Chemical Analysis of Different Parts of Date Palm (Phoenix dactylifera L.) Using Ultimate, Proximate and Thermo-Gravimetric Techniques for Energy Production
Abstract
:1. Introduction
2. Materials and Methods
2.1. Preparation of Date Palm Samples
2.2. Chemical Analysis
2.3. Ultimate and Proximate Analyses
2.4. Fuel Characteristics of the Samples
2.5. Ranking of the Different Samples
2.6. Statistical Analysis
3. Results and Discussion
3.1. Chemical Composition of the Date Palm Residues
3.2. Ultimate and Proximate Analysis of Date Palm Residues
3.3. Thermal Properties of the Date Palm Residues
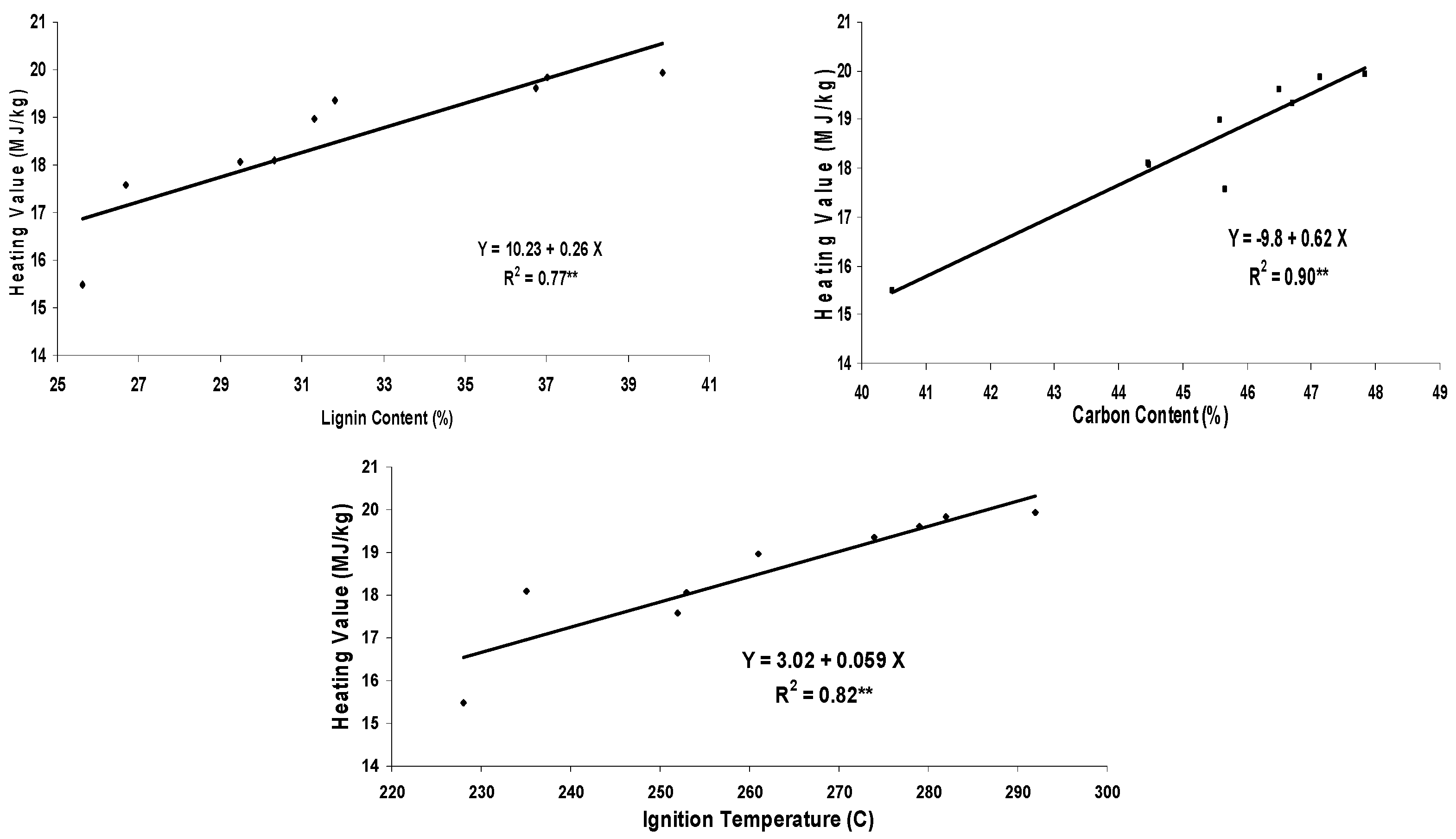
3.4. Fuel Characteristics of the Date Palm Residues
3.5. Ranking of Date Palm Residues
4. Conclusions
Acknowledgments
Author Contributions
Conflicts of Interest
Nomenclature
| ANOVA | Analysis of variance |
| CRD | Complete Randomized Design |
| daf | Dry ash-free fuel |
| db | Dry Basis |
| DPS | Date Palm Stones |
| DTG | Derivative Thermo-gravimetric |
| FCC | Fixed Carbon Content |
| FEB | Fruit Empty Bunch |
| FS | Fruit Stalk |
| FVI | Fuel Value Index |
| HV | Heating value |
| LCM | Lignocellulosic materials |
| LCR | Lignocellulosic Residues |
| MC | Moisture content |
| NREL | National Renewable Energy Laboratory |
| PC | Palm Coir |
| PFB | Palm Frond Base |
| PFM | Palm Frond Midrib |
| PL | Palm Leaflets |
| PT | Palm Trunk |
| TEC | Total Extractives Content |
| TGA | Thermo-gravimetric Analysis |
| Tmax | Maximum Peak Temperature |
| VMC | Volatile Matter Content |
References
- Demirbas, A. Relationships between lignin contents and fixed carbon contents of biomass samples. Energy Convers. Mang. 2003, 44, 1481–1486. [Google Scholar] [CrossRef]
- Pesevski, M.D.; Lliev, B.M.; Zivkovic, D.L.; Popovska, V.T.; Srbinoska, M.A.; Filiposki, B.K. Possibilities for utilization of tobacco stems for production of energetic briquettes. J. Agric. Sci. 2010, 55, 45–54. [Google Scholar] [CrossRef]
- Salleh, F.; Samsuddin, R.; Husin, M. Bio-fuel source from combination feed of sewage and rice waste. In 2011 Internation Conference on Environment Science Engineering IPCBEE; IACSIT Press: Singapore, 2011; Volume 8, pp. 68–72. [Google Scholar]
- Komulainen, M.P.; Simi, E.; Hagelberg, I.; Ikonen, S.; Lyytinen, S. Possibilities of Using the Common Reed for Energy Generation in Southern Finland; Turku University of Applied Sciences: Turku, Finland, 2008; p. 21. [Google Scholar]
- Kitzler, H.; Pfeifer, C.; Hofbauer, H. Combustion of reeds in a 3 MW district heating plant. Int. J. Environ. Sci. Dev. 2012, 3, 407–411. [Google Scholar] [CrossRef]
- Nasser, R.A.; Salem, M.Z.M.; Al-Mefarrej, H.A.; Abdel-Aal, M.A.; Soliman, S.S. Fuel characteristics of vine prunings (Vitis vinifera L.) as a potential source for energy production. BioResource 2014, 9, 482–496. [Google Scholar] [CrossRef]
- Nasser, R.A. An evaluation of the use of midribs from common date palm cultivars grown in Saudi Arabia for energy production. BioResource 2014, 9, 4343–4357. [Google Scholar] [CrossRef]
- Lombard, P.; Tengberg, M. Environnement et économie végétale à Qal’at al-Bahreïn aux périodes Dilmoun et Tylos; Premiers éléments d'archéobotanique. Paléorient 2001, 27, 167–181. [Google Scholar] [CrossRef]
- El-Mously, H.I. The rediscovery of local raw materials: New opportunities for developing countries. Ind. Environ. 1997, 20, 17–20. [Google Scholar]
- Hegazy, S.S.; Aref, I.M. Suitability of some fast-growing trees and date palm fronds for particleboard production. For. Prod. J. 2010, 60, 599–604. [Google Scholar] [CrossRef]
- Amirou, S.; Zerizer, A.; Pizzi, A.; Haddadou, I.; Zhou, X. Particleboards production from date palm biomass. Eur. J. Wood Prod. 2013, 71, 717–723. [Google Scholar] [CrossRef]
- Hegazy, S.S.; Ahmed, K. Effect of date palm cultivar, particle size, panel density and hot water extraction on particleboards manufactured from date palm fronds. Agriculture 2015, 5, 267–285. [Google Scholar] [CrossRef]
- Khiari, R.; Mauret, E.; Belgacem, M.N.; Mhemmi, F. Tunisian date palm rachis used as an alternative source of fibres for papermaking applications. BioResource 2011, 6, 265–281. [Google Scholar]
- Nasser, R.A.; Hiziroglu, H.; Abdel-Aal, M.A.; Al-Mefarrej, H.A.; Shetta, N.D.; Aref, I.M. Measurement of some properties of pulp and paper made from date palm midribs and wheat straw by soda-AQ pulping process. Measurement 2015, 62, 179–186. [Google Scholar] [CrossRef]
- Khristova, P.; Kordsachia, O.; Khider, T. Alkaline pulping with additives of date palm rachis and leaves from Sudan. Bioresour. Technol. 2005, 96, 79–85. [Google Scholar] [CrossRef] [PubMed]
- Nasser, R.A.; Al-Mefarrej, H.A. Midribs of date palm as a raw material for wood-cement composite industry in Saudi Arabia. World Appl. Sci. J. 2011, 15, 1651–1658. [Google Scholar]
- Aref, I.M.; Nasser, R.A.; Ali, I.; Al-Mefarrej, H.A.; Al-Zahrany, S.M. Effects of aqueous extraction on the performance and properties of polypropylene/wood composites from date palm midribs and Acacia tortilis wood. J. Reinf. Plast. Compos. 2013, 32, 476–489. [Google Scholar] [CrossRef]
- Abu-Sharkh, B.F.; Hamid, H. Degradation study of date palm fibre/polypropylene composites in natural and artificial weathering: Mechanical and thermal analysis. Polym. Degrad. Stab. 2004, 85, 967–973. [Google Scholar] [CrossRef]
- Hegazy, S.; Ahmed, K.; Hiziroglu, S. Oriented strand board production from water-treated date palm fronds. Bioresource 2015, 10, 448–456. [Google Scholar] [CrossRef]
- Babiker, M.E.; Aziz, A.R.; Heilkal, M.; Yusup, S.; Abakar, M. Pyrolysis characteristics of Phoenix dactylifera date palm seeds using thermogravimetric analysis (TGA). Int. J. Environ. Sci. Dev. 2013, 4, 521–524. [Google Scholar] [CrossRef]
- Eissa, A.H.A. Quality characteristics for agricultural residues to produce briquettes. In Proceedings of the International Conference on Agricultural, Biotechnology, Biological and Biosystems Engineering, New York, NY, USA, 5–6 June 2013.
- Usman, A.R.; Abduljabbar, A.; Vithanag, M.; Ok, Y.S.; Ahmad, M.; Ahmad, M.; Elfaki, J.; Abdulazeem, S.S.; Al-Wabel, M.I. Biochar production from date palm waste: Charring temperature induced changes in composition and surface chemistry. J. Anal. Appl. Pyrolysis 2016, 115, 392–400. [Google Scholar] [CrossRef]
- Alhamed, Y. Activated carbon from date’s stones by ZnCl2 activation. JKAU Eng. Sci. 2006, 17, 75–100. [Google Scholar] [CrossRef]
- Al-Fuhaid, K.M. The Famous Date Varieties in the Kingdom of Saudi Arabia, 1st ed.; Ministry of Agriculture, Public Relation and Agriculture Information, FAO: Riyadh, Saudi Arabia, 2006; p. 245. [Google Scholar]
- Soliman, S.S.; Harhash, M.M. Effects of stands thinning on yield and fruit quality of Succary date palm. Afr. J. Biotechnol. 2012, 11, 2672–2676. [Google Scholar] [CrossRef]
- Agoudjil, B.; Benchabane, A.; Boudenne, A.; Ibos, L.; Fois, M. Renewable materials to reduce building heat loss: Characterization of date palm wood. Energy Build. 2010, 43, 491–497. [Google Scholar] [CrossRef]
- Senelwa, K.; Sims, R.E.H. Fuel characteristics of short rotation forest biomass. Biomass Bioenergy 1999, 17, 127–140. [Google Scholar] [CrossRef]
- Nasser, R.A.; Aref, I.M. Fuelwood characteristics of six Acacia species growing wild in the Southwest of Saudi Arabia as affected by geographical location. BioResource 2014, 9, 1212–1224. [Google Scholar] [CrossRef]
- Kataki, R.; Konwer, D. Fuelwood characteristics of indigenous tree species of north-east India. Biomass Bioenergy 2002, 22, 433–437. [Google Scholar] [CrossRef]
- Wang, S.; Huffman, J.; Littell, R. Characterization of Melaleuca biomass as a fuel for direct combustion. Wood Sci. 1981, 13, 216–219. [Google Scholar]
- Fengel, D.; Wengener, G. Wood Chemistry, Ultrastructure, Reactions; De Gruyter: Berlin, Germany, 1993. [Google Scholar]
- Nasser, R.A. Physical and mechanical properties of three-layer particleboard manufactured from the tree pruning of seven wood species. World Appl. Sci. J. 2012, 19, 741–753. [Google Scholar]
- McKendry, P. Energy production from biomass (part 1): Overview of biomass. Bioresour. Technol. 2002, 83, 37–46. [Google Scholar] [CrossRef]
- Cordero, T.; Marquez, F.; Rodriguez-Mirasol, J.; Rodriguez, J.J. Predicting heating values of lignocellulosics and carbonaceous materials from proximate analysis. Fuel 2001, 80, 1567–1571. [Google Scholar] [CrossRef]
- Jenkins, B.M.; Baxter, L.L.; Miles, T.R., Jr.; Miles, T.R. Combustion properties of biomass. Fuel Process. Technol. 1998, 54, 17–46. [Google Scholar] [CrossRef]
- Jiménez, L.; González, F. Study of the physical and chemical properties of lignocellulosic residues with a view to the production of fuels. Fuel 1991, 70, 947–950. [Google Scholar] [CrossRef]
- García, R.; Pizarro, C.; Lavín, A.G.; Bueno, J.L. Characterization of Spanish biomass wastes for energy use. Bioresour. Technol. 2012, 103, 249–258. [Google Scholar] [CrossRef] [PubMed]
- Telmo, C.; Lousada, J.; Moreira, N. Proximate analysis, backwards stepwise regression between gross calorific value, ultimate and chemical analysis of wood. Bioresour. Technol. 2010, 101, 3808–3815. [Google Scholar] [CrossRef] [PubMed]
- Yang, Y.B.; Ryu, C.; Khor, A.; Yates, N.E.; Sharifi, V.N.; Swithenbank, J. Effect of fuel properties on biomass combustion. Part II. Modelling approach—Identification of the controlling factors. Fuel 2005, 84, 2116–2130. [Google Scholar] [CrossRef]
- El-Juhany, L.I. Surveying of Lignocellulosic Agricultural Residues in Some Major Cities of Saudi Arabia; Research Bulletin No. 1-Agricultural Research Center, College of Agriculture, King Saud University: Riyadh, Saudi Arabia, 2001. [Google Scholar]
- El May, Y.; Dorge, S.; Jeguirium, M.; Trouve, G.; Said, R. Measurements of gaseous and particulate pollutants during combustion of date palm wastes for energy recovery. Aerosol Air Qual. Res. 2012, 12, 814–825. [Google Scholar] [CrossRef]
- Abed, I.; Paraschiv, M.; Loubar, K.; Zagrouba, F.; Tazerout, M. Thermogravimetric investigation and thermal conversion kinetics of typical North African and Middle Eastern lignocellulosic wastes. Bioresource 2012, 7, 1200–1220. [Google Scholar]
- ASTM D 1037. Standard Methods of Evaluating the Properties of Wood-Base Fiber and Particle Panel Materials; ASTM: Philadelphia, PA, USA, 1989. [Google Scholar]
- Sluiter, A.; Hames, B.; Ruiz, R.; Scarlata, C.; Sluiter, J.; Templeton, D. Determination of Ash in Biomass. National Renewable Energy Laboratories (NREL) Technical Report. NREL/TP-510-42622 (Internet). Available online: http://www.nrel.gov/docs/gen/fy08/42622.pdf (accessed on 5 January 2014).
- ASTM D 3176-89. Standard Practice for Ultimate Analysis of Coal and Coke; ASTM: Philadelphia, PA, USA, 1989. [Google Scholar]
- ASTM D 2015-85. Standard Test Method for Gross Heating Value of Coal and Coke by Adiabatic Bomb Calorimeter; ASTM: Philadelphia, PA, USA, 1987. [Google Scholar]
- Bhatt, B.P.; Todaria, N.P. Fuelwood characteristics of some Indian mountain species. For. Ecol. Manag. 1992, 47, 363–366. [Google Scholar] [CrossRef]
- Munalula, F.; Meincken, M. An evaluation of South African fuelwood with regards to calorific value and environmental impact. Biomass Bioenergy 2009, 33, 415–420. [Google Scholar] [CrossRef]
- SAS. SAS Guide to Applications Development, 2nd ed.; SAS Institute: Cary, SC, USA, 2004. [Google Scholar]
- Hindi, S.S.; Bakhashwin, A.A.; El-Feel, A. Physico-chemical characterization of some Saudi lignocellulosic natural resources and their suitability for fiber production. JKAU Met. Environ. Arid Land Agric. Sci. 2010, 21, 45–55. [Google Scholar]
- Pereira, B.L.C.; de Carneiro, A.C.O.; Carvalho, A.M.M.L.; Colodette, J.L.; Oliveira, A.C.; Fontes, M.P.F. Influence of chemical composition of eucalyptus wood on gravimetric yield and charcoal properties. Bioresource 2013, 8, 4574–4592. [Google Scholar] [CrossRef]
- Akowuah, J.O.; Kemausuor, F.; Mitchual, S.J. Physico-chemical characteristics and market potential of sawdust charcoal briquette. Int. J. Energy Environ. Eng. 2012, 3, 20–25. [Google Scholar] [CrossRef]
- Chow, P.; Lucas, E.B. Fuel characteristics of selected four year old trees in Nigeria. Wood Fiber Sc. 1988, 20, 427–431. [Google Scholar]
- Haygreen, J.C.; Bowyer, J.I. Forest Products and Wood Science, 3rd ed.; Iowa State University Press: Iowa, IA, USA, 1996. [Google Scholar]
- Arola, R.A. Wood fuels—How do they stack up? In Energy and the Wood Products Industry. Proceedings P-76-14; Forest Products Research Society: Madison, WI, USA, 1976; pp. 34–45. [Google Scholar]
- Gómez, N.; Rosasa, J.G.; Cara, J.; Martínez, O.; Alburquerque, J.A.; Sánchez, M.E. Slow pyrolysis of relevant biomasses in the Mediterranean basin. Part 1. Effect of temperature on process performance on a pilot scale. J. Cleaner Prod. 2016, 120, 181–190. [Google Scholar] [CrossRef]
- Oduor, N.M.; Githiomi, J.K. Fuel-wood energy properties of Prosopis juliflora and Prosopis pallida grown in Baringo District, Kenya. Afr. J. Agric. Res. 2012, 8, 2476–2481. [Google Scholar]
- Yao, H.M.; Vuthaluru, H.B.; Tadé, M.O.; Djukanovic, D. Artificial neural network-based prediction of hydrogen content of coal in power station boilers. Fuel 2005, 84, 1535–1542. [Google Scholar] [CrossRef]
- Lee, Y.; Park, J.; Ryu, C.; Gang, K.S.; Yang, W.; Park, Y.-K.; Jung, J.; Hyun, S. Comparison of biochar properties from biomass residues produced by slow pyrolysis at 500°C. Bioresour. Technol. 2013, 148, 196–201. [Google Scholar] [CrossRef] [PubMed]
- FAO. Industrial Charcoal Making; FAO Forestry Paper No. 63; Food and Agriculture Organization of the United Nations: Rome, Italy, 1985. [Google Scholar]
- Okoroigwe, E.C.; Saffron, C.M. Determination of bio-energy potential of palm kernel shell by physicochemical characterization. Niger. J. Technol. 2012, 31, 329–335. [Google Scholar]
- Yang, H.P.; Yan, R.; Chin, T.; Liang, D.; Chen, P.; Zheng, C. Thermogravimetric analysis—Fourier transform infrared analysis of palm oil wastes pyrolysis. Energy Fuel 2004, 18, 1814–1821. [Google Scholar] [CrossRef]
- Lopez, J.P.; Mutje, P.; Carvalho, A.J.F.; Curvelo, A.A.; Girones, J. Newspaper fiber-reinforced thermoplastic starch biocomposites obtained by melt processing: Evaluation of mechanical, thermal and water sorption properties. Ind. Crop. Prod. 2013, 44, 300–305. [Google Scholar] [CrossRef]
- Hindi, S.S. Calotropis procera: The miracle shrub in the Arabian Peninsula. Int. J. Sci. Eng. Investig. 2013, 2, 48–57. [Google Scholar]
- Sukiran, M.A.; Kheang, L.S.; Bakar, N.A.; El May, C.Y. Production and characterization of bio-char from the pyrolysis of empty fruit bunches. Am. J. Appl. Sci. 2011, 8, 984–988. [Google Scholar] [CrossRef]
- Goel, V.L.; Behl, H.M. Fuelwood quality of promising tree species for alkaline soil sites in relation to tree age. Biomass Bioenergy 1996, 10, 57–61. [Google Scholar] [CrossRef]


| Tree | Trunk Diameter | Palm Height | Frond Length | Fruit Weight * | Oven-Dry Weight (kg/tree) | |||||||
|---|---|---|---|---|---|---|---|---|---|---|---|---|
| No. | (cm) | (m) | (cm) | (Kg/tree) | PFB | PFM | PL | PC | DPS | FS | FEB | Total |
| 1 | 63.1 | 5.88 | 385.3 | 125.3 | 5.67 | 14.40 | 8.05 | 1.33 | 18.53 | 7.19 | 0.75 | 55.92 |
| 2 | 51.3 | 6.15 | 380.9 | 144.6 | 6.48 | 15.89 | 6.65 | 1.65 | 20.88 | 8.06 | 1.02 | 60.63 |
| 3 | 71.1 | 7.12 | 345.4 | 116.5 | 6.08 | 13.02 | 6.30 | 2.15 | 16.05 | 6.32 | 0.93 | 50.85 |
| 4 | 66.6 | 5.97 | 375.0 | 122.3 | 6.89 | 14.89 | 8.14 | 1.84 | 19.19 | 8.53 | 0.76 | 60.24 |
| 5 | 68.4 | 6.75 | 363.5 | 132.7 | 6.08 | 15.11 | 7.95 | 1.51 | 20.99 | 7.45 | 1.20 | 60.29 |
| Mean | 64.1 | 6.37 | 370.0 | 128.3 | 6.24 | 14.66 | 7.42 | 1.70 | 19.13 | 7.51 | 0.93 | |
| Feedstock | Percentage Content of | |||
|---|---|---|---|---|
| Total Extractives 1 | Cellulose 2 | Hemicelluloses 2 | Lignin 2 | |
| Palm Trunk (PT) | 25.15 B (0.40) | 39.37 D (0.71) | 30.31 A (0.69) | 30.32 D (1.44) |
| Palm Frond Base (PFB) | 24.90 B (0.41) | 43.05 C (0.21) | 31.34 A (1.59) | 25.61 E (1.42) |
| Palm Frond Midrib (PFM) | 17.45 C (1.61) | 45.16 B (1.32) | 28.16 B (1.47) | 26.68 E (0.69) |
| Palm Leaflets (PL) | 32.86 A (0.85) | 47.14 A (0.60) | 16.13 E (0.15) | 36.73 B (0.46) |
| Fruit Stalk (FS) | 9.75 E (0.49) | 43.05 C (1.13) | 27.48 B (0.14) | 29.47 D (1.05) |
| Fruit Empty Bunch (FEB) | 13.42 D (0.92) | 44.40 BC (0.90) | 24.30 C (0.56) | 31.30 C (1.32) |
| Date Palm Stone (DPS) | 31.54 A (0.50) | 32.77 E (0.17) | 30.20 A (0.50) | 37.03 B (0.33) |
| Palm Coir (PC) | 7.78 F (1.35) | 47.50 A (0.62) | 12.64 F (0.41) | 39.86 A (0.23) |
| Acacia tortilis (AT) | 13.82 D (0.16) | 46.92 A (0.69) | 21.27 D (0.77) | 31.81 C (0.56) |
| Hardwood 3 | 2–6 | 45–50 | 15–35 | 23–30 |
| Softwood 3 | 2–8 | 45–50 | 20–32 | 25–34 |
| Date palm Trunk and riches 4 | 1–9 | 36–47 | 29–38 | 17–27 |
| Date palm residue 5 | 20.3 | 45.0 | 29.1 | 25.8 |
| Lignocellulosic residues 6 | 12–29 | 51–66 | – | 11–22 |
| Six eucalyptus clones 7 | 3–5 | 46–49 | 22–23 | 29–31 |
| Midrib of six date palm cultivars 8 | 18–24 | 41–46 | 25–34 | 25–30 |
| Prunings of seven vine cultivars 9 | 18–26 | 37–40 | 31–35 | 27–30 |
| Feedstock | Ultimate Analysis 1 | Atomic Ratio 2 | Proximate Analysis 1 | ||||||
|---|---|---|---|---|---|---|---|---|---|
| C | H | N | O 3 | H/C | O/C | VM | Ash | FCC 3 | |
| PT | 44.46 d | 5.75 c | 0.55 c | 49.24 c | 1.55 cd | 0.83 c | 78.53 g | 3.86 c | 17.61 a |
| PFB | 40.48 f | 5.63 c | 0.28 de | 53.61 a | 1.67 a | 0.99 a | 76.56 f | 9.81 b | 13.63 c |
| PFM | 45.65 c | 5.95 bc | 0.27 de | 48.13 c | 1.56 c | 0.79 c | 82.28 e | 3.56 c | 14.15 bc |
| PL | 46.50 b | 5.69 c | 0.66 b | 47.15 d | 1.50 d | 0.90 b | 74.29 h | 15.2 a | 10.51 f |
| FS | 44.47 d | 5.97 bc | 0.32 d | 49.24 c | 1.61 b | 0.83 c | 85.32 c | 1.80 e | 12.88 d |
| FEB | 45.58 c | 6.03 b | 0.26 de | 48.13 c | 1.59 bc | 0.79 c | 87.48 a | 1.78 ef | 10.75 f |
| DPS | 47.14 ab | 6.63 a | 0.90 a | 45.33 e | 1.69 a | 0.72 d | 83.33 d | 1.40 f | 14.94 b |
| PC | 47.84 a | 6.15 b | 0.23 e | 45.78 e | 1.54 cd | 0.72 d | 86.57 b | 2.90 d | 10.53 f |
| Acacia tortilis | 46.70 b | 6.04 b | 0.34 d | 46.92 d | 1.59 bc | 0.79 c | 86.67 b | 1.92 e | 11.41 e |
| Hardwood [55] 4 | 50.8 | 6.4 | 0.40 | 41.80 | 1.51 | 0.62 | 77.3 | 3.4 | 19.4 |
| Softwood [55] 4 | 52.9 | 6.3 | 0.10 | 39.70 | 1.43 | 0.56 | 77.2 | 1.6 | 22.0 |
| LCM [34] 5 | 42–50 | 5.7–6.1 | 0.1–1.0 | 41–47 | - | - | 75–84 | 0.1–8.1 | 14–20 |
| Residual biomass [56] 6 | 49–51 | ~6 | 0.1–0.6 | 42–45 | - | - | 78–84 | 0.6–3.7 | 16–20 |
| LCR [36] 7 | - | - | - | - | - | - | 69–88 | 1–6 | 11–25 |
| Prosopis [57] 8 | - | - | - | - | - | - | 77–80 | 1.1–1.3 | 11–15 |
| Pereira et al. [51] | 44–47 | 5.6–6.0 | ~0.1 | 47–51 | 1.5–1.6 | 0.7–0.9 | - | - | - |
| Telmo et al. [38] | 46–52 | 4.9–6.1 | 0.1–0.5 | 40–47 | - | - | 75–81 | 0.1–1.0 | 12–23 |
| Yao et al. [58] | 38–53 | 4.5–7.0 | 0.2–2.7 | 32–45 | - | - | 65–85 | 0.5–20 | 7–20 |
| El May et al. [41] | 40–51 | 5.6–6.4 | 0.2–0.7 | 41–46 | - | - | 68–74 | 1–15 | 8–18 |
| Nasser et al. [6] | 46–48 | 5.5–5.7 | 0.8–1.1 | 45–47 | - | - | - | - | - |
| Lee et al. [59] | 49–62 | 4.4–6.1 | 0.2–2.0 | 33–43 | - | - | 49–80 | 0.4–21 | 11–25 |
| Feedstock | Ignition Temperature (°C) | Peak Temperature Tmax (°C) | Weight Loss 1 (%) | Residue (%) |
|---|---|---|---|---|
| PT | 235 | 385 | 51.6 | 20.65 |
| PFB | 228 | 379 | 46.3 | 24.39 |
| PFM | 252 | 379 | 51.4 | 22.01 |
| PL | 279 | 467 | 55.7 | 22.91 |
| FS | 253 | 379 | 59.1 | 18.18 |
| FEB | 261 | 378 | 60.9 | 17.76 |
| DPS | 282 | 350 | 58.6 | 21.51 |
| PC | 292 | 412 | 66.2 | 13.77 |
| Acacia tortilis | 274 | 398 | 58.5 | 16.53 |
| Feedstock | Heating Value (MJ/kg) | Energetic Density 1 (GJ/m3) | Ash Content (%) | Fuel Value Index 2 | |
|---|---|---|---|---|---|
| On Dry Wt Basis (db) | On Ash-Free Dry Wt Basis (daf) | ||||
| PT | 18.10 D ± 0.3 | 18.80 DE | 7.24 | 3.86 c | 187 |
| PFB | 15.47 F ± 0.4 | 16.51 F | 3.65 | 9.81 b | 54 |
| PFM | 17.57 E ± 0.6 | 18.21 E | 4.37 | 3.56 c | 120 |
| PL | 19.60 AB ± 0.2 | 22.58 A | 8.20 | 15.2 a | 53 |
| FS | 18.07 D ± 0.2 | 18.33 E | 10.85 | 1.80 e | 892 |
| FEB | 18.98 C ± 0.3 | 19.38 D | 9.27 | 1.78 ef | 487 |
| DPS | 19.85 A ± 0.3 | 20.10 C | 13.25 | 1.28 f | 2078 |
| PC | 19.93 A ± 0.3 | 20.70 B | 11.88 | 2.90 d | 309 |
| Acacia tortilis | 19.34 B ± 0.4 | 19.56 CD | 13.58 | 1.92 e | 1170 |
| El May et al. [41] 3 | 15–19 | - | 2.6–11.4 | 1–15 | - |
| Nasser [7] 4 | 17–18 | 18–19 | - | 3.4–8 | 176–306 |
| Nasser et al. [16] 5 | 18–19 | 19–20 | - | 2.9–4 | 225–508 |
| Nasser and Aref [28] 6 | 18–21 | - | - | 1.8–3 | 1310–2350 |
| Kataki and Konwer [29] 7 | 14–22 | 14–22 | - | 0.8–4 | 369–2089 |
| Property | DPS | PC | A. tortilis | FEB | FS | PL | PFM | PT | PFB |
|---|---|---|---|---|---|---|---|---|---|
| Density | 1 | 8 | 2 | 3 | 2 | 4 | 6 | 5 | 7 |
| Lignin content | 2 | 1 | 4 | 4 | 6 | 3 | 7 | 5 | 8 |
| Ash content | 1 | 5 | 4 | 2 | 3 | 9 | 6 | 7 | 8 |
| Carbon content | 1 | 1 | 2 | 3 | 4 | 2 | 3 | 4 | 5 |
| Hydrogen content | 1 | 2 | 3 | 3 | 4 | 5 | 4 | 5 | 6 |
| Nitrogen content | 6 | 1 | 3 | 2 | 3 | 5 | 2 | 4 | 2 |
| Oxygen content | 1 | 1 | 2 | 4 | 5 | 3 | 4 | 5 | 6 |
| Heating value | 2 | 1 | 4 | 5 | 6 | 3 | 7 | 6 | 8 |
| Rank | 1.88 | 2.50 | 3.00 | 3.25 | 4.13 | 4.25 | 4.88 | 5.13 | 6.25 |
| Order | 1 | 2 | 3 | 4 | 5 | 6 | 7 | 8 | 9 |
© 2016 by the authors; licensee MDPI, Basel, Switzerland. This article is an open access article distributed under the terms and conditions of the Creative Commons Attribution (CC-BY) license (http://creativecommons.org/licenses/by/4.0/).
Share and Cite
Nasser, R.A.; Salem, M.Z.M.; Hiziroglu, S.; Al-Mefarrej, H.A.; Mohareb, A.S.; Alam, M.; Aref, I.M. Chemical Analysis of Different Parts of Date Palm (Phoenix dactylifera L.) Using Ultimate, Proximate and Thermo-Gravimetric Techniques for Energy Production. Energies 2016, 9, 374. https://doi.org/10.3390/en9050374
Nasser RA, Salem MZM, Hiziroglu S, Al-Mefarrej HA, Mohareb AS, Alam M, Aref IM. Chemical Analysis of Different Parts of Date Palm (Phoenix dactylifera L.) Using Ultimate, Proximate and Thermo-Gravimetric Techniques for Energy Production. Energies. 2016; 9(5):374. https://doi.org/10.3390/en9050374
Chicago/Turabian StyleNasser, Ramadan A., Mohamed Z. M. Salem, Salim Hiziroglu, Hamad A. Al-Mefarrej, Ahmed S. Mohareb, Manawwer Alam, and Ibrahim M. Aref. 2016. "Chemical Analysis of Different Parts of Date Palm (Phoenix dactylifera L.) Using Ultimate, Proximate and Thermo-Gravimetric Techniques for Energy Production" Energies 9, no. 5: 374. https://doi.org/10.3390/en9050374
APA StyleNasser, R. A., Salem, M. Z. M., Hiziroglu, S., Al-Mefarrej, H. A., Mohareb, A. S., Alam, M., & Aref, I. M. (2016). Chemical Analysis of Different Parts of Date Palm (Phoenix dactylifera L.) Using Ultimate, Proximate and Thermo-Gravimetric Techniques for Energy Production. Energies, 9(5), 374. https://doi.org/10.3390/en9050374

