Parameter Optimization of Tunnel Oxide Passivated Back Contact (TBC) Solar Cells
Abstract
1. Introduction
2. Simulation Methodology
Structure and Parameter Settings of TBC Solar Cells for Simulation
3. Results and Discussion
3.1. Effects of Different Parameters on Performance
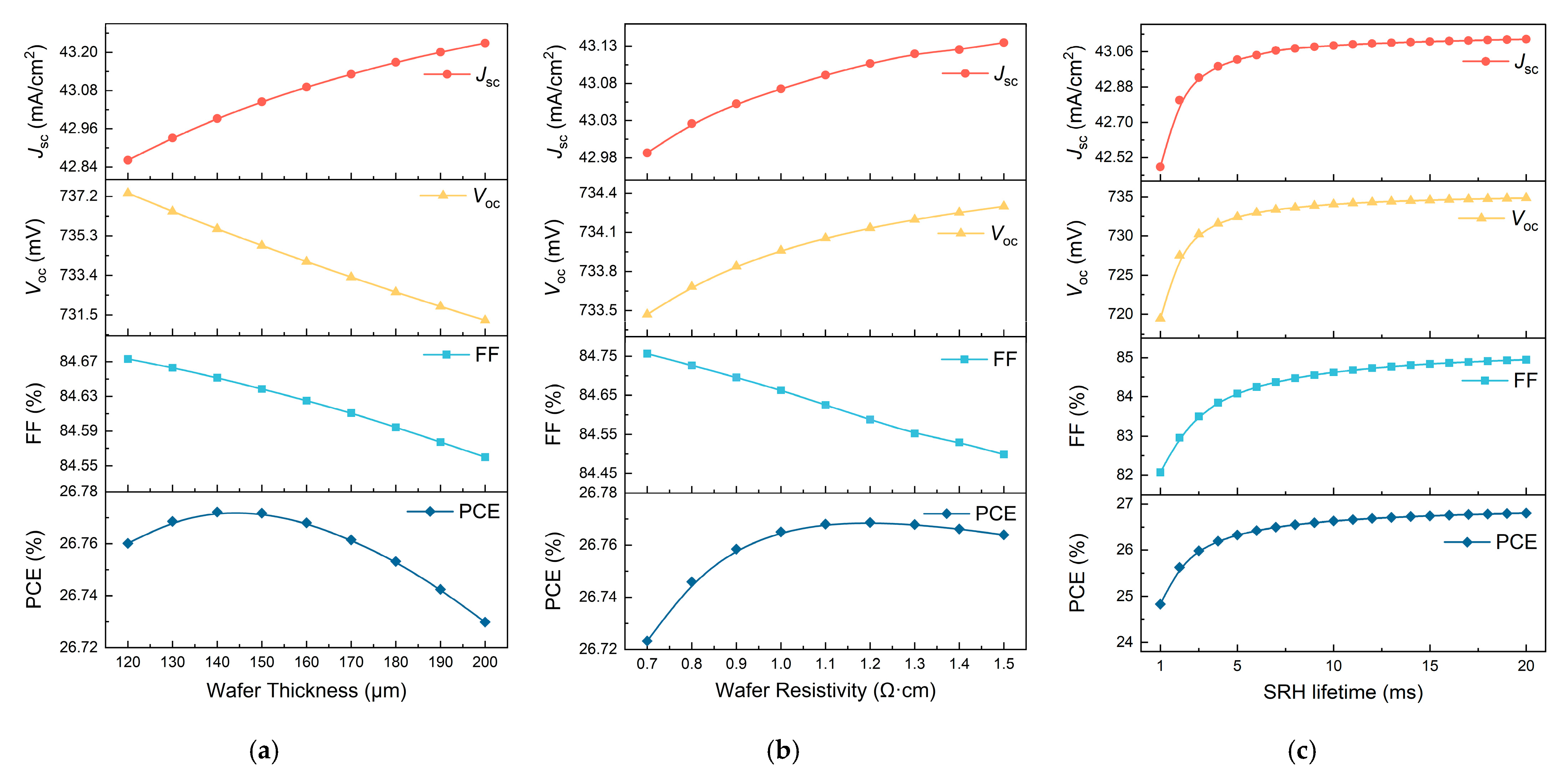
3.1.1. Effects of Silicon Wafer Properties
3.1.2. Effects of Rear-Side Passivation and Contact Properties
3.1.3. Effects of Rear-Side Geometrical Sizes and Sheet Resistance of Diffusion Zones
3.2. Multi-Factor Interaction-Based Optimization (MFIO) and Results
3.2.1. Four-Factor, Five-Level Orthogonal Experimental Design
3.2.2. Prediction Model of Simulation Results
3.2.3. Variance Analysis of Fitting Results
3.2.4. Cross-Verification of Prediction Model
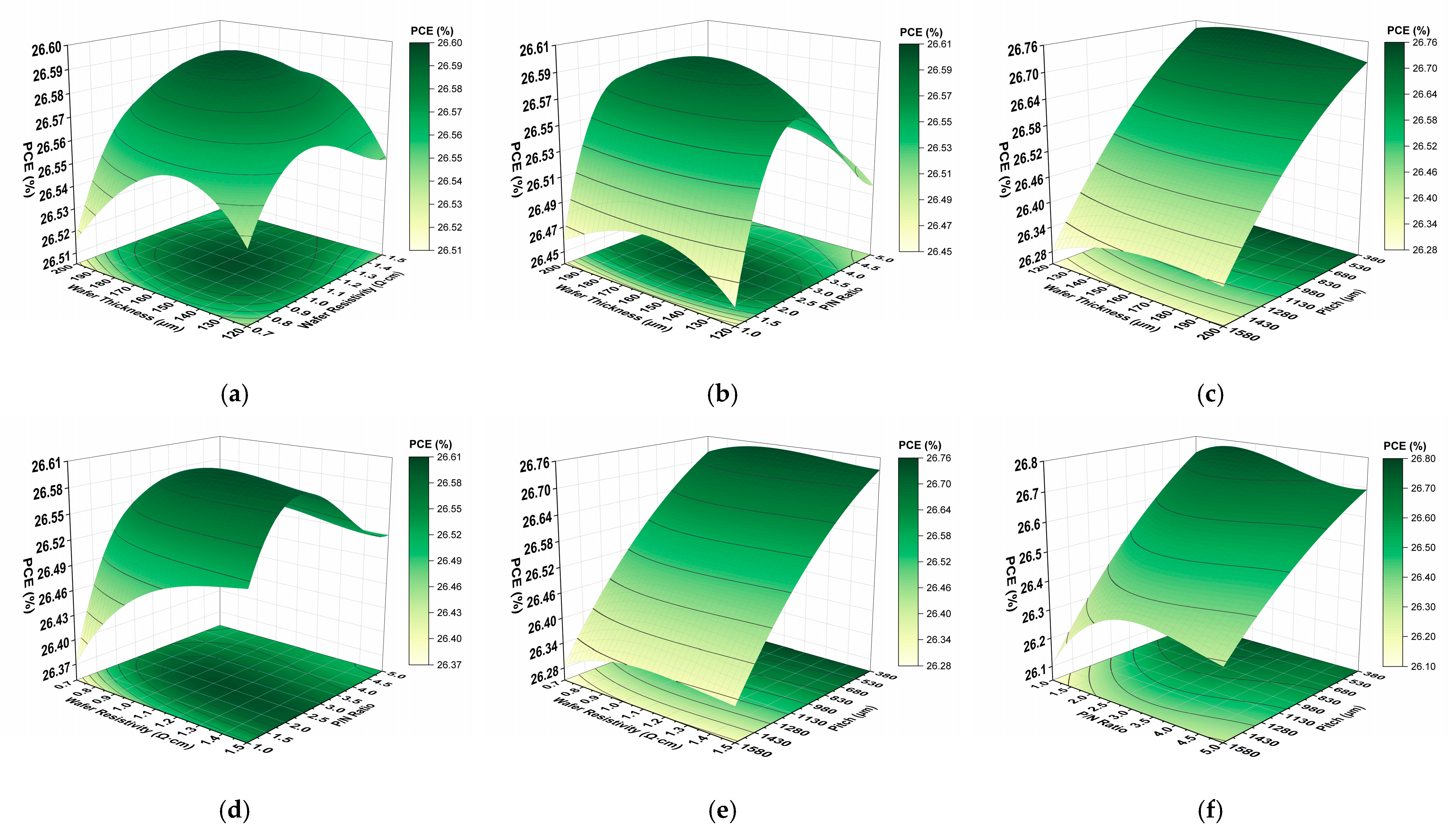
3.2.5. Response Surface and Contour Analysis
3.2.6. Optimal Parameter Prediction Results
3.2.7. Sensitivity Analysis of Optimized Parameters
3.2.8. Power Loss Analysis
3.3. Discussion
3.3.1. Comparison with Single-Parameter Optimization (SPO) Method
3.3.2. Physical Origin of Nonlinear Interaction Effects
3.3.3. Experimental Relevance and Reproducibility
3.3.4. Scalability to Industrial Manufacturing
3.3.5. Limitations and Outlook
4. Conclusions
Supplementary Materials
Author Contributions
Funding
Data Availability Statement
Conflicts of Interest
References
- Bahar, H.; Abdelilah, Y.; Báscones, A.A.; Anatolitis, V.; Bojek, P.; Briens, F.; Criswell, T.; Moorhouse, J.; Veerakumar, K.; Martinez, L.M. Renewables 2024 Analysis and Forecast to 2030. Available online: https://www.iea.org/reports/renewables-2024 (accessed on 15 February 2026).
- Fischer, M. International Technology Roadmap for Photovoltaics (ITRPV) 2025 (16th Edition). Available online: https://www.vdma.eu/en-GB/international-technology-roadmap-photovoltaic (accessed on 15 February 2026).
- Tong, H.; Tan, S.; Zhang, Y.; He, Y.; Ding, C.; Zhang, H.; He, J.; Cao, J.; Liu, H.; Li, Y.; et al. Total-Area World-Record Efficiency of 27.03% for 350.0 Cm2 Commercial-Sized Single-Junction Silicon Solar Cells. Nat. Commun. 2025, 16, 5920. [Google Scholar] [CrossRef]
- Wang, G.; Su, Q.; Tang, H.; Wu, H.; Lin, H.; Han, C.; Wang, T.; Xue, C.; Lu, J.; Fang, L.; et al. 27.09%-Efficiency Silicon Heterojunction Back Contact Solar Cell and Going Beyond. Nat. Commun. 2024, 15, 8931. [Google Scholar] [CrossRef] [PubMed]
- Wang, G.; Yu, M.; Wu, H.; Li, Y.; Xie, L.; Wei, J.; Deng, X.; Zhou, S.; Yuan, T.; Luo, F.; et al. Silicon Solar Cells with Hybrid Back Contacts. Nature 2025, 647, 369–374. [Google Scholar] [CrossRef]
- Krügener, J.; Haase, F.; Rienäcker, M.; Brendel, R.; Osten, H.J.; Peibst, R. Improvement of the SRH Bulk Lifetime upon Formation of N-Type POLO Junctions for 25% Efficient Si Solar Cells. Sol. Energy Mater. Sol. Cells 2017, 173, 85–91. [Google Scholar] [CrossRef]
- Haase, F.; Schafer, S.; Klamt, C.; Kiefer, F.; Krugener, J.; Brendel, R.; Peibst, R. Perimeter Recombination in 25%-Efficient IBC Solar Cells with Passivating POLO Contacts for Both Polarities. IEEE J. Photovolt. 2018, 8, 23–29. [Google Scholar] [CrossRef]
- Haase, F.; Hollemann, C.; Schäfer, S.; Merkle, A.; Rienäcker, M.; Krügener, J.; Brendel, R.; Peibst, R. Laser Contact Openings for Local Poly-Si-Metal Contacts Enabling 26.1%-Efficient POLO-IBC Solar Cells. Sol. Energy Mater. Sol. Cells 2018, 186, 184–193. [Google Scholar] [CrossRef]
- Hollemann, C.; Haase, F.; Schäfer, S.; Krügener, J.; Brendel, R.; Peibst, R. 26.1%-efficient POLO-IBC Cells: Quantification of Electrical and Optical Loss Mechanisms. Prog. Photovolt. 2019, 27, 950–958. [Google Scholar] [CrossRef]
- Hollemann, C.; Haase, F.; Rienäcker, M.; Barnscheidt, V.; Krügener, J.; Folchert, N.; Brendel, R.; Richter, S.; Großer, S.; Sauter, E.; et al. Separating the Two Polarities of the POLO Contacts of an 26.1%-Efficient IBC Solar Cell. Sci. Rep. 2020, 10, 658. [Google Scholar] [CrossRef] [PubMed]
- Mertens, V.; Dorn, S.; Langlois, J.; Stöhr, M.; Larionova, Y.; Veurman, W.; Brendel, R.; Ambrosius, N.; Vogt, A.; Pernau, T.; et al. Plasma-Enhanced Chemical-Vapor-Deposited SiOx(Ny)/N-type Polysilicon-on-Oxide-Passivating Contacts in Industrial Back-Contact Si Solar Cells. Sol. RRL 2024, 8, 2300919. [Google Scholar] [CrossRef]
- Yang, G.; Guo, P.; Procel, P.; Limodio, G.; Weeber, A.; Isabella, O.; Zeman, M. High-Efficiency Black IBC c-Si Solar Cells with Poly-Si as Carrier-Selective Passivating Contacts. Sol. Energy Mater. Sol. Cells 2018, 186, 9–13. [Google Scholar] [CrossRef]
- Cao, K.; Yang, Z.; Wang, M.; Liang, Y.; Liu, J.; Bao, Y.; Zhang, Y.; Shi, L.; Cao, G.; Li, X.; et al. Physical Mechanisms and Design Strategies for High-Efficiency Back Contact Tunnel Oxide Passivating Contact Solar Cells. Sol. Energy Mater. Sol. Cells 2025, 289, 113656. [Google Scholar] [CrossRef]
- Fell, A.; Fong, K.C.; McIntosh, K.R.; Franklin, E.; Blakers, A.W. 3-D Simulation of Interdigitated-Back-Contact Silicon Solar Cells with Quokka Including Perimeter Losses. IEEE J. Photovolt. 2014, 4, 1040–1045. [Google Scholar] [CrossRef]
- Fell, A.; Altermatt, P.P. A Detailed Full-Cell Model of a 2018 Commercial PERC Solar Cell in Quokka3. IEEE J. Photovolt. 2018, 8, 1443–1448. [Google Scholar] [CrossRef]
- Yan, D.; Phang, S.P.; Wan, Y.; Samundsett, C.; Macdonald, D.; Cuevas, A. High Efficiency N-Type Silicon Solar Cells with Passivating Contacts Based on PECVD Silicon Films Doped by Phosphorus Diffusion. Sol. Energy Mater. Sol. Cells 2019, 193, 80–84. [Google Scholar] [CrossRef]
- Qiu, D.; Duan, W.; Lambertz, A.; Bittkau, K.; Steuter, P.; Liu, Y.; Gad, A.; Pomaska, M.; Rau, U.; Ding, K. Front Contact Optimization for Rear-Junction SHJ Solar Cells with Ultra-Thin n-Type Nanocrystalline Silicon Oxide. Sol. Energy Mater. Sol. Cells 2020, 209, 110471. [Google Scholar] [CrossRef]
- Chen, Y.; Yang, Y.; Marmon, J.K.; Zhang, X.; Feng, Z.; Verlinden, P.J.; Shen, H. Independent Al2O3/SiNx:H and SiO2/SiN x:H Passivation of P+ and N+ Silicon Surfaces for High-Performance Interdigitated Back Contact Solar Cells. IEEE J. Photovolt. 2017, 7, 51–57. [Google Scholar] [CrossRef]
- Liu, H.; Qu, S.; Zhao, L.; Wang, W. Optimization of Heterojunction Back-Contact (HBC) Crystalline Silicon Solar Cell Based on Quokka Simulation. Mater. Today Commun. 2023, 36, 106816. [Google Scholar] [CrossRef]
- McIntosh, K.R.; Baker-Finch, S.C. A Parameterization of Light Trapping in Wafer-Based Solar Cells. IEEE J. Photovolt. 2015, 5, 1563–1570. [Google Scholar] [CrossRef]
- Fell, A.; McIntosh, K.R.; Fong, K.C. Simplified Device Simulation of Silicon Solar Cells Using a Lumped Parameter Optical Model. IEEE J. Photovolt. 2016, 6, 611–616. [Google Scholar] [CrossRef]
- Khokhar, M.Q.; Yousuf, H.; Alamgeer; Chu, M.; Ur Rahman, R.; Jony, J.A.; Qamar Hussain, S.; Pham, D.P.; Yi, J. Systematic Modeling and Optimization for High-Efficiency Interdigitated Back-Contact Crystalline Silicon Solar Cells. Energy Tech. 2024, 12, 2400831. [Google Scholar] [CrossRef]
- Wu, H.; Ye, F.; Yang, M.; Luo, F.; Tang, X.; Tang, Q.; Qiu, H.; Huang, Z.; Wang, G.; Sun, Z.; et al. Silicon Heterojunction Back-Contact Solar Cells by Laser Patterning. Nature 2024, 635, 604–609. [Google Scholar] [CrossRef]
- Sun, Z.; Kang, Q.; Li, J.; Zhou, S.; Fang, L.; Xu, X.; Wu, S.; Zheng, Z.; Chen, X.; Yan, H.; et al. Evaluating the Practical Efficiency Limit of Silicon Heterojunction–Interdigitated Back Contact Solar Cells by Creating Digital Twins of Silicon Heterojunction Solar Cells with Amorphous Silicon and Nanocrystalline Silicon Hole Contact Layers. Phys. Status Solidi (A) 2024, 221, 2300758. [Google Scholar] [CrossRef]
- Peibst, R.; Rienäcker, M.; Larionova, Y.; Folchert, N.; Haase, F.; Hollemann, C.; Wolter, S.; Krügener, J.; Bayerl, P.; Bayer, J.; et al. Towards 28%-Efficient Si Single-Junction Solar Cells with Better Passivating POLO Junctions and Photonic Crystals. Sol. Energy Mater. Sol. Cells 2022, 238, 111560. [Google Scholar] [CrossRef]
- Jiang, K.; Zhang, H.; Zhang, L.; Meng, F.; Gao, Y.; Yu, X.; Zhao, D.; Li, R.; Huang, H.; Hao, Z.; et al. Triple-Layered Nc-Si:H Films Improve Electrical Properties and Expand Process Window of IBC-SHJ Solar Cells Simulated by Silvaco TCAD. Sci. China Mater. 2023, 66, 4891–4896. [Google Scholar] [CrossRef]
- Wang, Q.; Guo, K.; Gu, S.; Huang, W.; Peng, H.; Wu, W.; Ding, J. Electrical Performance, Loss Analysis, and Efficiency Potential of Industrial-Type PERC, TOPCon, and SHJ Solar Cells: A Comparative Study. Progress. Photovolt. 2024, 32, 889–903. [Google Scholar] [CrossRef]
- Schmidt, J.; Peibst, R.; Brendel, R. Surface Passivation of Crystalline Silicon Solar Cells: Present and Future. Sol. Energy Mater. Sol. Cells 2018, 187, 39–54. [Google Scholar] [CrossRef]
- Wang, Q.; Gao, B.; Wu, W.; Guo, K.; Huang, W.; Ding, J. Effects on Metallization of N+-Poly-Si Layer for N-Type Tunnel Oxide Passivated Contact Solar Cells. Materials 2024, 17, 2747. [Google Scholar] [CrossRef]
- Fell, A.; McIntosh, K.R.; Altermatt, P.P.; Janssen, G.J.M.; Stangl, R.; Ho-Baillie, A.; Steinkemper, H.; Greulich, J.; Muller, M.; Min, B.; et al. Input Parameters for the Simulation of Silicon Solar Cells in 2014. IEEE J. Photovolt. 2015, 5, 1250–1263. [Google Scholar] [CrossRef]









| Parameter | Unit | Range | Value | Ref. | |
|---|---|---|---|---|---|
| Bulk | |||||
| Doping type | \ | \ | n-type | ||
| Wafer thickness | μm | 120–200 | 160 | [22] | |
| Wafer resistivity | Ω·cm | 0.7–1.5 | 1.1 | [13,22] | |
| SRH lifetime | ms | 1–20 | 10 | [4,23] | |
| Geometrical sizes | |||||
| Pitch | μm | 380–1580 | 380 | [13,23,24] | |
| P/N ratio | \ | 1–5 | 2 | [13,23] | |
| Width of gap | μm | \ | 40 | [25,26] | |
| Front surface | |||||
| J0,front | fA/cm2 | \ | 2 | [13] | |
| P-region | |||||
| J0,p-noncontacted | fA/cm2 | 0.1–100 | 6 | [13,27,28] | |
| J0,p-contacted | fA/cm2 | 10–1000 | 26 | [13,29] | |
| Sheet resistance Rsheet,p | Ω/sq | 10–200 | 80 | [13,29] | |
| Contact resistivity ρc,p | mΩ·cm2 | 0.1–100 | 3 | [13,27,28] | |
| Contact area fraction | % | \ | 5.94 | [27,28] | |
| N-region | |||||
| J0,n-noncontacted | fA/cm2 | 0.1–100 | 4 | [13,27,28] | |
| J0,n-contacted | fA/cm2 | 10–1000 | 26 | [13,29] | |
| Sheet resistance Rsheet,n | Ω/sq | 10–200 | 40 | [13,29] | |
| Contact resistivity ρc,n | mΩ·cm2 | 0.1–100 | 0.7 | [13,27,28] | |
| Contact area fraction | % | \ | 4.34 | [27,28] | |
| External circuit | |||||
| Electrode resistance | Ω·cm2 | \ | 0.05 | [30] | |
| Factors | Levels | ||||
|---|---|---|---|---|---|
| Wafer thickness (μm) | 120 | 140 | 160 | 180 | 200 |
| Wafer resistivity (Ω·cm) | 0.7 | 0.9 | 1.1 | 1.3 | 1.5 |
| P/N ratio | 1 | 2 | 3 | 4 | 5 |
| Pitch (μm) | 380 | 680 | 980 | 1280 | 1580 |
| Source | Deg. of Freedom | Sum of Squares | F Ratio | p-Value | LogWorth | Rank |
|---|---|---|---|---|---|---|
| T | 1 | 0.00013318 | 1.1488 | 0.2842 | 0.546 | 28 |
| ρ | 1 | 0.00026407 | 2.2778 | 0.1318 | 0.880 | 26 |
| R | 1 | 0.05645614 | 486.9835 | <0.0001 * | 78.607 | 11 |
| P | 1 | 0.93668370 | 8079.715 | <0.0001 * | 348.062 | 1 |
| T*ρ | 1 | 0.00080178 | 69.1552 | <0.0001 * | 15.208 | 16 |
| T*R | 1 | 0.00018671 | 1.6106 | 0.2049 | 0.688 | 27 |
| T*P | 1 | 0.06493292 | 560.1031 | <0.0001 * | 87.079 | 10 |
| ρ*R | 1 | 0.17828164 | 1537.835 | <0.0001 * | 166.482 | 5 |
| ρ*P | 1 | 0.00921587 | 79.4949 | <0.0001 * | 17.231 | 15 |
| R*P | 1 | 0.51297680 | 4424.873 | <0.0001 * | 277.267 | 3 |
| T2 | 1 | 0.08777937 | 757.1737 | <0.0001 * | 107.480 | 9 |
| ρ2 | 1 | 0.09355269 | 806.9736 | <0.0001 * | 112.164 | 8 |
| R2 | 1 | 0.87222896 | 7523.736 | <0.0001 * | 339.489 | 2 |
| P2 | 1 | 0.28305047 | 2441.557 | <0.0001 * | 212.208 | 4 |
| T*ρ2 | 1 | 0.00248504 | 21.4356 | <0.0001 * | 5.347 | 19 |
| T*R*P | 1 | 0.00233586 | 20.1489 | <0.0001 * | 5.065 | 20 |
| T2*P | 1 | 0.00135123 | 11.6556 | 0.0007 * | 3.165 | 22 |
| T*P2 | 1 | 0.00045822 | 3.9525 | 0.0473 * | 1.326 | 25 |
| ρ2*R | 1 | 0.01034423 | 89.2281 | <0.0001 * | 19.103 | 14 |
| ρ*R2 | 1 | 0.03153776 | 272.0407 | <0.0001 * | 49.897 | 13 |
| ρ*R*P | 1 | 0.04678463 | 403.5583 | <0.0001 * | 68.209 | 12 |
| ρ2*P | 1 | 0.00153505 | 13.2412 | 0.0003 * | 3.526 | 21 |
| R2*P | 1 | 0.16740722 | 1444.033 | <0.0001 * | 160.660 | 6 |
| R*P2 | 1 | 0.00700969 | 60.4647 | <0.0001 * | 13.480 | 18 |
| T3 | 1 | 0.00103048 | 8.8888 | 0.0030 * | 2.525 | 23 |
| ρ3 | 1 | 0.00787055 | 67.8904 | <0.0001 * | 14.958 | 17 |
| R3 | 1 | 0.13501231 | 1164.599 | <0.0001 * | 141.580 | 7 |
| P3 | 1 | 0.00049343 | 4.2563 | 0.0395 * | 1.403 | 24 |
| Model | 28 | 20.315019 | 6258.385 | |||
| Error | 596 | 0.069094 | ||||
| Corrected total | 624 | 20.384114 | <0.0001 * |
Disclaimer/Publisher’s Note: The statements, opinions and data contained in all publications are solely those of the individual author(s) and contributor(s) and not of MDPI and/or the editor(s). MDPI and/or the editor(s) disclaim responsibility for any injury to people or property resulting from any ideas, methods, instructions or products referred to in the content. |
© 2026 by the authors. Licensee MDPI, Basel, Switzerland. This article is an open access article distributed under the terms and conditions of the Creative Commons Attribution (CC BY) license.
Share and Cite
Chen, Y.; Chen, Y.; Ai, B.; Zhou, Y. Parameter Optimization of Tunnel Oxide Passivated Back Contact (TBC) Solar Cells. Energies 2026, 19, 1612. https://doi.org/10.3390/en19071612
Chen Y, Chen Y, Ai B, Zhou Y. Parameter Optimization of Tunnel Oxide Passivated Back Contact (TBC) Solar Cells. Energies. 2026; 19(7):1612. https://doi.org/10.3390/en19071612
Chicago/Turabian StyleChen, Yang, Yongqiang Chen, Bin Ai, and Yecheng Zhou. 2026. "Parameter Optimization of Tunnel Oxide Passivated Back Contact (TBC) Solar Cells" Energies 19, no. 7: 1612. https://doi.org/10.3390/en19071612
APA StyleChen, Y., Chen, Y., Ai, B., & Zhou, Y. (2026). Parameter Optimization of Tunnel Oxide Passivated Back Contact (TBC) Solar Cells. Energies, 19(7), 1612. https://doi.org/10.3390/en19071612

