Determination of Optimized Parameters for the Flexible Operation of a Biomass-Fueled, Microscale Externally Fired Gas Turbine (EFGT)
Abstract
:1. Introduction
2. Methodology
2.1. System Design
2.2. Combustion Model
2.3. Thermodynamic Cycle Model
3. Results and Discussion
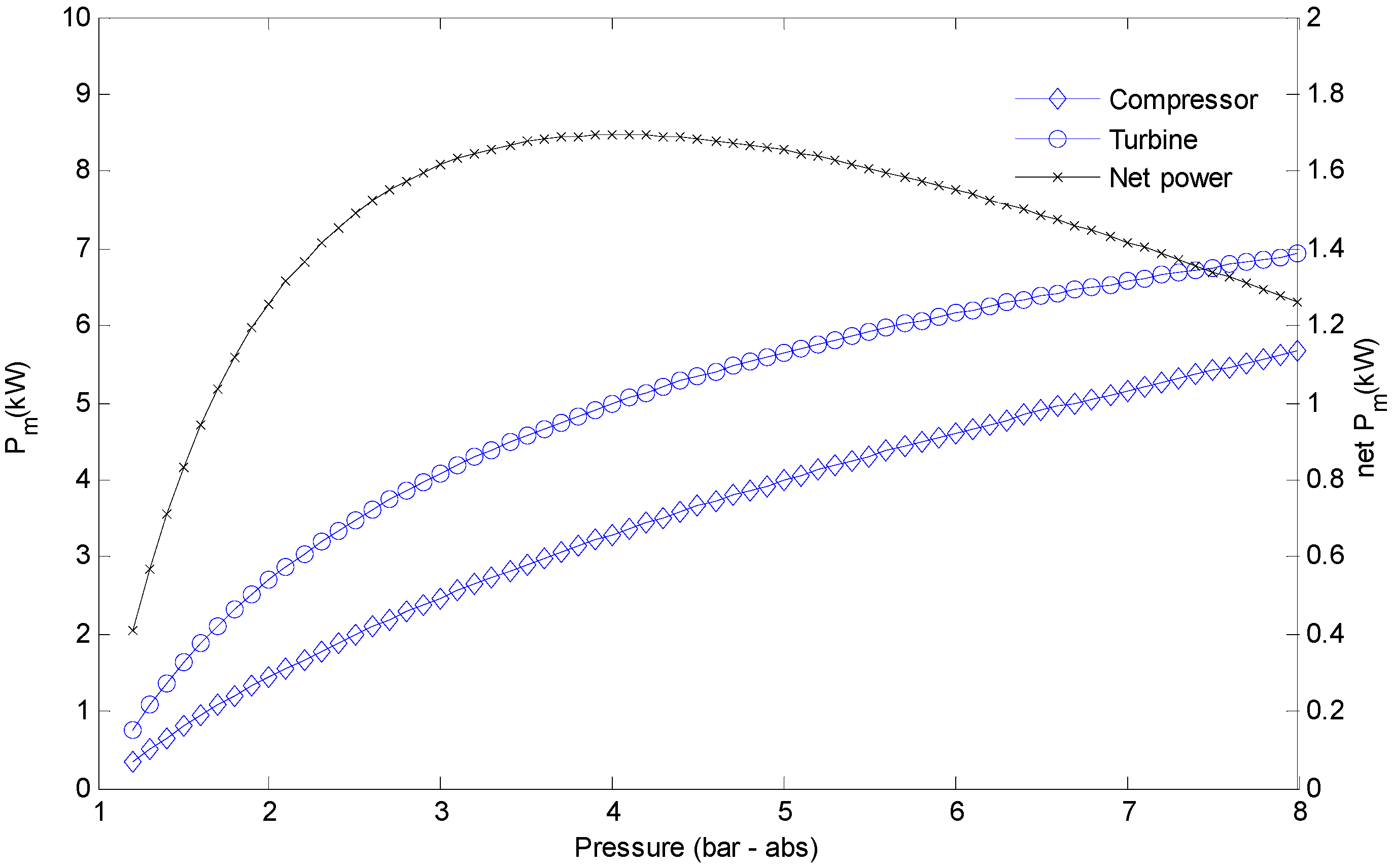
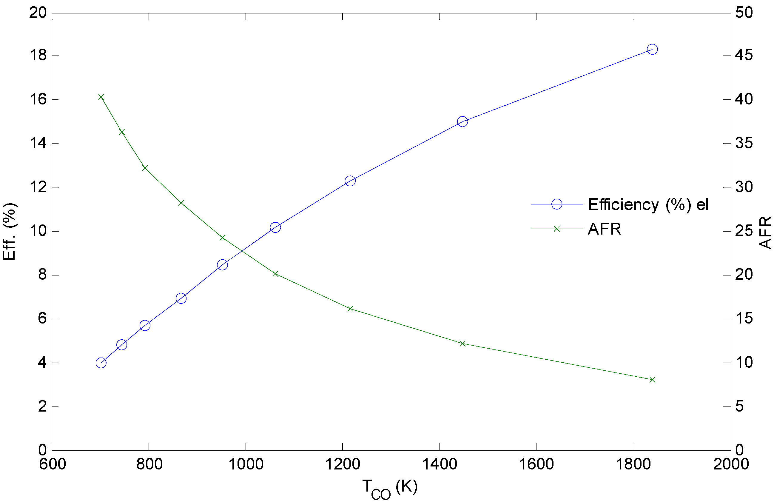
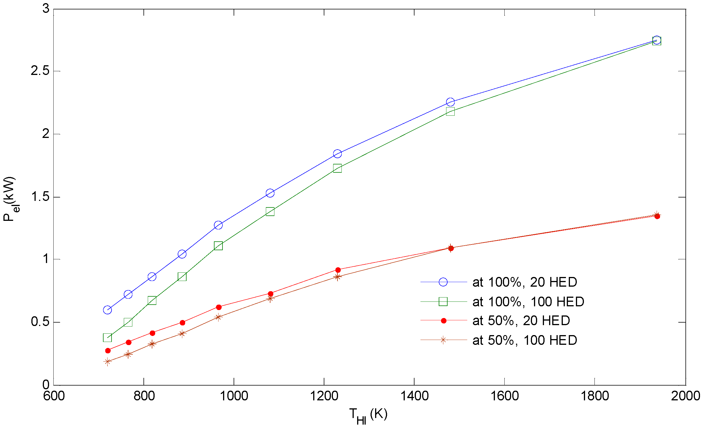
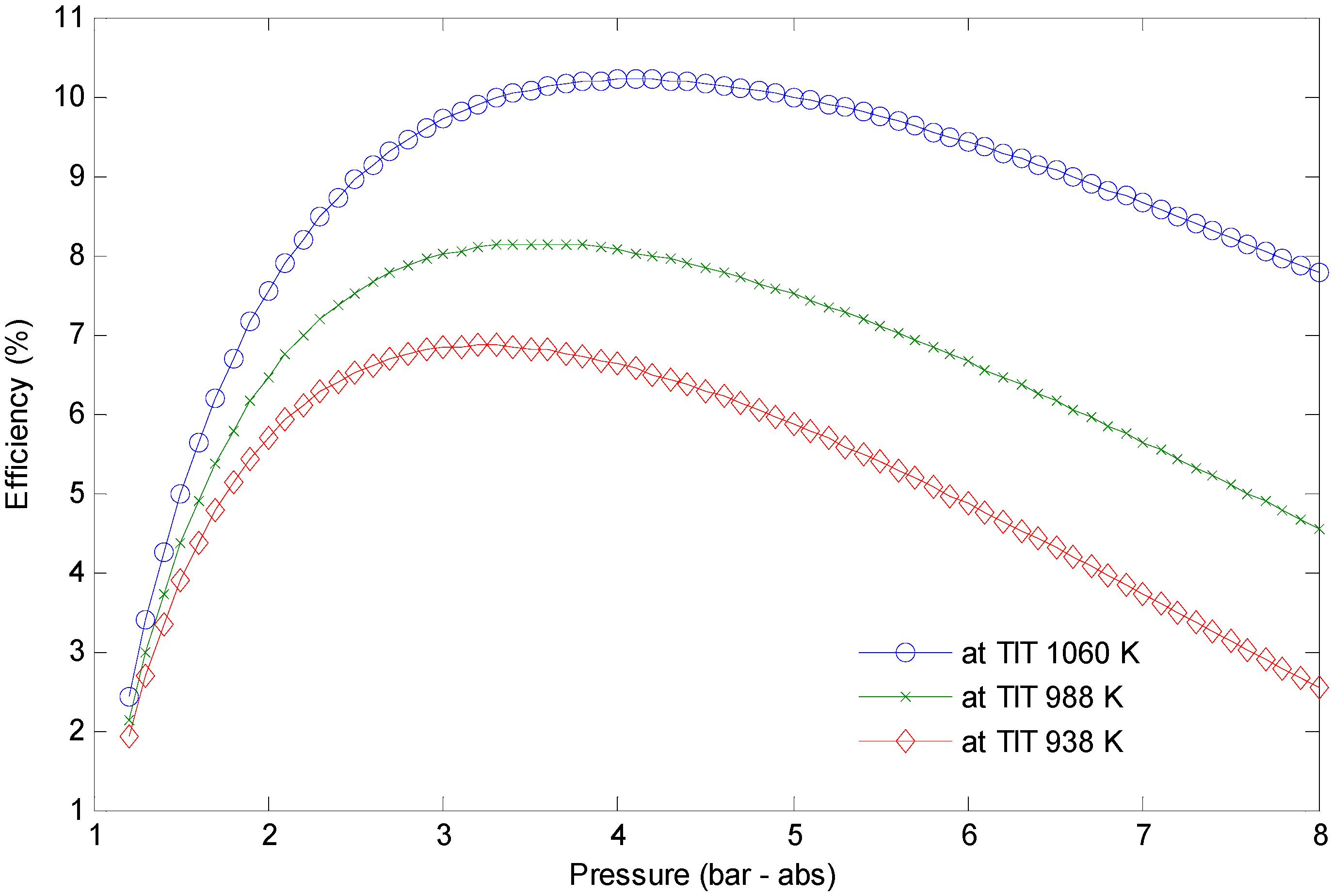
3.1. Technical Evaluation
3.2. Cost Estimation
4. Conclusions
Acknowledgments
Author Contributions
Conflicts of Interest
Abbreviations
| AFR | Air to fuel ratio |
| BWR | Back work ratio |
| C | Capital cost |
| CHP | Combined Heat and Power |
| EFGT | Externally fired Gas Turbine |
| HE | Heat Exchanger |
| HED | Heat exchanger terminals temperature difference (THI–TCO) |
| HHV | Higher heating value |
| HIL | Hardware-in-the-Loop |
| k | The ratio of the specific heats |
| Air mass flow for enters the compressor | |
| ORC | Organic Rankine Cycle |
| p | Pressure (absolute) |
| T | Temperature |
| TIT | Turbine inlet temperature (or stated as TCO) |
| U | Blade speed |
| V | Axial flow speed |
| w | Specific work |
| C | Cold stream |
| el | Electrical |
| H | Hot stream |
| i | Input |
| m | mechanical |
| o | Output |
| th | Thermal |
References
- Khalsa, J.; Döhling, F.; Berger, F. Foliage and grass as fuel pellets-small scale combustion of washed and mechanically leached biomass. Energies 2016, 9, 361. [Google Scholar] [CrossRef]
- Christoforou, E.; Fokaides, P.A. A review of olive mill solid wastes to energy utilization techniques. Waste Manag. 2016, 4, 346–363. [Google Scholar] [CrossRef] [PubMed]
- Pagnanelli, F.; Toro, L.; Vegliò, F. Olive mill solid residues as heavy metal sorbent material: A preliminary study. Waste Manag. 2002, 22, 901–907. [Google Scholar] [CrossRef]
- International Olive Council. World Table Olive Figures. Available online: http://www.internationaloliveoil.org/estaticos/view/132-world-table-olive-figures (accessed on 7 July 2016).
- Pantaleo, A.; Pellerano, A.; Carone, M. Olive residues to energy chains in the Apulia region. Part I. Biomass potentials and costs. J. Agric. Eng. 2009, 1, 1–11. [Google Scholar] [CrossRef]
- Azbar, N.; Bayram, A.; Filibeli, A.; Muezzinoglu, A.; Sengul, F.; Ozer, A. A Review of Waste Management Options in Olive Oil Production. Crit. Rev. Environ. Sci. Technol. 2004, 34, 209–247. [Google Scholar] [CrossRef]
- Caputo, A.C.; Scacchia, F.; Pelagagge, P.M. Disposal of by-products in olive oil industry: Waste-to-energy solutions. Appl. Therm. Eng. 2003, 23, 197–214. [Google Scholar] [CrossRef]
- Toscano, P.; Montemurro, F. Olive Mill By-Products Management. In Olive Germplasm-The Olive Cultivation, Table Olive and Olive Oil Industry in Italy; Muzzalupo, I., Ed.; InTech: New York, NY, USA, 2012. [Google Scholar]
- Annual Report. Ministry of Agriculture Jordan. Available online: http://www.moa.gov.jo/ar-jo/agriinformationar.aspx (accessed on 2 August 2016).
- Jordan Biogas Company. Available online: http://www.jordanbiogas.com/about.html (accessed on 2 August 2016).
- Garcı́a-Ibañez, P.; Cabanillas, A.; Sánchez, J.M. Gasification of leached orujillo (olive oil waste) in a pilot plant circulating fluidised bed reactor. Preliminary results. Biomass Bioenergy 2004, 27, 183–194. [Google Scholar] [CrossRef]
- Dahlquist, E. Technologies for Converting Biomass to Useful Energy; CRC Press: Boca Raton, FL, USA, 2013. [Google Scholar]
- Karl, J. Dezentrale Energiesysteme: Neue Technologien im Liberalisierten Energiemarkt; Oldenbourg: München, Germany, 2006. [Google Scholar]
- Link, S.; Arvelakis, S.; Paist, A.; Martin, A.; Liliedahl, T.; Sjöström, K. Atmospheric fluidized bed gasification of untreated and leached olive residue, and co-gasification of olive residue, reed, pine pellets and Douglas fir wood chips. Appl. Energy 2012, 94, 89–97. [Google Scholar] [CrossRef]
- Al-attab, K.A.; Zainal, Z.A. Externally fired gas turbine technology: A review. Appl. Energy 2015, 138, 474–487. [Google Scholar] [CrossRef]
- Traverso, A.; Massardo, A.F.; Scarpellini, R. Externally Fired micro-Gas Turbine: Modelling and experimental performance. Appl. Therm. Eng. 2006, 26, 1935–1941. [Google Scholar] [CrossRef]
- Datta, A.; Ganguly, R.; Sarkar, L. Energy and exergy analyses of an externally fired gas turbine (EFGT) cycle integrated with biomass gasifier for distributed power generation. Energy 2010, 35, 341–350. [Google Scholar] [CrossRef]
- Cordiner, S.; Mulone, V. Biomass Energy Conversion in EFGT (Externally Fired Gas Turbine): An Experimental-Numerical Analysis; American Society of Agricultural and Biological Engineers: St. Joseph, MI, USA, 2012. [Google Scholar]
- Cocco, D.; Deiana, P.; Cau, G. Performance evaluation of small size externally fired gas turbine (EFGT) power plants integrated with direct biomass dryers. Energy 2006, 31, 1459–1471. [Google Scholar] [CrossRef]
- Soltani, S.; Mahmoudi, S.M.S.; Yari, M.; Rosen, M.A. Thermodynamic analyses of an externally fired gas turbine combined cycle integrated with a biomass gasification plant. Energy Convers. Manag. 2013, 70, 107–115. [Google Scholar] [CrossRef]
- Pantaleo, A.M.; Camporeale, S.M.; Shah, N. Thermo-economic assessment of externally fired micro-gas turbine fired by natural gas and biomass: Applications in Italy. Energy Convers. Manag. 2013, 75, 202–213. [Google Scholar] [CrossRef]
- Kautz, M.; Hansen, U. The externally-fired gas-turbine (EFGT-Cycle) for decentralized use of biomass. Appl. Energy 2007, 84, 795–805. [Google Scholar] [CrossRef]
- Al-attab, K.A.; Zainal, Z.A. Turbine startup methods for externally fired micro gas turbine (EFMGT) system using biomass fuels. Appl. Energy 2010, 87, 1336–1341. [Google Scholar] [CrossRef]
- Loeser, M.; Redfem, M. Micro-Scale Biomass Generation Plant Technology: Stand-Alone Designs for Remote Customers. In Proceedings of the 16th Eoropean Biomass Conference and Exhibition, Valencia, Spain, 2–6 June 2008.
- Lu, F.; Wang, Y.; Huang, J.; Huang, Y. Gas Turbine Transient Performance Tracking Using Data Fusion Based on an Adaptive Particle Filter. Energies 2015, 8, 13911–13927. [Google Scholar] [CrossRef]
- Anheden, M. Analysis of Gas Turbine Systems for Sustainable Energy Conversion. Ph.D. Thesis, The Royal Institute of Technolgoy (KTH), Stockholm, Sweden, 2000. [Google Scholar]
- Vera, D.; Jurado, F.; Margaritis, N.K.; Grammelis, P. Experimental and economic study of a gasification plant fuelled with olive industry wastes. Energy Sustain. Dev. 2014, 23, 247–257. [Google Scholar] [CrossRef]
- Vera, D.; Jurado, F.; Carpio, J. Study of a downdraft gasifier and externally fired gas turbine for olive industry wastes. Fuel Process. Technol. 2011, 92, 1970–1979. [Google Scholar] [CrossRef]
- Vera, D.; Juradoa, F.; de Menab, B.; Schoriesb, G. Comparison between externally fired gas turbine and gasifier-gas turbine system for the olive oil industry. Energy 2011, 36, 6720–6730. [Google Scholar] [CrossRef]
- Schmid, M. Dezentrale Stromerzeugung Mit Feststoffbiomasse; Ökozentrum Langenbruck: Langenbruck, Switzerland, 2007. [Google Scholar]
- Vidal, A.; Bruno, J.C.; Best, R.; Coronas, A. Performance characteristics and modelling of a micro gas turbine for their integration with thermally activated cooling technologies. Int. J. Energy Res. 2007, 31, 119–134. [Google Scholar] [CrossRef]
- Pilavachi, P.A. Mini- and micro-gas turbines for combined heat and power. Appl. Therm. Eng. 2002, 22, 2003–2014. [Google Scholar] [CrossRef]
- Do Nascimento, M.A.R.; de Oliveira Rodrigues, L.; dos Santos, E.C.; Gomes, E.E.B.; Dias, F.L.G.; Velásques, E.I.G.; Carrillo, R.A.M. Micro Gas Turbine Engine: A Review. In Progress in Gas Turbine Performance; Benini, E., Ed.; InTech: New York, NY, USA, 2013. [Google Scholar]
- Costamagna, P.; Magistri, L.; Massardo, A.F. Design and part-load performance of a hybrid system based on a solid oxide fuel cell reactor and a micro gas turbine. J. Power Sour. 2001, 96, 352–368. [Google Scholar] [CrossRef]
- Biomass Combustion Gas Turbine Chp. Available online: http://collection.europarchive.org/tna/20000607122935/http:/www.berr.gov.uk/files/file14922.pdf (accessed on 2 August 2016).
- Biomass Fuelled Indirect Fired Micro Turbine. Available online: http://ukerc.rl.ac.uk/pdf/DTI_BT1008090000_file14923.pdf (accessed on 2 August 2016).
- BM/367/92-BE Project. In A Fluidized Bed Air Biomass Gasification CHP Plant with An Externally Fired Evaporative Gas Turbine Cycle; Vrije Universiteit Brussel: Brussel, Belgium, 1992.
- Al-attab, K.A.; Zainal, Z.A. Performance of high-temperature heat exchangers in biomass fuel powered externally fired gas turbine systems. Renew. Energy 2010, 35, 913–920. [Google Scholar] [CrossRef]
- De Mello, P.E.B.; Monteiro, D.B. Thermodynamic study of an EFGT (externally fired gas turbine) cycle with one detailed model for the ceramic heat exchanger. Energy 2012, 45, 497–502. [Google Scholar] [CrossRef]
- Moran, M.J. Fundamentals of Engineering Thermodynamics, 7th ed.; Wiley: Hoboken, NJ, USA, 2011. [Google Scholar]
- Borgnakke, C. Fundamentals of Thermodynamics, 8th ed.; Wiley: Hoboken, NJ, USA, 2013. [Google Scholar]
- Aquaro, D.; Pieve, M. High temperature heat exchangers for power plants: Performance of advanced metallic recuperators. Appl. Therm. Eng. 2007, 27, 389–400. [Google Scholar] [CrossRef]
- Cordiner, S.; Mulone, V. Experimental—Numerical analysis of a biomass fueled microgeneration power-plant based on microturbine. Appl. Therm. Eng. 2014, 71, 905–912. [Google Scholar] [CrossRef]
- Ilett, T.; Lawn, C.J. Thermodynamic and economic analysis of advanced and externally fired gas turbine cycles. Proc. Inst. Mech. Eng. A J. Power Energy 2010, 224, 901–915. [Google Scholar] [CrossRef]
- Aspen Plus. Getting Started Modeling Processes with Solids. Available online: http://docs.chejunkie.com/wp-content/uploads/sites/2/2014/11/AspenPlusSolidsV8_4-Start.pdf (accessed on 18 April 2016).
- Korpela, S.A. Principles of Turbomachinery; Wiley: Hoboken, NJ, USA, 2011. [Google Scholar]
- Jenkins, B.M. A comment on the optimal sizing of a biomass utilization facility under constant and variable cost scaling. Biomass Bioenergy 1997, 13, 1–9. [Google Scholar] [CrossRef]












| Chemical Component | Spanish Sample, [11] | Jordanian Sample, Own Research |
|---|---|---|
| Proximate analysis (as received) | ||
| Fixed carbon (%, mass based) | 15.6 | 16.25 |
| Volatile matter (%, mass based) | 67.5 | 72.2 |
| Ash (%, mass based) | 7.7 | 4.98 |
| Water content (%, mass based) | 8.9 | 6.55 |
| Total (%, mass based) | 99.7 | 99.98 |
| Ultimate analysis (dry, ash-free) | ||
| Carbon (%, mass based) | 52.7 | 52.5 |
| Hydrogen (%, mass based) | 7.2 | 7.02 |
| Oxygen (%, mass based) | 38.1 | 39.39 |
| Nitrogen (%, mass based) | 1.6 | 0.86 |
| Sulfur (%, mass based) | 0.07 | 0.23 |
| Total (%, mass based) | 99.67 | 100 |
| Higher Heating value (HHV) (MJ/kg) | 19.9 | 21.66 |
| Reference | TIT (K) | Pressure Ratio | Fuel | Power | Efficiency | HED | RPM |
|---|---|---|---|---|---|---|---|
| Z. A. Zainal et al. [15] and original research is in [35,36] | 1073 | 4.5 | Biomass | 50 kWel | 15% elect. | n.a | n.a |
| Z. A. Zainal et al. [15] and original research is in [37] | 1073 | n.a | Biomass | 500 kWel | 14% elect. | n.a | n.a |
| Traverso et al. [16] | 1023 | n.a | n.a | 15-50 kWel | n.a | n.a | 68,000 |
| Pantaleo et al. [21] | 1173 max | n.a | Biomass | 66 kWel | 19% elect. | n.a | n.a |
| Kautz and Hansen [22] | 1173 | 2–8 | Biomass (gasification) | 100 kWel | 16% and 30% with recuperator | 10–150 | n.a |
| Z. A. Zainal et al. [38] | 967 | n.a | Biomass (gasifier) | 57 kWth transferred by the HE | n.a | n.a | n.a |
| Cocco et al. [19] | 1223 | 3.5 | Biomass | 100 kWel | 22%–33% using drier | 50–200 | n.a |
| Vera et al. [29] | 2–6 | Olive tree prunings and leaves | 30 kWel | 19.1% elect. | 50–200 | n.a | |
| Detta et al. [17] | 1050–1350 K | 2–8 | Biomass (gasifier) | 100 kW | 16%–34% thermal | 200–300 | n.a |
| De Mello and Monterio [39] | 1223 | 4.5 | Biomass | 100 kWel | 20%–30% elect. | n.a | n.a |
| Components | Yield (Mass %) |
|---|---|
| N2 | 0.00756945 |
| O2 | 0.34847505 |
| H2O | 0.0655 |
| C | 0.4644465 |
| S | 0.0020559 |
| H2 | 0.06214425 |
| Ash | 0.04980885 |
| Total | 1 |
| General Parameters | |
|---|---|
| Ambient temperature | 300 K |
| Operating pressure | 4 bar |
| Air1 | 0.017 kg/s (for reference case) |
| Thermal power input | 15 kW |
| Compressor isentropic efficiency | 0.78 (approximated from [22]) |
| Turbine isentropic efficiency | 0.82 (approximated from [22]) |
| Electrical generator efficiency | 0.90 [29] |
| Temperature of HE terminals diff. (HED) | (20 K for reference case) |
| Stream Name (see Figure 2) | Fuel | Stream HO | Stream CI | Stream CO |
|---|---|---|---|---|
| Total mass flow (kg/s) | 0.74331 × 10−3 | 0.015706 | 0.0170 | 0.0170 |
| Temperature (K) | 298 | 491 | 490 | 1062 |
| Pressure (bar) | 1 | 0.99993 | 4 | 3.99995 |
© 2016 by the authors; licensee MDPI, Basel, Switzerland. This article is an open access article distributed under the terms and conditions of the Creative Commons Attribution (CC-BY) license (http://creativecommons.org/licenses/by/4.0/).
Share and Cite
Bdour, M.; Al-Addous, M.; Nelles, M.; Ortwein, A. Determination of Optimized Parameters for the Flexible Operation of a Biomass-Fueled, Microscale Externally Fired Gas Turbine (EFGT). Energies 2016, 9, 856. https://doi.org/10.3390/en9100856
Bdour M, Al-Addous M, Nelles M, Ortwein A. Determination of Optimized Parameters for the Flexible Operation of a Biomass-Fueled, Microscale Externally Fired Gas Turbine (EFGT). Energies. 2016; 9(10):856. https://doi.org/10.3390/en9100856
Chicago/Turabian StyleBdour, Mathhar, Mohammad Al-Addous, Michael Nelles, and Andreas Ortwein. 2016. "Determination of Optimized Parameters for the Flexible Operation of a Biomass-Fueled, Microscale Externally Fired Gas Turbine (EFGT)" Energies 9, no. 10: 856. https://doi.org/10.3390/en9100856
APA StyleBdour, M., Al-Addous, M., Nelles, M., & Ortwein, A. (2016). Determination of Optimized Parameters for the Flexible Operation of a Biomass-Fueled, Microscale Externally Fired Gas Turbine (EFGT). Energies, 9(10), 856. https://doi.org/10.3390/en9100856

