Online Parameter Estimation of the Ni-MH Batteries Based on Statistical Methods
Abstract
:1. Instruction
2. Battery Model Description

3. Online Resistance
3.1. Resistance calculation
3.2. Experimental preparation

3.3. The result and analysis of resistance calculation


| simulative mode serial number | charge mean value (A) | discharge mean value (A) | current dispersion |
|---|---|---|---|
| a | 8.6 (62) | –5.7 (31) | 1.2 |
| b | 12.6 (98) | –5.1 (2) | 1.5 |
| c | 15.8 (63) | –20.7 (37) | 6.4 |
| d | 19.4 (68) | –18.4 (32) | 6.1 |
| e | 10.9 (62) | –11.0 (38) | 2.8 |
4. Open-Circuit Voltage

| driving patten | error |
|---|---|
| driving patten 1 | 1.03% |
| driving patten 2 | 3.4% |

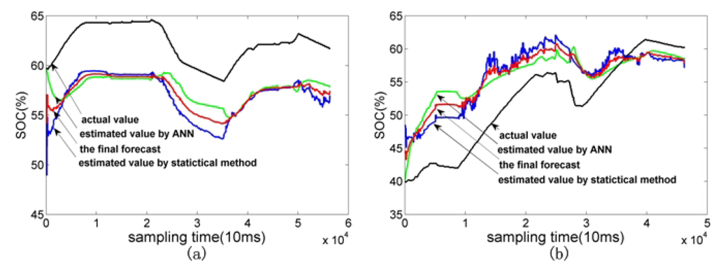
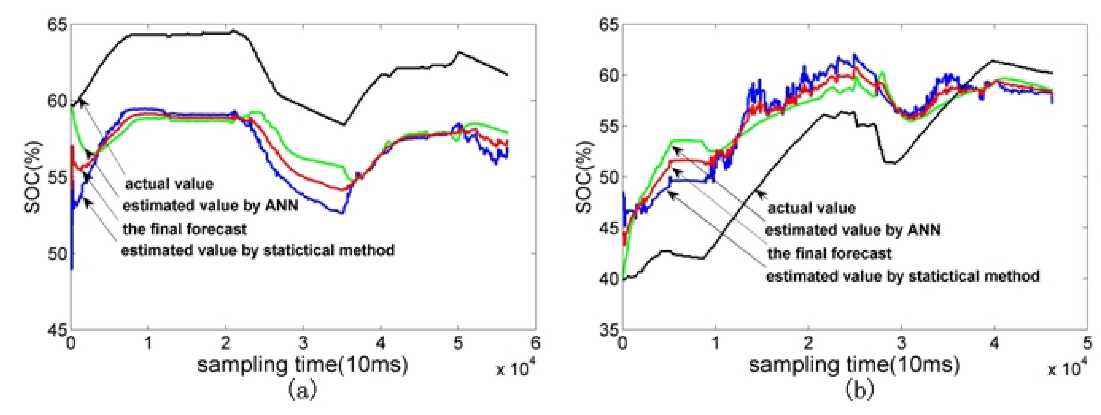
5. SOC
| U(v) | 96 | 120 | 140 | 198 |
| SOC(%) | 0 | 10 | 30 | 100 |


| the error before amendment | the error after amendment | |
|---|---|---|
| test sample 1 | 5.2% | 4.9% |
| test sample 2 | 4.8% | 4.6% |
6. Conclusions
Acknowledgements
References and Notes
- Hou, X.; Xue, J.; Nan, J. The cycle life performance of MH-Ni batteries for high power applications. Acta Sci. Natur. Univ. Sunyats. 2005, 44, 77–80. [Google Scholar]
- Verbrugge, M. Adaptive multi-parameter battery state estimator with optimized time-weighting factors. J. Appl. Electrochem. 2007, 37, 605–616. [Google Scholar] [CrossRef]
- Wei, X.; Xu, W.; Shen, D. Internal resistance identification of Li-ion battery and its application in battery life estimation. Chin. J. Power Sources 2009, 33, 217–220. [Google Scholar]
- Buchmann, I. Batteries in a Portable World, 2nd ed.; Cadex Electronics Inc Press: Richmond, BC, Canada, 2001; pp. 81–84. [Google Scholar]
- Piller, S.; Perrin, M.; Jossen, A. Methods for state-of-charge determination and their applications. J. Power Sources 2001, 96, 113–120. [Google Scholar] [CrossRef]
- Johnson, V.H. Battery performance models in advisor. J. Power Sources 2002, 110, 321–329. [Google Scholar] [CrossRef]
- Lin, C.; Qiu, B.; Chen, Q. A comparative study on power input equivalent circuit model for electric vehicle battery. Automot. Eng. 2006, 28, 229–234. [Google Scholar]
- Verbrugge, M.; Tate, E. Adaptive state of charge algorithm for nickel metal hydride batteries including hysteresis phenomena. J. Power Sources 2004, 126, 236–249. [Google Scholar] [CrossRef]
- Felder, R.M.; Rousseau, R.W. Elementary Principles of Chemical Processes, 3rd ed.; John Wiley & Sons press: New York, NY, USA, 1978; pp. 501–503. [Google Scholar]
- QC/T 744-2006, Nickel Metal Hydride Power Battery of EV; Development & Reform Commision of China press: Beijing, China, 2006.
- Hu, J.; Shui, J.; Guo, C. MH/Ni battery discharge performance test research of hybrid electric vehicle. J. Chongqing Univ. 2007, 30, 1–6. [Google Scholar]
- Bian, Z. Pattern Recognition, 2nd Ed. ed; Tsinghua University Press: Beijing, China, 2002; pp. 88–89. [Google Scholar]
- Cai, C.; Du, D.; Liu, Z.; Ge, J. State of charge estimation of high power NI-MH rechargeable battery with artificial neural network. In Proceedings of the 9th International Conference on Neural Information, Singapore, November 2002; pp. 824–828.
© 2010 by the authors; licensee Molecular Diversity Preservation International, Basel, Switzerland. This article is an open access article distributed under the terms and conditions of the Creative Commons Attribution license (http://creativecommons.org/licenses/by/3.0/).
Share and Cite
Piao, C.-h.; Fu, W.-l.; Lei, G.-h.; Cho, C.-d. Online Parameter Estimation of the Ni-MH Batteries Based on Statistical Methods. Energies 2010, 3, 206-215. https://doi.org/10.3390/en3020206
Piao C-h, Fu W-l, Lei G-h, Cho C-d. Online Parameter Estimation of the Ni-MH Batteries Based on Statistical Methods. Energies. 2010; 3(2):206-215. https://doi.org/10.3390/en3020206
Chicago/Turabian StylePiao, Chang-hao, Wen-li Fu, Gai-hui Lei, and Chong-du Cho. 2010. "Online Parameter Estimation of the Ni-MH Batteries Based on Statistical Methods" Energies 3, no. 2: 206-215. https://doi.org/10.3390/en3020206
APA StylePiao, C.-h., Fu, W.-l., Lei, G.-h., & Cho, C.-d. (2010). Online Parameter Estimation of the Ni-MH Batteries Based on Statistical Methods. Energies, 3(2), 206-215. https://doi.org/10.3390/en3020206
