Reactivation System for Proton-Exchange Membrane Fuel-Cells
Abstract
:1. Introduction
2. Description of the PEMFC System to Reactivate

3. Description of the PEMFC Embedded and Automated Reactivation System
3.1. Hardware of the Fuel Cell Reactivation System
3.1.1. Cell-Voltage Sensing and Multiplexing Stage

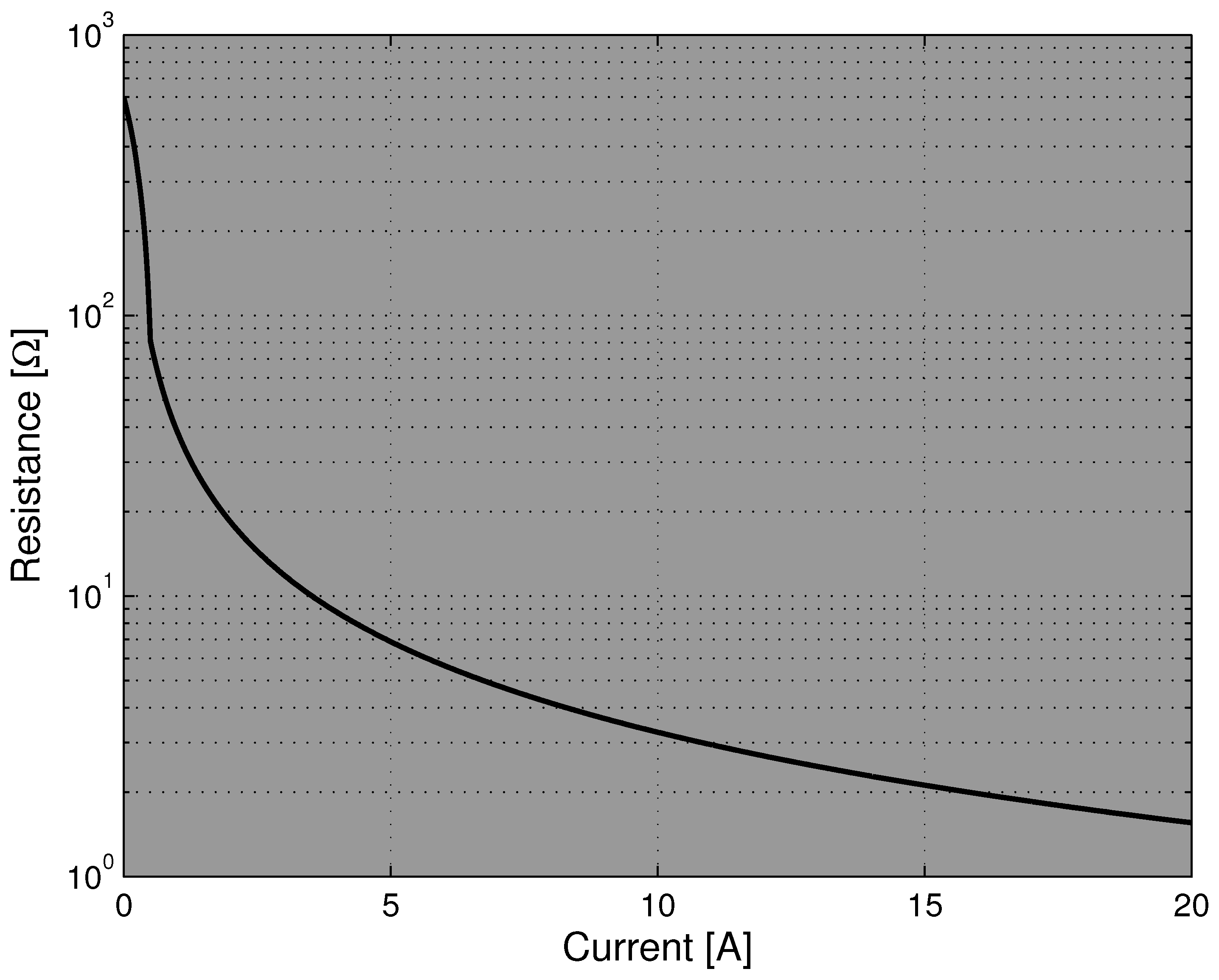
3.1.2. PWM FC Fan Driver Control and FC Current and Temperature Sensing Stage



3.1.3. Embedded Control System
3.1.4. PEM Fuel Cell Reactivation System

3.2. Software Architecture of the Fuel Cell Reactivation System




4. Experimental Results



5. Conclusions
Acknowledgments
References
- Larminie, J.; Dicks, A. Fuel Cell Systems Explained, 2nd ed.; Wiley: Weinheim, Germany, 2003. [Google Scholar]
- Correa, J.; Farret, F.; Canha, L.; Simoes, M. An electrochemical-based fuel-cell model suitable for electrical engineering automation approach. IEEE Trans. Ind. Electron. 2004, 51, 1103–1112. [Google Scholar] [CrossRef]
- Pukrushpan, J.; Stefanopoulou, A.; Peng, H. Control of fuel cell breathing. IEEE Control Syst. Mag. 2004, 24, 30–46. [Google Scholar] [CrossRef]
- Kong, X.; Khambadkone, A. Modeling of a PEM fuel-cell stack for dynamic and steady-state operation using ANN-based submodels. IEEE Trans. Ind. Electron. 2009, 56, 4903–4914. [Google Scholar] [CrossRef]
- Jung, J.H.; Ahmed, S.; Enjeti, P. PEM fuel-cell stack model development for real-time simulation applications. IEEE Trans. Ind. Electron. 2011, 58, 4217–4231. [Google Scholar] [CrossRef]
- Aglzim, E.H.; Rouane, A.; El-Moznine, R. An electronic measurement instrumentation of the impedance of a loaded fuel cell or battery. Sensors 2007, 7, 2363–2377. [Google Scholar] [CrossRef]
- Ordonez, M.; Sonnaillon, M.; Quaicoe, J.; Iqbal, M. An embedded frequency response analyzer for fuel cell monitoring and characterization. IEEE Trans. Ind. Electron. 2010, 57, 1925–1934. [Google Scholar] [CrossRef]
- Ramos-Paja, C.; Giral, R.; Martinez-Salamero, L.; Romano, J.; Romero, A.; Spagnuolo, G. A PEM fuel-cell model featuring oxygen-excess-ratio estimation and power-electronics interaction. IEEE Trans. Ind. Electron. 2010, 57, 1914–1924. [Google Scholar] [CrossRef]
- Pei, P.; Yuan, X.; Gou, J.; Li, P. Dynamic response during PEM fuel cell loading-up. Materials 2009, 2, 734–748. [Google Scholar] [CrossRef]
- Gauchia, L.; Sanz, J. A per-unit hardware-in-the-loop simulation of a fuel cell/battery hybrid energy system. IEEE Trans. Ind. Electron. 2010, 57, 1186–1194. [Google Scholar] [CrossRef]
- Dhirde, A.; Dale, N.; Salehfar, H.; Mann, M.; Han, T. Equivalent electric circuit modeling and performance analysis of a PEM fuel cell stack using impedance spectroscopy. IEEE Trans. Energy Convers. 2010, 25, 778–786. [Google Scholar] [CrossRef]
- Chan, D.S.; Hsueh, K.L. A transient model for fuel cell cathode-water propagation behavior inside a cathode after a step potential. Energies 2010, 3, 920–939. [Google Scholar] [CrossRef]
- Fontes, G.; Turpin, C.; Astier, S. A large-signal and dynamic circuit model of a H2/O2 PEM fuel cell: Description, parameter identification, and exploitation. IEEE Trans. Ind. Electron. 2010, 57, 1874–1881. [Google Scholar] [CrossRef]
- Li, Q.; Chen, W.; Wang, Y.; Liu, S.; Jia, J. Parameter identification for PEM fuel-cell mechanism model based on effective informed adaptive particle swarm optimization. IEEE Trans. Ind. Electron. 2011, 58, 2410–2419. [Google Scholar] [CrossRef]
- Forrai, A.; Funato, H.; Yanagita, Y.; Kato, Y. Fuel-cell parameter estimation and diagnostics. IEEE Trans. Energy Convers. 2005, 20, 668–675. [Google Scholar] [CrossRef]
- Rathore, A.; Bhat, A.; Oruganti, R. Analysis, design and experimental results of wide range ZVS active-clamped L-L type current-fed DC/DC converter for fuel cells to utility interface. IEEE Trans. Ind. Electron. 2011, 59, 473–485. [Google Scholar] [CrossRef]
- Vinnikov, D.; Roasto, I. Quasi-z-source-based isolated DC/DC converters for distributed power generation. IEEE Trans. Ind. Electron. 2011, 58, 192–201. [Google Scholar] [CrossRef]
- Lee, J.Y.; Jeong, Y.S.; Han, B.M. An isolated DC/DC converter using high-frequency unregulated LLC resonant converter for fuel cell applications. IEEE Trans. Ind. Electron. 2011, 58, 2926–2934. [Google Scholar] [CrossRef]
- Wai, R.J.; Lin, C.Y. Dual active low-frequency ripple control for clean-energy power-conditioning mechanism. IEEE Trans. Ind. Electron. 2011, 58, 5172–5185. [Google Scholar]
- Yuan, B.; Yang, X.; Li, D.; Duan, J.; Zhai, Z.; Zeng, X. Analysis and design of a high step-up current fed multi-resonant DC-DC converter with low circulating energy and zero-current switching for all active switches. IEEE Trans. Ind. Electron. 2011, 59, 964–978. [Google Scholar] [CrossRef]
- Shahin, A.; Hinaje, M.; Martin, J.P.; Pierfederici, S.; Rael, S.; Davat, B. High voltage ratio DC-DC converter for fuel-cell applications. IEEE Trans. Ind. Electron. 2010, 57, 3944–3955. [Google Scholar] [CrossRef]
- Zhu, X.; Li, X.; Shen, G.; Xu, D. Design of the dynamic power compensation for PEMFC distributed power system. IEEE Trans. Ind. Electron. 2010, 57, 1935–1944. [Google Scholar]
- Leu, C.S.; Li, M.H. A novel current-fed boost converter with ripple reduction for high-voltage conversion applications. IEEE Trans. Ind. Electron. 2010, 57, 2018–2023. [Google Scholar]
- Grötsch, M.; Mangold, M.; Kienle, A. Analysis of the coupling behavior of PEM fuel cells and DC-DC converters. Energies 2009, 2, 71–96. [Google Scholar] [CrossRef]
- Ramos-Paja, C.A.; Bordons, C.; Romero, A.; Giral, R.; Martinez-Salamero, L. Minimum fuel consumption strategy for PEM fuel cells. IEEE Trans. Ind. Electron. 2009, 56, 685–696. [Google Scholar] [CrossRef]
- Restrepo, C.; Ramos-Paja, C.; Giral, R.; Calvente, J.; Romero, A. Fuel cell emulator for oxygen excess ratio estimation on power electronics applications. Comput. Electr. Eng. 2012, 38, 926–937. [Google Scholar] [CrossRef]
- Pinto, F.; Vega-Leal, A. A test of HIL COTS technology for fuel cell systems emulation. IEEE Trans. Ind. Electron. 2010, 57, 1237–1244. [Google Scholar] [CrossRef]
- Choe, S.Y.; Ahn, J.W.; Lee, J.G.; Baek, S.H. Dynamic simulator for a PEM fuel cell system with a PWM DC/DC converter. IEEE Trans. Energy Convers. 2008, 23, 669–680. [Google Scholar] [CrossRef]
- Correa, J.; Farret, F.; Gomes, J.; Simoes, M. Simulation of fuel-cell stacks using a computer-controlled power rectifier with the purposes of actual high-power injection applications. IEEE Trans. Ind. Appl. 2003, 39, 1136–1142. [Google Scholar] [CrossRef]
- Gao, F.; Blunier, B.; Simoẽs, M.G.; Miraoui, A. PEM fuel cell stack modeling for real-time emulation in hardware-in-the-loop applications. IEEE Trans. Energy Convers. 2011, 26, 184–194. [Google Scholar]
- Pukrushpan, J.T.; Stefanopoulou, A.G.; Peng, H. Control of Fuel Cell Power Systems: Principles, Modeling, Analysis, and Feedback Design, 1st ed.; Springer: Berlin/Heidelberg, Germany, 2004. [Google Scholar]
- Segura, F.; Andujar, J.; Duran, E. Analog current control techniques for power control in PEM fuel-cell hybrid systems: A critical review and a practical application. IEEE Trans. Ind. Electron. 2011, 58, 1171–1184. [Google Scholar] [CrossRef]
- Vasallo, M.; Andujar, J.; Garcia, C.; Brey, J. A methodology for sizing backup fuel-cell/battery hybrid power systems. IEEE Trans. Ind. Electron. 2010, 57, 1964–1975. [Google Scholar] [CrossRef]
- Marignetti, F.; Minutillo, M.; Perna, A.; Jannelli, E. Assessment of fuel cell performance under different air stoichiometries and fuel composition. IEEE Trans. Ind. Electron. 2011, 58, 2420–2426. [Google Scholar] [CrossRef]
- Arce, A.; del Real, A.; Bordons, C.; Ramirez, D. Real-time implementation of a constrained MPC for efficient airflow control in a PEM fuel cell. IEEE Trans. Ind. Electron. 2010, 57, 1892–1905. [Google Scholar] [CrossRef]
- Suh, K.W.; Stefanopoulou, A. Performance limitations of air flow control in power-autonomous fuel cell systems. IEEE Trans. Control Syst. Technol. 2007, 15, 465–473. [Google Scholar] [CrossRef]
- Talj, R.; Hissel, D.; Ortega, R.; Becherif, M.; Hilairet, M. Experimental validation of a PEM fuel-cell reduced-order model and a moto-compressor higher order sliding-mode control. IEEE Trans. Ind. Electron. 2010, 57, 1906–1913. [Google Scholar] [CrossRef]
- Nexa (310-0027) Power Module User’s Manual, MAN5100078; Ballard Power Systems Inc.: Burnaby, Canada, 2003.
- Muchnic, G.; Oko, U.M.; Dannehy, C.S. Fuel Cell Stack Rejuvenation. U.S. Patent 6,558,824, 6 May 2003. [Google Scholar]
- Adams, W.A.; Gardner, C.L.; Dunn, J.H.; Vered, R. Fuel Cell Health Management System. U.S. Patent 0,211,372 A1, 13 November 2003. [Google Scholar]
- Adams, W.A.; Gardner, C.L.; Dunn, J.H.; Vered, R. Fuel Cell Operating Control System. WO Patent WO2003/083975 A2, 9 October 2003. [Google Scholar]
- Adams, W.A.; Gardner, C.L.; Dunn, J.H.; Vered, R. Method And Apparatus for Rejuvenating Fuel Cells. U.S. Patent 7,038,424, 2 May 2006. [Google Scholar]
- Palcan Fuel Cells Sales Agreement; Palcan Fuel Cells Ltd.: Vancouver, Canada.
- Corporation, N.I. NI sbRIO-961x/963x/964x and NI sbRIO-9612XT/9632XT/9642XT User Guide; National Instruments Corporation: Austin, TX, USA.
- Operating Manual, Electronic Load Mainframes Models 6050A and 6051A; Agilent Technologies: Beijing, China, 1997.
© 2012 by the authors; licensee MDPI, Basel, Switzerland. This article is an open access article distributed under the terms and conditions of the Creative Commons Attribution license (http://creativecommons.org/licenses/by/3.0/).
Share and Cite
Restrepo, C.; Avino, O.; Calvente, J.; Romero, A.; Milanovic, M.; Giral, R. Reactivation System for Proton-Exchange Membrane Fuel-Cells. Energies 2012, 5, 2404-2423. https://doi.org/10.3390/en5072404
Restrepo C, Avino O, Calvente J, Romero A, Milanovic M, Giral R. Reactivation System for Proton-Exchange Membrane Fuel-Cells. Energies. 2012; 5(7):2404-2423. https://doi.org/10.3390/en5072404
Chicago/Turabian StyleRestrepo, Carlos, Oriol Avino, Javier Calvente, Alfonso Romero, Miro Milanovic, and Roberto Giral. 2012. "Reactivation System for Proton-Exchange Membrane Fuel-Cells" Energies 5, no. 7: 2404-2423. https://doi.org/10.3390/en5072404
APA StyleRestrepo, C., Avino, O., Calvente, J., Romero, A., Milanovic, M., & Giral, R. (2012). Reactivation System for Proton-Exchange Membrane Fuel-Cells. Energies, 5(7), 2404-2423. https://doi.org/10.3390/en5072404
