Next Article in Journal
Simulation Research on an Electric Vehicle Chassis System Based on a Collaborative Control System
Previous Article in Journal
Long Term Performance Study of a Direct Methanol Fuel Cell Fed with Alcohol Blends
 
 
Due to scheduled maintenance work on our servers, there may be short service disruptions on this website between 11:00 and 12:00 CEST on March 28th.
Font Type:
Arial Georgia Verdana
Font Size:
Aa Aa Aa
Line Spacing:
Column Width:
Background:
Article

Optimal Allocation of Wind Turbines by Considering Transmission Security Constraints and Power System Stability

by
Claudia Rahmann
1,* and
Rodrigo Palma-Behnke
2
1
Department of Electrical Engineering, Faculty of Mathematical and Physical Sciences, School of Engineering, University of Chile, Santiago 8370451, Chile
2
Center of Energy, Faculty of Mathematical and Physical Sciences, School of Engineering, University of Chile (CMM, ISCI, DIE), Santiago 8370451, Chile
*
Author to whom correspondence should be addressed.
Energies 2013, 6(1), 294-311; https://doi.org/10.3390/en6010294
Submission received: 10 September 2012 / Revised: 27 December 2012 / Accepted: 27 December 2012 / Published: 14 January 2013

Abstract

:
A novel optimization methodology consisting of finding the near optimal location of wind turbines (WTs) on a planned transmission network in a secure and cost-effective way is presented on this paper. While minimizing the investment costs of WTs, the algorithm allocates the turbines so that a desired wind power energy-penetration level is reached. The optimization considers both transmission security and power system stability constraints. The results of the optimization provide regulators with a support instrument to give proper signals to WT investors, in order to achieve secure and cost effective wind power network integration. The proposal is especially aimed at countries in the initial stage of wind power development, where the WT network integration process can still be influenced by policy-makers. The proposed methodology is validated with a real power system. Obtained results are compared with those generated from a business-as-usual (BAU) scenario, in which the WT network allocation is made according to existing WT projects. The proposed WT network allocation scheme not only reduces the total investment costs associated with a determined wind power energy target, but also improves power system stability.

1. Introduction

Several countries, all over the World, have declared ambitious energy targets regarding renewable energy penetration levels to be achieved in the coming years [1,2]. This situation, together with favorable conditions for wind turbine (WT) projects; such as economic subsidies, maturity of the technology, and descending investment costs; will probably lead to wind power playing an increasing role in electric power systems of the future [3].
Nevertheless, an energy target itself does not ensure proper operation of the system or the optimal use of its capacities. International experience has shown that increasing use of wind energy can lead to various problems in power system security, both in normal operation as well as in the case of disturbances [3,4,5] usually resulting in additional costs. During normal operation, the problems are often related to shortage of transmission capacities, sometimes even endangering the accomplishment of the (n − 1) security criterion. This situation can be found in weak transmission areas—usually at the periphery of the network—with attractive wind resources, but not enough transmission capacities to transport the generated energy to distant load centers [6,7]. As long as the expansion planning for electric power systems does not explicitly consider the development of renewable energies, these transmission capacity problems will continue to arise during the next few years.
On the other hand, stability problems are closely related to the relatively weak dynamic performance of WTs compared to conventional power plants, arising as a consequence of different network connection concepts for WTs, like the use of induction generators or power electronic converters [8]. Fault ride-through (FRT) capability and voltage stability support are key issues associated with WT dynamics affecting power system stability performance.
Two different situations can arise as a consequence of increased use of wind power:
  • Need for grid reinforcements, such as transmission developments or additional equipment to improve system stability in order to counteract the negative effects of WT injections on the system.
  • Delays or rejections in new WT projects due to poor dynamic performance in case of disturbances or insufficient network capacities at the connection point.
In both cases additional costs are involved: in the first instance, the additional costs are assumed by the power system itself through the grid reinforcements. In the second case, the whole society loses through the hampering of further wind power network integration.
A key element for wind power network integration is the optimal exploitation of power system capacities by considering its security constraints. By doing this, possible additional grid reinforcement costs generated by WT projects can be avoided, and wind energy goals can be accomplished in a secure and cost-effective way.
The subject “optimal network allocation of WT” corresponds to a relatively new subject reported in only a few research contributions in the literature until now [7,9,10,11]. In all these references, a methodology for optimal allocation of wind capacities using a linear programming approach is presented. Nevertheless, these investigations consider only static security constraints related to transmission capacities without including power system stability which is a key issue affected by high penetration levels of wind power.
This work presents an optimization methodology to find the near optimal location of WTs on a planned transmission network in a secure and cost-effective way. The algorithm allocates the turbines so that a desired wind power energy-penetration level is reached while minimizing the WT investment costs. The main contribution is to propose an optimization algorithm able to combine both transmission security and power system stability constraints. The proposal is especially aimed at countries in the first stage of wind power development, where the WT network integration process can still be influenced by policy makers, and where the expansion planning for the power system still does not incorporate the development of renewable energies. This is the case, for instance, in several Latin American countries, where such a methodology could be of prime importance to ensure a cost-effective development of wind power in the coming years. Nevertheless, it is important to note that making the best choice for the WT network allocation is relevant for every power system.
This paper is organized as follows: in Section 2 the methodological approach for optimal network allocation of WTs is presented. The power system used to validate the methodology is presented in detail in Section 3. The results obtained are given in Section 4. Finally the pertinent conclusions are presented in Section 5.

2. Methodological Approach for Optimal Allocation of WTs in the Network

2.1. Introduction

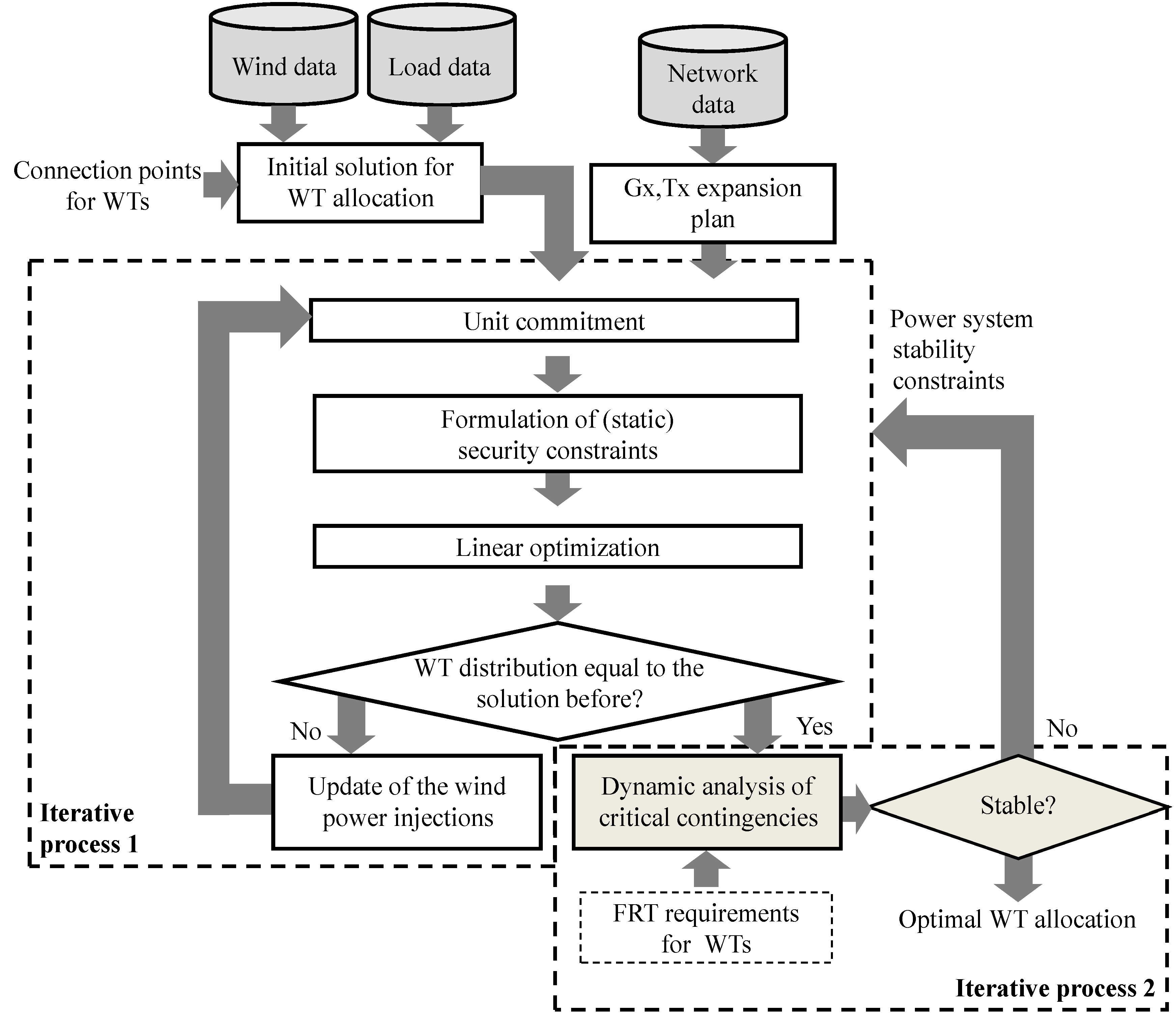
The proposed methodology for optimally allocating the WTs on a planned transmission network is shown in Figure 1. The optimization minimizes the WT investment costs needed to reach a desired wind energy-penetration level. The optimization includes transmission security and power system stability constraints. Different WT technologies can be considered by the methodology. Since the optimization problem is carried out on a planned transmission network, it could be possible to have a location with favorable wind conditions, but not enough transmission capacities. In such a case, another location could be selected during the optimization process, even if its wind potential is less attractive. In an extreme situation, if the total existing system capacities are not sufficient to achieve the original wind energy target, less WT capacity will be installed.
The optimization process is divided into two main phases. In the first stage, the algorithm allocates the turbines by considering only transmission network security constraints for a whole operative year based on (n − 1) security criteria. The validity of the obtained solution is verified in a second phase in which the stability of the power system is tested. If the solution is not feasible due to poor dynamic performance of the power system, the whole optimization process is run again considering additional system stability constraints. The process runs iteratively until all system security restrictions (static and dynamic) are fulfilled.

2.2. Theory behind the Network Security Constraints

The transmission network security constraints considered in this work are based on (n − 1) security criteria. The constraints are calculated for each line and transformer of the network at each hour of the year by considering its transmission capacity limit and its hourly power flows. To do this, a complete network model is used.
Figure 1. Methodological approach for WT network allocation.
Figure 1. Methodological approach for WT network allocation.
Energies 06 00294 g001
The power flows of each element are determined based on the DC load flow [12]. The idea behind this is to use a linear, non-iterative power flow algorithm, where the Jacobian matrix of the system does not need to be recalculated at each iteration. The simulation times are then significantly reduced compared to the full nonlinear AC power flow algorithm, allowing the generation of thousands of security constraints for a whole operative year.
If a network with N nodes is considered, the vector [P] containing the power injections at each node is given by:
Energies 06 00294 i001
where [ϑ] is the phase angle vector and [B'] is the reduced Jacobian matrix whose elements are given by:
Energies 06 00294 i003
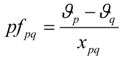
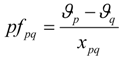
Additionally, the power flowing between buses p and q (being either a line or transformer), using the DC power flow equations, is:
Energies 06 00294 i004
If Equations (1) and (3) are combined, the power flow between buses p and q can be rewritten as:
Energies 06 00294 i005
where Pi is the power injection at bus i . The power flow of each element of the network is thus a linear combination of the power injections Energies 06 00294 i006. Equation (4) can be written in matrix form as follows:
[pf] = [A]·[P]

2.3. Initial Solution for WT Allocation—Unit Commitment

The formulation of the transmission security constraints based on Equation (4) requires the hourly power injections at each node of the network obtained from a year-long unit commitment study. However, since the WT network distribution is not known before the optimization process is completed; an initial solution for the WT allocation problem must be assumed. Based on this, a representative annual time-series containing the total hourly wind power injections into the system can be generated and used to carry out an initial hourly unit commitment study for the entire year.
The first step of the methodology is therefore to determine an initial solution for the WT allocation problem. To do this, potential places for the installation of the turbines must be established. Since the evaluation of every possible connection point is not viable, the methodology only considers a limited set of places in which the wind potential is especially high. With the set of connection points for WTs, the wind time-series at each of these locations, and the load data of the system, an initial solution for the WT allocation problem can be obtained. The initial solution must satisfy the wind power energy penetration target given by the equation below:
Energies 06 00294 i007
The definition of the variables appearing in Equation (6) is presented in Table 1.

2.4. Formulation of (Static) Security Constraints

Based on the unit commitment study and its input data, the transmission network security constraints can be formulated for each hour of the year. To do this, Equation (5) must be rewritten in order to distinguish between power injections of conventional power plants or loads and wind power:
Energies 06 00294 i008
The first term on the right side of Equation (7) includes the power injections of conventional power plants and loads (P), while the second one includes only the wind power injections (PWT). Since the injections of conventional power plants are known from the hourly unit commitment study, and the load profile at each network bus is assumed to be available in the input data, both contributions to the power flows in the network [term I of Equation (7)] can be calculated easily by using Equation (4). However, the WT network distribution is still not known until the optimization process is completed; therefore the wind power contribution to power flows [term II of Equation (7)] cannot be determined. The second term of Equation (7) is used to formulate the transmission network security constraints to be considered in the WT allocation problem. The constraints are calculated for hourly power flows at each line and transformer of the network.
The wind power injection at location i and hour t0 is given by (see Table 1 for variables definition):
Energies 06 00294 i009
Considering Equations (7) and (8), the power flows of each element in the network at t0 can be written as:
Energies 06 00294 i010
where C is a vector of dimension N × 1 containing the installed capacity of wind power at each network bus. Each component of C associated with a network bus where non-wind power installation is considered, is zero for every case.
If [pfmin] and [pfmax] are vectors containing the minimal and maximal transmission capacity of each element of the network, the general form of the transmission security constraints is given by:
Energies 06 00294 i011
In Equation (10) it is assumed that transmission lines have the same transmission capacity (given by the worst case scenario) throughout the year, and thus no dynamic rating is considered. The incorporation of a dynamic rating model for transmission lines can be incorporated easily into the optimization process by making both vectors [pfmin] and [pfmax] of Equation (10) time-dependent.

2.5. Linear Optimization

The optimization minimizes the WT investment costs in order to reach a desired wind-energy penetration level. The minimization of the investment costs is justified since no transmission network reinforcement or expansions are considered in the optimization process; thus, the only pertinent costs to be included are the investment costs of the WTs themselves. The WT investment cost must include installation costs (including transportation, and land costs), interconnection costs to the transmission system (connection lines, power stations), and other costs that could arise at each particular place. If all relevant costs are considered, the optimization process should reasonably reflect the trend to be followed by WT investors in a competitive environment.
Assuming that the investment cost of the WT technology j at location i is directly proportional to the installed capacity, the optimization problem can be formulated as follows:
Energies 06 00294 i012
Energies 06 00294 i013
Energies 06 00294 i014
t ∈ {1,2…8760}
The definitions of the variables appearing previously are given in Table 1. It is important to note that economies of scale can also be included in the optimization process by updating the investment costs according to obtained wind farm sizes.
Table 1. Variables definition.
Table 1. Variables definition.
VariableDefinition
N I Number of places for WT installation
N T Number of WT technologies considered by the methodology
v j i Investment cost at location i of the WT technology j (USD/MW)
C j i Installed capacity at location i of the WT technology j (in MW)
E j i Time-series for 1 MW of the WT technology j at location i (vector of dimension 8,760 × 1 in MWh)
E T WT energy target (MWh)
p f min Vector containing the minimal transmission capacity of each element of the network
p f max Vector containing the maximal transmission capacity of each element of the network
Equation (12) represents the wind power energy penetration target over the whole year and Equation (13) the transmission security constraints. If nL and nT are the number of lines and transformers in the network, a total of 2{(nL + nT)·8760} transmission security constraints is considered in the optimization process. If these transmission security constraints were not included, the optimization would allocate all WTs in that network area with the highest capacity factor.
As can be seen from Equations (11)–(13), this first stage of the optimal WT network allocation is a linear optimization problem in which the optimization variables are the WT capacities at each location. As with any other linear optimization problem, this can be solved using different optimization techniques.

2.6. Iterative Process 1

As can be seen in Figure 1, once a solution for the WT network allocation problem is obtained, the methodology verifies if this solution is equal to that used in the unit commitment study in order to avoid wind power injection discrepancies. If both solutions differ, an updated annual time-series containing the total wind power injections (by considering the current solution of the WT allocation problem) is generated and used to carry out a new year-long unit commitment study. This process runs iteratively until the WT network allocation used for the unit commitment study is the same as that obtained by the linear optimization; consequently, no power system imbalances emerge.

2.7. Iterative Process 2

The validity of the solution obtained in the linear optimization process is verified in a second phase where the stability of the power system is tested (Iterative process 2). For this dynamic study, stability issues are fully taken into account; therefore, voltages at all system buses are determined based on AC load flow equations.
Different investigations have shown that among the stability problems arising as a consequence of the dynamic performance of WTs, those related to voltage stability are of major importance when considering power system security [13,14]. This is especially true for WTs based on induction generators, whose dynamic response to voltage dips is characterized by significant reactive power consumption [15]. This behavior can be found not only in fixed speed induction generators, but also in variable speed WTs based on doubly fed induction generators with crowbar. Voltage stability support provided by WTs is also a key issue in this context. Even in the case of modern WTs with power electronic converters, their capability to support voltage stability cannot be compared with the traditional support provided by conventional power plants. The main reason for this is the need to limit the in-feed current of the WTs during disturbances as a consequence of: (1) technical margins of the electronic power devices and (2) need to preserve transient stability of the wind park [16]. By contrast, conventional power plants are characterized by a huge overloading capacity for a relatively wide time window [17]. Considering these issues, the dynamic analysis of the power system put special emphasis on those components and mechanisms of the system that contribute to the characterization of the voltage stability. Nevertheless, this special emphasis on voltage stability should not be understood as a rejection of other dynamic phenomena of the power system like voltage collapse or transient instabilities. In fact, the models used in the dynamic simulations must be able to properly reflect all components and mechanisms that contribute to the characterization of all kind of instabilities. As explained in the following, the focus on voltage stability has only a direct effect on the selection of the critical contingencies and operating points to simulate, but not in the dynamic models.
Although the dynamic analysis of each hour of the year for all possible contingencies would be desirable, the dynamic simulation of all scenarios under these circumstances would lead to a significant number of simulations. Considering that each dynamic simulation is a highly computationally demanding task, system stability of power systems is always tested only for a particular set of contingencies and operating conditions (hours) of the year. By this way, the amount of dynamic simulations can be significantly reduced. The selection of the system conditions to simulate must be based on a worst case scenario criterion. The main idea is to find out the worst conditions that the power system could experience according to the objectives of the study. In this context, and considering that the focus of the present work is with respect to maintaining voltage stability, the selection of the critical contingencies (CC) and hours of the year is based on the following considerations:
Selection of hours of the year: To properly define the most critical hours of the year, it is necessary to study a variety of load, wind, and generation patterns which is done with help of the unit commitment study. When the analysis is focused on voltage stability, a usual operating condition to simulate is the peak load of the system, in which case the network can be considered to be in a highly stressed situation. Additionally, in the present work, those hours of the year characterized by maximum wind power injection are also considered to be critical operating points due to the consumption of reactive power by the WTs under low voltage situations and the limited number of conventional power plants that would be operating to support voltage stability.
Selection of contingencies: When selecting the contingencies the same criterion is used, i.e., the set of contingencies is determined based on a worst case scenario. A sound method to select the critical contingencies must take into account the needs of the study and the characteristics of the power system itself. Different approaches have been proposed in literature for the determination of the CC [12]. In this work, the selection of the CC is focused on voltage stability problems and therefore short circuits at key network buses (from a voltage stability viewpoint) and line outages are included in the study. Short circuits applied at the connection point of each wind park are also considered a worst case scenario regarding voltage stability due to the reactive power consumption of WTs after the fault clearance.

2.8. Power System Stability Constraints

For each selected operating point (hours of the year), the selected contingencies are simulated in order to verify the dynamic performance of the power system. If one or more of these contingencies leads to power system instability, the obtained solution for the WT allocation problem is not feasible, and the linear optimization must be completed again by considering additional power system stability constraints (see Figure 1).
The additional constraints include limitation of WT injections at those buses leading to system instability. Two categories of stability constraints are considered:
  • Constraints regarding frequency stability: Most up-to-date grid codes around the world define Fault Ride-Through (FRT) requirements where the immediate disconnection of WTs in case of voltage dips is no longer admitted [18,19]. These requirements influence the occurrence probability of scenarios with massive disconnection of WTs and therefore have a direct impact on system frequency stability. Although this work put special emphasis on voltage stability issues, it is important to consider frequency stability constraints if such scenarios want to be avoided. Thus the maximum MW of wind power that can be disconnected at the same time must be limited. In this work, this is done by considering the primary power reserves (PPR) of the system.
    Consider Energies 06 00294 i015 as a solution of the linear optimization process (before the dynamic analysis). If contingency χ leads to a WT disconnection higher than PPR, an additional system security constraint is incorporated into the optimization process according to:
    Energies 06 00294 i016
    where k denotes those network buses at which the contingency χ leads to simultaneous disconnection of the WTs.
  • Constraints regarding voltage stability: Depending on the WT technology and the FRT requirements in force, important problems could arise with the voltage stability of the power system if reactive power reserves are not sufficient. This can become extremely important in cases of WTs based on induction generators and demanding FRT requirements with large voltage dips to ride through. To ensure voltage stability of the system, scenarios of high reactive power consumption by WTs should be avoided.
    In this context, if a contingency leads to a voltage instability situation, the WT injections at those buses/locations leading to the instability are reduced until no instability arises. Since voltage stability is a local phenomenon; the previously mentioned approach can be easily justified. The additional constraint in this case is similar to Equation (14).

3. Case Study

The optimization methodology proposed in this work is validated through the main Chilean transmission system (SIC) at year 2015. The validation is made based on the power system expansion plan established by the Chilean National Energy Commission [20].
Although the system still shows low penetration levels of wind power (200 MW representing less than 2% of the whole installed capacity), it is expected that wind energy will play an increasing role in the future power system of Chile. The numbers confirm this hypothesis: Until December 2011, there had been approximately 2,000 MW of WT projects for interconnection at the SIC and there are still more under study [21].
The Chilean case is a good example of a transmission network presenting several locations with notable capacity factors for WT projects, but with important technical constraints hampering its definitive network integration. Transmission system capacity constraints (especially in the northern part of the system where some of the best wind resources of the country are concentrated), and voltage stability problems due to the longitudinal structure of the system [22,23] are some of the critical problems to be considered.

3.1. Chilean Central Interconnected System (SIC)

The SIC is a medium-sized isolated power system characterized by long distances between major load centers and generation areas. Long transmission lines are distinctive of the system covering a total length of 2,200 km. The voltages in the bulk network are from 110 kV to 500 kV with nearly 750 buses. In order to illustrate the network structure, a simplified diagram is shown in Figure 2. The system is composed of hydroelectric and thermal power stations. Hydroelectric power plants are concentrated mainly in the south of the country, comprising about 50% of the whole installed capacity.

3.2. Developed Investigations

The optimization methodology to find the near optimal allocation of WTs is applied to the main Chilean transmission system at year 2015. For comparison purposes a BAU scenario is considered in which the WT network distribution is determined following a portfolio of WT projects [21]; therefore no optimization for the WT network allocation is realized. The BAU scenario is characterized by an installed capacity of 1220 MW of WTs based on induction generators covering 6% of the total energy demand at year 2015. In order to compare the BAU scenario with the scenario considered by the optimization, the optimization methodology is applied at year 2015 by considering a wind energy target of 6%.
Figure 2. Schematic of the Chilean transmission network.
Figure 2. Schematic of the Chilean transmission network.
Energies 06 00294 g002
Two possible WT technologies are considered by the methodology: Fixed Speed Induction Generators (FSIG), and Doubly Fed Induction Generators (DFIG). This is justified since no WT project based on synchronous generators with full converter has been officially presented until the present; hence, it can be assumed that the wind power network integration in Chile is going to be characterized in the mid-term by connection of WTs based on induction generators. It is important to note, however, that although for the present case study only WTs with induction generators are considered, the methodology allows considering different technologies as long as the pertinent power curve and dynamic model are available for the unit commitment and dynamic analysis respectively.
Five network connection points for WTs are considered in the optimization process (see Figure 2), all of them coinciding with connection points of the WT projects in the BAU scenario. Although some interesting places in terms of wind potential were detected in other areas, particular factors of these locations make the related WT projects not very attractive from an economic point of view, and were therefore discarded.
Table 2 shows the average capacity factor at each of these locations by considering 1 MW turbine of FSIG and DFIG.
A set of 20 critical contingencies was selected for the dynamic analysis of the power system including three-phase short circuits applied at the connection point of each wind park. Due to the importance of the FRT requirements for WTs in power system dynamic performance, the methodology is applied for two FRT requirements (see Figure 3).
Table 2. Variables definition.
Table 2. Variables definition.
LocationAverage capacity factor (%)
131
233
333
430
533
Figure 3. FRT requirements for WTs used in the optimization process.
Figure 3. FRT requirements for WTs used in the optimization process.
Energies 06 00294 g003
As explained in Section 2.8, if system stability is threatened for a given contingency, the solution for the WT allocation problem is not feasible, and the optimization is completed again by considering additional stability constraints.
Regarding the frequency stability constraints, a primary power reserve (PPR) of 200 MW was considered in the simulations. In this context, it is important to note that:
Low voltage situations lead to disconnection of wind parks based on FSIGs.
Wind parks based on DFIGs are able to ride through grid faults and therefore no disconnection takes place in cases of disturbances.
In this way, the installed capacity of wind parks based on FSIGs will be limited according to the PPR in order to ensure frequency stability.

3.3. Dynamic Model of WTs

In the present subsection only the main issues regarding the WT models used in the dynamic simulations are presented. More details can be found in [23,24].
The WT model is comprised of aerodynamic, mechanical, and electrical models. A pitch angle control is implemented to limit the generator speed in normal operation as well as in cases of disturbances. An actuator disc concept is taken into account in the aerodynamic model under the assumption of constant wind velocity. The drive train is approximated by a two mass model (one mass to represent the turbine rotor inertia and the other representing the generator rotor inertia). Both masses are connected by a flexible low-speed shaft characterized by stiffness and damping. As is usual in fundamental frequency simulations, the generator dynamic is simplified by neglecting stator transients (third order model).
In the case of a WT based on DFIGs the use of power converters during normal operation enables the DFIGs to operate at optimal rotor speed thus maximizing the power generation. In case of voltage dips, high over-currents in the rotor and/or over-voltages at the DC link could damage the converters. Therefore, a protection system is included. A common protection system is an external rotor impedance known as a crowbar circuit. When a fault is detected, the protection system acts by short-circuiting the generator rotor through the crowbar. Once the rotor side converter is blocked, the DFIG will operate like a typical induction generator; meaning that the controllability of active and reactive power is lost. When the fault is cleared and the terminal voltage is recovered, the crowbar is disconnected and the DFIG can resume normal operation very quickly.

4. Obtained Results

4.1. Optimal Allocation of WTs

Table 3 shows a summary of the results obtained from the application of the optimization methodology in the SIC by considering a wind power energy target of 6% and two FRT requirements (see Figure 3). The data of the BAU scenario is also shown in the table only for comparison purposes.
Table 3. Summary of obtained results.
Table 3. Summary of obtained results.
ScenarioFRT requirementInstalled capacity (MW)Investment cost (Mill. Euros)
FSIGDFIGTotal
With optimizationFRT 14147901,2041,080
FRT 26006421,2421,062
BAU-4208001,2201,094
Results shown in Table 3 confirm that the use of the optimization methodology reduces the total costs associated with a determined energy target. Although the cost differences compared with the BAU scenario are not significant, the differences regarding dynamic system performance must be taken into account (see next subsection).
In this first stage of the WT network allocation process, the optimization deals with the trade-off between investment costs and energy generated by each WT technology. Obtained results indicate that at this stage the optimization gives priority to network integration of FSIGs. Therefore it can be concluded that for the present study, the higher total annual energy of DFIGs (per installed MW) compared to FSIGs, does not compensate for its higher investment costs. However, this situation cannot be generalized since it depends on energy price, wind potential, characteristics of the WTs location, and the investment cost itself, leading to the conclusion that under different conditions, the higher investment costs of DFIGs could eventually be compensated by its greater efficiency.
Table 3 also shows that the optimization methodology considering FRT 1 involves higher investment cost than when FRT 2 is considered. This is because FRT 1 introduces more stringent requirements for WTs by forcing them to sustain operation even if the voltage at the connection point decreases to zero. If large voltage dips must be ridden through, problems may arise by connecting low cost WT technologies like FSIGs due to their high reactive power consumption under severe faults. The network integration of FSIGs is thus limited due to power system stability constraints. Since no additional investments in dynamic reactive power support devices are considered, the wind power energy target can only be achieved through network integration of DFIGs; a more expensive WT technology.
The Table 4 shows the WT network distribution for each scenario. As before, the WT distribution in the case of the BAU scenario is shown only for comparison purposes. As can be seen, high capacity factor locations (grouped on buses 2, 3, and 5) are fully used by the optimization methodology to achieve the energy target while lower capacity factor areas (connection point 4) are not used. The logic behind the minimization of the investment costs, i.e., to use areas with higher capacity factors, is thus verified in the methodology.
Table 4. WT distribution (MW).
Table 4. WT distribution (MW).
Connection pointWT technologyScenario
With optimizationBAU
FRT 1FRT 2-
1FSIG3420084
DFIG000
2FSIG90072
DFIG258184320
3FSIG90200186
DFIG258184260
4FSIG0049
DFIG000
5FSIG20020029
DFIG274274220

4.2. Dynamic Analysis of the Power System

A simplified model of 250-busbars of the Chilean network was implemented in the power system simulation tool DIgSILENT Power Factory [25] for dynamic analysis of the critical contingencies. The model considers additional generation capacity which is expected to come online by 2015, as well as the decommissioning plan of conventional power plants. The planned installed capacity is about 15 GW for an estimated peak load of 9 GW. The developed model includes 170 synchronous generators representing the conventional power plants of the year 2015, and about 100 consumption centers distributed throughout the system.
The simulations are made by considering a converter rating for DFIGs of 30% of the generator capacity, while the compensation of FSIGs is made using static var compensators (SVC) rated at 40% of the wind farm capacity. Using the simplified model of 250-busbars of the Chilean SIC, a dynamic analysis of the critical contingencies was realized.
At this stage of the optimization, new constraints may be imposed depending on system performance in the dynamic analysis. In general, the dynamic simulations lead to a reduction of the installed capacity of FSIGs due to voltage stability problems in the power system. For instance, Figure 4 shows the voltage of the wind park connected at bus 1 when applying a three-phase short circuit at t = 0.05 ms during 150 ms. The figure shows system response for each scenario by considering both FRT requirements presented in Figure 3 (FRT1 and FRT2). It can be seen that unlike the BAU scenario, in both cases in which the optimization methodology is applied, no voltage instability appears. This is, however, an expected result since the optimization process is realized by considering power system stability constraints, meaning that no instabilities should arise.
Figure 4. Voltage at connection point of the wind park connected at bus 1.
Figure 4. Voltage at connection point of the wind park connected at bus 1.
Energies 06 00294 g004
The figure above shows that if FRT 1 is considered in the BAU scenario, the short circuit leads to large voltage oscillations during the first seconds after the fault clearance. This is caused by torsional oscillations of the shaft, a typical characteristic of FSIGs during large disturbances. Since no decoupling between WT and electrical network exists, these oscillations are directly reflected in the system. After this transient period has died down, the voltage is no longer controlled and the system becomes unstable (this is clear when observing the progressive and uncontrollable decline in voltage). The power system is, thus, not able to maintain stability in the BAU scenario if WTs must sustain operation when the voltage at the connection point decreases to zero. Considering this dynamic performance, additional equipment to improve power system stability would be needed in order to counteract the negative effects of the WT injections. As a consequence, if the BAU scenario with FRT 1 takes place, additional costs for the power system must be taken into account. On the other hand, if FRT 2 is considered (i.e., WTs are disconnected from the grid when the voltage at the connection point decreases below 0.2 p.u.), stability problems are not experienced by the power system. These results confirm that system dynamic performance under high penetration levels of wind power is extremely dependent on the FRT requirements in force: the lower the voltage dip to ride through by the WT, the greater the effort demanded from the turbine. This is especially true in case of FSIGs due to its dynamic performance during low voltage situations. Thus, depending on the FRT requirements and the characteristics of the transmission system, the wind power network integration based on FSIGs could only be realized if additional investments for improving system stability are considered. Consequently, for a scenario with non-additional transmission investments, as considered in the present work, the wind power integration based on FSIGs must be limited due to voltage stability constraints.
Comparing with the case when the WTs are distributed according to the proposed optimization methodology, it can be seen that even when the most stringent FRT requirements are considered (i.e., FRT 1), no instability arises. However, the amount of FSIGs connected at bus 1 in this case must be reduced from 84 MW to 34 MW (see Table 4). On the other hand, if FRT 2 is considered no instability is experienced by the system and the amount of FSIGs connected at bus 1 can be increased until 200 MW. This confirms that system dynamic response depends in a complex manner on the network distribution of the wind power, WT technology, and the grid requirements in force. Hence, no general conclusion regarding the effects of WTs on power system dynamic performance can be made. Indeed, independent studies for each power system—taken into account the characteristics of the wind power network development and the power system itself—must be carried out when defining proper signals to WT investors to achieve secure and cost effective wind power network integration.

5. Conclusions

In this work, a novel optimization methodology for finding the near optimal allocation of WTs on a planned transmission network was developed. The algorithm allocates the turbines so that a desired wind energy-penetration level is reached while minimizing the WT investment costs. The main contribution is to propose an optimization algorithm that combines both transmission security and power system stability constraints. The proposal is aimed especially at countries in the primary stage of wind power development, where the WT network integration process can still be influenced by policy makers and where the expansion planning for the power system still does not incorporate the development of renewable energies.
The methodology is a support instrument for regulators to generate policy strategies aiming to give proper signals to WT investors in order to reach the desired wind power network integration. The strategies can be defined through changes and adaptations of the regulatory framework in the electricity market, i.e., tendering processes for WT projects, feed-in tariffs with location signals, warranties found for investment promotion, differentiated taxes, etc. As a result, price signals will be followed by the agents in the market leading to secure and cost-effective WT network development. Based on system development, new adaptations or adjustments of the regulatory framework can be made at regular time intervals.
The proposed methodology is validated with a real power system. Obtained results are compared with those generated from a BAU scenario in which the WT network allocation is made according to existing WT projects. From the economic viewpoint, results indicate that the WT network allocation scheme obtained through the proposed optimization methodology not only reduces the total investment costs associated with a wind energy target, but also reduces the need for additional grid reinforcements to ensure power system stability. Therefore, optimal use of power system capacities and wind resources is realized by ensuring system security. The dynamic simulations show that the effects of wind power on system stability depend strongly on the WT network allocation, WT technology, and the FRT requirements in force. The importance of considering power system stability constraints when planning the wind power network integration process is thus verified.
As future work, the methodology can be improved further if additional network reinforcements are explicitly considered during the optimization process in order to counteract possible negative effects of WTs, or to permit wind power network integration at those locations where transmission capacities are not sufficient.

Acknowledgment

The authors would like to acknowledge the support of the Chilean Council of Scientific and Technological Research, CONICYT (Fondecyt #1120317) and the Complex Engineering Systems Institute (ICM: P-05-004-F, CONICYT: FBO16) in the realization of this work.

References

  1. Doherty, R.; O’Malley, M. A new approach to quantify reserve demand in systems with significant installed wind capacity. IEEE Trans. Power Syst. 2005, 20, 587–595. [Google Scholar] [CrossRef]
  2. Karki, R.; Po, Hu; Billinton, R. A simplified wind power generation model for reliability evaluation. IEEE Trans. Energy Convers. 2006, 21, 533–540. [Google Scholar] [CrossRef]
  3. Meegahapola, L.; Flynn, D. Impact on Transient and Frequency Stability for a Power System at Very High Wind Penetration. In Proceedings of 2010 IEEE Power Energy Society General Meeting, Minneapolis, MN, USA, 25–29 July 2010.
  4. Energiewirtschaftliche Planung für die Netz-integration von Windenergie in Deutschland an Land und Offshore bis zum Jahr 2020; [In German]; Deutsche Energie-Agentur GmbH: Berlin, Germany, 2005.
  5. Erlich, I.; Winter, W.; Dittrich, A. Advanced Grid Requirements for the Integration of Wind Turbines into the German Transmission System. In Proceedings of 2006 IEEE Power Engineering Society General Meeting, Montreal, Canada, 18–22 June 2006.
  6. Ackermann, T. Wind Power in Power Systems; Wiley: Chichester, UK, 2005. [Google Scholar]
  7. Burke, D.J.; O’Malley, M.J. Optimal Firm Wind Capacity Allocation to Power Systems with Security Constraints. In Proceedings of 2009 IEEE/PES Power Systems Conference and Exposition (PSCE 09), Seattle, WA, USA, 15–18 March 2009.
  8. Wei, Q.; Harley, R.G. Effect of Grid-Connected DFIG Wind Turbines on Power System Transient Stability. In Proceedings of 2008 IEEE Power and Energy Society General Meeting—Conversion and Delivery of Electrical Energy in the 21st Century, Pittsburgh, PA, USA, 20–24 July 2008.
  9. Burke, D.J.; O’Malley, M.J. Maximizing firm wind connection to security constrained transmission networks. IEEE Trans. Power Syst. 2010, 749–759. [Google Scholar] [CrossRef]
  10. Nick, M.; Riahy, G.H.; Hosseinian, S.H.; Fallahi, F. Wind power optimal capacity allocation to remote areas taking into account transmission connection requirements. IET Renew. Power Gener. 2011, 5, 347–355. [Google Scholar] [CrossRef]
  11. Burke, D.J.; O’Malley, M.J. Optimal Wind Power Location on Transmission Systems—A Probabilistic Load Flow Approach. In Proceedings of the 10th International Conference on Probabilistic Methods Applied to Power Systems (PMAPS 08), Rincón, Puerto Rico, 25–29 May 2008.
  12. Wood, A.J.; Wollenburg, B.F. Power Generation, Operation, and Control, 2nd ed.; John Wiley and Sons: New York, NY, USA, 2001. [Google Scholar]
  13. Zhou, F.Q.; Joos, G.; Abbey, C. Voltage Stability in Weak Connection Wind Farms. In Proceedings of 2005 IEEE Power Engineering Society General Meeting, San Francisco, CA, USA, 12–16 June 2005.
  14. Rosas, P. Dynamic Influences of Wind Power on the Power System. Ph.D. Thesis, Technical University of Denmark, Copenhagen, Denmark, March 2003. [Google Scholar]
  15. Samuelsson, O.; Lindahl, S. On speed stability. IEEE Trans. Power Syst. 2005, 20, 1179–1180. [Google Scholar] [CrossRef]
  16. Erlich, I.; Shewarega, F.; Engelhardt, S.; Kretschmann, J.; Fortmann, J.; Koch, F. Effect of Wind Turbine Output Current during Faults on Grid Voltage and the Transient Stability of Wind Parks. In Proceedings of 2009 IEEE Power & Energy Society General Meeting (PES 09), Calgary, Canada, 26–30 July 2009.
  17. Feltes, C.; Engelhardt, S.; Kretschmann, J.; Fortmann, J.; Koch, F.; Erlich, I. Comparison of the Grid Support Capability of DFIG-Based Wind Farms and Conventional Power Plants with Synchronous Generators. In Proceedings of 2009 IEEE Power & Energy Society General Meeting (PES 09), Calgary, Canada, 26–30 July 2009.
  18. Grid Code: High and Extra High Voltage; Technical Report; E.On Netz GmbH: Bayreuth, Germany, 2006.
  19. EEG-Erzeugungsanlagen am Hoch- und Höchstspannungsnetz [in German]; Verband der Netzbetreiber (VDN): Berlin, Germany, 2004.
  20. Chilean National Energy Commission Home Page. Available online: http://www.cne.cl (accessed on 27 December 2012).
  21. Environmental Impact Assessment Office (SEIA) Home Page. Available online: http://www.e-seia.cl/ (accessed on 27 December 2012).
  22. Vargas, L.; Quintana, V.H.; Miranda, R. Voltage collapse scenario in the Chilean interconnected system. IEEE Trans. Power Syst. 1999, 14, 1415–1421. [Google Scholar] [CrossRef]
  23. Rahmann, C.; Haubrich, H.-J.; Moser, A.; Palma-Behnke, R.; Vargas, L.; Salles, M.B.C. Justified fault-ride-through requirements for wind turbines in power systems. IEEE Trans. Power Syst. 2011, 26, 1555–1563. [Google Scholar] [CrossRef]
  24. Rahmann, C.; Haubrich, H.-J.; Vargas, L.; Salles, M.B.C. Investigation of DFIG with Fault Ride-Through Capability in Weak Power Systems. In Proceedings of 2009 International Conference on Power Systems Transients (IPST 2009), Kyoto, Japan, 2–6 June 2009.
  25. DIgSILENT Power Factory Home Page. Available online: http://www.digsilent.de/ (accessed on 27 December 2012).

Share and Cite

MDPI and ACS Style

Rahmann, C.; Palma-Behnke, R. Optimal Allocation of Wind Turbines by Considering Transmission Security Constraints and Power System Stability. Energies 2013, 6, 294-311. https://doi.org/10.3390/en6010294

AMA Style

Rahmann C, Palma-Behnke R. Optimal Allocation of Wind Turbines by Considering Transmission Security Constraints and Power System Stability. Energies. 2013; 6(1):294-311. https://doi.org/10.3390/en6010294

Chicago/Turabian Style

Rahmann, Claudia, and Rodrigo Palma-Behnke. 2013. "Optimal Allocation of Wind Turbines by Considering Transmission Security Constraints and Power System Stability" Energies 6, no. 1: 294-311. https://doi.org/10.3390/en6010294

APA Style

Rahmann, C., & Palma-Behnke, R. (2013). Optimal Allocation of Wind Turbines by Considering Transmission Security Constraints and Power System Stability. Energies, 6(1), 294-311. https://doi.org/10.3390/en6010294

Article Metrics

Back to TopTop