Next Article in Journal
Exploring Malaysia’s Transformation to Net Oil Importer and Oil Import Dependence
Next Article in Special Issue
Dynamic Coordinated Shifting Control of Automated Mechanical Transmissions without a Clutch in a Plug-In Hybrid Electric Vehicle
Previous Article in Journal
Preparation and Electrical Properties of Insulation Paper Composed of SiO2 Hollow Spheres
Previous Article in Special Issue
Electric Vehicle Scenario Simulator Tool for Smart Grid Operators
 
 
Font Type:
Arial Georgia Verdana
Font Size:
Aa Aa Aa
Line Spacing:
Column Width:
Background:
Article

Rechargeable Energy Storage Systems for Plug-in Hybrid Electric Vehicles—Assessment of Electrical Characteristics

1
Vrije Universiteit Brussel, Pleinlaan 2, Brussel, 1050, Belgium
2
Erasmus University College, Nijverheidskaai 170, Brussel, 1070, Belgium
*
Author to whom correspondence should be addressed.
Energies 2012, 5(8), 2952-2988; https://doi.org/10.3390/en5082952
Submission received: 10 April 2012 / Revised: 30 July 2012 / Accepted: 31 July 2012 / Published: 10 August 2012
(This article belongs to the Special Issue Vehicle to Grid)

Abstract

:
In this paper, the performances of various lithium-ion chemistries for use in plug-in hybrid electric vehicles have been investigated and compared to several other rechargeable energy storage systems technologies such as lead-acid, nickel-metal hydride and electrical-double layer capacitors. The analysis has shown the beneficial properties of lithium-ion in the terms of energy density, power density and rate capabilities. Particularly, the nickel manganese cobalt oxide cathode stands out with the high energy density up to 160 Wh/kg, compared to 70–110, 90 and 71 Wh/kg for lithium iron phosphate cathode, lithium nickel cobalt aluminum cathode and, lithium titanate oxide anode battery cells, respectively. These values are considerably higher than the lead-acid (23–28 Wh/kg) and nickel-metal hydride (44–53 Wh/kg) battery technologies. The dynamic discharge performance test shows that the energy efficiency of the lithium-ion batteries is significantly higher than the lead-acid and nickel-metal hydride technologies. The efficiency varies between 86% and 98%, with the best values obtained by pouch battery cells, ahead of cylindrical and prismatic battery design concepts. Also the power capacity of lithium-ion technology is superior compared to other technologies. The power density is in the range of 300–2400 W/kg against 200–400 and 90–120 W/kg for lead-acid and nickel-metal hydride, respectively. However, considering the influence of energy efficiency, the power density is in the range of 100–1150 W/kg. Lithium-ion batteries optimized for high energy are at the lower end of this range and are challenged to meet the United States Advanced Battery Consortium, SuperLIB and Massachusetts Institute of Technology goals. Their association with electric-double layer capacitors, which have low energy density (4–6 Wh/kg) but outstanding power capabilities, could be very interesting. The study of the rate capability of the lithium-ion batteries has allowed for a new state of charge estimation, encompassing all essential performance parameters. The rate capabilities tests are reflected by Peukert constants, which are significantly lower for lithium-ion batteries than for nickel-metal hydride and lead-acid. Furthermore, rate capabilities during charging have been investigated. Lithium-ion batteries are able to store about 80% of the capacity at current rate 2It, with high power cells accepting over 90%. At higher charging rates of 5It or more, the internal resistance impedes charge acceptance by high energy cells. The lithium titanate anode, due to its high surface area (100 m2/g compared to 3 m2/g for the graphite based anode) performs much better in this respect. The behavior of lithium-ion batteries has been investigated at different conditions. The analysis has leaded us to a new lithium ion battery model. This model will be compared to existing battery models in future research contributions.

1. Introduction

As the global economy begins to strain under the pressure of rising petroleum prices and environmental concerns, research have spurred into the development of various types of clean energy transportation systems such as Hybrid Electric Vehicles (HEVs), Battery Electric Vehicles (BEVs) and Plug-In Hybrid Electric Vehicles (PHEVs) [1,2,3,4,5]. Especially PHEVs acquire the most attention due to the combination of electrical source and conventional engine. This type of vehicle provides the user a considerable pure electrical range and also an extended range, which can be performed by a conventional Internal Combustion Engine (ICE). The establishment of a Rechargeable Energy Storage System (RESS) that can support the output power during acceleration, efficiently use the regenerative energy and perform for a considerable cycle life are the critical aspects to be met by battery technologies [6,7,8].
During the last decade, a series of hybridization topologies have been proposed in order to enhance the power density and cycle life performances of energy storage systems [9,10,11,12]. In [13,14,15,16,17,18,19] is documented that the combination of Valve-Regulated Lead-Acid (VRLA) battery and Electrical Double-Layer Capacitors (EDLCs) can result into an extension of the battery life and an increase of the energy efficiency and power capabilities. However, in [13] Omar et al. underlined that the association with EDLCs is still expensive due to the high cost price of the DC-DC converter.
In [8] Cooper et al. proposed a new technology, called UltraBattery. This RESS technology combines in the same battery cell the advantages of the EDLC and lead–acid batteries by using an asymmetric approach. However, this technology is still in developing process and its real performances are under investigation.
From the beginning of the nineties, lithium-ion technology has received considerable attention due to the high energy density, power capabilities compared to VRLA, nickel-metal hydride and nickel cadmium based technologies [20,21,22,23,24,25,26,27,28,29,30,31,32,33,34]. Due to the lowest standard reduction potential (E° = −3.04 V), equivalent weight (M = 6.94 g/mol) and high exchange current density, lithium as an electrode can be considered as a most favourable material [35] as it is presented in Table 1.
Table 1. Standard potential [35].
Table 1. Standard potential [35].
Cathode (reduction), half reactionStandard potential E° [V]
Li+ (aq) + e → Li(s)−3.04
K+ (aq) + e → K(s)−2.92
Ca2+ (aq) + 2e → Ca(s)−2.76
Na+ (aq) + e → Na(s)−2.71
Zn2+ (aq) + 2e → Zn(s)−0.76
2H+ + 2e → H20
Cu2+ (aq) + 2e → Cu(s)0.34
F2 (g) + 2e → 2F (aq)2.87
Contrary to the traditional redox reactions based batteries, rechargeable lithium-ion batteries works according so called “intercalation” or “insertion” process. During discharge, lithium-ions are extracted from the anode electrode and migrate across the electrolyte into the crystal lattice of the cathode material, without changing of the crystal structure (see Figure 1). The reverse mechanism occurs during charging [35].
Figure 1. Charge and discharge process of secondary lithium-ion batteries [35].
Figure 1. Charge and discharge process of secondary lithium-ion batteries [35].
Energies 05 02952 g001
The lithium-ion family encompasses a number of chemistries based of the used materials in the anode and cathode (see Table 2). According to the references [36,37,38,39], the potential lithium-ion chemistries candidates in PHEVs are:
  • Lithium iron phosphate (LiFePO4);
  • Lithium nickel manganese cobalt oxide ((LiNiMnCoO2);
  • Lithium nickel cobalt aluminum (LiNiCoAlO2);
  • Lithium titanate oxide (LiTiO2);
  • Lithium manganese spinel oxide (LiMn2O4).
Table 2. Comparison of the most relevant anode and cathode materials [38,39].
Table 2. Comparison of the most relevant anode and cathode materials [38,39].
Positive/negative electrode materialNominal cell voltage [V]Specific capacity Positive/negative [mAh/g]
LiCoO2/graphite3.7120/370
LiMn2O4(LMO)/graphite3.7100/370
LiNiO2/graphite3.7170/370
LiFePO4 (LFP)/graphite3.3150–160/370
LiCoNiMnO2(NMC)/graphite3.7130–160/370
LiNiMnCoO2/graphite3.7200/370
LiNiCoAlO2(NCA)/graphite3.7180/370
Graphite/LiTiO2 (LTO)2.2175/160
In portable applications, lithium cobalt oxide (LiCoO2) based batteries have a superior position. However, the applicability of this battery chemistry is not appropriate in the PHEVs due to their less beneficial thermal stability, high cost and limited availability of cobalt [39,40,41,42,43,44,45].
In [44,45] it is documented that battery cell capacity decreases very fast during cycling. Amatucci et al. reported that less lithium could be intercalated during discharge due to the fact that cobalt is dissolved in the electrolyte when the electrode is delithiated during charging. The second reason is due to the formation of the CoO2 layer formed after delithiated, which also results in minimization of the cathode surface, as consequence increase of the impedance and less capacity for lithium interaction [40,46,47]. In order to overcome this problem, LiCoO2 is replaced by a mixture of cobalt and nickel. The most used composition is LiCo0.2Ni0.8O2 [48]. Here, nickel is significantly cheaper than cobalt and the battery cost can be reduced [49]. However, this composition is less ordered compared to LiCoO2 [49,50]. In order to improve the stability of LiCoO2 or LiNiO2 or LiCo0.2Ni0.8O2, aluminium can be added. This composition is LiNi0.8Co0.15Al0.05O2. Aluminium doping is beneficial to suppress the impedance increase by stabilization the charge transfer impedance on the cathode side and improvement of the electrolyte stability [39].
Lithium iron phosphate (LiFePO4) with olivine structure has been proposed as a promising candidate to overcome the weakness of the earlier cathode materials [50] (see Figure 2). The LiFePO4 based batteries have high thermal stability and are much less expensive than the earlier mentioned battery chemistries. Moreover they are non-toxic [50]. In contradiction to LiCoO2, LiCo0.2Ni0.8O2, LiNi0.8Co0.15Al0.05O2 and LiNi1/3Mn1/3Co1/3O2, LiFePO4 batteries do not release oxygen at elevated temperatures, which can react with the electrolyte and results in thermal runaway [51,52].
Figure 2. Olivine structure [51].
Figure 2. Olivine structure [51].
Energies 05 02952 g002
From the point of view of the anode material, graphite seems the most appropriate candidate due to the high specific capacity: 370 mAh/g [52,53]. However, graphite based anodes have some particular problems such as less beneficial performances at low temperatures and formation of the passivating Solid Electrolyte Interface (SEI) layer as presented in Figure 3. In the last years new anodic materials have been proposed based on Titanate oxides (TiO2) [54,55]. According to Brousseley et al. and Colbow et al., lithium titanate oxide is a more ideal insertion material with a specific capacity of 175 mAh/g [54,55]. It is safer and no SEI layer occurs on the anode surface.
Figure 3. Formation of SEI layer [50].
Figure 3. Formation of SEI layer [50].
Energies 05 02952 g003
Regarding liquid electrolytes in lithium-ion based batteries; the conductivity, viscosity and stability are the most important assessment parameters. In the literature, one can find several lithium salts such as LiPF6, LiBF4, LiSO3CF3 and LiC(SO2CF3)3 [56] (see Figure 4). Wenige et al. conclude that LiPF6 is the most commonly used lithium salt in lithium-ion batteries and it has a high conductivity against other electrolytes [56]. However, during charging, organic solvent forms a SEI layer with the graphite based anode, which decreases the conductivity of the system. Moreover, lithium ions cannot be used with aqueous electrolyte because lithium ions react with it and form lithium hydroxide. The electric conductivity of organic LiPF6 electrolyte is 10 to 1000 times lower than aqueous electrolytes as in nickel-metal hydride and lead-acid batteries.
Figure 4. Comparison of various electrolytes for lithium-ion batteries based on conductivity [56].
Figure 4. Comparison of various electrolytes for lithium-ion batteries based on conductivity [56].
Energies 05 02952 g004
In the framework of this research, the general characteristics of 25 commercial lithium-ion battery cell types of various brands, shapes and capacities from 2.3 to 90 Ah have been investigated and compared to the performances of nickel-metal hydride battery cells, lead-acid, and EDLCs (see Table 3, Table 4, Table 5 and Table 6).
The examined parameters are the energy density, charge and discharge capabilities at different current rates, power capabilities and self-discharge. According to the Hybrid Pulse Power Characterization Test, the batteries behaviour in function of state of charge and current rates have been analyzed and a new lithium-ion battery model is proposed.
Table 3. Specifications studied lithium-ion brands.
Table 3. Specifications studied lithium-ion brands.
Battery brandRated capacity [Ah]Nominal voltage [V]ShapeChemistry
A2.33.3CylindricalLFP
B103.3CylindricalLFP
C183.3CylindricalLFP
D3.53.3CylindricalLFP
E2.53.3CylindricalLFP
F113.3CylindricalLFP
G303.3PrismaticLFP
H453.3PrismaticLFP
I903.3PrismaticLFP
J403.3PrismaticLFP
K103.3PrismaticLFP
L73.3PouchLFP
M143.3PouchLFP
N113.3PouchLFP
O453.3PouchLFP
P453.3PouchLFP
Q202.2PouchLTO
R152.2PouchLTO
S273.7CylindricalNCA
T253.7PouchNMC
U123.7PouchNMC
V703.7PouchNMC
W5.73.7PouchNMC
Y403.7PouchNMC
X3.23.7PouchNMC
Table 4. Specifications studied VRLA batteries.
Table 4. Specifications studied VRLA batteries.
Battery brandRated capacity [Ah]Nominal voltage [V]Shape
A812Cylindrical
B8.512Prismatic
C5712Prismatic
D1712Prismatic
E5112Prismatic
F5012Prismatic
G6012Prismatic
H7012Prismatic
I4212Prismatic
Table 5. Specifications studied nickel-metal hydride.
Table 5. Specifications studied nickel-metal hydride.
Battery brandRated capacity [Ah]Nominal voltage [V]Shape
A301.2Prismatic
B111.2Cylindrical
C31.2Cylindrical
D31.2Cylindrical
E101.2Cylindrical
Table 6. Specifications studied EDLCs.
Table 6. Specifications studied EDLCs.
EDLC brandRated capacity [F]Nominal voltage [V]Shape
A30002.7Cylindrical
B30002.7Cylindrical
C30002.7Cylindrical
D26002.7Cylindrical
E15002.7Cylindrical
F6002.5Cylindrical
G4502.5Cylindrical
Furthermore, this research compares the different battery design concepts such as cylindrical, prismatic and pouch cells as presented in Figure 5. The investigated aspects are the most critical local temperature development and the needed requirements for a battery pack system.
Figure 5. Different lithium-ion battery design concepts.
Figure 5. Different lithium-ion battery design concepts.
Energies 05 02952 g005
In order to be able to compare the abilities of these energy storage devices in PHEVs, the U.S. Battery Advanced Consortium, Electric Power Research Institute (EPRI) and Sloan Automotive Laboratory at the Massachusetts Institute of Technology (MIT) [6,57,58] as listed in Table 7 will be used. Then these objectives will be compared against the goals that have been defined in the framework of the European project SuperLIB: Advanced Dual-Cell Battery Concept for Battery Electric Vehicles [59]. Here, it should be underlined that the battery cells will be analyzed based on “black-box” approach. This means that the cells will not be investigated on the electrode level as usually done by chemists.
Table 7. Plug-in Hybrid Electric Vehicle requirements [6,57,58,59].
Table 7. Plug-in Hybrid Electric Vehicle requirements [6,57,58,59].
USABCEPRIMITSuperLIB
Range [miles]10/4020/603040
CD operationAERBlendedAERAER
Energy density [Wh/kg]93/14237/59133>75
Power density [W/kg], 10 s pulse833/383340/328733775
Cycle life (charge depleting), (% DoD)5000 (70)2400/1400 (80)2500 (70)2000 (90)
Cycle life (charge sustaining)300.000200.000175.000?
Cost price [$/kWh]300/200-320?
Vehicle mass [kg]1950/16001664/178213501300
Battery mass [kg]60/120159/30260250
The assessment and characterization of RESS is a hard task. It can be performed at different ways as proposed by the references [21,25,34,35,36,37,38,39,40,41,42,43,44,45,46,47,48,49]. As mentioned before, these methodologies aim to analyze limited specific parameters. In this study, a new characterization method is presented in Figure 6 based on the described tests sequences in [60,61]. As we notice, the methodology contains all the essential characterizations and performance tests at room temperature (RT). According to this way, also all relevant parameters can be derived for modeling of battery technology or type.
Figure 6. Characterization methodology.
Figure 6. Characterization methodology.
Energies 05 02952 g006

2. Results and Discussion

2.1. Energy Density

In Figure 7 and Figure 8 the results of the dynamic discharge performance tests are mapped out. As we can observe in Figure 7, the energy density of lithium nickel manganese cobalt oxide cathode cells is in the range of 70–160 Wh/kg, compared to 70–110 Wh/kg for lithium ion phosphate cathode cells. In the same figure, we can recognize that LiNiMnCoO2 cathode cells also could be optimized for hybrid applications rather than battery electric vehicles, as is the case for battery brand W-NMC, where the energy density is about 71 Wh/kg.
Figure 7 illustrates that the energy density of lithium nickel cobalt aluminum cathode cells is less favourable: 90 Wh/kg. However, in [21] is documented that the energy density of such chemistry is comparable to the LiNiMnCoO2 based cells. Furthermore, the results show that the energy density of lithium titanate anode cells is relatively low: 70 Wh/kg. The latter point is due to the lower nominal voltage, which is about 2.2 V. While the high energy abilities of LiNiMnCoO2 are the results of the high nominal voltage and high specific capacity as presented in Table 3.
According to the preliminarily results, we can conclude that only LiNiMnCoO2 based cells can meet all listed requirements. While the other mentioned chemistries including nickel-metal hydride fulfill the EPRI goal of 37 Wh/kg. Figure 8 reveals that the abilities of lead-acid batteries (23–28 Wh/kg) are very limited compared to other battery technologies.
Figure 7. Energy density versus energy efficiency of various lithium-ion chemistries on cell level.
Figure 7. Energy density versus energy efficiency of various lithium-ion chemistries on cell level.
Energies 05 02952 g007
Figure 8. Energy density versus energy efficiency of nickel based, lead-acid batteries and EDLCs on cell level.
Figure 8. Energy density versus energy efficiency of nickel based, lead-acid batteries and EDLCs on cell level.
Energies 05 02952 g008
Here, it should be underlined that EPRI objectives in the terms of energy are rather conservative due to heavier battery mass assumptions (159–320 kg) compared to USABC and MIT (60–120 kg). However SuperLiB objectives regarding the battery mass are more stringent. The total battery mass is estimated on 250 kg including enclosure, interconnection between the cells, heating and cooling systems, where the USABC, MIT and EPRI requirements assume an additional weight of 20 up to 30% of the battery cells.
According to the specifications of European batteries and EIG Batteries packs, only the mass of the enclosure, interconnections and BMS are considered about 15%–20% of the total battery cells weight [62,63]. With adding heating and cooling systems, the energy density at the battery pack level will be significantly lower.
In Figure 8 the energy performances of EDLCs are presented and compared. The values vary between 2 and 6 Wh/kg. The obtained results indicate the poor energy abilities of activated carbon-carbon EDLCs. This result to the fact these systems can not be used a main energy source as they are in fact designed as power devices.
Here it should be noted that EDLCs are energy storage systems sized to meet high power applications. The mechanisms inside the EDLCs are totally different of the redox and lithium-ion batteries. As it is presented in Figure 9 an EDLC consists of two porous carbons based electrodes, an organic electrolyte and a separator. Unlike to conventional capacitors, there is no reaction between the electrolyte and electrode surface. By applying a voltage, the ions in the electrolyte attract with the opposite charge of the electrode [64,65]. Thus, a double-layer will be formed at each electrode. Here it should be underlined that each double-layer can be assumed as a conventional capacitor. The both layers correspond to two capacitors in series, where the total capacitance is equal to CEDLC = (1/Ccap1 + 1/Ccap2)−1. But due to the porous electrode surface area A and the short distance d, the obtained capacitance is much higher than conventional capacitors as expressed in the following equation:
C E D L C = ε . ε o A d
where ε and εo represent the relative permittivity of the dielectric material and permittivity of the free space, respectively. The specific capacitance of one electrode is about 100 F/g, which is assumed based on 1000 m2/g for the surface area of the electrode and 10 μF/cm2 for the double-layer [65].
From Figure 9 we can notice that the internal resistance will be much smaller than conventional capacitors. Thus the energy efficiency of EDLCs is in the range of 95%–98%, as illustrated in Figure 8.
Figure 9. EDLC working mechanisms [16].
Figure 9. EDLC working mechanisms [16].
Energies 05 02952 g009
On the other hand, the MIT requirements are based on the charge depleting driving mode, where the internal combustion engine is assisting the battery system; in the USABC and EPRI, however the energy content is assumed according to the All Electric Mode, whereby the battery is only the active energy source until 70% and 80% DoD has been reached for USABC and EPRI, respectively.
In order to limit energy losses and temperature rising inside the battery system, the energy efficiency of such battery should be very high. In Figure 7 we observe that the energy efficiency of the lithium ion batteries is in the range of 86%–98% against 74% for nickel metal hydride, 75%–85% for lead-acid and 65% for nickel cadmium battery.
Here it should be noted that the nickel based and lead-acid battery cells have been charged and discharged at the same way as the lithium-ion batteries. The charge current was 1It and the discharge current was based on the DDP test as reported in [60,61].
Figure 7 shows that the lithium-ion pouch battery design concept has better characteristics (93%–98%) compared to 89%–93% and 86%–91% for cylindrical and prismatic battery cells, respectively. The better performances of pouch cells are due to the bigger surface area. Moreover, this cell design is very thin, which results that the temperature gradient inside the battery is negligible, so the heat development easily can be dissipated compared with prismatic and cylindrical cells [66].
At the battery pack level, about 100 battery cells are connected in series such as in Nissan Leaf and Opel Ampera [67,68]. The Battery Management System (BMS) monitors the voltages of individual cells and temperature at cell/module level to prevent damage and identify defective cells or modules. As discussed in [69,70], all type of lithium-ion batteries can be damaged and in the worst case scenario may explode. As documented in [69], there are various battery balancing system topologies (such as passive and active) that can be used in function of the variation between the cells or modules in a battery pack.
Figure 10 represents the standard deviation of the tested battery brands. The presented variations have been calculated based on 5 cells for each battery type. As one can see, most of the tested batteries indicate a variation in the range of 0.3%–0.4%. However, the batteries O-LFP and P-LFP show a dispersion of about 2.2%–2.3%, which results that a heavy BMS topology may be required.
Figure 10. Standard variation of tested lithium-ion battery brands.
Figure 10. Standard variation of tested lithium-ion battery brands.
Energies 05 02952 g010

2.2. Rate Capabilities

2.2.1. Discharge

In plug-in hybrid electric vehicles, the power and energy densities are the most relevant key issues for assessment of the static parameters. However, there are many variables that should be considered for evaluation of an appropriate energy storage system. Some of these variables are the impact of the working temperature and discharge rate currents on the battery performances. Based on such test, the RESS performances among the whole depth of discharge (DoD) window can be analyzed. Furthermore, the thermal behaviour of the RESS can be mapped out in function of the applied current. In this section, only the current rates abilities have been considered. The temperature impact will be discussed later.
In the world of battery testing, the capacity test can be considered as one of the key test regimes, allowing one to map out the battery behaviour at different discharge current rates.
In Figure 11 an example is presented of the capacity test at0.33It, 1It, 2It, 5It and 10It. As we can see in Figure 12 the delivered capacity is almost equal, independent of the applied current rates. However, the results of the various lithium-ion brands in Figure 12 reveal that this characteristic does not occur for all batteries such as for the battery types with high energy density: G-LFP, H-LFP, O-LFP, P-LFP, T-NMC, V-NMC and X-NMC (see Figure 12). This is due to the fact that these batteries have been dimensioned for a specific working envelope (0.33It–3It). Unlike the high power based battery cells, the supplied capacity is less independent of the imposed current rates. The latter one can be explained by the geometry of the used electrodes. In high power applications, such as in HEVs, the batteries should be able to be charged and discharged very quickly for acceleration and braking phases. This can be made by construction thin electrodes with a large surface area. So, the lithium ions can be ionized in the electrolyte, transferred from one electrode and intercalated into another. While the energy based batteries have a low surface area to volume ratio due to the thicker electrodes for storing much amount quantities of charge. According to Tahil, it is the volume that determines the storage capacity and surface area the maximum discharge rate [71]. According to the Equation (2), we can conclude that the thicker electrodes increase the internal resistance of the battery cell:
R = ρ . l A
Figure 11. Discharge behaviour of battery brand A-LFP (high power).
Figure 11. Discharge behaviour of battery brand A-LFP (high power).
Energies 05 02952 g011
Figure 12. Discharge capabilities at different current rates.
Figure 12. Discharge capabilities at different current rates.
Energies 05 02952 g012
For high energy batteries, the voltage drop due to the ohmic resistance can be considered as the major parameter for the poor discharge rate capabilities as it is presented for in Figure 13.
Figure 13. Discharge behaviour of battery brand O-LFP (high energy).
Figure 13. Discharge behaviour of battery brand O-LFP (high energy).
Energies 05 02952 g013
However, the capacity fade in batteries can be further related to the ohmic activation and concentration polarization phenomena (see Figure 14).
The activation polarization occurs when the reactions of the electrodes do not perform perfectly. In order to make this possible, there is a need for some energy.
The effect of the concentration polarization is due to the concentration differences of the reactants at the electrode surface area. At higher current rates, the reactions in the battery cell should proceed very fast and therefore there is less time for the reactants to mix. Thus, a big difference in the concentration increases the internal resistance and energy losses. The influence of all these factors combined with the geometry of the electrodes in the high energy based battery cells result in the fact that battery falls to provide sufficient capacity at high current rates.
Figure 14. Cell polarization in function of current rate [71].
Figure 14. Cell polarization in function of current rate [71].
Energies 05 02952 g014
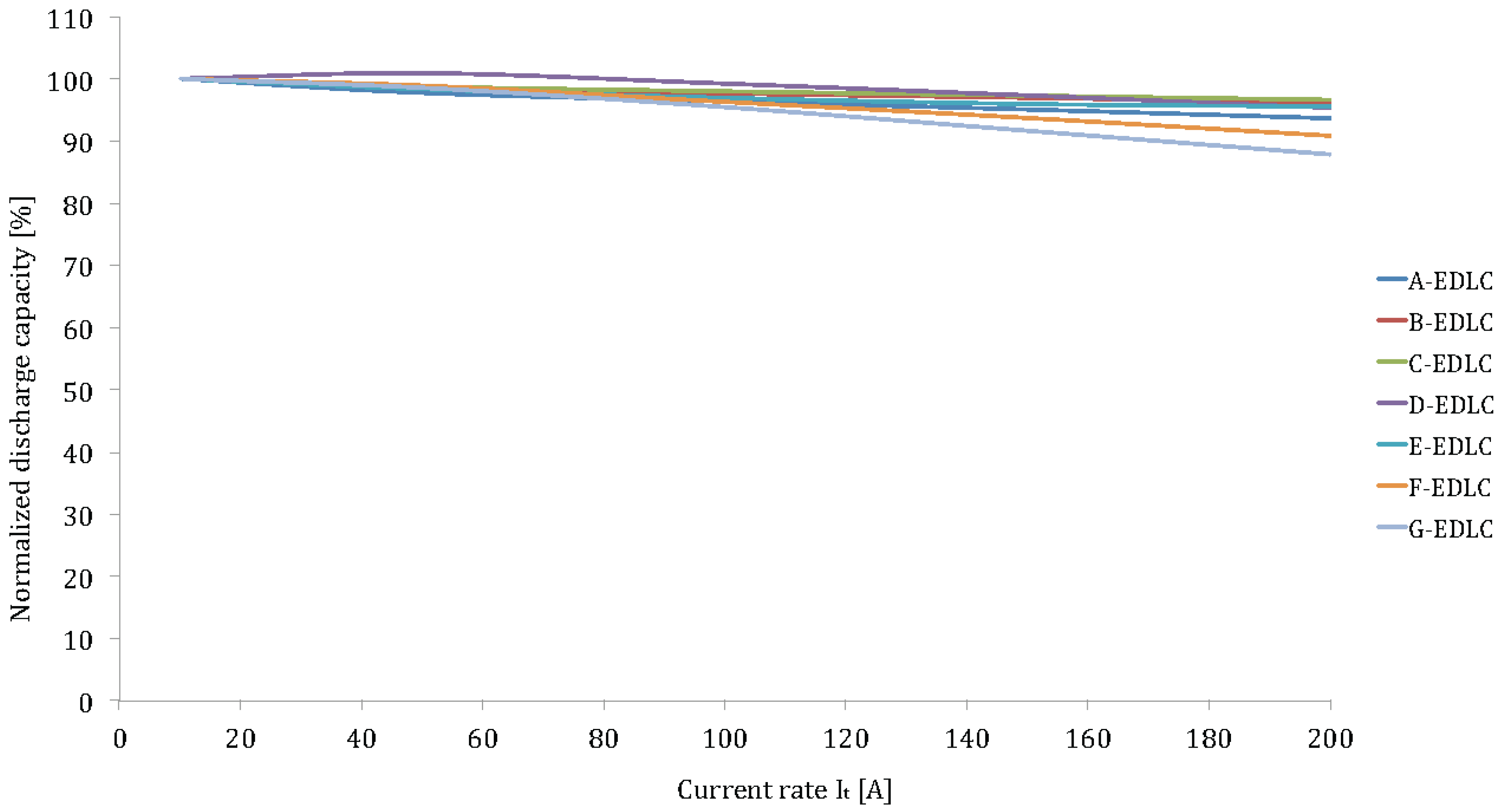
Figure 15. Discharge rate capabilities of the investigated EDLCs.
Figure 15. Discharge rate capabilities of the investigated EDLCs.
Energies 05 02952 g015
Unlike to lithium-ion batteries, EDLCs do not suffer of the high current rates. The capacity decrease at 200It is in the range of 5%–12% (see Figure 15). This duration is due to the double-layer phenomenon as described before. The internal resistance is much lower and the rate of the reaction is much higher, because no chemical reaction occurs.
Based on this test, the Peukert value of each battery technology can be calculated. The Peukert equation is an empirical formula, which approximates how the available capacity of a battery changes according to the rate of discharge as expressed in Equation (3) [72]:
C p = T dis . I dis k
where Cp is the theoretical capacity of the battery expressed in Ah, Idis is the discharge current, Tdis the discharge time and k is the Peukert constant. This equation shows that at a higher discharge current, there is less capacity available in the battery. The Peukert constant indicates how well a battery performs under continuous heavy discharge current. A value close to 1 indicates that the battery performs well; the higher the value, the more capacity is lost when the battery is discharged at high current. Figure 16 reveals that the Peukert constant for lithium-ion based batteries varies between 1 and 1.09. Particularly the battery cells with high rated capacity such as H-LFP, O-LFP, P-LFP and X-NMC, indicate the highest values. Figure 16 exhibits the superior performances of lithium-ion technology against lead-acid and nickel-metal hydride batteries. The Peukert constant for the latter technologies is much higher between1.08 and1.15 with exception of VRLA brand B-VRLA that shows high value 1.28. Here it should be underlined that the Peukert constant has been derived by discharging the batteries at 1 It and 2 It until 100% DoD.
Figure 16. Peukert constant of various lithium-ion battery brands.
Figure 16. Peukert constant of various lithium-ion battery brands.
Energies 05 02952 g016
Furthermore, we can conclude that the current rates have a considerable high impact on the battery performances. This aspect should be taken into account particularly for modeling issues, where the battery models should be related to the current rate.
Figure 17 illustrates the discharge curves of the various lithium-ion chemistries, battery technologies and EDLC. Here, we recognize that the voltage shape for lithium iron phosphate based battery cells is different from the lithium titanate oxide, lithium nickel manganese cobalt oxide and lithium nickel cobalt aluminum oxide based cells. This result to the fact that the state of charge estimation based on voltage reading is much easier for NMC, NCA and LTO based battery cells than for LFP, which needs a well-dedicated prediction technique.
Figure 17. Voltage versus depth of discharge.
Figure 17. Voltage versus depth of discharge.
Energies 05 02952 g017
From the discharge capacity test, we assume that the battery is completely empty when the minimal voltage has been reached (V0). However, at the end of the test, the voltage increases until it has reached the steady state condition (V2). This issue can be achieved after 30 minutes depending of the current rates. From Figure 18, we observe that the battery still has some additional capacity due to recovery phenomena. This means that the battery cell has still some capacity that can be provided at low currents. It should be noted that the recovery voltage raises the more the current rate increases. So, in order to include this phenomenon into a mathematical relationship, the following equation can be used:
C b = C initial I bat · T s C .3600 ( I bat I nom ) n 1 C recov ( I )
where Ibat and Ts represent the employed battery current and the sampling time. While Inom and n stand for the nominal current and Peukert number. For lead-acid batteries, the nominal voltage depends on the manufacturer’s specifications. In some cases, the manufacturer specifies a C5, C10 or C20. The number in this notation stands in for the discharge time in hours. As example the nominal current of a battery with a capacity of 57 Ah (C5) is 11.4 A. However, for lithium-ion batteries, the nominal current is 1It.
One of the challenges in battery modeling is the reflecting of the different relationships inside a battery. In order to represents this characteristic by a mathematical way, the least-square method (LSM) has been used:
LSM = i = 1 i = n [ ( y measurment ( t i ) y simulated ( t i ) ] ²
According to this method, the logarithmical relationship can be extracted:
V = a · ln ( t ) + b
with equation coefficients at 0.33 current rate: a: 0.0808; b: 2.7486.
Figure 18. Recovery phenomenon of LFP based battery cell (A-LFP).
Figure 18. Recovery phenomenon of LFP based battery cell (A-LFP).
Energies 05 02952 g018
On the other hand, the nonlinear characteristics of a battery become more complex by considering the hysteresis as presented by Figure 19. As we observe, the voltage evolution during charge differs from the discharge. This means that the charge/discharge reactions do not occur identically. In addition, these curves diverge the more the current rates raises.
Figure 19. Hysteresis lithium-ion battery brand A-LFP.
Figure 19. Hysteresis lithium-ion battery brand A-LFP.
Energies 05 02952 g019
In order to represent this by a mathematical relationships, the relationship between V0 and V1, V2 and V3 can be described by first order model or polynomial equation, where the part between V1 and V2 can be considered as a linear equation.

2.2.2. Charge

In order to enhance the suitability of the battery technology in PHEV applications, the battery requires, besides good power, energy and energy efficiency performances, also acceptable fast charging capabilities. Most of the commercial battery electric vehicles are typically charged with a current of 16 A taken from the grid [73,74,75]. This means that the charge process for PHEV applications will take several hours (around 6 to 8) until the battery has been full charged. Van den Bossche defined three charging speed levels [75]:
  • Standard charging (3.7 kW);
  • Semi-fast charging (7.2 kW);
  • Fast charging (>22 kW);
  • Ultra-fast charging up to 250 kW).
In [75], it is reported that the charging process of battery typically involves in two phases as it is presented in Figure 20:
  • The main charging phase, where the bulk of energy is recharged into the battery;
  • The final charge phase, where the battery is conditioned and balanced;
Figure 20. Charging process [75].
Figure 20. Charging process [75].
Energies 05 02952 g020
The standard charging mode uses a power level corresponding to the standard power outlets in residential installations. In most European countries, these outlets are rated at 230 V/16 A.
Semi-fast charging mode still makes use of higher power levels still available in residential settings (corresponding to e.g., and electric range) In USA this is called “Level 2” charging. Higher power can be achieved by a high current single phase connection or with three phase connections, 3 × 400 V, with 16 A per phase yielding up to 11.1 kW at unity power factor:
P = 3 × 400 × 16 × cos = 11.1  kW
This power level also can be increased up to 22.2 kW by using 32 A instead of 16 A.
In [75], several power levels for semi-fast charging are reported with the corresponding rated voltage and current. Fast charging uses specific heavy infrastructures for transfer the high power level. Therefore, the power transfer can be performed by d.c. or a.c. connection between the vehicle and the charging post. Fast charging mode is proposed for power levels up to 250 kW [73]. According to reference [74], an electric vehicle can be charged in less than 10 minutes.
Several charging modes have been defined in the standard IEC61851-1 [76] and are extensively documented in [76]. In this section, only the main charging phase has been considered at different charge current rates (0.33It, 1It, 2It and 5It).
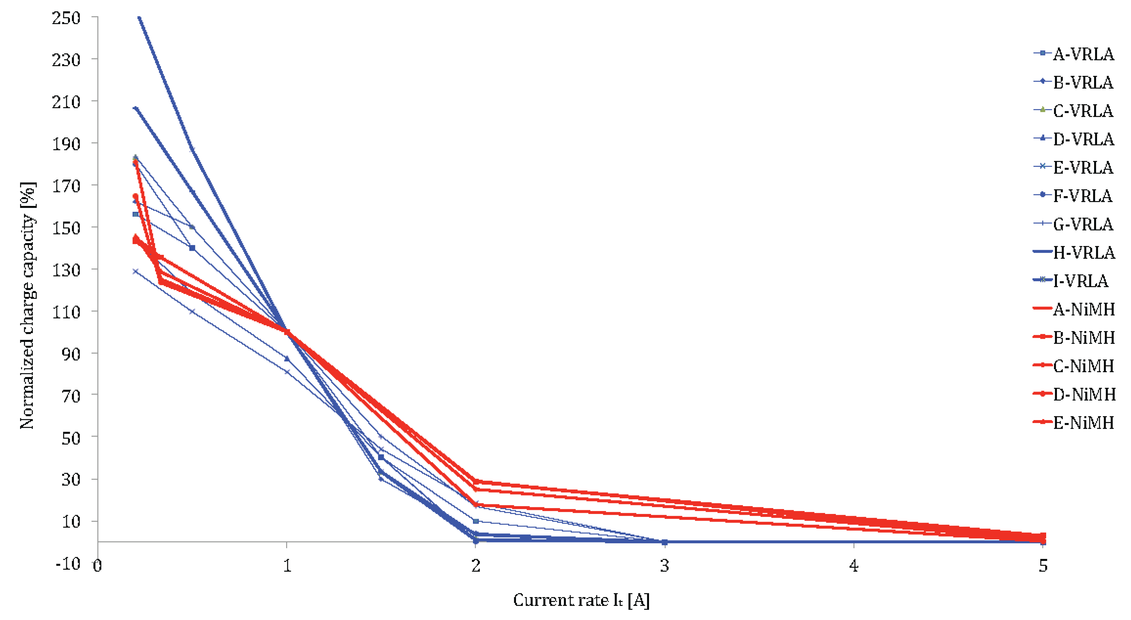
Figure 21 and Figure 22 show clearly that lithium-ion batteries have much better performances than lead-acid and nickel-metal hydride based batteries. For most lithium-ion batteries, the stored capacity up to Vmax is almost 80% at 5It. Due to the higher charge current rates, the charge time can be reduced with a factor 10. Thus, the discharge time is less than 1 hour instead of 8 hours as mentioned above. Here, it should be noted that battery cells with high energy, which are designed for PHEVs and BEVS show high performances (85%–100%) between 1It and 2It but indicate less performances at higher current rates.
By comparing all these lithium-ion chemistries, we can observe that LiTiO2 have the best performances. The normalized stored capacity at the maximum voltage is higher than 90% independent of the current rates. These results can be explained by the bigger surface area of the anode electrode in LiTiO2: 100 m2/g compared to 3 m2/g for the graphite based electrode in the lithium iron phosphate, lithium nickel manganese cobalt oxide and lithium nickel cobalt aluminum oxide based batteries [77]. The bigger surface area allows moving the electrical charges quickly. Thus, the lithium titanate oxide does not suffer from high current rates.
Then, the charge time during the constant voltage varies between 0.3 and 1.5 h compared to 5–8 h, typically for lead-acid and nickel-metal hydride technologies.
Figure 21. Charge performances of lithium-ion brands and chemistries.
Figure 21. Charge performances of lithium-ion brands and chemistries.
Energies 05 02952 g021
Figure 22. Charge performances of VRLA and NiMH battery technologies at different current rates.
Figure 22. Charge performances of VRLA and NiMH battery technologies at different current rates.
Energies 05 02952 g022
However, the impact of fast charging on the cycle life of batteries is a factor that could not be examined from a single fast charging test.
In modeling and assessment of battery technologies, the state of charge estimation also can be considered as a key issue. The most used technique in circulation is the SoC-VoC relationship. However, this technique is not applicable due to the flat voltage duration between 80% and 30% SoC. Thus, the estimation in this region becomes very difficult. Another known technique is based on the ampere-hour counting as presented by Equation (8):
SoC = C initial { i b ( t ) dt                                   I > 0 i b ( t ) dt                             I < 0
But this technique exhibits some drawbacks since it does not take into account high current behavior and the Peukert phenomenon. However, the battery in reality is continuously subjecting various stress parameters, such as current rates, depth of discharge, temperature and cycle life. In order to overcome these problems, in [78] an empirical estimation of state of charge is documented [see Equation (9)]. In this equation, the Peukert number is included. But, the Peukert number here is assumed as constant. However, this parameter varies in function of many other parameters (will be contributed in the future research article). Furthermore, the Equation (9) only reflects the battery behaviour during the discharge phase. Equation 10 proposes a modified version whereby; the influence of the recuperated energy is included. In Figure 22, we recognized that the evolution of the stored capacity in function of current rate is not logarithmical as we have observed during discharge phase, but linear. Thus, instead of a Peukert number, a coulomb efficiency Eff has been defined as presented by Equation (10).
SoC = 1 I bat T s C .3600 ( I bat I nom ) n 1
S o C = 1 { I b a t · T s C .3600 ( I b a t I n o m ) n 1                                     i f   I b a t > 0 [ E f f ( I b a t ) · I b a t · d t ]               i f   I b a t < 0
E f f = C s t o r e d C s t o r e d   a t   1   I t ,       25 ° C

2.2.3. Power Performances

In this test, the batteries discharge and charge power during 10 seconds pulses are determined as a function of depth of discharge at different current rates. The batteries have been charged at 1It rate and then discharged at the same current rate till the desired DoD level. The pulse power tests are made at 80%, 65%, 50% 35% and 20% SoC as presented in Figure 23. The power capabilities of the batteries were determined by the open-circuit voltage and current as presented by Equations (12) and (13). In this study current pulses (0.33It 1It 2It 5It 10It, 15It and Imax have been selected:
P c h ( W k g ) = V d i s . I m
P d i s ( W k g ) = V c h . I m
In the above equations, Vdis and Vch represent the voltage drop at the end of each pulse during discharge and charge respectively. I and m stand in for imposed current and the battery cell mass.
Figure 23. Extended HPPC pulse at different SoC level and state of charge.
Figure 23. Extended HPPC pulse at different SoC level and state of charge.
Energies 05 02952 g023
Figure 24 confirms the favorable discharge performances of lithium-ion technology against nickel-metal hydride and VRLA particularly as shown in Figure 25. The power density of the analyzed lithium-ion battery types varies between 300 and 2400 W/kg compared to 200–400 W/kg for nickel-metal hydride and 90–120 W/kg for lead-acid batteries. Compared to Figure 8, the power varies in a wide range and is strongly dependent of state of charge. The high values over 700 W/kg show that these batteries are optimized for high power applications. The high power batteries show a more complex relationship between SoC and power, rather than a linear one. This makes the development of a battery model more complicated.
Figure 24. Power capabilities of lithium-ion batteries at different SoC levels.
Figure 24. Power capabilities of lithium-ion batteries at different SoC levels.
Energies 05 02952 g024
Figure 25. Power capabilities of nickel-metal hydride and lead-acid battery technologies.
Figure 25. Power capabilities of nickel-metal hydride and lead-acid battery technologies.
Energies 05 02952 g025
The proposed method based on the standards ISO 12405-1/2 and IEC 62660-1 for comparison of power capabilities is only suitable when the energy efficiency of the pulse, which is strongly depending of the current rate, will not be taken into account [79,80,81]. Thus for an appropriate comparison, the energy efficiency of the pulse should be considered. Burke et al. specified that the energy efficiency for lithium-ion technology should be around 90% in order to keep efficiency high and to limit the temperature rising in the battery pack [21]. The energy efficiency of the pulse can be determined at different ways. In [21] Burke proposed to use the open circuit voltage and resistance as function of state of charge as presented by Equation (14):
P dis ( W kg ) = E ff · ( 1 E ff ) · VoC 2 R dis . m
where E f f = V p u l s e V o C .
This presented method assumed that the voltage evolution during a pulse is linear. This method can thus be used for systems such as EDLCs, whereby the relationship state of charge-voltage is linear. For batteries, the situation seems more complicated since the system exhibits a voltage drop due to the ohmic resistance of the electrodes, contacts and electrolytes. The voltage decreases exponentially as presented in Figure 26.
Figure 26. Voltage duration during HPPC test.
Figure 26. Voltage duration during HPPC test.
Energies 05 02952 g026
Hereby, we can conclude that the energy efficiency calculation according to Burke is not suitable. The only method that can be used is the ratio of the discharge and charge energy (by using equal pulses) expressed in Wh:
E ff = Wh dis Wh ch
In Figure 27 the power density of the different batteries is presented at 90% energy efficiency and 50% SoC. The power density at 90% pulse efficiency is much lower than in Figure 24. These results are in line with the results shown in Figure 12.
Due to the bigger surface area the high power battery cells have significantly lower resistance and higher energy efficiency. The high value for battery W-NMC is due to the used anode material, which is hard carbon rather than graphite. Hard carbons are prepared from phenolic resin and can not be graphitized, even when treated at 3000 °C [82]. On the other hand, materials that can be graphitized by treatment at high temperatures >200 °C are termed soft carbons. According to Patterson, hard carbon has a higher specific capacity 480 mAh/g compared to 370 mAh/g for graphite and 275 mAh/h for soft carbon [83]. Due to the fact that the layers for hard carbon are not neatly stacked and non-crystalline, the surface area is much bigger. Moreover, there is no volume change upon lithium ion intercalation against 10% for used graphite in commercial lithium-ion batteries [83]. This means that the cycleability can be enhanced.
Figure 27. Power density at 50% SoC and 90% pulse energy efficiency.
Figure 27. Power density at 50% SoC and 90% pulse energy efficiency.
Energies 05 02952 g027
In [84,85] it is mentioned that the energy efficiency of electrochemical processes decreases with increasing current rate, due to the increase of the internal resistance. However, Figure 28 shows the opposite of this explanation. The internal resistance decreases the more the current rate increases.
This phenomenon can be analyzed based on the Butler-Volmer relationship [86], presented in general form by Equation (16):
I = A . I o [ e ( α a . n . F R . T . ( U U o ) e ( α c . n . F R . T . ( U U o ) ) ]
with:
  • I: electrode current [A];
  • A: electrode active surface area [m2];
  • Io: exchange current density [A/m2];
  • U: electrode potential [V];
  • Uo: equilibrium potential [V];
  • F: Farady constant;
  • T: Temperature [K];
  • R: Universal gas constant;
  • αa, αc: anodic and cathodic charge transfer coefficient, respectively;
  • n: activation overpotential.
The first term in the second part represents the rate of the anodic process and the second term corresponds to the rate of the cathodic process. It should be pointed out that the Butler-Volmer equation does not consider the mass transfer phenomena in the system.
Figure 28. Resistance evolution in function of current rate [61].
Figure 28. Resistance evolution in function of current rate [61].
Energies 05 02952 g028
The Butler-Volmer characteristic shows a logarithmical increase of the voltage with increasing current rate rather than a linear relationship Figure 29. Hence the resistance of this process is decreasing. Nevertheless, the overall voltage drop is still increasing with increasing current rate. Therefore the efficiency will decrease with increasing current rate due to the losses in the resistance R·I2 (see Figure 30). Although, the resistance decreases, the impact of current is quadratic.
Figure 29. Butler-Volmer representation [87].
Figure 29. Butler-Volmer representation [87].
Energies 05 02952 g029
Figure 30. Energy efficiency versus current rate.
Figure 30. Energy efficiency versus current rate.
Energies 05 02952 g030
These phenomena only pertain to the voltage response during the polarization part. Thus, the ohmic part which is based on a suddenly voltage drop, is not included. Therefore, there is a need for modification of the Butler-Volmer equation as follows:
I = U U o I + A · I o [ e ( α . F R . T · ( U U o ) e ( ( 1 α ) . F R . T · ( U U o ) ]
The results in Table 8 of EDLCs reveal the high power capabilities of these devices, with power densities up to 11 kW. This indicates again that these performances are very interesting energy sources for high power applications, where peak power should be supplied during short durations. Here, the power density has been determined based on the calculation as described in the standard IEC 62576, U an R representing the rated voltage and internal resistance of the ELDC cell as illustrated in Figure 31 [88]:
P EDLC = U 2 4 · R · m
In [85] Burke proposes the introduction of similar energy efficiency calculations for EDLCs. Due to the lower internal resistance, he specified an energy efficiency of 95%. He came to the conclusion that the proposed methodology by IEC does not match the internal resistance, and proposed the empirical Equation (19). According to this method, the power density is in the range of 1000–1200 W/kg, which is much higher than the capabilities of lithium-ion technology. Here, it should be figured out that high energy lithium-ion batteries can be combined with EDLCs in order to enhance the overall battery abilities in the terms of energy, power and efficiency:
P EDLC = 9 16 · ( 1 E ff ) · U 2 R
Figure 31. Internal resistance determination method for EDLCs according standard IEC 62576 [88].
Figure 31. Internal resistance determination method for EDLCs according standard IEC 62576 [88].
Energies 05 02952 g031
Table 8. Power density results of EDLCs.
Table 8. Power density results of EDLCs.
Power density according IEC methodologyPower density according to [85] @ 95% energy efficiency
A-EDLC97731126
B-EDLC110541261
C-EDLC8516958
D-EDLC4050998
E-EDLC92101000
F-EDLC102791217
G-EDLC8877998

2.2.3.1. Lithium-Ion Battery Behaviour Description

As reported in [89,90] the FreedomCar and Thevenin battery models are derived from the HPPC test. The model has been built based on several assumptions. The ohmic resistance Ro supposes that the charge and discharge resistance of a battery are equal, as shown in Figure 32 however these two resistances are different. Thus, in order to take this issue into account, the ohmic resistance Ro should be divided in two parts: charge resistance Rch and discharge resistance Rdis. Furthermore, the HPPC pulse assumes a rest time of 40 s between the charge and discharge pulses is not enough for stabilization of the voltage between two consecutive pulses. This aspect is of high importance for modeling purposes, where the battery model parameters should be extracted at high accuracy. Especially, at higher current rates and low temperatures, the voltage disturbance is bigger. Thus, the rest time between the consecutive pulses should be in the range of 150–200 s.
Figure 32. Evolution of internal resistance during charge and discharge (battery brand A-LFP).
Figure 32. Evolution of internal resistance during charge and discharge (battery brand A-LFP).
Energies 05 02952 g032
Here, it should be underlined that ohmic resistance represents the sudden voltage drop (from V1 to V2 in Figure 26), while the voltage drop from V2 to V3 is the polarization resistance. Moreover, at the end of the pulse, when the load goes to zero, the ohmic resistance seems not equal to the ohmic resistance when the load disappears. As an example the ohmic resistance for both situations has been calculated.
R load = V 1 V 2 I = 3.297 3.165 11.5 = 11.4  mΩ
R recovery = V 4 V 3 I = 3.204 3.055 11.5 = 12.9  mΩ
It is clear that these two resistances differ from each other and this impact should also be included in the battery model. Then, Figure 26 shows the polarization resistance during the recovery process. As mentioned above, this process needs about 200 s until the voltage has been stabilized. Finally, all the mentioned processes depend of the charge and discharge processes and thus should be proposed for charge and discharge.
In order to represents all these issue in an electrical circuit, the following model as presented in Figure 33 is proposed. We call this the advanced Thevenin battery model. It consists of two ohmic resistances Ro,ch, Ro,dis and two resistances RL,ch, RL,dis representing the increase of the ohmic resistance in function of cycle life. Furthermore, the model features a self-discharge resistance across the open circuit voltage (VoC). In order to describe the transition phenomena during charge and discharge two RC circuits have been added. Two further RC branches are also added to represent the polarization phenomena when the load disappears. As discussed above, the resistances Ro,rec,ch, Ro,rec,dis representing the resistances when the load disappears, are also included.
In the next contribution, the performances of this model intensively will be analyzed and compared against another battery models.
Figure 33. New lithium-ion battery model.
Figure 33. New lithium-ion battery model.
Energies 05 02952 g033

2.2.4. Self-Discharge Test

In [61] is reported that the self-discharge test is one of the key consideration parameters in the selection of the appropriate RESS for PHEVs. This parameter is also critical for battery modeling issues. During long periods of non-activity, the SoC loss of the battery will decline and the battery system can fall under the allowed minimal voltage, accelerating battery degradation and causing irreversible capacity loss.
This test has been executed according to the standards ISO 12405-1/2 [79,80]. After a standard cycle at 1It for determining the real cell energy in Wh; the battery cell is left at room temperature (20–24°C) for 7 days, following by a discharge test:
Energy loss = E bef E aft .100 %
As we observe in Figure 34, the energy loss changes between 1% and 5% with exception of battery brand B, where the loss is about 9%, while the loss percentage for lead-acid, nickel-metal hydride and EDLC is till 3.5%, 10% and 23%, respectively. The high loss for EDLC again indicates that EDLCs can not be used a main energy storage system.
Figure 34. State of charge loss of various battery technologies.
Figure 34. State of charge loss of various battery technologies.
Energies 05 02952 g034

3. Summary and Conclusions

In this paper, the performances of various lithium-ion chemistries for use in PHEVs have been investigated and compared to several other RESS technologies such as lead-acid, nickel-metal hydride and EDLCs.
The analysis has shown the beneficial properties of lithium-ion in the terms of energy density, power density and rate capabilities. Particularly, the nickel manganese cobalt oxide cathode stands out with the high energy density up to 160 Wh/kg, compared to 70–110, 90 and 71 Wh/kg for lithium iron phosphate cathode lithium nickel cobalt aluminum cathode and, lithium titanate oxide anode battery cells, respectively. These values are considerably higher than the VRLA (23–28 Wh/kg) and nickel-metal hydride (44–53 Wh/kg) battery technologies
The dynamic discharge performance test shows that the energy efficiency of the lithium-ion batteries is significantly higher that the VRLA and nickel-metal hydride technologies. The efficiency varies between 86% and 98%, with the best values obtained by pouch battery cells, before cylindrical and prismatic battery design concepts.
Also from the point of view of the power capabilities, lithium-ion technology is superior compared to the other technologies. The power density is in the range of 300–2400 W/kg against 200–400 W/kgand 90–120 W/kg for VRLA and NiMH, respectively. However, considering the influence of energy efficiency, the power density is in the range of 100–1150 W/kg. Lithium-ion batteries optimized for high energy are at the lower end of this range and are challenged to meet the USABC, SuperLIB and MIT goals. Their association with EDLCs, which have low energy density (4–6 Wh/kg) but outstanding power capabilities, could prove very interesting.
The study of the rate capabilities for the lithium-ion batteries has allowed a new approach for state of charge estimation has been modified, encompassing all essential performance parameters.
The rate capabilities tests are reflected by Peukert constants, which are significantly lower for lithium-ion batteries than for NiMH and VRLA.
Furthermore, rate capabilities during charging have been investigated. Lithium-ion batteries are able to be stored about 80% of the capacity at current rate 2It, with high power cells accepting over 90%. At higher charging rates of 5It or more, the internal resistance impedes charge acceptance by high energy cells. The lithium titanate anode, due to its high surface area (100 m2/g compared to 3 m2/g for the graphite based anode) performs much better in this respect.
According to these analyses, the lithium-ion behaviour at different conditions has been examined, leading to a new lithium-ion battery model to be compared with existing battery models in future research contributions.

References

  1. IEA (International Energy Agency). Energy Technology Perspectives—Scenarios and Strategies to 2050; OECD Publishing: Paris, France, 2010.
  2. Van Mierlo, J.; Maggetto, G. Comparison of the Environmental Damage Caused by Vehicles with Different Alternative Fuel and Drive Trains in a Brussels Context. J. Automob. Eng. 2003, 217, 583–593. [Google Scholar] [CrossRef]
  3. Boureima, F.S. Environmental Assessment of Conventional and Alternative Vehicles and Fuels in a Belgian Context. Ph.D. Thesis, Vrije Universiteit Brussel, Brussels, Belgium, September 2011. [Google Scholar]
  4. Axsen, J.; Kurani, K.S.; Burke, A. Are Batteries Ready for Plug-in Hybrid Buyers? J. Transp. Policy 2008, 7, 173–182. [Google Scholar] [CrossRef]
  5. Van den Bossche, P.; Vergels, F.; Van Mierlo, J.; Matheys, J.; Van Autenboer, W. Subat: an Assessment of Sustainable Battery Technology. J. Power Sources 2006, 162, 913–919. [Google Scholar] [CrossRef]
  6. Axsen, J.; Burke, A.; Kurani, K. Batteries for Plug-in Hybrid Electric Vehicles (PHEVs): Goals and State of the Technology CIRA 2008. Research Report; Institute of Transportation Studies, University of California Davis: Davis, CA, USA, 2008. [Google Scholar]
  7. The Boston Consulting Group. Batteries for Electric Cars: Challenges, Opportunities, and the Outlook to 2020; The Boston Consulting Group: Boston, MA, USA, 31 May 2011. [Google Scholar]
  8. Cooper, A.; Moseley, P. Advanced Lead-Acid Batteries—the Way forward for Low-Cost Micro and Mild Hybrid Vehicles. In Proceedings of the 24th World Battery, Hybrid and Fuel Cell Electric Vehicle Symposium, Stavanger, Norway, May 2009.
  9. Lindenmaier, J.; Stiegeler, M.; Kabza, H. Charge/Discharge Load Reduction of Lead Acid Batteries in Micro-Hybrid Vehicles Using Ultra-Capacitor Assistance. In Proceedings of the 24th World Battery, Hybrid and Fuel Cell Electric Vehicle Symposium, Stavanger, Norway, May 2009.
  10. Chen, H.; Cong, Th.N.; Yang, W.; Tan, Wh.; Li, Y.; Ding, Y. Progress in Electrical Energy Storage System: A Critical Review. J. Prog. Nat. Sci. 2009, 9, 291–312. [Google Scholar] [CrossRef]
  11. Omar, N.; Verbrugge, B.; Van den Bossche, P.; Van Mierlo, J. Power and Life Enhancement of Battery-Electrical Double Layer Capacitor for Hybrid Electric and Charge-Depleting Plug-in Vehicle Applications. J. Electrochimica Acta 2010, 55, 7524–7531. [Google Scholar] [CrossRef]
  12. Omar, N.; Van Mulders, F.; Van Mierlo, J.; Van den Bossche, P. Assessment of Behaviour of Super Capacitor-battery System in Heavy Hybrid Lift Truck Vehicles. J. Asian Electr. Veh. 2009, 7, 1277–1282. [Google Scholar] [CrossRef]
  13. Omar, N.; Al Sakka, M.; Daowd, M.; Coosemans, Th.; Van Mierlo, J.; Van den Bossche, P. Assessment of hebavior of Active EDLC-Battery system in Heavy Hybrid Charge Depleting Vehicles. In Proceedings of the 4th European Symposium on Super Capacitors & Applications, Bordeaux, France, 21–22 October 2010.
  14. Emadi, A.; Rajashekara, K.; Williamson, S.S.; Lukic, S.M. Topological Overview of Hybrid Electric and Fuel Cell Vehicular Power System Architectures and Configurations. IEEE Trans. Veh. Technol. 2005, 54, 763–770. [Google Scholar] [CrossRef]
  15. Van Mierlo, J.; Timmermans, J.M.; Maggetto, G.; Van den Bossche, P. Peak Power Based Fuel Cell Hybrid Propulsion System. World Electr. Veh. Assoc. J. 2007, 1, 54–61. [Google Scholar]
  16. Kötz, R.; Carlen, M. Principles and Applications of Electrochemical Capacitors. J. Intern. Soc. Electrochem. 2000, 45, 2483–2498. [Google Scholar]
  17. Cheng, Y.; Van Mierlo, J.; Van den Bossche, P.; Lataire, Ph. Super Capacitor Based Energy Storage as Peak Power Unit in the Applications of Hybrid Electric Vehicles. In Proceedings of the 3rd IET International Conference on Power Electronics, Machines and Drives, Dublin, Ireland, 2006.
  18. Abderrahmane, H.; Emmanuel, B. Assessment of Real Behavior of VHE Energy Storage System in Heavy Vehicles. In Proceedings of EET-2008 European Ele-Drive Conference, Geneva, Switzerland, 2008.
  19. Lu, Sh.; Corzine, K.A.; Ferdowsi, M. A New Battery/Ultracapacitor Energy Storage System Design and Its Motor Drive Integration for Hybrid Electric Vehicles. IEEE Trans. Veh. Technol. 2007, 56, 1516–1523. [Google Scholar] [CrossRef]
  20. Kromer, M.A.; Heywood, J.B. Electric Powertrains: Opportunities and Challenges in the U.S. Light-Duty Vehicle Fleet; Technical Report from the Sloan Automotive Laboratory; Massachusetts Institute of Technology: Cambridge, MA, USA, 2007. [Google Scholar]
  21. Burke, B.; Miller, M. Performance Characteristics of Lithium-ion Batteries of Various Chemistries for Plug-in Hybrid Vehicles. In Proceedings of the 24th World Battery, Hybrid and Fuel Cell Electric Vehicle Symposium, Stavanger, Norway, May 2009.
  22. Omar, N.; Daowd, M.; Verbrugge, B.; Mulder, G.; Van den Bossche, P.; Van Mierlo, J.; Dhaens, M.; Pauwels, S.; Leemans, F. Assessment of Performance Characteristics of Lithium-Ion Batteries for PHEV Vehicles Applications Based on a Newly Test Methodology. In Proceedings the 25th World Battery, Hybrid and Fuel Cell Electric Vehicle Symposium, Shenzhen, China, November 2010.
  23. Omar, N.; Verbrugge, B.; Mulder, G.; Van den Bossche, P.; Van Mierlo, J.; Daowd, M.; Dhaens, M.; Pauwels, S. Evaluation of Performance Characteristics of Various Lithium-Ion Batteries for Use in BEV Application. In Proceedings of the IEEE Vehicle Power and Propulsion Conference, Lille, France, September 2010.
  24. Omar, N.; Daowd, M.; Mulder, G.; Timmermans, J.M.; Van den Bossche, P.; Van Mierlo, P.; Pauwels, S. Assessment of Performance of Lithium Iron Phophate Oxide, Nickel Manganese Cobalt Oxide and nickel cobalt aluminum oxide Based cells for Using in Plug-In Battery Electric. In Proceedings of the IEEE Vehicle Power and Propulsion Conference, Chicago, IL, USA, September 2011.
  25. Peseran, A. Battery Choices and Potential Requirements for Plug-In Hybrids. In Proceedings Plug-In Hybrid Electric Truck Workshop, Los Angeles, CA, USA, February 2007.
  26. International Energy Agency. Technology Roadmap—Electric and Plug-in Hybrid Electric Vehicles; OECD Publishing: Paris, France, 2011. [Google Scholar]
  27. Mauracher, P.; Geuer, W. Comparison and Evaluation of Nickel-Cadmium, Zinc-Bromine, Sodium-Sulphur, Sodium-Nickelchloride and Lead-Acid Batteries, AVERE Contract P-044 of the EDS Study, Advanced Electric Drive Systems for Buses, Vans and Passenger Cars to Reduce Pollution (EDS); The European Association for Battery, Hybrid and Fuel Cell Electric Vehicles (AVERE): Brussels, Belgium, December 1992. [Google Scholar]
  28. Bauer, H. Automotive Handbook, 4th ed.; Bentley Pub: Warrendaele, PA, USA, 1996. [Google Scholar]
  29. Kida, H.; Kinoshita, A.; Yanagida, K.; Funahashi, A.; Nohma, T.; Yonezu, I. A Study on the Cycle Performance of Lithium Secondary Batteries Using Lithium Nickel-Cobalt Composite Oxide and Graphite/Coke Hybrid Carbon. J. Electrochimica Acta 2002, 47, 1691–1696. [Google Scholar] [CrossRef]
  30. Nelson, P.; Amine, Kh. Advanced Lithium-Ion Batteries for Plug-in Hybrid-Electric Vehicles. In Proceedings the 23th World Battery, Hybrid and Fuel Cell Electric Vehicle Symposium, Anaheim, CA, USA, December 2007.
  31. Fellner, J.P.; Loeber, G.J.; Sandhu, S.S. Testing of Lithium-Ion 18650 Cells and Characterizing/Predicting Cell Performance. J. Power Sources 1999, 81–82, 867–871. [Google Scholar]
  32. Pesaran, A. Battery Requirement for Plug-In Hybrid Electric Vehicles—Analysis and Rationale. In Proceedings the 23th World Battery, Hybrid and Fuel Cell Electric Vehicle Symposium, Anaheim, CA, USA, December 2007.
  33. Burke, A.; Jungers, B.; Yang, Ch.; Ogden, J. Battery Electric Vehicles: An Assessment of the Technology and Factors Influencing Market Readiness, Advanced Energy Pathways (AEP) Project, Task 4.1 Technology Assessments of Vehicle Fuels and Technologies Public Interest Energy Research (PIER) Program California Energy Commission; UC Davis, Institute of Transportation Studies: Davis, CA, USA, June 2007. [Google Scholar]
  34. Rand, D.A.J.; Woods, R.; Dell, R.M. Batteries for Electric Vehicles; Research Studies Press: Taunton, UK; John Wiley & Sons: New York, NY, USA, 1998. [Google Scholar]
  35. Mancini, M. Improved Anodic Materials for Lithium-ion Batteries: Surface Modification by Metal Deposition and Electrochemical Characterization of Oxidized Graphite and Titanium Dioxide Electrodes. Ph.D. Thesis, University of Camerino, Camerino, Italy, 2008. [Google Scholar]
  36. The Boston Consulting Group. Batteries for Electric Cars: Challenges, Opportunities, and the Outlook to 2020. Available online: http://www.bcg.com (accessed on 31 May 2011).
  37. Meeuws, M. Batteries in the cars of the future. In Presentation at the summer school, Vrije Universiteit Brussel, Brussel, Belgium, July 2010.
  38. Ohzuk, T.; Brodd, R.J. An Overview of Positive-Electrode Materials for Advanced Lithium-Ion Batteries. J. Power Sources 2007, 174, 449–456. [Google Scholar] [CrossRef]
  39. Belharouak, I.; Lu, W.; Vissers, D.; Amine, Kh. Safety, Characteristics of Li(Ni0.8Co0.15Al0.05)O2 and Li(Ni1/3Co1/3Mn1/3)O2. J. Power Sources 2006, 8, 329–335. [Google Scholar]
  40. Belov, D.; Yang, M.H. Investigation of the Kinetic Mechanism in Overcharge Process for Li-ion Battery. Solid State Ion. 2008, 179, 1816–1821. [Google Scholar] [CrossRef]
  41. Belov, D.; Yang, M.H. Failure Mechanism of Li-ion Battery at Overcharge Condition. J. Solid State Electrochem. 2008, 12, 885–894. [Google Scholar] [CrossRef]
  42. DoH, C.H.; Kim, D.H.; Kim, H.S.; Shin, H.M.; Jeong, Y.D.; Moon, S.I.; Jin, B.S.; Eom, S.W.; Kim, H.S.; Kim, K.W.; Oh, D.H.; Veluchamy, A. Thermal and Electrochemical Behaviour of C/LixCoO2 Cell During Safety Test. J. Power Sources 2008, 175, 881–885. [Google Scholar] [CrossRef]
  43. Takahashi, Y.; Tode, S.; Kinoshita, A.; Fujimoto, H.; Nakane, I.; Fujitani, S. Development of Lithium-Ion Batteries with a LiCoO2 Cathode Toward High Capacity by Elevating Charging Potential. J. Electrochem. Soc. 2008, 155, A537–A541. [Google Scholar] [CrossRef]
  44. Amatucci, G.G.; Tarascon, J.M.; Klein, L.C. Cobalt Dissolution in LiCoO2 Based Non-Aqueous Rechargeable Batteries. J. Solid State Ion. 1996, 83, 169–173. [Google Scholar] [CrossRef]
  45. Amatucci, G.G.; Tarascon, J.M.; Klein, L.C. CoO2, the End Member of the LixCoO2 Solid Solution. J. Electrochem. Soc. 1996, 143, 1114–1123. [Google Scholar] [CrossRef]
  46. Ferguson, J.W. Recent Developments in Cathode Materials for Lithium-Ion Batteries. J. Power Sources 2010, 195, 939–954. [Google Scholar] [CrossRef]
  47. Kang, K.; Meng, Y.S.; Breger, J.; Grey, C.P.; Ceder, G. Electrodes with High Power and High Capacity for Rechargeable Li Batteries. J. Sci. 2006, 311, 977–980. [Google Scholar] [CrossRef]
  48. Amriou, T.; Khelifa, B.; Aoutag, K.; Aouadi, S.M.; Mathieu, C. Ab Initio Investigation of the Jahn-Teller Distortion Effect on the Stabilizing Lithium Intercalated Compounds. J. Mater. Chem. Phys. 2005, 92, 499–504. [Google Scholar] [CrossRef]
  49. Liu, H.; Yang, Y.; Zhang, J. Reaction Mechanism and Kinetics of Lithium Ion Battery Cathode Material LiNiO2 with CO2. J. Power Sources 2007, 173, 556–561. [Google Scholar] [CrossRef]
  50. Padhi, A.K.; Nanjundaswamy, K.S.; Goodenough, J.B. Phospho-olivines as Positive-Electrode Materials for Rechargeable Lithium Batteries. J. Electrochem. Soc. 1997, 144, 1188–1194. [Google Scholar] [CrossRef]
  51. Ong, Sh.P. First Principle Design and Investigation of Lithium-Ion Battery Cathodes and Electrolytes. Ph.D. Thesis, Massachusetts Institute of Technology, Cambridge, MA, USA, February 2011. [Google Scholar]
  52. Wakihara, M. Recent Development in Lithium Ion Batteries. J. Mater. Sci. Eng. 2001, R33, 109–134. [Google Scholar] [CrossRef]
  53. Winter, M.; Besenhard, J.O.; Spahr, M.E.; Novak, P. Insertion Electrode Materials for Rechargeable lithium Batteries. J. Adv. Mater. 1998, 10, 725–763. [Google Scholar] [CrossRef]
  54. Broussely, M.; Archdale, G. Li-ion Batteries and Portable Power Source Prospects for the Next Five to Ten Years. In Proceedings of the 23rd International Power Sources Symposium, Amsterdam, The Netherlands, September 2003.
  55. Colbow, K.M.; Dahn, J.R.; Haering, R.R. Structure and electrochemistry of the spinel oxide LiTiO4 and Li4/3Ti5/3O4. J. Power Sources. 1989, 26, 397–402. [Google Scholar] [CrossRef]
  56. Wenige, R.; Niemann, M.; Heider, U.; Jungnitz, M.; Hilarius, V. Liquid Electrolyte Systems for Advanced Lithium Batteries. In Proceedings of the Industrial Chemistry Symposium, Seoul, Korea, 1997.
  57. Pesaran, A.; Market, T.; Tataria, H.; Howell, D. Battery requirements for plug- in hybrid electric vehicles: analysis and rationale. In Proceedings the 23th World Battery, Hybrid and Fuel Cell Electric Vehicle Symposium, Anaheim, CA, USA, December 2007.
  58. Graham, R. Comparing the Benefits and Impacts of Hybrid Electric Vehicle Options; Technical Report; Electric Power Research Institute (EPRI): Palo Alto, CA, USA, 2001. [Google Scholar]
  59. SuperLIB. Available online: http://www.superlib.eu/ (access on 17 November 2011).
  60. Mulder, G.; Omar, N.; Pauwels, S.; Leemans, F.; Verbrugge, B.; De Nijs, W.; Van den Bossche, P.; Six, D.; Van Mierlo, J. Enhanced Test Methods to Characterise Automotive Battery Cells. J. Power Sources 2011, 196, 10079–10087. [Google Scholar] [CrossRef]
  61. Omar, N.; Daowd, M.; Hegazy, O.; Mulder, G.; Timmermans, J.M.; Coosemans, Th.; Van Den Bossche, P.; Van Mierlo, J. Standardization Work for BEV and HEV Applications: Critical Appraisal of Recent Traction Battery Documents. Energies 2012, 5, 138–156. [Google Scholar] [CrossRef]
  62. European Batteries. Available online: http://www.europeanbatteries.com/solutions/brochures (accessed on 22 November 2011).
  63. EIG Batteries. Available online: http://www.eigbattery.com/ (accessed on 22 November 2011).
  64. Simon, P.; Burke, A.F. Nanostructured Carbons: Double-Layer Capacitance and More? Electrochem. Soc. Interface 2008, 17, 38–41. [Google Scholar]
  65. Burke, A.F. R&D Considerations for the Performance and Applications of Electrochemical Capacitors. J. Electrochimica Acta 2007, 53, 1083–1091. [Google Scholar] [CrossRef]
  66. Muratori, M. Thermal Characterization of Lithium-Ion Battery Cell. Master’s Thesis, Politecnico Di Milano, Milan, Italy, June 2009. [Google Scholar]
  67. Nissan Leaf Wikipedia page. Available online: http://en.wikipedia.org/wiki/Nissan_Leaf (accessed on 24 November 2011).
  68. Opel Ampera Slide Share. Available online: http://www.slideshare.net/AltairHTC/electric-vehicles-10206050 (accessed on 24 November 2011).
  69. Daowd, M.; Omar, N.; Van den Bossche, P.; Van Mierlo, J. Passive and Active Battery Balancing comparison based on Matlab Simulation. In Proceedings of 2011 IEEE Vehicle Power and Propulsion Conference (VPPC 2011), Chicago, IL, USA, September 2011.
  70. Ershag, O. A Balancing and Monitoring System for Battery Cell Stacks in Electrical Vehicles. Master’s Thesis, Lulea University of Technology, Strömsund, Sweden, June 2008. [Google Scholar]
  71. Tahil, W. How Much Lithium does a Lilon EV battery really need? Available online: http://www.meridian-int-res.com (accessed on 5 March 2010).
  72. Peukert, W. Über die Abhänigkeit der Kapazität von der Entladestromstärke bei Bleiakkumulatoren. Elektrotechnische Zeitschrift 1897, 27, 287–288. [Google Scholar]
  73. Szczepanek, A.; Botsford, C. Electric Vehicle Infrastructure Development: An Enabler for Electric Vehicle Adoption. In Proceedings the 24th World Battery, Hybrid and Fuel Cell Electric Vehicle Symposium, Stavanger, Norway, May 2009.
  74. Van den Bossche, P.; Omar, N.; Van Mierlo, J. Trends and Development Status of IEC Global Electric Vehicle Standards. J. Asian Electr. Veh. 2010, 8, 1409–1414. [Google Scholar] [CrossRef]
  75. Van den Bossche, P.; Verbrugge, B.; Omar, N.; Van Mierlo, J. The Electric Vehicle Charged by the Grid: Voltages and Power Levels. In Proceedings of the Plug in Hybrid and Electric Vehicles Conference (PHEV-09), Montréal, Canada, September 2009.
  76. IEC 61851-1: Electric vehicle conductive charging system—Part 1: General requirements, 2010. Available online: http://webstore.iec.ch/webstore/webstore.nsf/Artnum_PK/44636 (accessed on 17 November 2011).
  77. Sawai, K.; Yamato, R.; Ohzuku, T. Impedance on Lithium-Ion Battery Consisting of Li(Li1/3Ti5/3)O4 and LiCO1/2Ni1/2O2. J. Electrochem. 2005, 51, 1651–1655. [Google Scholar]
  78. IEC 60254-1: Lead-acid traction batteries—Part 1: General requirement and methods of test, April, 2005. Available online: http://webstore.iec.ch/preview/info_iec60254-1%7Bed4.0%7Den_d.pdf (accessed on 17 November 2011).
  79. ISO 12405-1 Electrically propelled road vehicles—Test specification for lithium-ion traction battery packs and systems—Part 1: High- power applications, June, 2011. Available online: http://www.iso.org/iso/catalogue_detail?csnumber=51414 (accessed on 17 November 2011).
  80. ISO 12405-2 Electrically propelled road vehicles—Test specification for lithium-ion traction battery packs and systems—Part 1: High- energy applications, June, 2011. Available online: http://www.iso.org/iso/catalogue_detail?csnumber=55854 (accessed on 17 November 2011).
  81. IEC 62660-1 Ed. 1: Secondary batteries for the propulsion of electric road vehicles—Part 1: Performance testing for lithium-ion cells, May, 2010. Available online: http://webstore.iec.ch/webstore/webstore.nsf/artnum/044728!opendocument (accessed on 17 November 2011).
  82. Nazri, G.B.; Pistoia, G. Lithium Batteries; Springer: New York, NY, USA, 2009. [Google Scholar]
  83. Patterson, M.L. Anode Materials for Lithium Ion Batteries. In Proceedings Indiana University Battery Workshop, Indiana, IN, USA, November 2009.
  84. Sarre, G.; Blanchard, Ph.; Broussely, M. Aging of Lithium-Ion Batteries. J. Power Sources 2004, 127, 65–71. [Google Scholar] [CrossRef]
  85. Burke, A. Ultracapacitor Technologies and Application in Hybrid and Electric Vehicles. Interna. J. Energy Res. 2010, 34, 133–151. [Google Scholar] [CrossRef]
  86. Kharkats, Y.I.; Sokirko, A.V.; Bark, F.H. Properties of Polarization Curves for Electrochemical Cells Described by Butler-Volmer Kinetics and Arbitrary Values of the Transfer Coefficient. J. Electrochimica Acta 1995, 40, 247–252. [Google Scholar] [CrossRef]
  87. Uwe Sauer, D. Cursus Electrochemistry; University of Aachen: Aachen, Germany, 2009. [Google Scholar]
  88. IEC 62576: Electric Double-Layer double for Use in Hybrid Electric Vehicles—Hybrids Test Methods for Electrical Characteristics, April, 2008. Available online: http://webstore.ansi.org/RecordDetail.aspx?sku=IEC+62576+Ed.+1.0+b:2009 (accessed on 17 November 2011).
  89. Verbrugge, B.; Heremans, Y.; Van Mulders, F.; Culcu, H.; Van den Bossche, P.; Van Mierlo, J. Modelling the RESS: Describing Electrical Parameters of Batteries and Electric Double-Layer Capacitors through Measurements. World Electr. Veh. J. 2009, 3, 1–9. [Google Scholar]
  90. Daowd, M.; Omar, N.; Van den Bossche, P.; Van Mierlo, J. An Extended PNGV Battery Model for Electric and Hybrid Vehicles. Int. Rev. Electr. Eng. 2011, 6, 1692–1706. [Google Scholar]

Share and Cite

MDPI and ACS Style

Omar, N.; Daowd, M.; Bossche, P.v.d.; Hegazy, O.; Smekens, J.; Coosemans, T.; Mierlo, J.v. Rechargeable Energy Storage Systems for Plug-in Hybrid Electric Vehicles—Assessment of Electrical Characteristics. Energies 2012, 5, 2952-2988. https://doi.org/10.3390/en5082952

AMA Style

Omar N, Daowd M, Bossche Pvd, Hegazy O, Smekens J, Coosemans T, Mierlo Jv. Rechargeable Energy Storage Systems for Plug-in Hybrid Electric Vehicles—Assessment of Electrical Characteristics. Energies. 2012; 5(8):2952-2988. https://doi.org/10.3390/en5082952

Chicago/Turabian Style

Omar, Noshin, Mohamed Daowd, Peter van den Bossche, Omar Hegazy, Jelle Smekens, Thierry Coosemans, and Joeri van Mierlo. 2012. "Rechargeable Energy Storage Systems for Plug-in Hybrid Electric Vehicles—Assessment of Electrical Characteristics" Energies 5, no. 8: 2952-2988. https://doi.org/10.3390/en5082952

APA Style

Omar, N., Daowd, M., Bossche, P. v. d., Hegazy, O., Smekens, J., Coosemans, T., & Mierlo, J. v. (2012). Rechargeable Energy Storage Systems for Plug-in Hybrid Electric Vehicles—Assessment of Electrical Characteristics. Energies, 5(8), 2952-2988. https://doi.org/10.3390/en5082952

Article Metrics

Back to TopTop