 50 W multi-die package. Proc. SPIE 2015, 9363, 936318. [Google Scholar] [CrossRef]
- Kawaguchi, M.; Imafuji, O.; Nozaki, S.; Hagino, H.; Takigawa, S.; Katayama, T.; Tanaka, T. Optical-loss suppressed InGaN laser diodes using undoped thick waveguide structure. Proc. SPIE 2016, 9748, 974818. [Google Scholar] [CrossRef]
- De Santi, C.; Meneghini, M.; Caria, A.; Dogmus, E.; Zegaoui, M.; Medjdoub, F.; Zanoni, E.; Meneghesso, G. Degradation of InGaN-based MQW solar cells under 405 nm laser excitation. Microelectron. Reliab. 2017, 76–77, 575–578. [Google Scholar] [CrossRef]
- Lang, J.R.; Young, N.G.; Farrell, R.M.; Wu, Y.R.; Speck, J.S. Carrier escape mechanism dependence on barrier thickness and temperature in InGaN quantum well solar cells. Appl. Phys. Lett. 2012, 101. [Google Scholar] [CrossRef]
- Watanabe, N.; Mitsuhara, M.; Yokoyama, H.; Liang, J.; Shigekawa, N. Influence of InGaN/GaN multiple quantum well structure on photovoltaic characteristics of solar cell. Jpn. J. Appl. Phys. 2014, 53, 112301. [Google Scholar] [CrossRef]
- De Santi, C.; Meneghini, M.; la Grassa, M.; Galler, B.; Zeisel, R.; Goano, M.; Dominici, S.; Mandurrino, M.; Bertazzi, F.; Robidas, D.; et al. Role of defects in the thermal droop of InGaN-based light emitting diodes. J. Appl. Phys. 2016, 119, 94501. [Google Scholar] [CrossRef]
- Robinson, W.J.J. Feasibility Study of Wireless Power Transmission Systems; NASA: Washington, DC, USA, 1968.
- Shimokura, N.; Kaya, N.; Shinohara, M.; Matsumoto, H. Point-to-point microwave power transmission experiment. Electr. Eng. Japan 1997, 120, 33–39. [Google Scholar] [CrossRef]
- Jenn, D.C.; Vitale, R.L. Wireless power transfer for a micro remotely piloted vehicle. In Proceedings of the 1998 IEEE International Symposium on Circuits and Systems—ISCAS ’98 (Cat. No.98CH36187), Monterey, CA, USA, 31 May–3 June 1998; Volume 6, pp. 590–593. [Google Scholar] [CrossRef]
- Shi, D.; Zhang, L.; Ma, H.; Wang, Z.; Wang, Y.; Cui, Z. Research on Wireless Power transmission system between satellites. In Proceedings of the 2016 IEEE Wireless Power Transfer Conference (WPTC), Aveiro, Portugal, 5–6 May 2016; pp. 1–4. [Google Scholar] [CrossRef]
- Van Wageningen, D.; Staring, T. The Qi wireless power standard. In Proceedings of the 14th International Power Electronics and Motion Control Conference EPE-PEMC 2010, Ohrid, Macedonia, 6–8 September 2010. [Google Scholar] [CrossRef]
- Hui, S.Y. Planar Wireless charging technology for portable electronic products and Qi. Proc. IEEE 2013, 101, 1290–1301. [Google Scholar] [CrossRef]
- Duong, T.P.; Lee, J.-W. Experimental results of high-efficiency resonant coupling wireless power transfer using a variable coupling method. IEEE Microw. Wirel. Compon. Lett. 2011, 21, 442–444. [Google Scholar] [CrossRef]
- Waffenschmidt, E.; Staring, T. Limitation of inductive power transfer for consumer applications. In Proceedings of the 13th European Conference on Power Electronics and Applications, EPE ’09, Barcelona, Spain, 8–10 September 2009. [Google Scholar]
- Hui, S.Y.R.; Zhong, W.; Lee, C.K. A Critical Review of recent progress in mid-range wireless power transfer. IEEE Trans. Power Electron. 2014, 29, 4500–4511. [Google Scholar] [CrossRef]
- Cox, A.J.; DeWeerd, A.J.; Linden, J. An experiment to measure Mie and Rayleigh total scattering cross sections. Am. J. Phys. 2002, 70, 620–625. [Google Scholar] [CrossRef]
- Liou, K.N. An Introduction to Atmospheric Radiation; Elsevier: Amsterdam, The Netherlands, 2002; Volume 84. [Google Scholar]
- NASA Armstrong Fact Sheet: Beamed Laser Power for UAVs. Available online: https://www.nasa.gov/centers/armstrong/news/FactSheets/FS-087-DFRC.html (accessed on 12 January 2018).
- Takeda, K.; Tanaka, M.; Miura, S.; Hashimoto, K.; Kawashima, N. Laser power transmission for the energy supply to the rover exploring ice on the bottom of the crater in the lunar polar region. Proc. SPIE 2002, 4632, 223–227. [Google Scholar] [CrossRef]
- Mukherjee, J.; Wulfken, W.; Hartje, H.; Steinsiek, F.; Perren, M.; Sweeney, S.J. Demonstration of eye-safe (1550 nm) terrestrial laser power beaming at 30 m and subsequent conversion into electrical power using dedicated photovoltaics. In Proceedings of the 2013 IEEE 39th Photovoltaic Specialists Conference (PVSC), Tampa, FL, USA, 16–21 June 2013; pp. 1074–1076. [Google Scholar] [CrossRef]
- Johnston, A.H. Radiation effects in optoelectronic materials. IEEE Trans. Nucl. Sci. 2013, 60, 2054–2073. [Google Scholar] [CrossRef]
- Ionascut-Nedelcescu, A.; Carlone, C.; Houdayer, A.; von Bardeleben, H.J.; Cantin, J.L.; Raymond, S. Radiation hardness of gallium nitride. IEEE Trans. Nucl. Sci. 2002, 49, 2733–2738. [Google Scholar] [CrossRef]
- Polyakov, A.Y.; Pearton, S.J.; Frenzer, P.; Ren, F.; Liu, L.; Kim, J. Radiation effects in GaN materials and devices. J. Mater. Chem. C 2013, 1, 877–887. [Google Scholar] [CrossRef]
- Wu, J.; Walukiewicz, W.; Yu, K.M.; Shan, W.; Ager, J.W.; Haller, E.E.; Lu, H.; Schaff, W.J.; Metzger, W.K.; Kurtz, S. Superior radiation resistance of In1−xGaxN alloys: Full-solar-spectrum photovoltaic material system. J. Appl. Phys. 2003, 94, 6477–6482. [Google Scholar] [CrossRef]
- Khanna, S.M.; Estan, D.; Houdayer, A.; Liu, H.C.; Dudek, R. Proton radiation damage at low temperature in GaAs and GaN light-emitting diodes. IEEE Trans. Nucl. Sci. 2004, 51, 3585–3594. [Google Scholar] [CrossRef]
- Robertson, B.; Stoneking, E. Satellite GN and C Anomaly Trends. In Proceedings of the 2003 AAS Guidance and Control Conference, Breckenridge, CO, USA, 5–9 February 2003; AAS-03-071. pp. 1–14. [Google Scholar]
- Rodiek, J.A.; Brandhorst, H.W. Solar array reliability in satellite operations. In Proceedings of the 2008 33rd IEEE Photovolatic Specialists Conference, San Diego, CA, USA, 11–16 May 2008; pp. 1–4. [Google Scholar] [CrossRef]
- Castet, J.-F.; Saleh, J.H. Satellite reliability: Statistical data analysis and modeling. J. Spacecr. Rockets 2009, 46, 1065–1076. [Google Scholar] [CrossRef]
- Langer, M.; Bouwmeester, J. Reliability of CubeSats—Statistical Data, Developers’ Beliefs and the Way Forward. In Proceedings of the 30th Annual AIAA/USU Conference on Small Satellites, Logan, UT, USA, 6–11 August 2016; SSC16-X-2. pp. 1–12. [Google Scholar]











© 2018 by the authors. Licensee MDPI, Basel, Switzerland. This article is an open access article distributed under the terms and conditions of the Creative Commons Attribution (CC BY) license (http://creativecommons.org/licenses/by/4.0/).
Share and Cite
De Santi, C.; Meneghini, M.; Caria, A.; Dogmus, E.; Zegaoui, M.; Medjdoub, F.; Kalinic, B.; Cesca, T.; Meneghesso, G.; Zanoni, E. GaN-Based Laser Wireless Power Transfer System. Materials 2018, 11, 153. https://doi.org/10.3390/ma11010153
De Santi C, Meneghini M, Caria A, Dogmus E, Zegaoui M, Medjdoub F, Kalinic B, Cesca T, Meneghesso G, Zanoni E. GaN-Based Laser Wireless Power Transfer System. Materials. 2018; 11(1):153. https://doi.org/10.3390/ma11010153
Chicago/Turabian StyleDe Santi, Carlo, Matteo Meneghini, Alessandro Caria, Ezgi Dogmus, Malek Zegaoui, Farid Medjdoub, Boris Kalinic, Tiziana Cesca, Gaudenzio Meneghesso, and Enrico Zanoni. 2018. "GaN-Based Laser Wireless Power Transfer System" Materials 11, no. 1: 153. https://doi.org/10.3390/ma11010153
APA StyleDe Santi, C., Meneghini, M., Caria, A., Dogmus, E., Zegaoui, M., Medjdoub, F., Kalinic, B., Cesca, T., Meneghesso, G., & Zanoni, E. (2018). GaN-Based Laser Wireless Power Transfer System. Materials, 11(1), 153. https://doi.org/10.3390/ma11010153

