Molecular and Isotopic Composition of Volatiles in Gas Hydrates and in Sediment from the Joetsu Basin, Eastern Margin of the Japan Sea
Abstract
:1. Introduction

2. Study Sites and Sediment Cores
3. Sampling Methods and Analysis
3.1. Onboard Gas Sampling
3.2. Analytical Methods
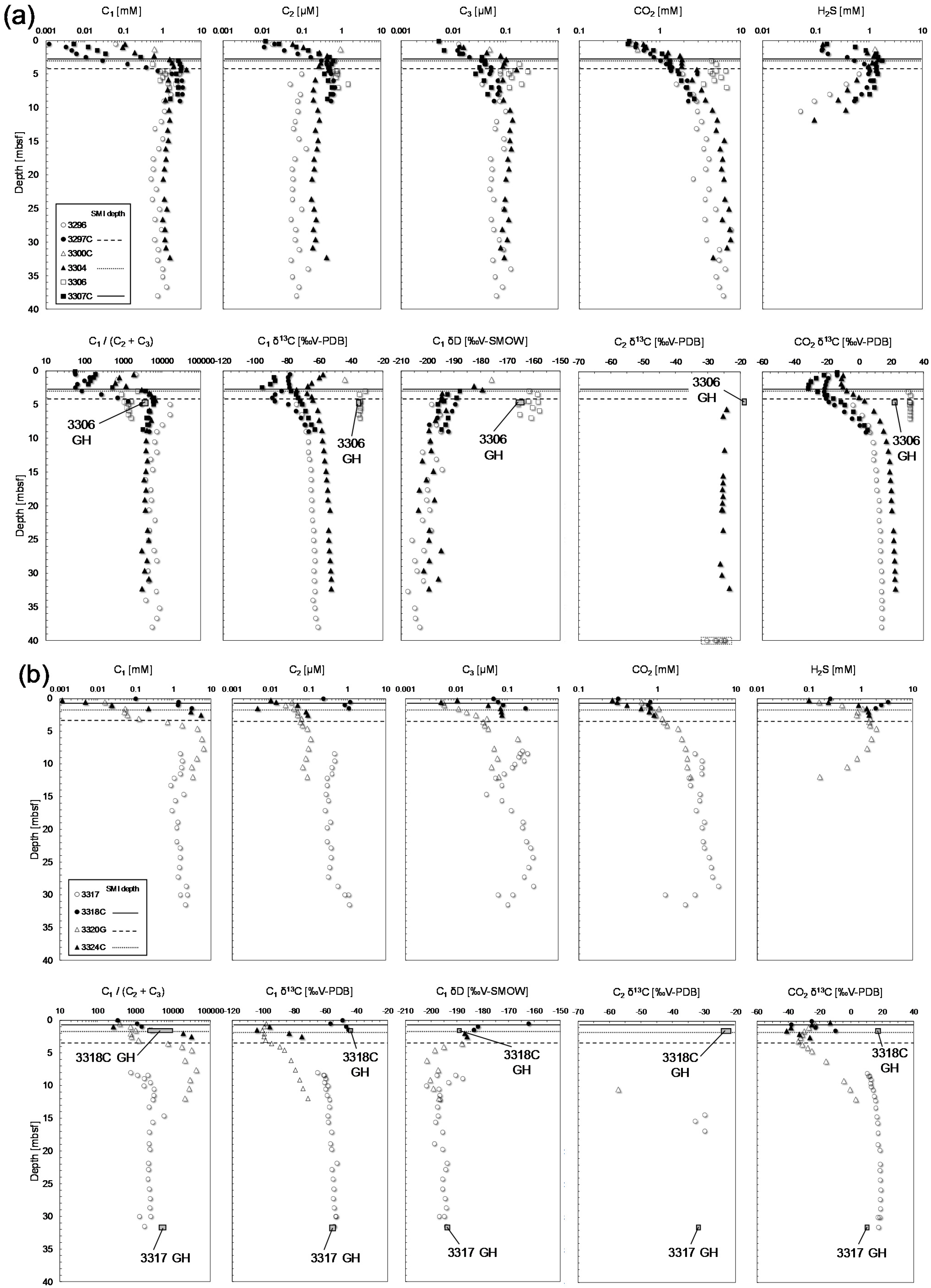
4. Results


| Core No. Depth [mbsf] | Molecular composition | Isotopic composition | |||||||||
|---|---|---|---|---|---|---|---|---|---|---|---|
| C1 [mol%] | C2 [mol%] | C3 [mol%] | CO2 [mol%] | H2S [mol%] | C1/(C2+C3) | C1δ13C [‰V-PDB] | C2δ13C [‰V-PDB] | C3δ13C [‰V-PDB] | CO2δ13C [‰V-PDB] | C1δD [‰V-SMOW] | |
| MD179-3305G unknown depth | 98.1 | 0.0292 | 0.0019 | 1.10 | 0.77 | 3158 | −36.6 | −17.9 | 5.8 | 14.3 | −167 |
| 98.3 | 0.0270 | 0.0020 | 1.18 | 0.53 | 3389 | −36.0 | −18.2 | 5.7 | 18.0 | −164 | |
| 98.2 | 0.0301 | 0.0017 | 1.26 | 0.53 | 3086 | −36.0 | −18.2 | 5.9 | 19.5 | −164 | |
| 99.8 | 0.0331 | 0.0018 | 0.20 | n.d. | 2859 | −34.6 | 17.3 | −167 | |||
| MD179-3306 4.5 [mbsf] | 99.1 | 0.0292 | 0.0020 | 0.85 | n.d. | 3176 | −37.3 | −18.4 | 6.3 | 20.3 | −164 |
| 100.0 | 0.0221 | 0.0016 | 4213 | −35.7 | −18.1 | 4.8 | 23.8 | −167 | |||
| MD179-3317 31.5 [mbsf] | 99.3 | 0.0171 | 0.0001 | 0.64 | 0.04 | 5783 | −56.4 | −31.7 | −5.6 | 9.7 | −194 |
| 99.3 | 0.0153 | 0.0001 | 0.63 | 0.04 | 6446 | −54.6 | −31.8 | 11.6 | −195 | ||
| 99.4 | 0.0172 | 0.0001 | 0.57 | n.d. | 5758 | −54.8 | −31.9 | 8.5 | −194 | ||
| 99.9 | 0.0171 | 0.0001 | 0.11 | n.d. | 5810 | −54.8 | −194 | ||||
| 99.3 | 0.0205 | 0.0001 | 0.66 | 0.03 | 4819 | −57.1 | −31.4 | −5.3 | 9.1 | −194 | |
| 99.9 | 0.0211 | 0.0001 | 0.10 | n.d. | 4713 | −55.4 | −195 | ||||
| 100.0 | 0.0216 | 0.0001 | 0.03 | n.d. | 4603 | −54.8 | −194 | ||||
| MD179-3318C 1.5 [mbsf] | 99.8 | 0.0148 | 0.0011 | 0.18 | n.d. | 6257 | −44.0 | −21.3 | 4.0 | −189 | |
| 99.1 | 0.0421 | 0.0005 | 0.51 | 0.36 | 2328 | −22.8 | 4.5 | 17.4 | −188 | ||
| 99.9 | 0.0456 | 0.0004 | 0.07 | n.d. | 2172 | −44.3 | −24.5 | −190 | |||
| 99.7 | 0.0078 | 0.0025 | 0.21 | 0.09 | 9682 | −43.9 | −21.4 | n.d. | |||
| Core | MD179-3306 | MD179-3318C | |||
|---|---|---|---|---|---|
| Depth [mbsf] | 4.50 | 5.00 | 5.95 | 7.00 | 1.50 |
| Molecular composition [mol%] | |||||
| C1 | 40.7 | 42.3 | 41.4 | 28.4 | 86.9 |
| C2 | 0.0211 | 0.0264 | 0.0255 | 0.0153 | 0.0289 |
| C3 | 0.0037 | 0.0039 | 0.0037 | 0.0022 | 0.0063 |
| neo-C5 | 0.1946 | 0.1298 | 0.1862 | 0.0830 | 0.0760 |
| CO2 | 59.1 | 57.5 | 58.4 | 71.5 | 6.6 |
| H2S | n.d. | n.d. | n.d. | n.d. | 6.3 |
| C1/(C2+C3) | 1640 | 1393 | 1422 | 1624 | 2469 |
| Isotopic composition [δ13C ‰V-PDB] | |||||
| C1 | –33.9 | –34.6 | –34.4 | –34.3 | –45.3 |
| C2 | –47.3 | –32.9 | –21.5 | –21.1 | –24.8 |
| C3 | 4.5 | 4.5 | 3.9 | 2.9 | 8.8 |
| i-C4 | 2.6 | 4.4 | 2.3 | 1.1 | |
| neo-C5 | –23.0 | –23.3 | –22.8 | –23.2 | –21.4 |
| 2,2DMB | –18.3 | –19.0 | –19.3 | –18.6 | –15.7 |
| 2,3DMB | –21.9 | –20.5 | –21.6 | ||
| n-C6 | –23.0 | –22.6 | –23.0 | ||
| n-C7 | –28.1 | –26.6 | –27.4 | ||
| n-C8 | –26.4 | ||||
| CO2 | 31.4 | 31.5 | 31.8 | 31.9 | –10.2 |
| Isotopic composition [δD ‰V-SMOW] | |||||
| C1 | –162 | –166 | –158 | –161 | –183 |
| neo-C5 | –125 | –124 | –133 | –125 | –119 |
5. Discussion
5.1. Depth Profiles of Headspace Gas
5.2. Effect of Gas Characteristics on Hydrate Crystal

5.3. Neopentane and Non-Methane Hydrocarbons in the Headspace Gases

6. Conclusions
Acknowledgments
Author Contributions
Conflicts of Interest
References
- Sloan, E.D.; Koh, C.A. Clathrate Hydrates of Natural Gases, 3rd ed.; CRC Press: Boca Raton, FL, USA, 2008. [Google Scholar]
- Kvenvolden, K.A. Potential effects of gas hydrate on human welfare. Proc. Natl. Acad. Sci. USA 1999, 96, 3420–3426. [Google Scholar] [CrossRef] [PubMed]
- Judd, A.G.; Hovland, M.; Dimitrov, L.I.; García Gil, S.; Jukes, V. The geological methane budget at continental margins and its influence on climate change. Geofluids 2002, 2, 109–126. [Google Scholar] [CrossRef]
- Milkov, A.V. Molecular and stable isotope compositions of natural gas hydrates: A revised global dataset and basic interpretations in the context of geological settings. Org. Geochem. 2005, 36, 681–702. [Google Scholar] [CrossRef]
- Paull, C.K.; Ussler, W., III; Borowski, W.S.; Spiess, F.N. Methane-rich plumes on the Carolina continental rise: Associations with gas hydrates. Geology 1995, 23, 89–92. [Google Scholar] [CrossRef]
- Ginsburg, G.D.; Soloviev, V.A. Submarine Gas Hydrates; VNIIOkeangeologia: St. Petersburg, Russia, 1998. [Google Scholar]
- Heeschen, K.U.; Tréhu, A.M.; Collier, R.W.; Suess, E.; Rehder, G. Distribution and height of methane bubble plumes on the Cascadia Margin characterized by acoustic imaging. Geophys. Res. Lett. 2003, 30. [Google Scholar] [CrossRef]
- Kvenvolden, K.A. Gas hydrates―Geological perspective and global change. Rev. Geophys. 1993, 31, 173–187. [Google Scholar] [CrossRef]
- Sloan, E.D., Jr. Fundamental principles and applications of natural gas hydrates. Nature 2003, 426, 353–363. [Google Scholar] [CrossRef] [PubMed]
- Boswell, R.; Collett, T.S. Current perspectives on gas hydrate resources. Energy Environ. Sci. 2011, 4, 1206–1215. [Google Scholar] [CrossRef]
- Subramanian, S.; Kini, R.A.; Dec, S.F.; Sloan, E.D. Evidence of structure II hydrate formation from methane + ethane mixtures. Chem. Eng. Sci. 2000, 55, 1981–1999. [Google Scholar] [CrossRef]
- Subramanian, S.; Ballard, A.L.; Kini, R.A.; Dec, S.F.; Sloan, E.D. Structural transitions in methane + ethane gas hydrates—Part I: Upper transition point and applications. Chem. Eng. Sci. 2000, 55, 5763–5771. [Google Scholar] [CrossRef]
- Brooks, J.M.; Kennicutt, M.C., II; Fay, R.R.; McDonald, T.J.; Sassen, R. Thermogenic gas hydrates in the Gulf of Mexico. Science 1984, 225, 409–411. [Google Scholar] [CrossRef] [PubMed]
- Bourry, C.; Chazallon, B.; Charlou, J.L.; Donval, J.P.; Ruffine, L.; Henry, P.; Geli, L.; Çagatay, M.N.; İnan, S.; Moreau, M. Free gas and gas hydrates from the Sea of Marmara, Turkey. Chemical and structural characterization. Chem. Geol. 2009, 264, 197–206. [Google Scholar] [CrossRef]
- Kida, M.; Khlystov, O.; Zemskaya, T.; Takahashi, N.; Minami, H.; Sakagami, H.; Krylov, A.; Hachikubo, A.; Yamashita, S.; Shoji, H.; et al. Coexistence of structure I and II gas hydrates in Lake Baikal suggesting gas sources from microbial and thermogenic origin. Geophys. Res. Lett. 2006, 33. [Google Scholar] [CrossRef]
- Kida, M.; Hachikubo, A.; Sakagami, H.; Minami, H.; Krylov, A.; Yamashita, S.; Takahashi, N.; Shoji, H.; Khlystov, O.; Poort, J.; et al. Natural gas hydrates with locally different cage occupancies and hydration numbers in Lake Baikal. Geochem. Geophys. Geosyst. 2009, 10. [Google Scholar] [CrossRef]
- Davidson, D.W.; Garg, S.K.; Gough, S.R.; Hawkins, R.E.; Ripmeester, J.A. Characterization of natural gas hydrates by nuclear magnetic resonance and dielectric relaxation. Can. J. Chem. 1977, 55, 3641–3650. [Google Scholar] [CrossRef]
- Aoyama, C.; Matsumoto, R. Acoustic surveys of methane plumes by quantitative echo sounder in Japan Sea and the estimate of the seeping amount of the methane hydrate bubbles. J. Geogr. 2009, 118, 156–174. (In Japanese) [Google Scholar] [CrossRef]
- Matsumoto, R.; Okuda, Y.; Aoyama, C.; Hiruta, A.; Ishida, Y.; Sunamura, M.; Numanami, H.; Tomaru, H.; Snyder, G.; Komatsubara, J.; et al. Methane plumes over a marine gas hydrate system in the eastern margin of Japan Sea: A possible mechanism for the transportation of subsurface methane to shallow waters. In Proceedings of the 5th International Conference on Gas Hydrates, Trondheim, Norway, 13–16 June 2005; Volume 3006, pp. 749–754.
- Monzawa, N.; Kaneko, M.; Osawa, M. A review of petroleum system in the deep water area of the Toyama Trough to the Sado Island in the Japan Sea, based on the results of the METI Sado Nansei Oki drilling. J. Jpn. Assoc. Pet. Technol. 2006, 71, 618–627. (In Japanese) [Google Scholar] [CrossRef]
- Bernard, B.B.; Brooks, J.M.; Sackett, W.M. Natural gas seepage in the Gulf of Mexico. Earth Planet. Sci. Lett. 1976, 31, 48–54. [Google Scholar] [CrossRef]
- Matsumoto, R.; Okuda, Y.; Hiruta, A.; Tomaru, H.; Takeuchi, E.; Sanno, R.; Suzuki, M.; Tsuchinaga, K.; Ishida, Y.; Ishizaki, O.; et al. Formation and collapse of gas hydrate deposits in high methane flux area of the Joetsu Basin, eastern margin of Japan Sea. J. Geogr. 2009, 118, 43–71. (In Japanese) [Google Scholar] [CrossRef]
- Hachikubo, A.; Yanagawa, K.; Tomaru, H.; Matsumoto, R. Dissolved gas analysis of pore water in subsurface sediments retrieved at eastern margin of Japan Sea (MD179 gas hydrates cruise). J. Jpn. Assoc. Pet. Technol. 2012, 77, 268–273. (In Japanese) [Google Scholar] [CrossRef]
- Saeki, T.; Inamori, T.; Nagakubo, S.; Ward, P.; Asakawa, E. 3D seismic velocity structure below mounds and pockmarks in the deep water southwest of the Sado Island. J. Geogr. 2009, 118, 93–110. (In Japanese) [Google Scholar] [CrossRef]
- Hiruta, A.; Snyder, G.T.; Tomaru, H.; Matsumoto, R. Geochemical constraints for the formation and dissociation of gas hydrate in an area of high methane flux, eastern margin of the Japan Sea. Earth Planet. Sci. Lett. 2009, 279, 326–339. [Google Scholar] [CrossRef]
- Machiyama, H.; Kinoshita, M.; Takeuchi, R.; Matsumoto, R.; Yamano, M.; Hamamoto, H.; Hiromatsu, M.; Satoh, M.; Komatsubara, J. Heat flow distribution around the Joetsu gas hydrate field, western Joetsu basin, eastern margin of the Japan Sea. J. Geogr. 2009, 118, 986–1007. (In Japanese) [Google Scholar] [CrossRef]
- Freire, A.F.M.; Menezes, T.R.; Matsumoto, R.; Sugai, T.; Miller, D.J. Origin of the organic matter in the Late Quaternary sediments of the eastern margin of Japan Sea. J. Sedimentol. Soc. Jpn. 2009, 68, 117–128. [Google Scholar] [CrossRef]
- Hachikubo, A.; Krylov, A.; Sakagami, H.; Minami, H.; Nunokawa, Y.; Shoji, H.; Matveeva, T.; Jin, Y.K.; Obzhirov, A. Isotopic composition of gas hydrates in subsurface sediments from offshore Sakhalin Island, Sea of Okhotsk. Geo-Mar. Lett. 2010, 30, 313–319. [Google Scholar] [CrossRef]
- Hachikubo, A.; Khlystov, O.; Krylov, A.; Sakagami, H.; Minami, H.; Nunokawa, Y.; Yamashita, S.; Takahashi, N.; Shoji, H.; Nishio, S.; et al. Molecular and isotopic characteristics of gas hydrate-bound hydrocarbons in southern and central Lake Baikal. Geo-Mar. Lett. 2010, 30, 321–329. [Google Scholar] [CrossRef]
- Waseda, A.; Iwano, H. Reservoir evaluation using carbon isotope composition of gas. J. Jpn. Assoc. Pet. Technol. 2007, 72, 585–593. (In Japanese) [Google Scholar] [CrossRef]
- Sakagami, H.; Takahashi, N.; Hachikubo, A.; Minami, H.; Yamashita, S.; Shoji, H.; Khlystov, O.; Kalmychkov, G.; Grachev, M.; de Batist, M. Molecular and isotopic composition of hydrate-bound and sediment gases in the southern basin of Lake Baikal, based on an improved headspace gas method. Geo-Mar. Lett. 2012, 32, 465–472. [Google Scholar] [CrossRef]
- Gealy, E.L.; Dubois, R. Shipboard geochemical analysis, Leg 7, Glomar Challenger. Initial Rep. Deep Sea Drill. Proj. 1971, 7, 863–869. [Google Scholar]
- Knab, N.J.; Cragg, B.A.; Hornibrook, E.R.C.; Holmkvist, L.; Pancost, R.D.; Borowski, C.; Parkes, R.J.; Jørgensen, B.B. Regulation of anaerobic methane oxidation in sediments of the Black Sea. Biogeosciences 2009, 6, 1505–1518. [Google Scholar] [CrossRef]
- Ogihara, S.; Ishizaki, O.; Matsumoto, R. Organic geochemical analysis of push core sediment samples collected from NT-06-19 (Umitaka Spur and Joetsu Knoll off Naoetsu). J. Geogr. 2009, 118, 128–135. (In Japanese) [Google Scholar] [CrossRef]
- Niemann, H.; Elvert, M. Diagnostic lipid biomarker and stable carbon isotope signatures of microbial communities mediating the anaerobic oxidation of methane with sulphate. Org. Geochem. 2008, 39, 1668–1677. [Google Scholar] [CrossRef]
- Yanagawa, K.; Sunamura, M.; Lever, M.A.; Morono, Y.; Hiruta, A.; Ishizaki, O.; Matsumoto, R.; Urabe, T.; Inagaki, F. Niche separation of methanotrophic archaea (ANME-1 and -2) in methane-seep sediments of the Eastern Japan Sea offshore Joetsu. Geomicrobiol. J. 2011, 28, 118–129. [Google Scholar] [CrossRef]
- Martens, C.S.; Albert, D.B.; Alperin, M.J. Stable isotope tracing of anaerobic methane oxidation in the gassy sediments of Eckernförde Bay, German Baltic Sea. Am. J. Sci. 1999, 299, 589–610. [Google Scholar] [CrossRef]
- Ussler, W., III; Paull, C.K. Rates of anaerobic oxidation of methane and authigenic carbonate mineralization in methane-rich deep-sea sediments inferred from models and geochemical profiles. Earth Planet. Sci. Lett. 2008, 266, 271–287. [Google Scholar] [CrossRef]
- Whiticar, M.J. Carbon and hydrogen isotope systematics of bacterial formation and oxidation of methane. Chem. Geol. 1999, 161, 291–314. [Google Scholar] [CrossRef]
- Tomaru, H.; Hachikubo, A.; Yanagawa, K.; Muramatsu, Y.; Anzai, H.; Snyder, G.T.; Matsumoto, R. Geochemistry of pore waters from gas hydrate research in the eastern margin of the Japan Sea (MD179). J. Jpn. Assoc. Pet. Technol. 2012, 77, 262–267. (In Japanese) [Google Scholar] [CrossRef]
- Kawagucci, S.; Kobayashi, M.; Hattori, S.; Yamada, K.; Ueno, Y.; Takai, K.; Yoshida, N. Hydrogen isotope systematics among H2–H2O–CH4 during the growth of the hydrogenotrophic methanogen Methanothermobacter thermautotrophicus strain ΔH. Geochim. Cosmochim. Acta 2014, 142, 601–614. [Google Scholar] [CrossRef]
- Pape, T.; Bahr, A.; Rethemeyer, J.; Kessler, J.D.; Sahling, H.; Hinrichs, K.-U.; Klapp, S.A.; Reeburgh, W.S.; Bohrmann, G. Molecular and isotopic partitioning of low-molecular-weight hydrocarbons during migration and gas hydrate precipitation in deposits of a high-flux seepage site. Chem. Geol. 2010, 269, 350–363. [Google Scholar] [CrossRef]
- Milkov, A.V.; Claypool, G.E.; Lee, Y.-J.; Torres, M.E.; Borowski, W.S.; Tomaru, H.; Sassen, R.; Long, P.E. ODP Leg 204 Scientific Party Ethane enrichment and propane depletion in subsurface gases indicate gas hydrate occurrence in marine sediments at southern Hydrate Ridge offshore Oregon. Org. Geochem. 2004, 35, 1067–1080. [Google Scholar] [CrossRef]
- Sassen, R.; Sweet, S.T.; DeFreitas, D.A.; Milkov, A.V. Exclusion of 2-methylbutane (isopentane) during crystallization of structure II gas hydrate in sea-floor sediment, Gulf of Mexico. Org. Geochem. 2000, 31, 1257–1262. [Google Scholar] [CrossRef]
- Sassen, R.; Curiale, J.A. Microbial methane and ethane from gas hydrate nodules of the Makassar Strait, Indonesia. Org. Geochem. 2006, 37, 977–980. [Google Scholar] [CrossRef]
- Taylor, S.W.; Sherwood Lollar, B.; Wassenaar, L.I. Bacteriogenic ethane in near-surface aquifers: Implications for leaking hydrocarbon well bores. Environ. Sci. Technol. 2000, 34, 4727–4732. [Google Scholar] [CrossRef]
- Sassen, R.; Joye, S.; Sweet, S.T.; DeFreitas, D.A.; Milkov, A.V.; MacDonald, I.R. Thermogenic gas hydrates and hydrocarbon gases in complex chemosynthetic communities, Gulf of Mexico continental slope. Org. Geochem. 1999, 30, 485–497. [Google Scholar] [CrossRef]
- Pohlman, J.W.; Canuel, E.A.; Chapman, N.R.; Spence, G.D.; Whiticar, M.J.; Coffin, R.B. The origin of thermogenic gas hydrates on the northern Cascadia Margin as inferred from isotopic (13C/12C and D/H) and molecular composition of hydrate and vent gas. Org. Geochem. 2005, 36, 703–716. [Google Scholar] [CrossRef]
- Lorenson, T.D.; Whiticar, M.J.; Waseda, A.; Dallimore, S.R.; Collett, T.S. Gas composition and isotopic geochemistry of cuttings, core, and gas hydrate from the JAPEX/JNOC/GSC Mallik 2L-38 gas hydrate research well. Geol. Surv. Can. Bull. 1999, 544, 143–163. [Google Scholar]
- James, A.T.; Burns, B.J. Microbial alteration of subsurface natural gas accumulations. Am. Assoc. Pet. Geol. Bull. 1984, 68, 957–960. [Google Scholar]
- Kniemeyer, O.; Musat, F.; Sievert, S.M.; Knittel, K.; Wilkes, H.; Blumenberg, M.; Michaelis, W.; Classen, A.; Bolm, C.; Joye, S.B.; et al. Anaerobic oxidation of short-chain hydrocarbons by marine sulphate-reducing bacteria. Nature 2007, 449, 898–901. [Google Scholar] [CrossRef] [PubMed]
- Kim, J.-H.; Torres, M.E.; Choi, J.; Bahk, J.-J.; Park, M.-H.; Hong, W.-L. Influences on gas transport based on molecular and isotopic signatures of gases at acoustic chimneys and background sites in the Ulleung Basin. Org. Geochem. 2012, 43, 26–38. [Google Scholar] [CrossRef]
- Lu, H.; Moudrakovski, I.L.; Matsumoto, R.; Dutrisac, R.; Ripmeester, J.A. The characteristics of gas hydrates recovered from shallow sediments at Umitaka spur, Eastern margin of the Sea of Japan. In Proceedings of the American Geophysical Union Fall Meeting 2008, San Francisco, CA, USA, 15–19 December 2008.
- Lu, H.; Moudrakovski, I.L.; Ripmeester, J.A.; Ratcliffe, C.I.; Matsumoto, R.; Tani, A. The characteristics of gas hydrates recovered from Joetsu basin, eastern margin of the Sea of Japan. In Proceedings of the 7th International Conference on Gas Hydrates, Edinburgh, UK, 17−21 July 2011.
- Uchida, T.; Uchida, T.; Kato, A.; Sasaki, H.; Kono, F.; Takeya, S. Physical properties of natural gas hydrate and associated gas-hydrate-bearing sediments in the JAPEX/JNOC/GSC et al. Mallik 5L-38 gas hydrate production research well. Geol. Surv. Can. Bull. 2005, 585, 1–10. [Google Scholar]
- Hunt, J.M.; Whelan, J.K. Dissolved gases in Black Sea sediments. DSDP Initial Rep. 1978, 42, 661–665. [Google Scholar]
- Whelan, J.K. C1 to C7 hydrocarbons from IPOD holes 397 and 397A. DSDP Initial Rep. 1979, 47, 531–539. [Google Scholar]
- Strausz, O.P.; Jha, K.N.; Montgomery, D.S. Chemical composition of gases in Athabasca bitumen and in low-temperature thermolysis of oil sand, asphaltene and maltene. Fuel 1977, 56, 114–120. [Google Scholar] [CrossRef]
- Schaefer, R.G.; Leythaeuser, D. C2–C8 hydrocarbons in sediments from Deep Sea Drilling Project Leg 75, holes 530A, Angola Basin, and 532, Walvis Ridge. DSDP Initial Rep. 1984, 75, 1055–1067. [Google Scholar]
- Yakushev, V.S.; Istomin, V.A. Gas-hydrates self-preservation effect. In Physics and Chemistry of Ice; Hokkaido University Press: Sapporo, Japan, 1992; pp. 136–140. [Google Scholar]
- Takeya, S.; Ripmeester, J.A. Dissociation behavior of clathrate hydrates to ice and dependence on guest molecules. Angew. Chem. Int. Ed. 2008, 47, 1276–1279. [Google Scholar] [CrossRef]
- Wang, W.-C.; Zhang, L.-Y.; Liu, W.-H.; Kang, Y.; Ren, J.-H. Effects of biodegradation on the carbon isotopic composition of natural gas—A case study in the Bamianhe oil field of the Jiyang Depression, Eastern China. Geochem. J. 2005, 39, 301–309. [Google Scholar] [CrossRef]
- Chung, H.M.; Gormly, J.R.; Squires, R.M. Origin of gaseous hydrocarbons in subsurface environments: Theoretical considerations of carbon isotope distribution. Chem. Geol. 1988, 71, 97–103. [Google Scholar] [CrossRef]
© 2015 by the authors; licensee MDPI, Basel, Switzerland. This article is an open access article distributed under the terms and conditions of the Creative Commons Attribution license (http://creativecommons.org/licenses/by/4.0/).
Share and Cite
Hachikubo, A.; Yanagawa, K.; Tomaru, H.; Lu, H.; Matsumoto, R. Molecular and Isotopic Composition of Volatiles in Gas Hydrates and in Sediment from the Joetsu Basin, Eastern Margin of the Japan Sea. Energies 2015, 8, 4647-4666. https://doi.org/10.3390/en8064647
Hachikubo A, Yanagawa K, Tomaru H, Lu H, Matsumoto R. Molecular and Isotopic Composition of Volatiles in Gas Hydrates and in Sediment from the Joetsu Basin, Eastern Margin of the Japan Sea. Energies. 2015; 8(6):4647-4666. https://doi.org/10.3390/en8064647
Chicago/Turabian StyleHachikubo, Akihiro, Katsunori Yanagawa, Hitoshi Tomaru, Hailong Lu, and Ryo Matsumoto. 2015. "Molecular and Isotopic Composition of Volatiles in Gas Hydrates and in Sediment from the Joetsu Basin, Eastern Margin of the Japan Sea" Energies 8, no. 6: 4647-4666. https://doi.org/10.3390/en8064647
APA StyleHachikubo, A., Yanagawa, K., Tomaru, H., Lu, H., & Matsumoto, R. (2015). Molecular and Isotopic Composition of Volatiles in Gas Hydrates and in Sediment from the Joetsu Basin, Eastern Margin of the Japan Sea. Energies, 8(6), 4647-4666. https://doi.org/10.3390/en8064647

