Slide Valves for Single-Screw Expanders Working Under Varied Operating Conditions
Abstract
:1. Introduction
2. Slide Valve
3. Geometric Analysis of Slide Valve
3.1. Key Angles Related to Slide Valve Displacement
3.2. Mathematical Modeling of the Suction Closure/Discharge Opening Volume
4. Thermodynamic Model of the ORC System Based on SSE Integrated with Slide Valves
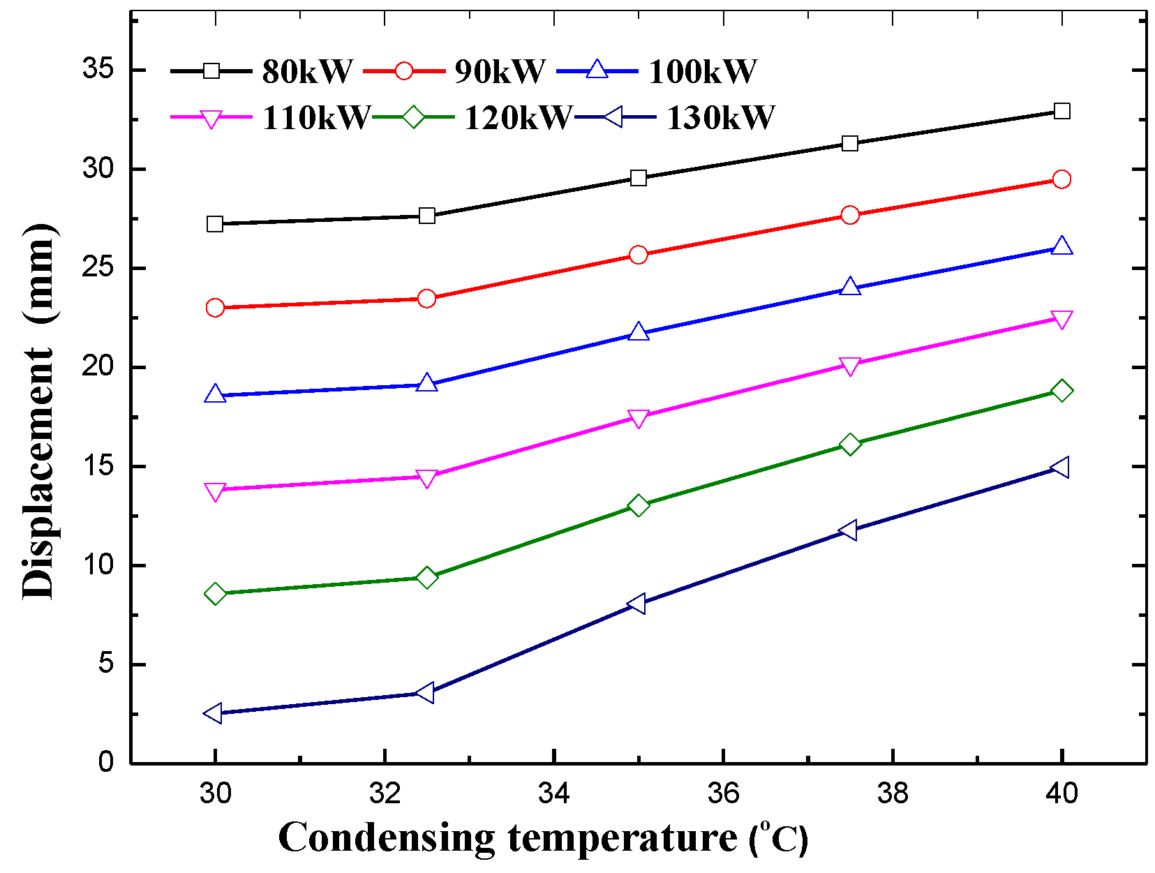
5. Results and Discussion
6. Conclusions
Acknowledgments
Author Contributions
Conflicts of Interest
Nomenclature
| volume flow rate at the inlet of SSE, (m3/s) | |
| number of grooves of screw rotor, (-) | |
| number of teeth of the gate rotor, (-) | |
| rotational speed of SSE, (rpm) | |
| suction closure volume of SSE, (mm3) | |
| Discharge opening volume of SSE, (mm3) | |
| suction ending angle, (rad) | |
| discharge starting angle, (rad) | |
| tooth width of gate rotor, (mm) | |
| center distance between the single-screw rotor and gate rotor, (mm) | |
| radius of the screw rotor, (mm) | |
| radius of the gate rotor, (mm) | |
| the minimum width of the groove rib | |
| heat transfer rate of the working fluid, (kW) | |
| heat transfer rate of waste heat, (kW) | |
| mass flow rate of working fluid, (kg/s) | |
| enthalpy, (kJ/kg) | |
| output power of SSE, (kW) | |
| power consumption of the pump, (kW) | |
| net power output of the ORC system, (kW) | |
| volume ratio, (-) | |
| shaft efficiency of the expander, (%) | |
| the optimum shaft efficiency of the expander, (%) | |
| pump efficiency, (%) | |
| pressure ratio, (-) | |
| optimum pressure ratio, (-) | |
| Subscripts | |
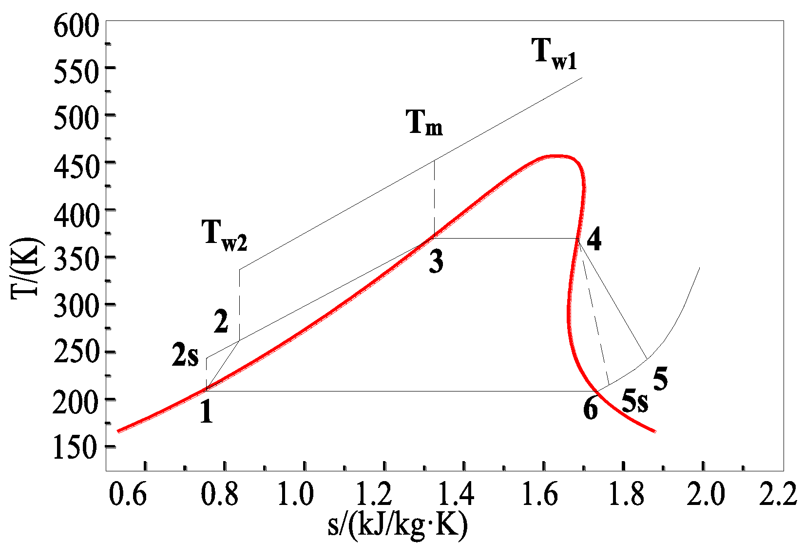
| sate points in cycle (in Figure 11) | |
| sate points in cycle (in Figure 11) | |
| Acronyms | |
| ORC | organic Rankine cycle |
| SSE | single-screw expander |
References
- Wu, Y.T.; Ren, N.; Wang, T.; Ma, C.F. Experimental study on optimized composition of mixed carbonate salt for sensible heat storage in solar thermal power plant. J. Therm. Anal. Calorim. 2011, 85, 1957–1966. [Google Scholar] [CrossRef]
- Younger, P.L. Geothermal Energy: Delivering on the Global Potential. Energies 2015, 8, 11737–11754. [Google Scholar] [CrossRef]
- Heberle, F.; Brüggemann, D. Thermoeconomic analysis of hybrid power plant concepts for geothermal combined heat and power generation. Energies 2014, 7, 4482–4497. [Google Scholar] [CrossRef]
- Cuellar, A.D.; Herzog, H. A Path Forward for Low Carbon Power from Biomass. Energies 2015, 8, 1701–1715. [Google Scholar] [CrossRef]
- Athari, H.; Soltani, S.; Rosen, M.A.; Mahmoudi, S.M.S.; Morosuk, T. Thermodynamic Analysis of a Power Plant Integrated with Fogging Inlet Cooling and a Biomass Gasification. Sustainability 2015, 7, 1292–1307. [Google Scholar] [CrossRef]
- Saidur, R.; Rezaei, M.; Muzammil, W.K.; Hassan, M.H.; Paria, S.; Hasanuzzaman, M. Technologies to recover exhaust heat from internal combustion engines. Renew. Sust. Energ. Rev. 2012, 16, 5649–5659. [Google Scholar] [CrossRef]
- Sprouse, C., III; Depcik, C. Review of organic Rankine cycles for internal combustion engine exhaust waste heat recovery. Appl. Therm. Eng. 2013, 51, 711–722. [Google Scholar] [CrossRef]
- Capata, R.; Hernandez, G. Preliminary Design and Simulation of a Turbo Expander for Small Rated Power Organic Rankine Cycle (ORC). Energies 2014, 7, 7067–7093. [Google Scholar] [CrossRef]
- Xie, Y.P. Prospect of application and development of Low saturation steam turbine. Energy Conversat. Technol. 2011, 29, 61–65. [Google Scholar]
- Imran, M.; Usman, M.; Park, B.S.; Lee, D.H. Volumetric expanders for low grade heat and waste heat recovery applications. Renew. Sust. Energ. Rev. 2016, 57, 1090–1109. [Google Scholar] [CrossRef]
- Antonelli, M.; Martorano, L. A study on the rotary steam engine for distributed generation in small size power plants. Appl. Energy 2012, 97, 642–647. [Google Scholar] [CrossRef]
- Calise, F.; Capuano, D.; Vanoli, L. Dynamic Simulation and Exergo-Economic Optimization of a Hybrid Solar-Geothermal Cogeneration Plant. Energies 2015, 8, 2606–2646. [Google Scholar] [CrossRef]
- Antonelli, M.; Baccioli, A.; Francesconi, M.; Desideri, U.; Martorano, L. Operating maps of a rotary engine used as an expander for micro-generation with various working fluids. Appl. Energy 2014, 113, 742–750. [Google Scholar] [CrossRef]
- Antonelli, M.; Baccioli, A.; Francesconi, M.; Martorano, L. Experimental and Numerical Analysis of the Valve Timing Effects on the Performances of a Small Volumetric Rotary Expansion Device. Energy Procedia 2014, 45, 1077–1086. [Google Scholar] [CrossRef]
- Quoilin, S.; Lemort, V.; Lebrun, J. Experimental study and modeling of an Organic Rankine Cycle using scroll expander. Appl. Energy 2010, 87, 1260–1268. [Google Scholar] [CrossRef]
- Chang, J.C.; Hung, T.C.; He, Y.L.; Zhang, W. Experimental study on low-temperature organic Rankine cycle utilizing scroll type expander. Appl. Energy 2015, 155, 150–159. [Google Scholar] [CrossRef]
- Lemort, V.; Quoilin, S.; Cuevas, C.; Lebrun, J. Testing and modeling a scroll expander integrated into an Organic Rankine Cycle. Appl. Therm. Eng. 2009, 29, 3094–3102. [Google Scholar] [CrossRef]
- Lemort, V.; Declaye, S.; Quoilin, S. Experimental characterization of a hermeti scroll expander for use in a micro-scale Rankine cycle. IMechE. Part A J. Power Energy 2012, 226, 126–136. [Google Scholar] [CrossRef]
- Wang, H.; Peterson, R.B.; Herron, T.; Wang, H.; Peterson, R.B.; Herron, T. Experimental performance of a compliant scroll expander for an organic Rankine cycle. IMechE. Part A J. Power Energy 2009, 223, 863–872. [Google Scholar] [CrossRef]
- Leibowitz, H.; Smith, I.K.; Stosic, N. Cost Effective Small Scale ORC Systems for Power Recovery from Low Grade Heat Sources. Int. Mech. Eng. Congr. Expo. (ASME) 2006, 521–527. [Google Scholar]
- Lu, Y.; He, W.; Wu, Y.; Ji, W.; Ma, C.; Guo, H. Performance study on compressed air refrigeration system based onsingle screw expander. Energy 2013, 55, 762–768. [Google Scholar] [CrossRef]
- Wang, W.; Wu, Y.T.; Ma, C.F.; Xia, G.D.; Wang, J.F. Experimental study on the performance of single screw expanders by gap adjustment. Energy 2013, 62, 379–384. [Google Scholar] [CrossRef]
- Wang, W.; Wu, Y.T.; Ma, C.F.; Liu, L.D.; Yu, J. Preliminary experimental study of single screw expander prototype. Appl. Therm. Eng. 2011, 31, 3684–3688. [Google Scholar] [CrossRef]
- He, W.; Wu, Y.; Peng, Y.; Zhang, Y.; Ma, C.; Ma, G. Influence of intake pressure on the performance of single screw expander working with compressed air. Appl. Therm. Eng. 2013, 51, 662–669. [Google Scholar] [CrossRef]
- Zhang, Y.Q.; Wu, Y.T.; He, W.; Xia, G.D.; Ma, C.F.; Peng, Y.H. Experimental Study on the Influence of Rotational Speed on the Performance of a Single-screw Expander with a 175 mm Screw Diameter. Int. J. Green Energy 2015, 12, 257–264. [Google Scholar] [CrossRef]
- Zhang, Y.Q.; Wu, Y.T.; Xia, G.D.; Ma, C.F.; Ji, W.N.; Liu, S.W.; Yang, K.; Yang, F.B. Development and experimental study on organic Rankine cycle system with single-screw expander for waste heat recovery from exhaust of diesel engine. Energy 2014, 77, 499–508. [Google Scholar] [CrossRef]
- Desideri, A.; Gusev, S.; Martijn, V.D.B.; Lemort, V.; Quoilin, S. Experimental comparison of organic fluids for low temperature ORC (organic Rankine cycle) systems for waste heat recovery applications. Energy 2016, 97, 460–469. [Google Scholar] [CrossRef]
- Glavatskaya, Y.; Podevin, P.; Lemort, V.; Shonda, O.; Descombes, G. Reciprocating Expander for an Exhaust Heat Recovery Rankine Cycle for a Passenger Car Application. Energies 2012, 5, 1751–1765. [Google Scholar] [CrossRef]
- Qiu, G.; Liu, H.; Riffat, S. Expanders for micro-CHP systems with organic Rankine cycle. Appl. Therm. Eng. 2011, 31, 3301–3307. [Google Scholar] [CrossRef]
- Li, J.; Pei, G.; Ji, J.; Bai, X.; Li, P.; Xia, L. Design of the ORC (organic Rankine cycle) condensation temperature with respect to the expander characteristics for domestic CHP (combined heat and power) applications. Energy 2014, 77, 579–590. [Google Scholar] [CrossRef]
- Desideri, A.; Martijn, V.D.B.; Gusev, S.; Lemort, V.; Quoilin, S. Experimental campaign and modeling of a low capacity waste heat recovery system based on a single screw expander. In Proceedings of 22nd International Compressor Engineering Conference, West Lafayette, IN, USA, 14–17 July 2014; Purdue University: West Lafayette, IN, USA, 2014. [Google Scholar]
- Wu, Y.T.; Lei, B.; Ma, C.F.; Zhao, L.; Wang, J.F.; Guo, H.; Lu, Y.W. Study on the Characteristics of Expander Power Output Used for Offsetting Pumping Work Consumption in Organic Rankine Cycles. Energies 2014, 7, 4957–4971. [Google Scholar] [CrossRef]






















| Performance | Description | Value |
|---|---|---|
| x-intercept of the efficiency curve as a function of the pressure ratio | 3.076 | |
| Slope of the efficiency curve close to the x-intercept | 0.7924 | |
| Parameter setting the shape of the efficiency curve | 1.213 | |
| Maximum efficiency for the reference conditions | 0.592 | |
| Optimal pressure ratio for the reference conditions | 10 | |
| Optimal rotational speed for the reference conditions | 3547 | |
| Empirical parameters | ||
| Parameters | Units | Values | |
|---|---|---|---|
| Engaging ratio | (-) | 11/6 | |
| Screw rotor diameter | (mm) | 155 | |
| Gate rotor diameter | (mm) | 155 | |
| Tooth width of gate rotor | (mm) | 23.4 | |
| Volume ratio (the initial position of slide valves) | (-) | 5 | |
© 2016 by the authors; licensee MDPI, Basel, Switzerland. This article is an open access article distributed under the terms and conditions of the Creative Commons Attribution (CC-BY) license (http://creativecommons.org/licenses/by/4.0/).
Share and Cite
Wu, Y.; Zhi, R.; Lei, B.; Wang, W.; Wang, J.; Li, G.; Wang, H.; Ma, C. Slide Valves for Single-Screw Expanders Working Under Varied Operating Conditions. Energies 2016, 9, 478. https://doi.org/10.3390/en9070478
Wu Y, Zhi R, Lei B, Wang W, Wang J, Li G, Wang H, Ma C. Slide Valves for Single-Screw Expanders Working Under Varied Operating Conditions. Energies. 2016; 9(7):478. https://doi.org/10.3390/en9070478
Chicago/Turabian StyleWu, Yuting, Ruiping Zhi, Biao Lei, Wei Wang, Jingfu Wang, Guoqiang Li, Huan Wang, and Chongfang Ma. 2016. "Slide Valves for Single-Screw Expanders Working Under Varied Operating Conditions" Energies 9, no. 7: 478. https://doi.org/10.3390/en9070478
APA StyleWu, Y., Zhi, R., Lei, B., Wang, W., Wang, J., Li, G., Wang, H., & Ma, C. (2016). Slide Valves for Single-Screw Expanders Working Under Varied Operating Conditions. Energies, 9(7), 478. https://doi.org/10.3390/en9070478
