Silicon Heterojunction Solar Cells Using AlOx and Plasma-Immersion Ion Implantation
Abstract
:1. Introduction
2. Experimental Section


3. Results and Discussion
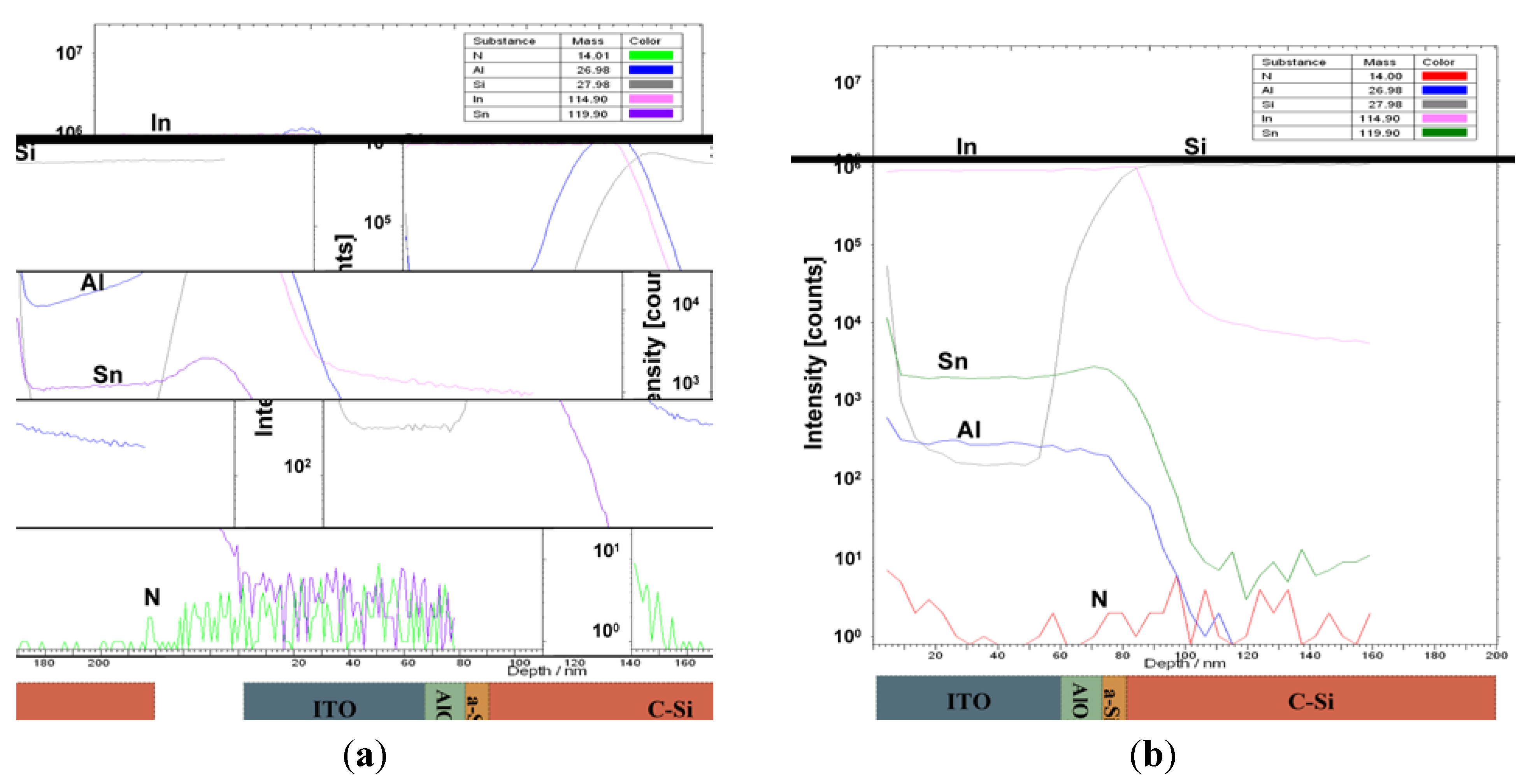
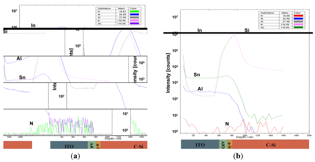
3.1. AlOx Measurement and Analysis



| Description | w/o AlOx | w/i AlOx |
|---|---|---|
| Jsc (mA/cm2) | 27.84 | 29.34 |
| Voc (V) | 0.52 | 0.54 |
| FF | 0.62 | 0.611 |
| ç (%) | 8.97 | 9.68 |
3.2. PIII Measurement and Analysis
| Description | No PIII | PIII 2 KeV | PIII 4 KeV | PIII 6 KeV |
|---|---|---|---|---|
| Jsc (mA/cm2) | 37.24 | 37.95 | 36.95 | 35.01 |
| Voc (V) | 0.46 | 0.53 | 0.48 | 0.52 |
| FF | 0.633 | 0.67 | 0.595 | 0.317 |
| ç(%) | 10.84 | 13.47 | 10.546 | 5.77 |




| Description | No PIII | PIII 5 min | PIII 10 min | PIII 15 min |
|---|---|---|---|---|
| Jsc (mA/cm2) | 38 | 40.83 | 40.14 | 40.3 |
| Voc (V) | 0.53 | 0.52 | 0.54 | 0.54 |
| FF | 0.634 | 0.623 | 0.619 | 0.562 |
| ç(%) | 12.878 | 13.239 | 13.414 | 12.241 |

3.3. Optimization of the PIII Condition

| Description | No PIII | PIII 2 Kev |
|---|---|---|
| Jsc (mA/cm2) | 35.06 | 37.78 |
| Voc (V) | 0.55 | 0.55 |
| FF | 0.755 | 0.742 |
| η(%) | 14.29 | 15.428 |

4. Conclusions
Acknowledgments
Author Contributions
Conflicts of Interest
References
- Zhao, J.; Wang, A.; Green, M.A. 24.5% Efficiency silicon PERT cells on MCZ substrates and 24.7% efficiency PERL cells on FZ substrates. Prog. Photovolt. 2000, 7, 471–474. [Google Scholar] [CrossRef]
- Okamoto, H.; Hamakawa, Y. A-SiC:H/a-Si:H heterojunction solar cell having more than 7.1% conversion efficiency. Appl. Phys. Lett. 1981, 39, 237–239. [Google Scholar] [CrossRef]
- Tsubomura, H.; Matsumura, M.; Nomura, Y.; Amamiya, T. Dye sensitised zinc oxide: Aqueous electrolyte: Platinum photocell. Nature 1976, 261, 402–403. [Google Scholar] [CrossRef]
- Liao, K.; Yambem, S.D.; Haldar, A.; Alley, N.J.; Seamus, A. Designs and Architectures for the Next Generation of Organic Solar Cells. Energies 2010, 3, 1212–1250. [Google Scholar]
- Hammed, W.A.; Yahya, R.; Bola, A.L.; Mahmud, H.N.M.E. Recent Approaches to Controlling the Nanoscale Morphology of Polymer-Based Bulk-Heterojunction Solar Cells. Energies 2013, 6, 5847–5868. [Google Scholar] [CrossRef]
- Ong, P.; Levitsky, I.A. Organic/IV, III-V Semiconductor Hybrid Solar Cells. Energies 2010, 3, 313–334. [Google Scholar] [CrossRef]
- Lin, Y.; Wu, Y.; Lai, B. Collection Efficiency Enhancement of Injected Electrons in Dye-sensitized Solar Cells with a Ti Interfacial Layer and TiCl4 Treatment. Int. J. Electrochem. Sci. 2012, 7, 9478–9487. [Google Scholar]
- Kutsuki, K.; Okamoto, G.; Hosoi, T.; Shimura, T.; Watanabe, H. Germanium oxynitride gate dielectrics formed by plasma nitridation of ultrathin thermal oxides on Ge(100). Appl. Phys. Lett. 2009, 95, 022102:1–022102:3. [Google Scholar]
- Taguchi, M.; Terakawa, A.; Maruyama, E.; Tanaka, M. Obtaining a Higher Voc in HIT Cells. Prog. Photovolt. Res. Appl. 2005, 13, 481–488. [Google Scholar] [CrossRef]
- Wakisaka, K.; Taguchi, M. More than 16% Solar Cells with a New `HIT' (doped a-Si/nondoped a-Si/crystalline Si). In Proceedings of IEEE, Proceedings of Photovoltaic Specialists Conference, Las Vegas, NV, USA, 7–11 October 1991; Volume 2, pp. 887–892.
- O’Regan, B.; Gratzel, M. A low-cost, high-efficiency solar cell based on dye-sensitized colloidal TiO2 films. Nature 1991, 353, 737–740. [Google Scholar]
- Madan, A.; Ovshinesky, S.R.; Czubatyj, W.M.; Shur, M. Some Electrical and Optical Properties of a-Si:F:H Alloys. J. Electron. Mater. 1980, 9, 385–409. [Google Scholar] [CrossRef]
- Von Maydell, K.; Korte, L.; Laades, A.; Stangl, R.; Conrad, E.; Lange, F.; Schmidt, M. Characterization and Optimization of The Interface Quality in Amorphous/Crystalline Silicon Heterojunction Solar Cells. J. Non-Cryst. Solids 2006, 352, 1958–1961. [Google Scholar] [CrossRef]
- Sawada, T.; Terada, N.; Tsuge, S.; Baba, T.; Takahama, T.; Wakisaka, K.; Tsuda, S.; Nakano, S. High-Efficiency a-Si/c-Si Heterojunction Solar Cell. In Proceedings of IEEE Photovoltaic Specialists Conference, Waikoloa, HI, USA, 5–9 December 1994; Volume 2, pp. 1219–1226.
- Taguchi, M.; Kawamoto, K.; Tsuge, S.; Baba, T.; Sakata, H.; Morizane, M.; Uchihashi, K.; Nakamura, N.; Kiyama, S.; Oota, O. HITTM Cells—High-Efficiency Crystalline Si Cells with Novel Structure. Prog. Photovolt. Res. Appl. 2000, 8, 503–513. [Google Scholar] [CrossRef]
- Tsunomura, Y.; Yoshimine, Y.; Taguchi, M.; Baba, T.; Kinoshita, T.; Kanno, H.; Sakata, H.; Maruyama, E.; Tanaka, M. Twenty-Two Percent Efficiency HIT Solar Cell. Sol. Energy Mater. Sol. Cells 2009, 93, 670–673. [Google Scholar] [CrossRef]
- Mishima, T.; Taguchi, M.; Sakata, H.; Maruyama, E. Development status of high-efficiency HIT solar cells. Sol. Energy Mater. Sol. Cells 2010, 95, 18–21. [Google Scholar]
- Liu, B. The Applications of Plasma Immersion Ion Implantation to Crystalline Silicon Solar Cells. Energy Procedia 2013, 38, 289–296. [Google Scholar] [CrossRef]
- Derbouz, K.; Michel, T.; de Moro, F.; Spiegel, Y.; Torregrosa, F.; Belouet, C.; Slaouil, A. Plasma immersion ion implantation of boron for ribbon silicon solar cells. EPJ Photovolt. 2013, 4, 45105:1–45105:4. [Google Scholar]
- Vervisch, V.; Barakel, D.; Torregrosa, F.; Ottaviani, L.; Pasquinelli, M. Plasma Immersion Ion Implantation Applied to P+N Junction Solar Cells. In Proceedings of the 16th International Conference on Ion Implantation Technology (IIT 2006), Marseille, France, 11–16 November 2006; Volume 886, p. 253.
- Saint-Cast, P.; Kania, D.; Hofmann, M.; Benick, J.; Rentsch, J.; Preu, R. Very low surface recombination velocity on p-type c-Si by high-rate plasma-deposited aluminum oxide. Appl. Phys. Lett. 2009, 95, 151502:1–151502:3. [Google Scholar]
- Saint-Cast, P.; Benick, J.; Kania, D.; Weiss, L.; Hofmann, M.; Rentsch, J.; Preu, R.; Glunz, S.W. High-Efficiency c-Si Solar Cells Passivated With ALD and PECVD Aluminum Oxide. IEEE Electron. Device Lett. 2010, 31, 695–697. [Google Scholar] [CrossRef]
© 2014 by the authors; licensee MDPI, Basel, Switzerland. This article is an open access article distributed under the terms and conditions of the Creative Commons Attribution license (http://creativecommons.org/licenses/by/3.0/).
Share and Cite
Lin, Y.-H.; Wu, Y.-C.; You, H.-C.; Chen, C.-H.; Chen, P.-H.; Tsai, Y.-H.; Yang, Y.-Y.; Chang-Liao, K.S. Silicon Heterojunction Solar Cells Using AlOx and Plasma-Immersion Ion Implantation. Energies 2014, 7, 3653-3663. https://doi.org/10.3390/en7063653
Lin Y-H, Wu Y-C, You H-C, Chen C-H, Chen P-H, Tsai Y-H, Yang Y-Y, Chang-Liao KS. Silicon Heterojunction Solar Cells Using AlOx and Plasma-Immersion Ion Implantation. Energies. 2014; 7(6):3653-3663. https://doi.org/10.3390/en7063653
Chicago/Turabian StyleLin, Yu-Hsien, Yung-Chun Wu, Hsin-Chiang You, Chun-Hao Chen, Ping-Hua Chen, Yi-He Tsai, Yi-Yun Yang, and K. S. Chang-Liao. 2014. "Silicon Heterojunction Solar Cells Using AlOx and Plasma-Immersion Ion Implantation" Energies 7, no. 6: 3653-3663. https://doi.org/10.3390/en7063653
APA StyleLin, Y.-H., Wu, Y.-C., You, H.-C., Chen, C.-H., Chen, P.-H., Tsai, Y.-H., Yang, Y.-Y., & Chang-Liao, K. S. (2014). Silicon Heterojunction Solar Cells Using AlOx and Plasma-Immersion Ion Implantation. Energies, 7(6), 3653-3663. https://doi.org/10.3390/en7063653
