Performance Analysis of a MCFC/MGT Hybrid Power System Bi-Fueled by City Gas and Biogas
Abstract
:1. Introduction
2. Numerical Modeling and Experimental System
2.1. Molten Carbonate Fuel Cell Model

- (1)
- The cells in the module are similar to each other;
- (2)
- The boundaries for each cell are adiabatic;
- (3)
- The anode, cathode, and electrolyte layers are considered as one layer during thermal analysis.
| Items | Value | Unit |
|---|---|---|
| 9.84 × 10−3 | ohm·cm2 | |
| 23.80 | kJ·mol−1 | |
| 9.50 × 10−7 | ohm·cm2·atm0.5·K−1 | |
| 27.90 | kJ·mol−1 | |
| 6.91 × 10−15 | ohm·cm2·atm0.5·K−1 | |
| 179.20 | kJ·mol−1 | |
| 3.75 × 10−9 | ohm·cm2·K−1 | |
| 67.10 | kJ·mol−1 | |
| 1.07 × 10−6 | ohm·cm2 | |
| 95.20 | kJ·mol−1 |
| Species | a | b | c |
|---|---|---|---|
| CH4 | −8.73653 | 0.025966 | 2.20 × 10−5 |
| C2H6 | −9.12764 | 0.016874 | 6.06 × 10−5 |
| C3H8 | −12.5028 | 0.0209687 | 9.08 × 10−5 |
| C4H10 | −17.1319 | 0.0308405 | 1.17 × 10−4 |
| H2 | −7.65941 | 0.0276503 | 1.43 × 10−6 |
| CO | −7.68459 | 0.0273887 | 2.73 × 10−6 |
| H2O | −8.77673 | 0.0309842 | 4.20 × 10−6 |
| CO2 | −10.7092 | 0.0370774 | 7.79 × 10−6 |
| O2 | −8.00066 | 0.0284986 | 2.90 × 10−6 |
| N2 | −7.6341 | 0.0272345 | 2.61 × 10−6 |
2.2. Steam Reformer Model

2.3. Catalytic Combustor Model

2.4. Experimental System

| MCFC Stack | 2 Stacks |
|---|---|
| Operation pressure (MPa) | 0.335 |
| Cell Voltage (V) | 0.726 |
| Current Density (mA·cm2) | 158 |
| Stack temperature (°C) | 580/670 |
| MCFC power (kW) | 300 |
| MGT power (kW) | 50 |
3. Results and Discussion
3.1. Model Verification

| City Gas (13A) | Biogas | ||||
|---|---|---|---|---|---|
| Species | Fraction | Heat Value | Species | Fraction | Heat Value |
| (%) | (kJ·mol−1) | (%) | (kJ·mol−1) | ||
| CH4 | 88.0 | 802.3 | CH4 | 0.5 | 802.3 |
| C2H6 | 6.0 | 1428 | N2 | 48.2 | - |
| C3H8 | 4.0 | 2043 | CO2 | 17.8 | - |
| C4H10 | 2.0 | 2658 | CO | 21.6 | 283.0 |
| - | - | - | H2 | 11.9 | 241.8 |
| Sum | 100.0 | 926.8 | - | 100.0 | 93.9 |
| Biogas Flow | Items | Power | Cathode Temperature | ||
|---|---|---|---|---|---|
| MCFC | MGT | Inlet | Outlet | ||
| Nm3·h−1 | kW | kW | °C | °C | |
| 10 | Experiment | 148.4 | 21.66 | 579.9 | 629 |
| Calculation | 146.3 | 21.6 | 578 | 626 | |
| Difference (%) | 1.5 | 0.4 | 0.3 | 0.48 | |
| 20 | Experiment | 148.3 | 21.5 | 580.1 | 638.6 |
| Calculation | 147.5 | 21.8 | 578.1 | 628.1 | |
| Difference (%) | 0.5 | 1.3 | 3.5 | 1.6 | |
3.2. Effect of City Gas and Biogas Bi-Fuel





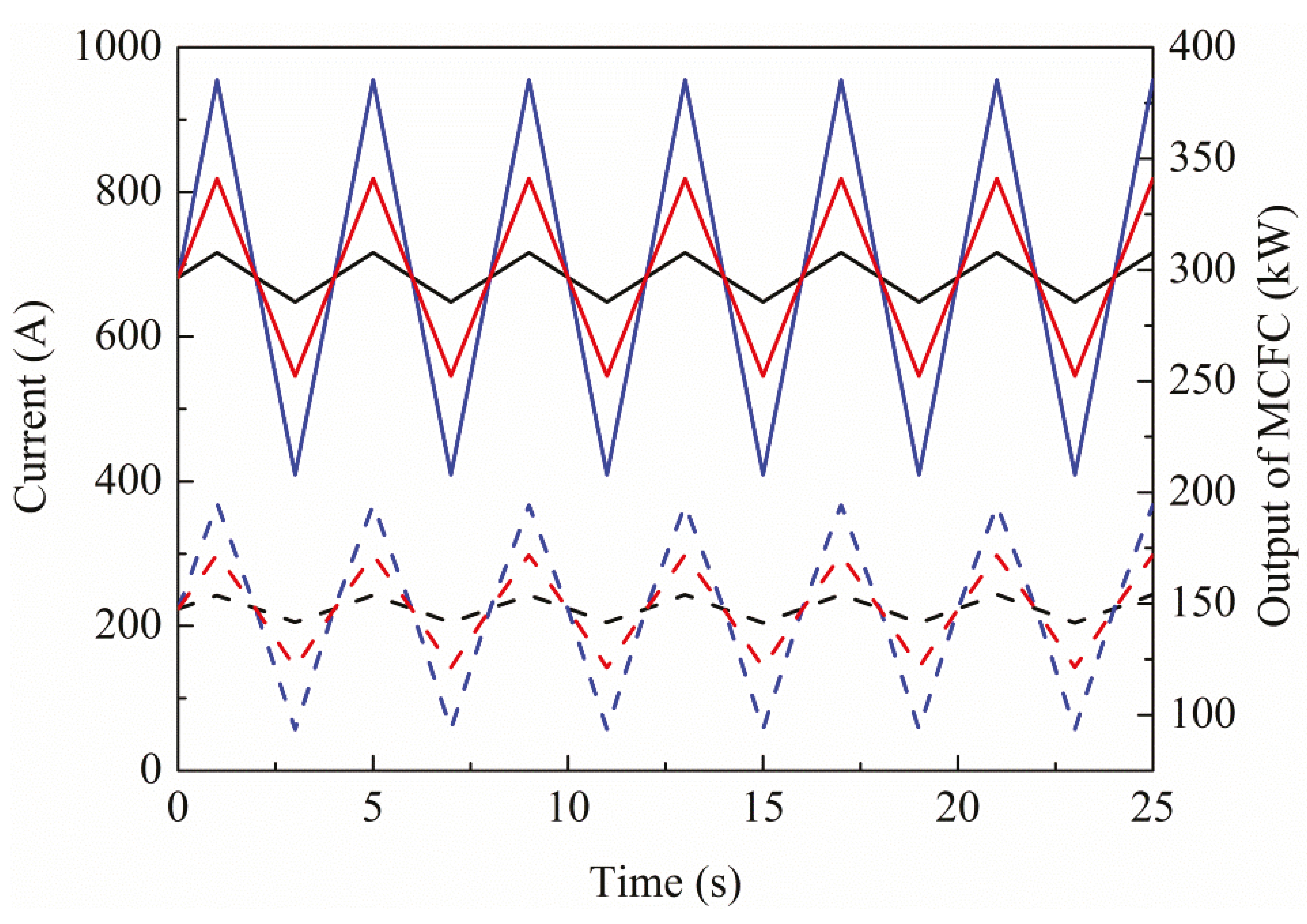
3.3. System Response Analysis


4. Conclusions
- (1)
- The MCFC, steam reformer, and catalytic combustor models are in good agreement with the experimental results fueled by city gas only or bi-fueled by city gas and biogas.
- (2)
- The MFCF/MGT hybrid power system can be operated stably with added biogas flow rate up to 150.0 Nm3·h−1, which is about 50% of the overall input heat value with high overall power generation efficiency ranging from 39.0% to 42.0%.
- (3)
- The MCFC/MGT hybrid power system can be operated stably both at low amplitude with slow current change speeds and large amplitude with rapid power demand conditions.
- (4)
- The MCFC/MGT hybrid system bi-fueled by city gas and biogas is applicable in providing energy for the micro–grid network with wide amplitude.
Author Contributions
Conflicts of Interest
Nomenclature
| A | heat transfer area (m2) |
| Aa | the frequency factor of anode (ohm·cm2·atm0.5·k−1) |
| Ac | the frequency factor of cathode (ohm·cm2·atm0.5·k−1) |
| Air | the frequency factor of internal resistance on electrolyte (ohm·cm2) |
| catw | catalyst weight (kg) |
the mole flow of electrons (kmol·h−1) | |
| E | Nernst voltage (V) |
| E0 | standard electrode potential (V) |
| F | Faraday constant (s·A·mol−1) |
| Finlet | inlet flow rate of gas (kmol·h−1) |
| Foutlet | outlet flow rate of gas (kmol·h−1) |
| h | heat transfer coefficient (W·m−2·K−1) |
| ΔHa | activation energy of anode |
| ΔHc | activation energy of cathode |
| ΔHir | activation energy of internal resistance of the electrolyte (kJ·mol−1) |
| i | current value (A) |
| j | current density (A·m2) |
| k | reaction rate constant |
| Nu | Nusselt number |
| P | pressure (atm) |
| Pr | Prandtl number |
| Q | reaction heat (J) |
| Ra | anode resistance (ohm·cm2) |
| Rc | cathode resistance (ohm·cm2) |
| Rir | internal resistance on the electrolyte (ohm·cm2) |
| Re | Reynolds number |
| r | reaction rate (kmol·h−1) |
| T | temperature (K) |
| Uf | fuel efficiency (-) |
References
- Raj, N.T.; Iniyan, S.; Goic, R. A review of renewable energy based cogeneration technologies. Renew. Sustain. Energy Rev. 2011, 15, 3640–3648. [Google Scholar] [CrossRef]
- Bocci, E.; Carlo, D.A.; Mcphail, S.J.; Gallucci, K.; Fosolo, P.U.; Moneti, M.; Villarini, M.; Carlini, M. Biomass to fuel cells state of the art: A review of the most innovative technology solutions. Int. J. Hydrog. Energy 2014, 39, 21876–21895. [Google Scholar] [CrossRef]
- Lorenzo, D.G.; Fragiacomo, P. A methodology for improving the performance of molten carbonate fuel cell/gas turbine hybrid systems. Int. J. Energy Res. 2012, 36, 96–110. [Google Scholar] [CrossRef]
- Chacartegui, R.; Blanco, M.J.; Muñoz-de-Escalona, J.M.; Sánchez, D.; Sánchez, T. Performance assessment of molten carbonate fuel cell-humid air turbine hybrid system. Appl. Energy 2013, 102, 687–699. [Google Scholar] [CrossRef]
- Molino, A.; Giordano, G.; Motola, V.; Fiorenza, G.; Nana, F.; Graccio, G. Electricity production by biomass steam gasification using a high efficiency technology and low environmental impact. Fuel 2013, 103, 179–192. [Google Scholar] [CrossRef]
- Vera, D.; Jurado, F.; Panopoulos, K.D.; Grammelis, P. Modelling of biomass gasifier and microturbine for the olive oil industry. Int. J. Energy Res. 2012, 36, 355–367. [Google Scholar] [CrossRef]
- Liu, A.G.; Wang, B.; Zeng, W.; Chen, B.D.; Weng, Y.W. Catalytic combustion and system performance assessment of MCFC-MGT hybrid system. Int. J. Hydrog. Energy 2014, 39, 7437–7446. [Google Scholar] [CrossRef]
- Campanari, S.; Manzolini, G.; Chiesa, P. Using MCFC for high efficiency CO2 capture from natural gas combined cycles: Comparison of internal and external reforming. Appl. Energy 2013, 112, 772–783. [Google Scholar] [CrossRef]
- Chao, Y.C.; Chen, G.B.; Hsu, H.W.; Hsu, J.R. Catalytic combustion of gasified biomass in a platinum monolith honeycomb reactor. Appl. Catal. A Gen. 2004, 261, 99–107. [Google Scholar] [CrossRef]
- Verda, V.; Sciacovelli, A. Optimal design and operation of a biogas fuelled MCFC (molten carbonate fuel cells) system integrated with an anaerobic digester. Energy 2012, 47, 150–157. [Google Scholar] [CrossRef]
- Kawase, M.; Mugikura, Y.; Izaki, Y.; Watanabe, T.; Ito, Y. Effects of fluoride on the performance of MCFCs. J. Power Sources 2003, 124, 52–58. [Google Scholar] [CrossRef]
- Papurello, D.; Lazini, A.; Leone, P.; Santarelli, M.; Silvestri, S. Biogas from the organic fraction of municipal solid waste: Dealing with contaminants for a solid oxide fuel cell energy generator. Waste Manag. 2014, 34, 2047–2056. [Google Scholar] [CrossRef] [PubMed]
- Bedont, P.; Grillo, O.; Massardo, A.F. Off-design performance analysis of a hybrid system based on existing molten fuel cell stack. J. Eng. Gas Turbines Power 2003, 125, 986–993. [Google Scholar] [CrossRef]
- Lundberg, W.L.; Veyo, S.E.; Moeckel, M.D. A high-efficiency solid oxide fuel cell hybrid power system using the mercury 50 advanced turbine systems gas turbine. J. Eng. Gas Turbines Power 2003, 125, 51–58. [Google Scholar] [CrossRef]
- Galvagno, A.; Chiodo, V.; Urbani, F.; Freni, F. Biogas as hydrogen source for fuel cell applications. Int. J. Hydrog. Energy 2013, 38, 3913–3920. [Google Scholar] [CrossRef]
- Wee, J.H. Molten carbonate fuel cell and gas turbine hybrid systems as distributed energy resources. Appl. Energy 2011, 88, 4252–4263. [Google Scholar] [CrossRef]
- Liu, A.G.; Weng, Y.W. Performance analysis of a pressurized molten carbonate fuel cell/micro-gas turbine hybrid system. J. Power Sources 2010, 195, 204–213. [Google Scholar] [CrossRef]
- Lunghi, P.; Bove, R.; Desideri, U. Analysis and optimization of hybrid MCFC gas turbines plants. J. Power Sources 2003, 118, 108–117. [Google Scholar] [CrossRef]
- Kivisaari, T.; Björnbom, P.; Sylwan, C. Studies of biomass fueled MCFC systems. J. Power Sources 2002, 104, 115–124. [Google Scholar] [CrossRef]
- Hamad, T.A.; Agil, A.A.; Hamad, Y.M.; Bapat, S.; Thomas, M.; Martin, K.B.; Sheffield, J.M. Study of combined heat, hydrogen and power system based on a molten carbonate fuel cell fed by biogas produced by anaerobic digestion. Energy Convers. Manag. 2014, 81, 184–191. [Google Scholar] [CrossRef]
- Milewski, J.; Discepoli, G.; Desideri, U. Modeling the performance of MCFC for various fuel and oxidant compositions. Int. J. Hydrog. Energy 2014, 39, 11713–11721. [Google Scholar] [CrossRef]
- Bove, R.; Lunghi, P. Experimental comparison of MCFC performance using three different biogas types and methane. J. Power Sources 2005, 145, 588–593. [Google Scholar] [CrossRef]
- Freni, S.; Cavallaro, S. Catalytic partial oxidation of methane in a molten carbonate fuel cell. Int. J. Hydrog. Energy 1999, 24, 75–82. [Google Scholar] [CrossRef]
- Zanfir, M.; Gavriilidis, A. Catalytic combustion assisted methane steam reforming in a catalytic plate reactor. Int. J. Hydrog. Energy 2014, 39, 11713–11721. [Google Scholar] [CrossRef]
- Freni, S.; Aquino, M.; Giordano, N. Mass and energy balances in a molten-carbonate fuel cell with internal reforming. J. Power Sources 1992, 39, 203–214. [Google Scholar] [CrossRef]
- NIST-JANAF Thermochemical Tables. Available online: http://kinetics.nist.gov/janaf/ (accessed on 15 June 2014).
© 2015 by the authors; licensee MDPI, Basel, Switzerland. This article is an open access article distributed under the terms and conditions of the Creative Commons Attribution license (http://creativecommons.org/licenses/by/4.0/).
Share and Cite
Huang, H.; Li, J.; He, Z.; Zeng, T.; Kobayashi, N.; Kubota, M. Performance Analysis of a MCFC/MGT Hybrid Power System Bi-Fueled by City Gas and Biogas. Energies 2015, 8, 5661-5677. https://doi.org/10.3390/en8065661
Huang H, Li J, He Z, Zeng T, Kobayashi N, Kubota M. Performance Analysis of a MCFC/MGT Hybrid Power System Bi-Fueled by City Gas and Biogas. Energies. 2015; 8(6):5661-5677. https://doi.org/10.3390/en8065661
Chicago/Turabian StyleHuang, Hongyu, Jun Li, Zhaohong He, Tao Zeng, Noriyuki Kobayashi, and Mitsuhiro Kubota. 2015. "Performance Analysis of a MCFC/MGT Hybrid Power System Bi-Fueled by City Gas and Biogas" Energies 8, no. 6: 5661-5677. https://doi.org/10.3390/en8065661
APA StyleHuang, H., Li, J., He, Z., Zeng, T., Kobayashi, N., & Kubota, M. (2015). Performance Analysis of a MCFC/MGT Hybrid Power System Bi-Fueled by City Gas and Biogas. Energies, 8(6), 5661-5677. https://doi.org/10.3390/en8065661
