Next Article in Journal
Load Concentration Factor Based Analytical Method for Optimal Placement of Multiple Distribution Generators for Loss Minimization and Voltage Profile Improvement
Previous Article in Journal
A Method for Estimating Annual Energy Production Using Monte Carlo Wind Speed Simulation
 
 
Font Type:
Arial Georgia Verdana
Font Size:
Aa Aa Aa
Line Spacing:
Column Width:
Background:
Article

Optimal Design of an Axial-Flux Permanent-Magnet Motor for an Electric Vehicle Based on Driving Scenarios

1
Department of Mechanical Engineering, National Taiwan University, 1, Section 4, Roosevelt Road, Taipei 106, Taiwan
2
Mechanical and Systems Research Labortories, Industrial Technology Research Institute, 195, Section 4, Chung Hsing Road, Hsinchu 310, Taiwan
3
CADMEN, Taiwan Auto-Design Corporation, 11 F, No. 68, Section 2, Xianmin Boulevard, New Taipei City 220, Taiwan
*
Author to whom correspondence should be addressed.
Energies 2016, 9(4), 285; https://doi.org/10.3390/en9040285
Submission received: 16 February 2016 / Revised: 18 March 2016 / Accepted: 1 April 2016 / Published: 13 April 2016

Abstract

:
This paper proposes a driving-scenario oriented optimal design of an axial-flux permanent-magnet (AFPM) motor for an electric vehicle. The target torque and speed (TN) curve is defined as three operation zones-constant torque, maximum direct current, and maximum voltage—based on the driving scenario. The AFPM motor is designed to minimize energy consumption based on the motor weight and the frequent operating points of a driving cycle. The final result shows that the electric vehicle driven by the proposed AFPM motor consumes about 15% less energy than motors designed using traditional methods.

1. Introduction

Increasing concerns about the natural environment and growing shortages of petroleum resources have driven many researchers to develop electric vehicles (EV). Due to a wide range of variable driving circumstances, such as load and vehicle speed, the operating point of a motor constantly changes. The working area of the motor, which matches a driving scenario involving accelerating, cruising, and slope climbing, is the main requirement for motor design.
EV motors are traditionally designed to satisfy the basic requirements of rated or maximum power, torque, and speed based on the driving conditions of acceleration and speed. For example, Kahourzade et al. [1] discussed a comprehensive design of a 10-kW axial-flux permanent-magnet (AFPM) motor for an EV direct drive based on the power and torque requirement. Lindh et al. [2] designed an interior permanent-magnet synchronous motor (PMSM) for traction application to meet the requirements of torque and speed (TN) under the constraints of voltage and current using an optimization process; however, the resulting torque and speed curve was determined by tuning the number of turns, the torque, and the current ratio. One drawback of the traditional motor design is that a close relationship does not exist between the TN curve and the motor parameters.
A better design methodology could include a target TN curve with two operation zones: constant torque and constant power, under the constraints of motor drive. A third operation zone could be extended using the field-weakening control [3]. Qi et al. [4] developed a method for predicting the flux-weakening performance of permanent-magnet (PM) brushless alternating current (AC) machines based on a d-q-axis flux linkage model in order to analyze the maximum working area of the TN curve using the finite element (FE) method. They formulated the TN equations in terms of motor parameters, such as PM flux, d-q-axis inductances, and phase resistance, as well as driving voltage and current. A similar analysis method was used for switched-flux permanent-magnet (SFPM) machines [5]. Unfortunately, those formulas were not used to determine the motor parameters. Therefore, rough specifications of maximum torque, base speed, and maximum speed based on the TN curve only provide a rough baseline for designing a motor. It is very possible that this type of motor is either over-designed or under-designed, which would mean that the motor drive must be re-selected and tuned so that the motor can be integrated into the vehicle propulsion system. Furthermore, since an EV operates over a wide torque-speed range in response to various driving conditions, the motor design process should consider overall energy consumption. The high efficiency operating region of the current PM motors used in EVs is typically designed around either the rated operating point [6] or several frequent operating points [7]. To date, the integration of driving cycles into the design optimization of an electric driveline has received limited attention in the literature.
This paper proposes a novel approach for designing an AFPM motor for EVs. The design methodology is divided into four stages. First, a target TN curve based on a driving scenario, battery capabilities, motor drive pattern, and basic torque and voltage equations of the proposed motor is specified in Section 2. This target TN curve is closely related to the back electromotive force (EMF) constant, phase inductance, and phase resistance of the motor. Second, the magnetic circuit model with a quasi-3-dimensional (quasi-3D) motor configuration is provided in Section 3. Third, an optimal motor shape is determined using three objectives—minimizing motor weight, maximizing motor efficiency at the rated operating point, and minimizing energy loss (EL) over various driving cycles—as described in Section 4. Fourth, FE verification of the proposed motor is presented in Section 5. Finally, Section 6 presents the study’s conclusions.

2. Specifications and Target Torque and Speed Curve

2.1. Simplified Vehicle Model

The proposed traction motor is designed for a four-wheel-drive passenger car weighing 1800 kg. Each wheel radius of 0.317 m is driven by an AFPM motor with a planetary reduction gear of ratio 4:1. Figure 1a shows the schematic view of the vehicle, and Figure 1b illustrates the vehicle parameters of a simplified vehicle model. For determining a target TN curve, only the equation of motion along the longitudinal axis of the vehicle is required:
F f + F r ( R a + R rf + R rr + W sin θ ) = γ   W g a
where Ff and Fr are the tractive efforts of the front and rear tires, Ra is the aerodynamic drag, Rrf and Rrr are the rolling resistances of the front and rear tires, W is the vehicle weight, γ is the equivalent mass coefficient, and a is the vehicle acceleration along the longitudinal axis.
By assuming that the two front motors share the same torque as the two rear motors, the front and rear tractive efforts between the tire and ground without slipping are equal and expressed as:
F f = F r =   2 T η κ r
where T is the motor’s tractive torque, r is the wheel radius, η is the mechanical efficiency, and κ is the gear ratio. The aerodynamic drag Ra is expressed as:
R a =   ρ 2 C D A f V r 2
where ρ is the air mass density, CD is the coefficient of aerodynamic resistance, Af is the frontal area of the vehicle, and Vr is the speed of the vehicle relative to the wind.
When the height of the point of application of aerodynamic drag ha is assumed to be near the height of vehicle’s mass center h, the normal forces on the front and rear wheels are, respectively, expressed as:
W f = W l 2 cos θ h ( R a + γ W a / g ± W sin θ ) L rf
W r = W l 1 cos θ h ( R a + γ W a / g ± W sin θ ) L rf
where l1 and l2 are the distances between the center of mass of the vehicle and the front and rear axles, respectively, and Lrf is the wheelbase. Therefore, the rolling resistances Rrf and Rrr on the front and rear tires are given by:
R rf = f r W f  and  R rr = f r W r
where fr is the rolling resistance factor. By neglecting the vehicle suspension forces, the total rolling resistance becomes f r W cos θ . The tractive torque T and motor speed ω are expressed as:
T = r 4 η κ ( γ   m a + ρ 2 C D A f V r 2 + f r m g cos θ + m g sin θ )
ω = v r ( 1 λ w )
where v is the vehicle speed, and λw is the slip between the wheel and the road. Detailed vehicle parameters are provided in Table 1.

2.2. Driving Scenario

A novel design methodology is proposed based on the driving scenario and the motor’s torque, speed, and power performance boundaries. The motor’s target TN curve is then determined using battery specifications and motor drive properties. Three driving scenarios were determined before the motor was designed: (1) the maximum slope that the vehicle can ride at a low speed is 35%; (2) the vehicle can provide maximum acceleration under 40 km/h; and (3) the maximum cruise speed on a road with a 5% slope is 120 km/h. The torque production required by the motor was obtained as a function of the vehicle speed and the road slope, which are shown as dotted lines on the TN coordinates presented in Figure 2. The required maximum motor torque is about 133.2 Nm at point A for the vehicle riding on a road with a maximum slope of 35% at a very low speed. The maximum output power, Pm = 20.4 kW, of the motor is then required in order for the vehicle to reach the speed of 40 km/h at point B. According to the thermal constraint, the continuous motor torque is set as half of the maximum torque. The continuous motor power, Pc = 13.4 kW, is a hyperbolic curve, while the maximum motor speed occurs at point C for the vehicle cruising at its maximum speed of 120 km/h on a 5% slope (approximate motor speed ωc = 4094 rpm). Here, the maximum and continuous TN curves set the performance requirement of a motor for an EV.

2.3. Motor Equations

The two-axis voltage equations of a PM motor at the steady-state sinusoidal operation are usually expressed as:
V d = R ph i d L q i q N p ω
V q = R ph i q + L d i d N p ω + K e ω
where Vd, Vq, id, iq, Ld, and Lq are the d-q-axis voltages, currents, and inductance, respectively; Ke is the back EMF constant of the motor; Rph is the phase resistance; ω is the mechanical speed of the motor; and Np is the number of pole pairs.
Because this motor has surface-mounted PMs, Ld and Lq can be assumed to be equal to the phase inductance Lph. When the peak of the sinusoidal phase current of the motor Iph is fed on the q-axis, id = 0 and iq = Iph. The torque equation is simply expressed as:
T = 3 K e V ph 2 R ph K e ω V ph + 1 + ( ξ K e ω V ph ) 2 ξ 2 ( K e ω V ph ) 4 ( ξ K e ω V ph ) 2 + 1
where ξ = (NpLphVph)/(RphKe). When Y = T(2Rph)/(3KeVph) and X = ω/ωmax = ω(Ke/Vph), we obtain an equality:
X + Y = 1 + ξ 2 X 2 ξ 2 X 4 ξ 2 X 2 Y
Figure 3 shows the curves of Y as a function of X for various ξ with a constant Vph. The YX curves, or the equivalently dimensionless TN curves without current limit, are concave toward the origin. When ξ approaches zero, the phase inductance Lph is much smaller than the phase resistance Rph, which is true for most motors, and the YX curve converges to a straight line as ξ approaches zero at a low electric motor speed. A more precise TN curve will be created by the torque and electric equations of the motor, voltage, and current limits of the power source, and the modulation method of the motor drive.

2.4. Target Torque and Speed Curves with Three Operation Zones

The TN curve of the motor can be specified by three operation zones: zone I, constant torque; zone II, maximum direct current (DC); and zone III, maximum voltage, shown as the thin solid curve A-p-q-C in Figure 4. All of the operation points on any one of the TN curves must satisfy the equations presented below through the assumptions that (1) the motor inductance is neglected, (2) the power conversion between the DC and three-phase terminals is conserved, (3) the three-phase voltages are constructed using space-vector pulse-width modulation (SVPWM), and (4) the peak of the sinusoidal phase current of the motor Iph is applied to the q-axis, id = 0 and iq = Iph, without considering the field weakening control.
(A)
Phase voltage and DC voltage modulation equation:
V ph = 1 3 M i V DC
where Vph is the peak of sinusoidal phase voltage of the motor; VDC is the voltage of the DC source; and Mi is a modulation index which is positive but less than 1 [8].
(B)
Phase current and DC current modulation equation:
I DC = 3 2 M i I ph
where IDC is the current of the DC source. It is assumed that Equations (13) and (14) satisfy the power conversion in the form of VphIph = (2/3)VDCIDC.
(C)
Motor torque equation:
T = 3 2 K e I ph
where T is the torque production of a three-phase motor driven by sinusoidal currents, each with a phase angle of 120°E.
(D)
Steady-state electrical equation:
When the phase current is fed in phase with the back EMF wave and the motor inductance is neglected, voltage Equations (9) and (10) with id = 0 become:
V ph = R ph I ph + K e ω
During the constant torque, zone I, the maximum torque Tmax is produced at the maximum phase current Iph-max, and the phase voltage Vph is controlled by a modulation index Mi so that Tmax = (3/2)KeIph-max over the speed range of [0, ωp]. It is assumed that no power is lost during the power conversion, and the current drawn from the DC terminal increases linearly with respect to the motor speed, according to Equation (14), where Mi is adjusted from Mmin to M1. The minimum modulation index Mmin occurs when ω = 0, and it is calculated by Equations (13) and (16); whereas, M1 is calculated by Equations (14) and (15) when the maximum DC current IDC-max is drawn from the power source at ω = ωp. The maximum motor speed ωp of zone I is then calculated using Equations (13)–(16), and is expressed as:
ω p = [ M 1 2 + ( ξ M min ) 2 ( M 1 2 M min 2 ) M min 1 + ( ξ M min ) 2 ] ω max
Beyond Mi = M1, the motor operates at the maximum DC current IDC-max in zone II. The phase voltage and current are adjusted from M1 until it increases to its maximum value 1, so that the phase voltage Vph is not constant but a function of motor speed. The modulation index M1 is calculated using Equations (14) and (15). The relationship between TN is derived from Equations (13)–(16) and is expressed as:
T [ ω 2 V DC I DC + ( ω 2 V DC I DC ) 2 + 2 3 R ph V DC I DC K e 2 ] = 1
where IDC = IDC-max. It is interesting to note that Equation (11) was approximated to a straight line when the inductance was zero (ξ = 0), but Equation (18) is a parabola with the same assumption that the inductance is zero. This is because that the Vph in Equatin (18) was varying as a function of modulation index in the range between [M1, 1] in zone II, while the Vph in Equation (11) was a constant. The maximum motor speed ωq of zone II is then calculated using Equations (13)–(16), and is expressed as:
ω q = [ 1 + ( ξ M 1 M min ) 2 ( 1 M 1 2 M min 2 ) M 1 M min 1 + ( ξ M 1 M min ) 2 ] ω max
In zone III, the motor operates at the maximum phase voltage Vph = VDC/ 3 . The relationship between torque and the speed higher than ωq is approximated by a straight line, which is derived by Equation (11) for ξ = 0 as the inductance is neglected. This line also passes the maximum motor speed point C, as shown in Figure 4, and is expressed as:
T = 3 2 K e 2 R ph ( ω ω c ) + T c
where Tc is the torque required for the motor at the maximum speed ωc on a slope of 5%.

2.5. Boundaries of the Torque and Speed Curves

In Equation (18), the motor torque is a function of phase resistance and the back EMF constant, and there might be infinite sets of TN curves that satisfy the driving scenario and the motor and drive properties. The boundaries of the TN curves are determined by assuming extreme conditions. When the phase inductance Lph is negligibly small, the TN curve can be approximated by a straight line between (3KeVph/2Rph, 0) and (0, Vph/Ke), which is also shown in Figure 3 for ξ = 0. In the extreme case of Rph = ε (0 < ε << 1), the straight line becomes perpendicular to the speed axis, so that the maximum value of corner speed ωq-max is equal to ωc. The corresponding back EMF constant of this vertical line has a maximum value:
K e-max = V DC 3 ω c
this vertical boundary connects the hyperbola Pmax = Tω at q1 and intersects the maximum torque line at p1 in zone I. Here, we complete the first boundary curve TN1 which links A-p1-q1-C.
The other boundary of the TN curves is determined under the constraint of the maximum DC current IDC-max supplied by the battery in zone II and zone III. By assuming Lph = 0 for zone III, where Mi = 1, the maximum phase resistance allowed for the motor to operate at its maximum power Pmax = Tω is obtained by:
R ph-max = V DC I DC-max P max 2 I DC-max 2
From Equations (13), (14) and (16), the maximum motor speed ωmax in zone III (Figure 4) is expressed as VDC/ 3 Ke as IDC and T approaching 0. Substituting these values into Equation (20) gives the relationship between Rph and Ke as:
3 ω c K e 2 3 V DC K e + 2 T c R ph = 0
The minimum Ke-min is obtained by substituting Rph-max into Equation (23), and this determines the slope of line Equation (20) in zone III. This straight line intersects with curve B at q2, and the hyperbola Equation (18) with the same Ke-min and Rph-max in zone II connects the constant torque curve in zone I at p2. Here, we complete the second boundary curve TN2, which links A-p2-q2-C.
All the TN curves in the ranges of Ke-min < Ke < Ke-max and Rph-min < Rph < Rph-max satisfy the three driving scenarios. By using the driving parameters and constraints given in Table 1, the boundary TN curves and their corresponding motor and drive parameters are calculated and illustrated in Table 2.

3. Quasi-3-Dimensional Magnetic Circuit Model

All of the design parameters of the AFPM motor shown in Figure 5a for the EV are presented in Table 3. It is approximately to slice the AFPM motor into rings of different radii, and each ring is extended as a 2-dimensional (2D) linear machine, as shown in Figure 5b [9]. Figure 5c shows a cross-section of each ring of the AFPM motor along a circumference of a radius ranging between Ro and Ri. The circumferential coordinate is denoted by x.
It is assumed that there is no fringing effect and no magnetic flux in the radial direction, so that each of the linear machines is independent. The overall performance of an AFPM motor will be the sum of the performance of all of the linear machines when a linear magnetic property is assumed in the following magnetic circuit analysis. The air-gap flux density distribution for slotless configuration is adopted from [10]:
B pm ( x ) = n = 1 , 3 , 5 , 8 B r n π sin ( α p n π 2 ) exp ( n π g τ p ) ( exp ( n π l m τ p ) 1 ) cos ( n π τ p x ) ( 1 + μ R ) ( 1 exp ( 2 n π ( g + l m ) τ p ) ) + ( 1 μ R ) ( exp ( 2 n π g τ p ) exp ( 2 n π l m τ p ) )
where Br is the remanence flux density and αp is the ratio between the magnet width wpm and the pole pitch τp. As the rotor rotates, the relative position of the rotor and stator, which is defined as the rotor shift s, varies, and the air-gap flux density is not only a function of peripheral coordinate x but also a function of rotor shift s. By considering the stator slotting effect, the air-gap flux density must be reduced by additional air-gap reluctance. The air-gap flux density distribution function is then modified as:
B g ( x , s ) = Π ( x ) B pm ( x s )
where Π(x) is the relative permeance, which is defined as the ratio between the equivalent air gap with and without slots, as follows:
Π ( x ) = l m μ R + g l m μ R + g e ( x )
where ge is the effective air-gap length and μR is the recoil permeability of the magnet [11].
This air-gap flux density distribution is compared with the result obtained from the 2D FE method for an example of s = 0°E, as shown in Figure 6a. In the FE analysis, the flux density becomes high near the fringe of the slot (location a) because of the flux saturation that was not modeled on the vertex of the stator teeth in the magnetic circuit model. A modeling error near the center of the slot (location b) also causes modeling errors in the preliminary motor design. The corresponding flux linkage of phase A is calculated, and it matches very well with the value obtained using the 2D FE method, as shown in Figure 6b.
Azzouzi et al. [12] presented an interesting approach that allows us to consider the fringing effect. From the 2D FE analysis, the air-gap flux density distribution in the radial direction (r) is illustrated in Figure 7a. Therefore, a dimensionless fringing-effect coefficient Λ(r) = Bz/Bz-maz is calculated, as shown in Figure 7b, where Bz(r) is the air-gap flux density function in the radial direction and its maximum value Bz-max occurs in the middle range between Ro and Ri. As (Ro–Ri) increases, the fringing-effect coefficient increases near Ri and Ro. Thus, the air-gap flux density distribution function in Equation (25) is modified as:
B g ( r , x , s ) = Λ ( r ) Π ( x ) B pm ( x s )

4. Motor Sizing and Optimization

4.1. Motor Sizing

Ishak et al. [13] found that if a motor had a similar number of slots and poles with a relationship of Ns = Nm ± 2, then it would provide high torque with a high winding factor and a low torque ripple. In addition, a higher number of pole pairs could cause the motor to have shorter end windings and a lighter weight, but that might result in a larger radius and higher core loss at a high electric frequency. According to the AFPM motor parameters presented in Table 2, the motors with slot and pole combinations of 12/14, 18/16, and 18/20, which are simply referred to the 12/14 motor, the 18/16 motor, and the 18/20 motor, have satisfactory winding factors of 0.933, 0.945, and 0.945, respectively, and they are promising candidates for the following optimal design.
As shown in Table 3, 14 design parameters need to be determined. It is necessary to begin the sizing by assigning reasonable values to the independent design parameters, such as the air-gap length g, the magnet gap wpmg, and the shoe height hs. Most of the other parameters are dependent variables, and they are determined by the motor geometry and performance equations so that the design targets of Ke and Rph are satisfied. Through the process of calculating the size of the motor [14], three sets of motors, a 12/14 motor, an 18/16 motor, and an 18/20 motor, were obtained by changing different active parameters—the magnet length lm, the outer radius Ro, and the inner radius Ri, within a reasonable range.

4.2. Multi-Objective Optimization

The AFPM motor is designed to minimize energy consumption based on the motor weight and the frequent operating points of a driving cycle. The best motor size set is then determined using the following three design objectives or performance indices.

4.2.1. Motor Weight

The first design objective is to minimize the active motor weight that consists of the stator weight Ws, the rotor weight Wr, and the winding weight Ww, which are all explicitly written in terms of the motor parameters shown in Table 3:
Min . W = W s + W r + W w

4.2.2. Energy Loss During the Driving Cycles

The second motor design objective is for the EV to achieve a high driving efficiency over various driving cycles. Figure 8a shows three widely-used driving cycles: FTP-75, which is the Federal Test Procedure defined by the US Environmental Protection Agency; NEDC, which is known as New European Driving Cycle; and JC08, which is a new Japanese test cycle. The corresponding power loss and the equally sampled operation points on the TN map are, respectively, shown in Figure 8b,c.
The frequent operation points are scattered within the continuous TN curve; this implies that the motor can operate over the driving cycles without reaching a temperature limit. It is also important to note that the rated operation point at the corner speed is clearly not a high duty operation point during a typical driving cycle. Although the driving efficiency depends on various subsystems, such as the battery bank, the power inverter, the motor, the drive train gears, and the differentials, minimizing total EL of the motor is our major concern, and is formulated as follows:
Min . E L = i = 1 n [ k F P 1 , F ( ω i , T i ) + k N P 1 , N ( ω i , T i ) + k J P 1 , J ( ω i , T i ) ]   Δ t
where EL is the total energy loss of the motor during the driving cycle; Pl,F, Pl,N, and Pl,J are the power losses of the motor at the operation points of driving cycles FTP-75, NEDC, and JC08, respectively; and Δt is the operation time interval. Different weighing factors, kF, kN, and kJ, were assigned with the same value to address the same importance of the three driving cycles for the motor design. When minimal EL occurs, maximal driving-cycle efficiency has been achieved.

4.2.3. Efficiency at the Rated Operation Point

In order to compare the results of the proposed motor design with the traditional design method, only the efficiency of the rated operation point was maximized. The third design objective is written as the rated efficiency of the motor at the corner point, in Figure 8c, on the continuous TN curve:
Max . η r = T r ω r T r ω r + P r + P c + P s
where ωr is the rated speed, Tr is the rated torque, Pr is the core loss, Pc is the copper loss, and Ps is the stray loss. Here, the rated torque Tr is an implicit function of the design variables, and it is calculated using Equation (11) via analytical magnetic circuit models.
The compromise programming method in the multifunctional optimization system tool (MOST) [15] was applied to search for the optimal values of the design variables that maximize or minimize the above performance indices Equations (28)–(30). The optimizer MOST can deal with real, integer, and discrete design variables simultaneously. In this design, the performance indices, design functions, and prescribed constraints are expressed in terms of design variables, in which the number of winding layers and the number of turns per layer are integers; the wire diameter provided by the manufacturers is discrete, while the others are real. The computation flow of the gradient-based optimization algorithm in MOST is composed of: (1) initial guess of design variables, (2) calculation of gradients of objective and constraint functions, (3) determination of the maximum descent direction and the next set of design parameters, and (4) convergence test until reaching the final solution. During the optimization, different weighing factors were assigned to describe the different levels of importance of the three objectives. Table 4 illustrates the best five results from the multi-objective optimization process. While the 18/20 motor was identified as the best result in four out of five cases, the 18/16 motor is inferior to the other motors and it was abandoned.
As expected, the 18/20 motor has a shorter end winding and a thinner back iron than the other two candidates, but it has a large radius because it has a large number of poles. Among the 18/20 candidate motors, Case 2 provides a motor with a minimum weight, but the worst rated efficiency; Case 3 has the least EL or the best driving-cycle efficiency, but the heaviest weight; and Case 5 has the highest rated efficiency, but the highest EL. Case 4 and Case 5 were found to have a more than 15% additional EL than the motor designed by traditional approaches without considering the frequent operation points. Therefore, Case 1, in which both the motor weight and the EL during the driving cycles are minimized, is the best choice for further verification and refinement using FE analysis.

5. Finite Element Analysis

The above optimization results were obtained from the quasi-3D magnetic circuit model, which is usually relatively imprecise because of the assumption of linear properties and the simplified motor configuration. The exploded view of the proposed AFPM motor is illustrated in Figure 9a, where the motor housing on each side of the stator is responsible for dissipating heat loss via the water-cooling duct. It is necessary to apply FE analysis to verify the optimal design results. The magnetic flux density distributions in the rotor, stator, and air gap at the peak phase current of 200 A are illustrated in Figure 9b,c. The maximum flux density of 1.8 T occurs at some locations on the stator teeth and the back iron as well as in the air gap along the outer radius near 95 mm. Thus, the motor performances were analyzed in terms of the back EMF wave, the TN curve, the efficiency map, the EL over various driving cycles, and the heat dissipation properties.

5.1. Back Electromotive Force Constant Analysis

The electromagnetic analysis tool, Maxwell 3D of ANSYS, was used to verify the performance of the motor that was designed using the quasi-3D magnetic circuit model. The back EMF wave of the motor was obtained by taking the derivative of the three-phase flux linkages. Without loading, the back EMF of the motor is close to a sinusoidal wave, which is composed of a fundamental harmonic of 91.99%, a third harmonic of 6.72%, a fifth harmonic of 0.52%, and less than 1% of the rest higher order harmonics. The flux linkages of the d and q axes are transformed from the three-phase flux linkages. Without input current excitation, the q-axis flux linkage λq equals 0, while the d-axis flux linkage λd is 0.0473 Wb, which is also the same as the magnet flux linkage λm. Thus, the back EMF constant Ke is calculated as 0.473 V/rad/s. This is approximately 2.47% different from the back EMF constant Ke found in Case 1 (Table 4), which was obtained using the magnetic circuit model, and it is within the lower and upper bounds required by the driving scenario shown in Table 2.

5.2. Torque and Speed Curve and Efficiency Map

Since the phase current Iph is assumed to enter the q-axis, the torque versus phase current curve was obtained using the nonlinear FE tool, as shown in Figure 10a. This curve matches the dashed line with circles; each torque was calculated by substituting Ke = 0.473 V/rad/s from the no load analysis into Equation (15). The larger error occurs at the high input current due to magnetic flux saturation.
The cross-coupling effect of the d-axis and q-axis inductances and the magnetic flux saturation were found to have little influence on the linearity between the q-axis flux linkage and the phase current, as shown in Figure 10b. The d-axis and q-axis inductances are 237.18 μH and 244.37 μH, respectively. The maximum phase current Iph-max = 195.5 A, which is a little lower than the maximum phase current value in the original motor that was designed using the quasi-3D magnetic circuit model, was found to satisfy the required maximum torque of 133.2 Nm. When that value was combined with the DC current limit IDC-max = 81.8 A, shown in Table 2, the resulting TN curve was obtained and compared with the TN curve required by the three driving scenarios and the TN curve obtained using the magnetic circuit model, as shown in Figure 10c.
It was found that the operation range of the proposed motor was wider than the TN curve that was obtained using the magnetic circuit model in zone III. As shown in Table 5, the maximum motor speed was increased by 2.5% because the final back EMF constant was smaller than the back EMF constant obtained using the magnetic circuit model. The difference in operation zone II is due to the fact that the phase inductance obtained using FE analysis is higher than the phase inductance obtained using the magnetic circuit model. Due to the coupling effect of phase inductance and resistance, the first corner speed from the FE analysis was found to be slightly lower than the required corner speed.
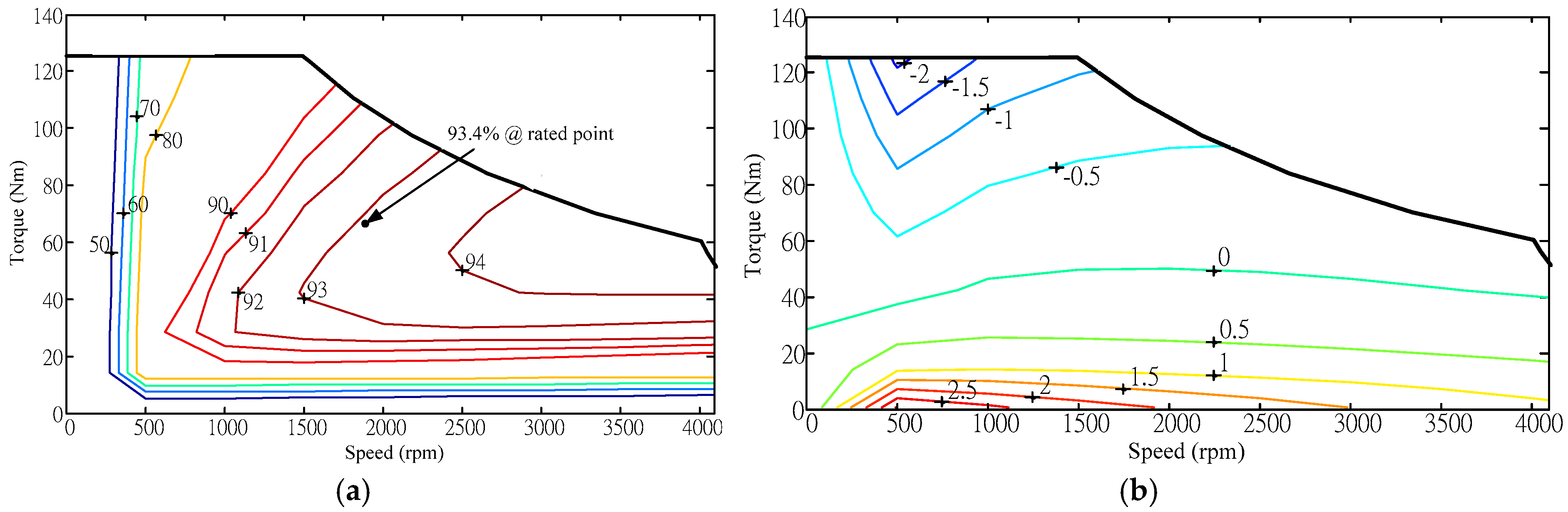
Figure 11a shows the efficiency map obtained from the FE method. At the rated point, the motor efficiency (93.40%) was found to be slightly higher than the motor efficiency (93.28%) obtained from the magnetic circuit model, as seen in the optimal Case 1 shown in Table 4. The efficiency difference between the FE and magnetic circuit models is shown in Figure 11b, and the difference is within the range of −2.5% to +3%. This difference is caused by overestimating the iron loss in the low torque region and underestimating the copper loss in the high torque region.

5.3. Energy Loss and Thermal Analysis

Table 6 shows a comparison of the ELs from the proposed AFPM motor when four of the motors drive the four-wheel-drive passenger car with three driving cycles (FTP-75, NEDC, and JC08). In the FE analysis, the sinusoidal current was supplied to the motor without considering the higher-order current harmonics produced by the inverter switching. As seen in Table 6, the FE analysis resulted in higher copper loss, but lower iron loss, than the magnetic circuit model. The higher copper loss was caused by considering the temperature-dependent copper resistance. The lower iron loss was because the permeability of electrical steel was assumed to be much larger than the permeability of air, so the reluctance of steel was neglected in the magnetic circuit model. Thus, the magnetic flux density distribution in the air gap, the back EMF constant, and the torque are all larger than those obtained using FE analysis. Therefore, more current is required in the FE model to produce the same torque as found in the magnetic circuit model.
The rare-earth neodymium-iron-boron (NdFeB) magnet (magnetization grade N35SH) is used for the AFPM motor; its remanence is 1.14 T and the recoil permeability is 1.05 at 60 °C. The eddy-current loss in the magnet is relatively small, and it is about 3% of the total loss. In general, there is only about a 5%–7% difference in EL between the FE and magnetic circuit models.
During the operation of a motor, most EL is in the form of heat, which is dissipated through the water-cooling duct on each side of motor housing, as shown in Figure 9a. The S-shaped water duct on the motor housing is designed with a contact surface of 0.0535 m2, an average thermal resistance of 0.00411 °K/W, an average convective heat transfer coefficient of 4544 W/m2 °K; the pressure drop between the water inlet and outlet is 40.53 kPa. The computational fluid dynamics (CFD) tool in the Solidworks Flow Simulation is used to design the cooling system by considering cooling efficiency, flow resistance, and fabrication cost. Figure 12 shows the transient response of the maximum and average temperatures of various locations in the motor. Initially, the motor was set at an ambient temperature of 27 °C. A continuous power of 14 kW was assumed for the vehicle running on a 15% slope at 60 km/h, so that the motor produced a constant torque of 64.3 Nm at a constant speed of 2091 rpm. The cooling water was fed into the motor housing at a flow rate of 12 L/min to dissipate 971-W power loss when the motor efficiency was about 93.5% at the operation point. The winding temperature increased rapidly from 27 °C to 40 °C in the first three minutes, and the steady-state temperature was 43 °C. The magnet temperature increased relatively more slowly than the winding temperature before it reached a steady-state temperature of 45°C near 24 minutes. The maximum stator temperature near the stator teeth was close to the winding temperature, but the average temperature of the stator in steady-state was low after being cooled by water.

5.4. Re-Examination of Driving Scenarios

This paper demonstrates a driving-scenario oriented design of an AFPM traction motor for EVs. The main purpose was to make the AFPM motor satisfy three driving scenarios without overdesign. Here, we re-examine the three driving scenarios: (1) the maximum slope that the vehicle can ride at a low speed is 35%; (2) the vehicle can provide maximum acceleration under 40 km/h; and (3) the maximum cruise speed on a road with a 5% slope is 120 km/h. The first requirement determined the maximum motor torque of 133.2 Nm. The third requirement determined the motor’s maximum speed ωmax, at which the torque Tc was much lower than the target torque of 47.58 Nm at the corner speed ωq1 (=ωc). Similarly, the continuous motor power, Pc = 13.4 kW, was set so that the vehicle was able to ride on a 5% slope at its maximum speed of 120 km/h. The continuous motor power was set about 66% of the maximum power of 20.4 kW.
In the thermal analysis, the vehicle was assumed to drive on a 15% slope at 60 km/h when a constant torque of 64.3 Nm was required. This torque is less than the continuous torque setting at 66.6 Nm, which was half of the maximum torque of 133.2 Nm. This confirms that the setting of the continuous motor torque to half of the maximum torque is satisfactory for the driving scenarios. However, when more rigorous driving conditions are required, a higher continuous torque must be set. For a commercial product, the continuous torque and power are usually set at higher than half of their maximum values.

6. Conclusions

This paper proposed a systematic, driving-scenario oriented, multi-objective optimal design process of an AFPM motor for a four-wheel-drive EV. The driving scenario, the modulation method of the motor drive, and basic torque and voltage equations of the motor were used to provide basic information for building a range of target TN curves for three operation zones—constant torque, maximum DC current, and maximum voltage. Thus, the back EMF constant, phase inductance, and phase resistance were used to size and optimize the proposed motor using a quasi-3D magnetic circuit model. The systematic optimal design process for a preliminary motor design was fast and accurate, as verified through FE analysis. First, the resulting TN curve was found to match well with the target TN curve. The corresponding efficiency maps of the FE and magnetic circuit methods were also found to be similar, with a difference of less than 3%. Second, the energy consumption of the proposed motor was 15% less than the energy consumption of the motor designed using a traditional method, which optimized the motor efficiency only at its rated operation point. Finally, the water-cooling duct was designed so that the motor dissipated EL during the operation. Moreover, the temperature response and steady-state temperature distributions were investigated, and it was proven that the proposed motor can be operated safely for a continuous driving mode.

Acknowledgments

The authors acknowledge the financial support of the National Science Council of Taiwan, Republic of China under Contract NSC 103-2221-E-002-001. They are also grateful for the partial support by the Mechanical and Systems Research Laboratories of Industrial Technology Research Institute in Taiwan.

Author Contributions

Yee Pien Yang conceived and designed the research and wrote the paper; Guan-Yu Shih conducted programming and analyzed the data.

Conflicts of Interest

The authors declare no conflict of interest.

References

  1. Kahourzade, S.; Mahmoudi, A.; Rahim, N.A.; Ping, H.W. Sizing Equation and Finite Element Analysis Optimum Design of Axial-flux Permanent Magnet Motor for Electric Vehicle Direct Drive. In Proceedings of the IEEE International Power Engineering and Optimization Conference (PEDCO), Melaka, Malaysia, 6–7 June 2012.
  2. Lindh, P.; Montonen, J.; Immonen, P.; Tapia, J.A.; Pyrhonen, J. Design of a traction motor with tooth-coil windings and embedded magnets. IEEE Trans. Ind. Electron. 2014, 61, 4306–4314. [Google Scholar] [CrossRef]
  3. Zhu, Z.Q.; Howe, D. Electrical machines and drives for electric, hybrid, and fuel cell vehicles. Proc. IEEE 2007, 95, 746–765. [Google Scholar] [CrossRef]
  4. Qi, G.; Chen, J.T.; Zhu, Z.Q.; Howe, D.; Zhou, L.B.; Gu, C.L. Influence of skew and cross-coupling on flux-weakening performance of permanent-magnet brushless AC machines. IEEE Trans. Magn. 2009, 45, 2110–2117. [Google Scholar] [CrossRef]
  5. Zhu, Z.Q.; Azar, Z. Torque speed characteristics of switched flux permanent magnet machines. COMPEL Int. J. Comput. Math. Electr. Electron. Eng. 2012, 31, 22–39. [Google Scholar]
  6. Mignot, R.B.; Dubas, F.; Espanet, C.; Chamagne, D. Design of Axial Flux PM Motor for Electric Vehicle via a Magnetic Equivalent Circuit. In Proceedings of the 2012 First International Conference on Renewable Energies and Vehicular Technology (REVET), Hammamet, Tunisia, 26–28 March 2012; pp. 212–217.
  7. Krebs, G.; De Cecco, E.; Marchand, C. Design Approach of an Axial Flux Motor for Electrical Powertrain Vehicle. In Proceedings of the International Conference on Electrical Machines (ICEM), Marseille, France, 2–5 September 2012; pp. 2812–2817.
  8. Mohan, N.; Undeland, T.M.; Robbins, W.P. Power Electronics: Converters, Applications, and Design, 3rd ed.; John Wiley & Sons: New York, NY, USA, 2002. [Google Scholar]
  9. Parviainen, A.; Niemela, M.; Pyrhonen, J. Modeling of axial flux permanent-magnet machines. IEEE Trans. Ind. Appl. 2004, 40, 1333–1340. [Google Scholar] [CrossRef]
  10. Chung, M.J.; Gweon, D.G. Modeling of the armature slotting effect in the magnetic field distribution of a linear permanent magnet motor. Electr. Eng. 2002, 84, 101–108. [Google Scholar] [CrossRef]
  11. Hanselman, D. Brushless Permanent Magnet Motor Design, 2nd ed.; The Writer’ Collective: Cranston, RI, USA, 2003. [Google Scholar]
  12. Azzouzi, J.; Barakat, G.; Dakyo, B. Quasi-3D analytical modeling of the magnetic field of an axial flux permanent-magnet synchronous machine. IEEE Trans. Energy Convers. 2005, 20, 746–752. [Google Scholar] [CrossRef]
  13. Ishak, D.; Zhu, Z.Q.; Howe, D. Permanent magnet brushless machines with unequal tooth widths and similar slot and pole numbers. IEEE Trans. Ind. Appl. 2005, 41, 584–590. [Google Scholar] [CrossRef]
  14. Yang, Y.P.; Ding, F.X. Driving-scenario oriented design of an axial-flux permanent-magnet synchronous motor for a pedal electric cycle. IET Electr. Power Appl. 2015, 9, 420–428. [Google Scholar] [CrossRef]
  15. Yang, Y.P.; Luh, Y.P.; Cheung, C.H. Design and control of axial-flux brushless DC wheel motors for electric vehicles—Part I: Multiobjective optimal design and analysis. IEEE Trans. Magn. 2004, 40, 1873–1882. [Google Scholar] [CrossRef]
Figure 1. (a) A schematic view of a four-wheel-drive electric passenger car; and (b) the half vehicle model.
Figure 1. (a) A schematic view of a four-wheel-drive electric passenger car; and (b) the half vehicle model.
Figure 2. Torque and speed (TN) curve requirement for one motor.
Figure 2. Torque and speed (TN) curve requirement for one motor.
Figure 3. Dimensionless TN curves without current limit.
Figure 3. Dimensionless TN curves without current limit.
Figure 4. Target TN curve, its corresponding DC and phase currents, and two boundaries of the TN curves.
Figure 4. Target TN curve, its corresponding DC and phase currents, and two boundaries of the TN curves.
Figure 5. (a) Geometry of stator and rotor; (b) geometry of quasi-3-dimensional (quasi-3D) magnetic circuit model; and (c) 2-dimensional (2D) cross-sectional view.
Figure 5. (a) Geometry of stator and rotor; (b) geometry of quasi-3-dimensional (quasi-3D) magnetic circuit model; and (c) 2-dimensional (2D) cross-sectional view.
Figure 6. (a) Comparison of the air-gap flux density distributions between the analytical and 2D finite element (FE) methods (s = 0°E); and (b) comparison of the flux linkage of phase A between the analytical and 2D FE methods.
Figure 6. (a) Comparison of the air-gap flux density distributions between the analytical and 2D finite element (FE) methods (s = 0°E); and (b) comparison of the flux linkage of phase A between the analytical and 2D FE methods.
Figure 7. (a) Flux density distribution from the 2D FE analysis; and (b) the dimensionless fringing-effect coefficient along the radial coordinate for various (RoRi).
Figure 7. (a) Flux density distribution from the 2D FE analysis; and (b) the dimensionless fringing-effect coefficient along the radial coordinate for various (RoRi).
Figure 8. (a) The target driving cycles; (b) the power loss; and (c) the distribution of the corresponding operating points on the TN map.
Figure 8. (a) The target driving cycles; (b) the power loss; and (c) the distribution of the corresponding operating points on the TN map.
Figure 9. (a) Exploded view of the axial-flux permanent-magnet (AFPM) motor assembly and the S-shaped water-cooling duct on housing; magnetic flux density distribution in (b) the stator, the rotor; and (c) the air gap at various radii.
Figure 9. (a) Exploded view of the axial-flux permanent-magnet (AFPM) motor assembly and the S-shaped water-cooling duct on housing; magnetic flux density distribution in (b) the stator, the rotor; and (c) the air gap at various radii.
Figure 10. (a) Torque versus phase current curves from the ideal model of Equation (15) and the FE analysis; (b) d-axis flux and q-axis flux linkages versus the phase current; and (c) the resulting TN curve using the FE method as compared to the required TN curve and the TN curve obtained using the magnetic circuit model.
Figure 10. (a) Torque versus phase current curves from the ideal model of Equation (15) and the FE analysis; (b) d-axis flux and q-axis flux linkages versus the phase current; and (c) the resulting TN curve using the FE method as compared to the required TN curve and the TN curve obtained using the magnetic circuit model.
Figure 11. (a) Efficiency map from the FE method; and (b) efficiency map difference between the FE and magnetic circuit models.
Figure 11. (a) Efficiency map from the FE method; and (b) efficiency map difference between the FE and magnetic circuit models.
Figure 12. (a) Temperature response of the AFPM motor at continuous operation; temperature distributions in (b) the stator; (c) the winding; and (d) the magnet at the steady-state.
Figure 12. (a) Temperature response of the AFPM motor at continuous operation; temperature distributions in (b) the stator; (c) the winding; and (d) the magnet at the steady-state.
Table 1. Vehicle parameters and motor specifications. DC: direct current.
Table 1. Vehicle parameters and motor specifications. DC: direct current.
Parameter (Unit)SymbolValue
Radius of wheels (m)r0.317
Vehicle mass (kg)m1800
Equivalent mass coefficientγ1.08
Gravitational acceleration (m/s2)g9.81
Rolling resistance factorfr0.013
Air mass density (kg/m3)ρ1.225
Aerodynamic coefficientCD0.28
Frontal area of the vehicle (m2)Af1.6
Gear ratioκ4:1
Maximum DC voltage (V)VDC380
Maximum motor output power (kW)Pm20.4
Table 2. Motor and drive parameters for the TN boundaries.
Table 2. Motor and drive parameters for the TN boundaries.
BoundaryTN1TN2
Ke (V/rad/s)Ke-max0.512Ke-min0.441
Rph (Ω)Rph-minε (0 < ε << 1)Rph-max0.641
ωmax (rpm)4094 (=ωc)4884
IDC-max (A)70.481.8
Iph-max (A)173.5201.4
ωp (rpm)ωp-max1918ωp-min631
ωq (rpm)ωq-max4094ωq-min3225
Tq (Nm)Tq147.58Tq260.40
Table 3. Design parameters.
Table 3. Design parameters.
ParameterSymbolParameterSymbol
Inner radiusRiSlot widthws
Outer radiusRoSlot heightds
Stator back iron thicknesshsbShoe heighths
Rotor back iron thicknesshrbSlot openingwso
Air-gap lengthgMagnet lengthlm
Number of slotsNsMagnet gapwpmg
Number of polesNmNo. of turnsN
Table 4. Multi-objective optimization results.
Table 4. Multi-objective optimization results.
Case12345
Weighing factorMotor weight (W)0.70.8500.80
ELFTP-750.10.051/300
NEDC0.10.051/300
JC080.10.051/300
Rated efficiency (ηr)0000.21
Number of slotsNs1818121818
Number of polesNm2020142020
Outer radius (mm)Ro108105103106116
Inner radius (mm)Ri5666475556
Magnet length (mm)lm4.56.95.86.66.8
Slot height (mm)ds16.2
Air-gap length (mm)g1
Shoe height (mm)hs3.04
Stator back iron thickness (mm)hsb6.3
Rotor back iron thickness (mm)hrb4
Slot width (mm)ws8.1
Magnet gap (mm)wpmg6
Slot opening (mm)wso4.05
Motor weight (kg)11.6010.9213.9211.8213.82
EL (kJ)796.72818.98763.08808.02898.83
Efficiency (%)93.2893.1493.1993.4093.45
Ke (V/rad/s)0.4850.4850.4850.4900.504
Lph (μH)208.71207.44288.33176.79127.57
Rph (ohm)0.04380.04440.04710.04300.0406
Zone ITmax (Nm)133.34133.23133.20134.63138.59
ωp (rpm)14911503154715551620
Zone IIPmax (kW)26.1026.1126.1726.5727.21
Rated torque @ 4094 rpm32.1832.1832.1932.3432.54
Zone IIIωmax (rpm)43204323432442784156
Table 5. Comparison of TN curve parameters.
Table 5. Comparison of TN curve parameters.
ModelIph-max (A)ωp (rpm)ωq (rpm)ωmax (rpm)Ke (V/rad/s)Lph (μH)
Magnetic circuit183.31491402343200.485208.71
FE195.51363401044280.473237.18
error+6.7%−8.6%−0.3%+2.5%−2.5%+13.6%
Table 6. Comparison of EL with different driving cycles. FEM: finite element model; MCM: magnetic circuit model.
Table 6. Comparison of EL with different driving cycles. FEM: finite element model; MCM: magnetic circuit model.
EL (kJ/cycle)Copper LossIron LossMagnet LossTotal
FTP-75FEM106.98255.5211.19373.69
MCM100.45294.00-394.45
NEDCFEM32.50184.448.66225.60
MCM30.63212.14-242.77
JC08FEM42.15103.914.10150.16
MCM39.66119.84-159.50

Share and Cite

MDPI and ACS Style

Yang, Y.P.; Shih, G.Y. Optimal Design of an Axial-Flux Permanent-Magnet Motor for an Electric Vehicle Based on Driving Scenarios. Energies 2016, 9, 285. https://doi.org/10.3390/en9040285

AMA Style

Yang YP, Shih GY. Optimal Design of an Axial-Flux Permanent-Magnet Motor for an Electric Vehicle Based on Driving Scenarios. Energies. 2016; 9(4):285. https://doi.org/10.3390/en9040285

Chicago/Turabian Style

Yang, Yee Pien, and Guan Yu Shih. 2016. "Optimal Design of an Axial-Flux Permanent-Magnet Motor for an Electric Vehicle Based on Driving Scenarios" Energies 9, no. 4: 285. https://doi.org/10.3390/en9040285

APA Style

Yang, Y. P., & Shih, G. Y. (2016). Optimal Design of an Axial-Flux Permanent-Magnet Motor for an Electric Vehicle Based on Driving Scenarios. Energies, 9(4), 285. https://doi.org/10.3390/en9040285

Note that from the first issue of 2016, this journal uses article numbers instead of page numbers. See further details here.

Article Metrics

Back to TopTop