Effect of Wind Turbine Blade Rotation on Triggering Lightning: An Experimental Study
Abstract
:1. Introduction
2. Test Description
2.1. Test System Arrangement
2.2. Experimental Set-Up
2.3. High-Voltage Electrode
2.4. Scaled Wind Turbine Model
2.4.1. Wind Turbine Blade
- (1)
- Receptor (Figure 3a): receptors are isolated metal points on the blade tip (3 mm diameter circular copper 1 cm from the tip of the blade);
- (2)
- Down conductor: a 2.5 mm diameter copper down conductor embedded in the blade to connect the receptor to the metallic wind turbine hub.
2.4.2. Power Transmission Module
2.4.3. Support Component
2.5. Selection of Applied Waveform
2.5.1. Thundercloud
2.5.2. Descending Leader
2.5.3. Calculation of Electric Field on the Receptor Surface
- Tower height: 90 m,
- Blade length: 40 m,
- Ground size: 500 m × 500 m × 1 m,
- Receptor diameter: 5 cm,
- Thundercloud height: 2 km.
2.6. Test Procedure
- w = 0 r/min, with the wind turbine in the stationary status and the blades located in three typical positions (θ = 0°, 30°, 60°), as shown in Figure 4.
- w = 250 r/min, with the wind turbine in the subsynchronous generation status, where the simulated natural wind speed is too low to generate power and the blades rotate at a medium speed.
- w = 450 r/min, with the wind turbine in the synchronous generation status and the model blades rotating at the rated speed.
3. Test Results
3.1. Test Data of Various Arrangements
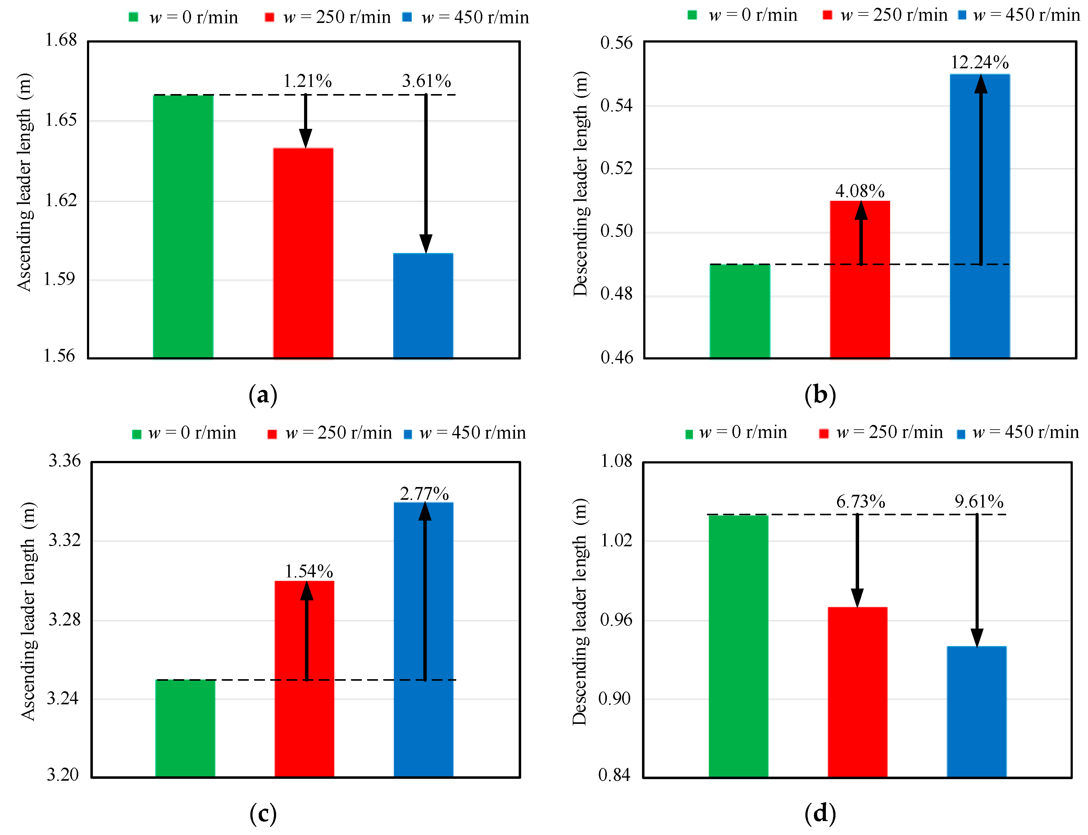
3.2. Influence of Wind Turbine Blade Rotation on the Characteristics of Atmospheric Discharges
3.3. Breakdown Path Characteristics
4. Physical Interpretation of the Blade Rotation Effect in the Lightning Discharge Process
4.1. Summary of the Test Results
4.2. Effect of Blade Rotation on the Lightning Discharge Process
5. Conclusions
- In the 2 m air gap test, with an increase in the blade rotation speed, the breakdown voltage between the blade tip and arching electrode presented a slightly increasing trend, and the connection points of leaders from the arching electrode and rotating blade moved slightly closer to the blade tip.
- In the 4 m air gap test, with an increase in the blade rotation speed, the breakdown voltage between the blade tip and arching electrode presented a slightly decreasing trend. Moreover, the ascending leader developed more adequately, and the connection points of leaders from the arching electrode and rotating blade moved slightly closer to the arching electrode.
- In the 4 m air gap test, the blade rotation altered the charge distribution on the blade tip region and favored the initiation of lightning, which is in agreement with observations at actual wind farms. However, for the 2 m air gap test, a small-scale test was insufficient for extrapolating the test results to practical cases because of the nonlinear discharge characteristics of long air gaps. To obtain more practical results, large-scale tests are warranted.
- It is reasonable to consider that there is a difference in the triggering of lightning depending on whether the blades are rotating. Numerical software methods must be applied to account for blade rotation for predicting possible attachment points on wind turbines.
Acknowledgments
Author Contributions
Conflicts of Interest
References
- Montanyà, J.; Fabró, F.; van der Velde, O.; March, V.; Williams, E.R.; Pineda, N.; Romero, D.; Solà, G.; Freijo, M. Global distribution of winter lightning: A threat to wind turbines and aircraft. Nat. Hazards Earth Syst. Sci. 2016, 16, 1465–1472. [Google Scholar] [CrossRef]
- Garolera, A.C.; Madsen, S.F.; Nissim, M.; Myers, J.; Holboell, J. Lightning Damage to Wind Turbine Blades From Wind Farms in U.S. IEEE Trans. Power Deliv. 2014, 31, 1043–1049. [Google Scholar] [CrossRef]
- Wada, A.; Yokoyama, S.; Hachiya, K.; Hirose, T. Observational results of lightning flashes on the Nikaho-Kogen wind farm in winter (2003–2004). In Proceedings of the XIV International Symposium on High Voltage Engineering, Beijing, China, 25–29 August 2005; p. 86.
- March, V. Upward lightning observations on a wind turbine and its implications to environmental factor for risk assessment. In Proceedings of the Asia-Pacific Conference Lightning Protection, Nagoya, Japan, 23–27 June 2015; pp. 31–35.
- Díaz, J.; Ocampo, G.; Chaves, S.; Román, F. Positive and Negative Point Discharge Corona Currents: Influence of Thunderstorm-like Wind Velocities. In Proceedings of the 2014 IEEE International Conference on Lightning Protection (ICLP), Shanghai, China, 11–18 October 2014; pp. 1552–1555.
- Bazelyan, E.M.; Raizer, Y.P.; Aleksandrov, N.L.; D’Alessandro, F. Corona processes and lightning attachment: The effect of wind during thunderstorms. Atmos. Res. 2009, 94, 436–447. [Google Scholar] [CrossRef]
- Rachidi, F.; Rubinstein, M.; Montanya, J.; Bermudez, J.L.; Sola, R.R.; Sola, G.; Korovkin, N. A Review of Current Issues in Lightning Protection of New-Generation Wind Turbine Blades. IEEE Trans. Ind. Electron. 2008, 55, 2489–2496. [Google Scholar] [CrossRef]
- Wang, Y.; Wen, X.; Lan, L.; An, Y.; Dai, M.; Gu, D.; Li, Z. Breakdown characteristics of long air gap with negative polarity switching impulse. IEEE Trans. Dielectr. Electr. Insul. 2014, 21, 603–611. [Google Scholar] [CrossRef]
- Taniguchi, S.; Okabe, S. A Contribution to the Investigation of the Shielding Effect of Transmission Line Conductors to Lightning Strikes. IEEE Trans. Dielectr. Electr. Insul. 2008, 15, 710–720. [Google Scholar] [CrossRef]
- Taniguchi, S.; Okabe, S.; Takahashi, T.; Shindo, T. Air-Gap Discharge Characteristics in Foggy Conditions Relevant to Lightning Shielding of Transmission Lines. IEEE Trans. Power Deliv. 2008, 23, 2409–2416. [Google Scholar] [CrossRef]
- Radičević, B.M.; Savić, M.S.; Badea, I. Impact of wind turbine blade rotation on the lightning strike incidence. In Proceedings of the 2012 IEEE International Conference on Lightning Protection (ICLP), Vienna, Austria, 2–7 September 2012; pp. 1–9.
- Radičević, B.M.; Savić, M.S.; Madsen, S.F.; Badea, I. Impact of wind turbine blade rotation on the lightning strike incidence—A theoretical and experimental study using a reduced-size model. Energy 2012, 45, 644–654. [Google Scholar] [CrossRef]
- Radičević, B.M.; Savić, M.S. Experimental Research on the Influence of Wind Turbine Blade Rotation on the Characteristics of Atmospheric Discharges. IEEE Trans. Energy Convers. 2011, 26, 1181–1190. [Google Scholar] [CrossRef]
- Montanyà, J.; van der Velde, O.; Williams, E.R. Lightning discharges produced by wind turbines. J. Geophys. Res. Atmos. 2014, 119, 1455–1462. [Google Scholar] [CrossRef]
- Wilson, N.; Myers, J.; Cummins, K.; Hutchinson, M.; Nag, A. Lightning attachment to wind turbines in central Kansas: Video observations, correlation with the NLDN and in-situ peak current measurements. In Proceedings of the European Wind Energy Association Annual Event, Vienna, Austria, 4–7 February 2013; pp. 1–8.
- Wang, D.; Takagi, N.; Watanabe, T.; Sakurano, H.; Hashimoto, M. Observed characteristics of upward leaders that are initiated from a windmill and its lightning protection tower. Geophys. Res. Lett. 2008, 35, 1–5. [Google Scholar] [CrossRef]
- International Electrotechnical Commission. Wind Turbines Part 24: Lightning Protection, 1st ed.; IEC 61400-24, International Standard; IEC: Geneva, Switzerland, 2010. [Google Scholar]
- Xie, S.J. Simulation Tests and Models of the Selection Process in Negative Cloud-to-Ground Lightning Flash. Ph.D. Thesis, Huazhong University of Science & Technology, Wuhan, China, 2013. [Google Scholar]
- Li, Z.; Zeng, R.; Yu, Z.; Chen, S.; Liao, Y.; Li, R. Research on the upward leader emerging from transmission line by laboratory experiments. Electr. Power Syst. Res. 2013, 94, 64–70. [Google Scholar] [CrossRef]
- Becerra, M.; Cooray, V. A Simplified Physical Model to Determine the Lightning Upward Connecting Leader Inception. IEEE Trans. Power Deliv. 2006, 21, 897–908. [Google Scholar] [CrossRef]
- Uman, M.A. The Lightning Discharge; Academic Press: San Diego, CA, USA, 1987; pp. 58–66. [Google Scholar]
- International Electrotechnical Commission. High-Voltage Test Techniques—Part 1: General Definitions and Test Requirements, 3rd ed.; IEC 60060-1; IEC: Geneva, Switzerland, 2010. [Google Scholar]
- Yokoyama, S. Lightning protection of wind turbine blades. Electr. Power Syst. Res. 2013, 94, 3–9. [Google Scholar] [CrossRef]
- Aleksandrov, N.L.; Bazelyan, E.M.; Drabkin, M.M.; Carpenter, R.B., Jr.; Raizer, Y.P. Corona Discharge at the Tip of a Tall Object in the Electric Field of a Thundercloud. Plasma Phys. Rep. 2002, 28, 1032–1045. [Google Scholar] [CrossRef]










| Se (kV/m/μs) | |
|---|---|
| Natural Lightning | 22.11 |
| 1.2/50 μs | 4942 |
| 80/2500 μs | 74.13 |
| 250/2500 μs | 23.72 |
| 1000/2500 μs | 5.93 |
| Gap Length | Blade Status | δ | U50% (kV) | σU50% (%) | Tf (μs) | σTf (%) | |
|---|---|---|---|---|---|---|---|
| 2 m | static | θ = 0° | 1.049 | 907.55 | 3.34 | 179.71 | 11.24 |
| θ = 30° | 1.087 | 942.91 | 4.14 | 183.50 | 12.88 | ||
| θ = 60° | 1.070 | 977.78 | 4.92 | 163.73 | 16.35 | ||
| w = 0 (average) | 1.022 | 942.75 | 4.14 | 175.65 | 13.49 | ||
| rotatory | w = 250 r/min | 1.035 | 968.76 | 3.95 | 178.69 | 26.92 | |
| w = 450 r/min | 1.049 | 992.78 | 5.59 | 167.86 | 29.61 | ||
| 4 m | static | θ = 0° | 1.020 | 1594.42 | 5.27 | 149.00 | 10.74 |
| θ = 30° | 1.012 | 1607.42 | 5.07 | 156.20 | 9.63 | ||
| θ = 60° | 1.013 | 1710.06 | 3.75 | 166.93 | 29.21 | ||
| w = 0 (average) | 1.015 | 1637.30 | 4.70 | 157.38 | 16.53 | ||
| rotatory | w = 250 r/min | 1.009 | 1620.33 | 5.00 | 157.88 | 9.51 | |
| w = 450 r/min | 1.006 | 1593.53 | 4.73 | 163.60 | 26.49 | ||
| Gap Length | ||||
|---|---|---|---|---|
| (p.u) | (p.u) | (p.u) | (p.u) | |
| 2 m | 1.0276 | 1.0531 | 1.0173 | 0.9556 |
| 4 m | 0.9859 | 0.9725 | 1.0032 | 1.0395 |
| Gap Length | Blade Status | Descending Leader Length (m) | Ascending Leader Length (m) | Descending/Ascending Leader Length Ratio (%) | |
|---|---|---|---|---|---|
| 2 m | static | θ = 0° | 0.54 | 1.63 | 32.7 |
| θ = 30° | 0.51 | 1.62 | 31.1 | ||
| θ = 60° | 0.41 | 1.73 | 24 | ||
| w = 0 (average) | 0.49 | 1.66 | 29.17 | ||
| rotatory | w = 250 r/min | 0.51 | 1.64 | 30.94 | |
| w = 450 r/min | 0.55 | 1.60 | 34.16 | ||
| 4 m | static | θ = 0° | 1.01 | 3.33 | 30.33 |
| θ = 30° | 1.04 | 3.26 | 31.90 | ||
| θ = 60° | 1.08 | 3.17 | 34.07 | ||
| w = 0 (average) | 1.04 | 3.25 | 32.00 | ||
| rotatory | w = 250 r/min | 0.97 | 3.30 | 29.39 | |
| w = 450 r/min | 0.94 | 3.34 | 28.14 | ||
© 2016 by the authors; licensee MDPI, Basel, Switzerland. This article is an open access article distributed under the terms and conditions of the Creative Commons Attribution (CC-BY) license (http://creativecommons.org/licenses/by/4.0/).
Share and Cite
Wen, X.; Qu, L.; Wang, Y.; Chen, X.; Lan, L.; Si, T.; Xu, J. Effect of Wind Turbine Blade Rotation on Triggering Lightning: An Experimental Study. Energies 2016, 9, 1029. https://doi.org/10.3390/en9121029
Wen X, Qu L, Wang Y, Chen X, Lan L, Si T, Xu J. Effect of Wind Turbine Blade Rotation on Triggering Lightning: An Experimental Study. Energies. 2016; 9(12):1029. https://doi.org/10.3390/en9121029
Chicago/Turabian StyleWen, Xishan, Lu Qu, Yu Wang, Xiaoyue Chen, Lei Lan, Tianjun Si, and Jianwei Xu. 2016. "Effect of Wind Turbine Blade Rotation on Triggering Lightning: An Experimental Study" Energies 9, no. 12: 1029. https://doi.org/10.3390/en9121029
APA StyleWen, X., Qu, L., Wang, Y., Chen, X., Lan, L., Si, T., & Xu, J. (2016). Effect of Wind Turbine Blade Rotation on Triggering Lightning: An Experimental Study. Energies, 9(12), 1029. https://doi.org/10.3390/en9121029

