Next Article in Journal
Global Solutions for Sustainable Heating, Ventilation, Air Conditioning, and Refrigeration Systems and Their Suitability to the New Zealand Market
Previous Article in Journal
Strategic Demand Response for Economic Dispatch in Wind-Integrated Multi-Area Energy Systems
Previous Article in Special Issue
Analysis and Verification of Equivalent Circuit Model of Soft-Pack Lithium Batteries
 
 
Font Type:
Arial Georgia Verdana
Font Size:
Aa Aa Aa
Line Spacing:
Column Width:
Background:
Article

Optimization of a Nuclear–CSP Hybrid Energy System Through Multi-Objective Evolutionary Algorithms

by
Chenxiao Ji
1,2,
Xueying Nie
1,2,*,
Shichao Chen
1,
Maosong Cheng
1,2 and
Zhimin Dai
1,2,*
1
Shanghai Institute of Applied Physics, Chinese Academy of Sciences, Shanghai 201800, China
2
University of Chinese Academy of Sciences, Beijing 100049, China
*
Authors to whom correspondence should be addressed.
Energies 2025, 18(9), 2189; https://doi.org/10.3390/en18092189
Submission received: 2 April 2025 / Revised: 21 April 2025 / Accepted: 23 April 2025 / Published: 25 April 2025
(This article belongs to the Special Issue Smart Energy Storage and Management)

Abstract

Combining energy storage with base-load power sources offers an effective way to cover the fluctuation of renewable energy. This study proposes a nuclear–solar hybrid energy system (NSHES), which integrates a small modular thorium molten salt reactor (smTMSR), concentrating solar power (CSP), and thermal energy storage (TES). Two operation modes are designed and analyzed: constant nuclear power (mode 1) and adjusted nuclear power (mode 2). The nondominated sorting genetic algorithm II (NSGA-II) is applied to minimize both the deficiency of power supply probability (DPSP) and the levelized cost of energy (LCOE). The decision variables used are the solar multiple (SM) of CSP and the theoretical storage duration (TSD) of TES. The criteria importance through inter-criteria correlation (CRITIC) method and the technique for order preference by similarity to ideal solution (TOPSIS) are utilized to derive the optimal compromise solution. The electricity curtailment probability (ECP) is calculated, and the results show that mode 2 has a lower ECP compared with mode 1. Furthermore, the configuration with an installed capacity of nuclear and CSP (100:100) has the lowest LCOE and ECP when the DPSP is satisfied with certain conditions. Optimizing the NSHES offers an effective approach to mitigating the mismatch between energy supply and demand.

1. Introduction

Driven by the rapid advancement of the global economy and society, worldwide energy consumption has continued to rise. The global consumption of fossil fuels, primarily including coal, oil, and natural gas, is projected to peak by 2030, with oil and natural gas usage remaining at elevated levels over the next three decades [1]. To mitigate energy and environmental crises, optimize the energy structure, and ensure energy security, the global community is intensifying efforts to advance clean and renewable energy technologies. The large-scale integration of renewable energy, mainly wind and solar, leads to intermittent fluctuations over various time scales, presenting significant challenges for grid management [2]. The rapid increase in the penetration rate of renewable energy leads to negative electricity prices, requiring significant changes in the traditional energy systems [3]. From the perspective of capital investment, as well as the operation and maintenance (O&M) of facilities, this poses challenges for base-load power plants. Therefore, the world needs to harness renewable energy in a more reliable, efficient, and cost-effective manner.
Currently, concentrating solar power (CSP) benefits from the application of molten salt thermal storage technology, achieving continuous power generation 24 h a day [4]. However, constrained by seasonal sunlight conditions, CSP cannot maintain continuous operation throughout the year. Continuously increasing the scale of the thermal storage system cannot completely solve the problem and may instead lead to an increase in electricity costs [5]. Introducing one or more mature base-load energy technologies as supplementary sources to form a hybrid energy generation system can enhance continuous power generation capabilities and reduce power generation costs [6]. Nuclear energy, with its high energy density, stability, and resilience, presents a promising option for base-load power alongside renewable energy. In the field of nuclear energy technology, small modular molten salt reactors belong to the fourth generation of reactors. This reactor design offers high efficiency and safety (high temperature, low pressure, and stable) with flexible and economic deployment (low cost, fast build, and easy O&M), facilitating long-lasting clean energy deployment. Therefore, it has emerged as a potential candidate for integration with renewable energy to create a hybrid energy system at the current stage [7]. The coupling between solar heat energy and nuclear energy is achieved through thermal coupling, which is more closely integrated than other combinations of nuclear energy with renewable sources like wind and photovoltaic, allowing for lower coupling costs through a higher proportion of steam heat exchange and power generation system equipment [8]. In this context, the thermal energy storage (TES) system is crucial for balancing energy supply and demand, ensuring efficient energy dispatch to meet fluctuating demands. Numerous studies have focused on enhancing the performance of TES systems [9,10,11].
The integration of nuclear and renewable energy sources has been extensively examined by researchers as a synergistic approach to mitigating the inherent variability in renewable energy production while ensuring a stable and consistent supply of electricity to meet grid demand. In 2014, Ruth et al. [12] introduced a conceptual design for a nuclear hybrid energy system, with nuclear energy serving as the baseload. This system features a thermal energy storage-dominated management system, complemented by electrical and hydrogen storage, and supports multiple clean energy inputs and applications, such as power generation, heating, liquid fuel synthesis, and desalination. Subsequent studies based on this conceptual design explored different configurations and optimizations. For instance, Popov et al. [13] developed a nuclear–solar hybrid energy system that enhanced thermal-to-power conversion efficiency but failed to address the intermittency of solar thermal power generation. Wang et al. [14] made significant contributions through their investigation of an innovative hybrid configuration, integrating a hybrid system combining a small lead-cooled fast reactor with solar energy utilizing a supercritical CO2 Brayton cycle, demonstrating that the proposed hybrid system increased power generation. Optimization efforts have also focused on improving system efficiency and reducing the environmental impact. Naserbegi et al. [15] conducted an optimization study on a nuclear–solar hybrid power plant coupled with a desalination system, increasing electrical efficiency from 27.03% to 30.18% while significantly reducing CO2 emissions. Meanwhile, Son et al. [16] explored the feasibility of a hybrid system integrating a micro modular reactor, CSP, and TES for distributed power applications, showing that such systems can mitigate the intermittency of solar thermal power by increasing the reactor’s capacity. Most recently, Zhao et al. [17] presented three integration schemes for coupling CSP with nuclear power plants and assessed their performance in terms of energy efficiency. Numerical results revealed that utilizing solar energy to preheat feedwater and saturated steam is the most efficient method for enhancing the overall thermal efficiency of the hybrid system.
The optimization of hybrid systems primarily focuses on enhancing the economic viability, reliability, and efficiency of renewable energy systems through advanced optimization algorithms and models, taking into account factors such as electrical load variation, uncertainty, and multi-timescale characteristics. Sharafi et al. [18] introduced a method employing the dynamic multi-objective particle swarm optimization algorithm to optimize hybrid renewable energy systems, with objectives to minimize the total net present value cost, maximize the share of renewable energy, and reduce fuel emissions. Fares et al. [19] employed ten optimization algorithms, including GA, cuckoo search, simulated annealing, etc., to optimize the sizing of standalone hybrid renewable energy systems comprising photovoltaic (PV), wind turbines (WT), and batteries. The robustness, accuracy, and computational time of different optimization algorithms were compared. He et al. [20] performed capacity optimization for wind–solar hybrid systems, integrating various energy storage technologies, including batteries, thermal energy storage (TES), pumped hydro storage, and hydrogen storage, while a comprehensive metric method based on the hypervolume measure was employed to evaluate the performance of four distinct algorithms: the non-dominated sorting genetic algorithm (NSGA-II), the multi-objective evolutionary algorithm based on decomposition, multi-objective particle swarm optimization (MOPSO), and the strength Pareto evolutionary algorithm. Abuelrub et al. [21] integrated the biogeography-based optimization algorithm with the particle swarm optimization algorithm to develop a novel optimization approach for minimizing system costs and enhancing the reliability of WT–PV hybrid energy systems. The results demonstrated that, in comparison to NSGA-II and MOPSO, the proposed algorithm notably improved search efficiency in identifying the optimal system configuration.
However, within the framework of multi-objective optimization problems, inherent conflicts among objectives often prevent the simultaneous attainment of optimal solutions for all targets. Instead, these optimization processes typically yield a set of Pareto-optimal or non-dominated solutions, where improvement in one objective necessitates a compromise in at least one other objective. Consequently, a trade-off analysis must be conducted to identify the optimal compromise solution that best balances the competing objectives based on specific criteria or preferences. Multi-criteria decision-making (MCDM) techniques are extensively employed to identify the most appropriate solutions by assessing alternatives against a range of criteria. Compared to other methods for determining indicator weights, such as the entropy method, principal component analysis, and the coefficient of variation, the criteria importance through the inter-criteria correlation (CRITIC) method offers a distinct advantage. It takes into account both the variability and intercorrelation within the Pareto-optimal solution set to assign weights [22]. The technique for order preference by similarity to ideal solution (TOPSIS) [23], proposed as early as 1981, remains one of the most established approaches for addressing multi-attribute decision-making (MADM) problems. Compared to other ranking techniques such as Visekriterijumsko Kompromisno Rangiranje (VIKOR), the preference ranking organization method for enrichment evaluations (PROMETHEE), and ELECTRE, TOPSIS is widely valued for its methodological simplicity and practical applicability [24]. Nie et al. [25] used multi-objective evolutionary algorithms (MOEAs) in conjunction with the CRITIC-TOPSIS method, the optimal operational mode was identified, and the optimal capacity configuration of the nuclear–renewable hybrid energy system was identified, with the overarching goal of effectively meeting the energy demands of the community. In conclusion, the integration of MOEAs with the MCDM approach, specifically CRITIC-TOPSIS, proves to be a highly effective methodology for optimizing the configuration of hybrid energy systems.
Advanced artificial intelligence algorithms have been widely developed and implemented for the optimization of hybrid energy systems. However, research on the optimization of nuclear-solar hybrid energy systems (NSHES) that simultaneously considers both cost and power supply stability remains limited. In the present study, a methodology combining MOEAs with the CRITIC-TOPSIS approach is utilized to identify the optimal configuration of the NSHES, aiming to satisfy the load of community requirements.

2. Methodology

2.1. Description of the NSHES

The NSHES is an integrated system that dynamically allocates thermal energy to ensure responsive and reliable power generation for the grid. This section outlines the comprehensive configuration and operational strategy of this hybrid energy system. This paper refers to a system structure that uses large-scale heat storage at the level of hundreds of megawatts or even gigawatts to separate the nuclear heat system and solar heat collection system from the thermal-to-work conversion system, ensuring that the small modular reactor operates at base load and reducing the system investment cost [26]. The schematic configuration of the proposed NSHES is shown in Figure 1. The hybrid system is composed of four main subsystems: a nuclear heat generation unit, a CSP heat generation unit, a thermal energy storage and dispatch system, and a power generation system.
The nuclear heat generation system consists of one or more 20 MWe small modular thorium molten salt reactors (smTMSR). The smTMSR contains a primary circuit (fuel salt: NaF BeF 2 or LiF BeF 2 ) and a secondary circuit (coolant salt: NaF BeF 2 ). The coolant salt circuit couples with the CSP heat generation system and packed-bed thermal energy storage (PB-TES) by the heat exchanger in NSHES. The CSP heat generation system mainly consists of heliostat fields, a receiver, and a tower. The receiver transforms solar radiation, which is captured and concentrated by a heliostat field, into thermal energy using solar salt. The thermal energy storage and dispatch system comprises a molten-salt mixer and PB-TES. The mixer ensures the inlet temperatures of the secondary heat exchanger of smTMSR meet the requirements by mixing the heated HTF of the CSP and the cold HTF of PB-TES. The PB-TES includes a stationary packed bed for solid-phase thermal storage and solar salt for liquid-phase thermal storage, operating as a dual-medium low-pressure thermal energy system [28]. The power generation system is based on the design of the Crescent Dunes project, utilizing a sub-critical Rankine cycle steam turbine with a regenerative system as the power block (PB) [29]. The PB offers advantages such as quick start-ups, frequent cycling, and flexible output regulation. In this study, the PB is simplified and not subjected to in-depth analysis.
In this hybrid system, both the nuclear heat generation system and the CSP heat generation system utilize solar salt to deliver thermal energy to the TES. In the thermal energy storage and dispatch system, two molten salt pumps are utilized to facilitate the circulation of the HTF, enabling both the charging and discharging processes. In the PB-TES charging mode, the low-temperature pump transports the cold HTF from the bottom of the storage tank to the mixer and the solar heat collection system. A portion of the cold HTF is blended from the solar heat generation system to maintain the desired inlet temperature of the secondary circuit heat exchanger; the other part of the cold HTF is pumped through the solar receiver on the top of the central tower and heated to the inlet temperature of the PB-TES. The process halts once the HTF reaches the designated charging cut-off temperature of the PB-TES. In the PB-TES discharge mode, the hot HTF is extracted from the top of the storage tank by the high-temperature pump and flows back to the bottom of the storage tank after finishing the heat exchange with PB through the heat exchanger. When the heat generated by the reactor core and CSP matches the thermal energy demand of the PB, the PB-TES will enter standby mode.
Two operation modes of the NSHES are considered: nuclear power is kept in full load operation (mode 1), and nuclear power adjusts with the thermal state and operation mode of PB-TES (mode 2). In mode 2, when the load factor (LF is the ratio of currently available stored thermal energy to the theoretical maximum capacity) of PB-TES rises above 85% (a designated value indicating that the PB-TES is approaching full charge), smTMSRs operate at reduced power levels, designed to independently satisfy the thermal load requirements of the minimum grid demand. The LF is defined as the ratio of the currently available stored thermal energy to the theoretical maximum storage capacity. The smTMSRs return to full-load operation under the following conditions: (1) the duration of reduced heat generation from the smTMSR exceeds 3 h, and (2) the LF of the PB-TES falls to a level where heat generation cannot be reduced within the subsequent 3 h. Both operation modes operate with the same calculation scheme, as shown in Figure 2. During the advancement of the time step, the real-time nuclear thermal power, CSP receiver thermal power, and grid load are provided as inputs. The real-time nuclear thermal power in mode 1 remains constant, and in mode 2, it is adjusted. Then, the actual total heat generation P t h , t o l G and planned thermal load of PB P t h , P B , p l are calculated. When P t h , t o l G is greater than P t h , P B , p l , PB-TES will be charged. When P t h , t o l G is less than P t h , P B , p l , PB-TES will be discharged. When P t h , t o l G is equal to P t h , P B , p l , PB-TES will be on standby. Next, the LF of PB-TES and the actual power generation of the system P e , P B , a c t are calculated. Finally, verify if the running time has reached the specified simulation duration.

2.2. Mathematical Models

2.2.1. Small Modular Reactor Model

The Chinese Academy of Sciences launched the “Thorium Molten Salt Reactor Nuclear Energy System” project to improve the efficient use of thorium. In the first step of this project, the Shanghai Institute of Applied Physics proposed a 2 MWth liquid-fueled molten salt reactor [30]. A 20 MWe smTMSR, along with its accompanying scientific infrastructure, is under design and slated for future construction. In this study, the smTMSR is regarded as the primary energy source, operating at a stable thermal output to ensure both economic efficiency and operational safety. The thermal power output of the smTMSR is calculated as follows:
P t h , s m T M S R = V Φ · Σ f · E f d V ,
where P t h , s m T M S R is the thermal power of the smTMSR, ϕ is the neutron flux, Σ f is the macroscopic fission cross-section, V is the volume of the reactor core, and E f is the energy released per fission event.

2.2.2. CSP Heat Generation System Model

Solar towers are particularly well-suited for hybrid power generation with other energy sources due to their high concentration ratios and extensive operational temperature range. In this paper, the CSP heat generation system refers to the design of a 100 MWe CSP [31]. The receiver is installed at the top of the tower, and a suitable number of heliostats are distributed around the tower. The heliostat field is managed by an automated computer system that ensures precise sunlight tracking. The reflected sunlight is directed to the receiver, where it heats the molten salt heat transfer medium, effectively converting solar energy into usable thermal energy. There are various arrangements for the heliostat field layout, including a radial staggered layout, a cornfield layout, a biomimetic layout, a north-facing layout, and a surrounding heliostat field layout. The factors considered in the layout include shading and occlusion, cosine losses, intercept efficiency, mirror reflectance, dust factors, latitude, wind speed, and site layout.
The total heat collected by the heliostat field can be calculated using the following equation:
Q s o l a r f i e l d = D N I · A h e l · η c o l ,
Q r e c , r = η r e c · Q s o l a r f i e l d ,
where Q s o l a r f i e l d is the heat collected by the heliostat field, D N I is the direct normal irradiance, A h e l is the total reflective area of the mirror field, η c o l is the total collection efficiency of the mirror field, Q r e c , r is the total heat generated by the receiver, and η r e c is the total thermal collection efficiency of the receiver. The total collection efficiency of the mirror field is influenced by cosine efficiency, optical efficiency, atmospheric cleanliness, optical errors, etc.
To accurately obtain the solar energy collection power under solar irradiance conditions, the 100 MWe molten salt tower CSP heat generation system s is modeled using the open-source software, System Advisor Model (SAM). The version used is SAM 2023.12.17 for Windows. This software, developed by the National Renewable Energy Laboratory (NREL), serves as a comprehensive and flexible platform for modeling and analyzing renewable energy systems [32]. It is designed to assist engineers, researchers, and policymakers in the design, evaluation, and optimization of renewable energy projects.
The SAM modeling process typically involves several key steps:
  • Project definition and setup, including selecting the energy technology (CSP, PV, WT, and TES), specifying the project location based on weather data, and configuring the system’s capacity;
  • Preparing input data, such as meteorological data, equipment parameters, and load profiles;
  • System design and configuration, covering the physical layout, electrical connections, and storage system setup;
  • Running simulations by defining the time range, setting operational parameters, and executing the model to calculate performance metrics like energy generation and efficiency;
  • Analyzing results and optimizing the system through performance evaluation, sensitivity analysis, and design adjustments;
  • Generating reports with visual outputs and detailed analysis for decision-making.
By entering the designed parameters of the CSP heat generation system and local weather data, SAM can precisely simulate and compute the thermal power output, electrical generation, and related expenses of solar thermal power plants [32]. The distribution of the heliostat field in the CSP heat generation system model is shown in Figure 3, with the following design parameters: the direct normal irradiance (DNI) design value is 900 W/m2, the solar multiple is 2.4, and the tower height is 240 m in Wuwei County, Gansu Province, China.

2.2.3. Packed-Bed Thermal Energy Storage Model

The PB-TES system is utilized to store excess thermal energy produced by both the nuclear reactor and the CSP unit. The mathematical model describing the TES system is formulated as follows [33]:
Q T E S , t o t ( t ) = Q T E S , t o t ( t 1 ) ( 1 σ T E S ) + ( P T E S , c ) η T E S , c × Δ t ,
Q T E S , t o t ( t ) = Q T E S , t o t ( t 1 ) ( 1 σ T E S ) ( P T E S , d i s c ) η T E S , d i s c × Δ t ,
where Q T E S , t o t ( t ) and Q T E S , t o t ( t 1 ) are the total thermal energy stored in the TES at time t and t 1 . P T E S , c , and P T E S , d i s c represents the charging and discharging power of the TES, respectively. η T E S , c and η T E S , d i s c denote the charging and discharging efficiencies, and σ T E S corresponds to the heat loss rate of the TES system.

3. Optimization Method

In the configuration optimization of the NSHES, multi-objective optimization is employed to generate a set of Pareto-optimal solutions, whereas MCDM techniques are utilized to identify the most favorable solution from among the Pareto solutions. In this study, NSGA-II is applied in the NSHES model to obtain Pareto solutions, considering the decision variables, optimization objectives, and constraints conditions. The optimization framework is described in Figure 4.

3.1. Decision Variables

In this optimization problem, the decision variables include the number of smTMSRs, the solar multiple (SM), and the TES capacity. The SM and TES capacity are described as follows.

3.1.1. Solar Multiple

The SM is an important design parameter for optimizing the CSP configuration and ensuring the power block operates effectively over a year [13]:
SM = Q s o l a r f i e l d Q P B ,
where the Q P B is the sum of thermal energy required for the PB.

3.1.2. TES Capacity

The theoretical storage duration (TSD) quantifies the energy storage capacity of the PB-TES, which is mathematically expressed as follows:
T S D = Q T E S , M A X P p b , r ,
where Q T E S , M A X denotes the theoretical maximum storage capacity of the PB-TES, and P p b , r denotes the rated charge or discharge power of the PB-TES.

3.2. Optimization Objectives

The optimization objectives include the levelized cost of energy (LCOE) and the deficiency of power supply probability (DPSP). A detailed description of these objectives is provided below.

3.2.1. Deficiency of Power Supply Probability

The DPSP is utilized to assess and guarantee the reliability of the power supply of a hybrid energy system. It is calculated as the ratio of the total power deficiency to the grid load over a year. The DPSP ranges from 0 to 1, with lower values signifying greater reliability in the system’s power supply. Its definition is as follows:
D P S P = 0 T D P S ( t ) 0 T E l o a d ( t ) ,
D P S ( t ) = E l o a d ( t ) P e , P B , a c t ( t ) ,
where D P S ( t ) is the deficiency of the power supply at time t, E l o a d is the electrical power of the grid load, and P e , P B , a c t is the electrical power output of the PB.

3.2.2. Levelized Cost of Energy

The levelized cost of energy (LCOE) quantifies the average cost per kilowatt-hour of usable electricity generated by the system throughout its operational lifetime, including construction, O&M, and fuel costs (if relevant). This paper adapts LCOE calculation methods for CSP and nuclear power plants to derive a suitable approach for the NSHES. The specific derivation process is as follows.
The LCOE is the unit cost of electricity generated by the nuclear, renewable hybrid energy system over its design life [34]:
L C O E = T N P C · C R F E ,
where T N P C is the total net present cost over the project lifecycle, C R F is the capital recovery factor, and E is the total electrical energy produced over its lifetime. T N P C and C R F can be calculated using the following equations [35,36]:
T N P C = N P C s m T M S R + N P C s o l + N P C T E S + N P C P B ,
C R F = i ( 1 + i ) n ( 1 + i ) n 1 ,
i = i f 1 + f ,
where N P C s m T M S R , N P C s o l , N P C T E S , and N P C P B are the net present costs of the smTMSR, the CSP heat generation system, the PB-TES, and the power generation system. i is the real discount rate, n is the total lifecycle of the hybrid energy system, i is the nominal discount rate, and f is the inflation rate.
The N P C s m T M S R is calculated using the following equation [25]:
N P C s m T M S R = S M R c a p + ( S M R F O M + S M R V O M + S M R F C ) C R F + S M R d e c o m ( 1 + i ) k ,
where S M R c a p denotes the overnight capital cost of the smTMSR, S M R F O M represents the annual fixed O&M cost, S M R V O M is the annual variable O&M cost, S M R F C corresponds to the fuel cost, S M R d e c o m indicates the decommissioning cost, and k refers to the operational lifetime of the smTMSR.
The N P C s o l is calculated using the following equation [37]:
N P C s o l = ( k d ( 1 + k d ) n ( 1 + k d ) n 1 + k i n s u r a n c e ) C s o l , c a p C R F + C s o l , O & M C R F ,
C s o l , c a p = C h e l , c a p + C t o w , c a p + C r e c , c a p ,
where k d is the actual debt interest of the CSP, k i n s u r a n c e is the annual insurance premium rate of the CSP, C s o l , c a p is the construction cost of the CSP, and C s o l , O & M is the annual O&M cost of the CSP. C h e l , c a p is the investment cost of the heliostat field, C t o w , c a p is the investment cost of the tower, and C r e c , c a p is the investment cost of the receiver.
The N P C T E S and N P C P B can be calculated using the following equation:
N P C i = C a p i + O & M i C R F ,
where C a p i is the capital cost of the system’s components, and O & M i is the annual O&M cost of the system’s components.

3.2.3. Constraints Conditions

The power balance constraints are expressed as follows:
P l o a d P D P S = ( P t h , s m T M S R + P r e c + P T E S ) · η P B ,
where P D P S is the DPS, P r e c is the thermal power of the receiver, P T E S is the thermal energy power of the PB-TES, and η P B is the thermal efficiency of the PB.
The total heat storage capacity and charging (or discharging) power of the TES satisfy the following constraints:
Q T E S , m i n Q T E S , t o t Q T E S , m a x ,
P T E S , m i n P T E S , t o t P T E S , m a x ,
where Q T E S , m i n and Q T E S , m a x are the minimum and maximum thermal storage capacities of the TES, and Q T E S , m i n and Q T E S , m a x are the minimum and maximum thermal charging (or discharging) power of the TES.

3.3. Non-Dominated Sorting Genetic Algorithm

The NSGA-II is an algorithm designed to address multi-objective optimization problems. This algorithm demonstrates superior exploratory capabilities while effectively mitigating premature convergence to local optima. Through adaptive non-dominated sorting, it selectively preserves elite individuals along the Pareto front, thereby enhancing the convergence efficiency and accelerating Pareto-optimal advancement without compromising computational tractability [24]. Typically, a multi-objective genetic algorithm encompasses (1) the concept of solution dominance in multi-objective problems, (2) the identification of Pareto solution sets and the Pareto front, and (3) the use of genetic algorithms to seek global optimal solutions.
The population is initialized and obtains the parent population P t , and then the offspring population Q t is obtained by crossover and mutation of the parent population. Then, the parent and offspring populations are merged into R t . Non-dominated sorting is then applied to R t to select individuals for the next parent population P t + 1 based on rank. If the population number exceeds the population size limit, individuals are selected based on descending crowding distance until P t + 1 reaches size N. The aforementioned steps are iteratively executed following initialization until the predefined termination criterion is satisfied.

3.4. Multi-Criteria Decision Making

3.4.1. Criteria Importance Through the Inter-Criteria Correlation Method

In the CRITIC method, the standard deviation is applied to quantify the degree of dispersion, while the Pearson correlation coefficient is used to quantify correlation. The main calculation steps of CRITIC are as follows [23]:
  • A decision matrix, denoted as A, is constructed with m rows representing the set of alternatives and n columns corresponding to the criteria. Then, the data are normalized to obtain a normalized matrix. For beneficial criteria (larger values indicate better outcomes) and non-beneficial criteria (smaller values indicate better outcomes), the decision matrix elements are normalized as follows:
    x i j + = a i j a j m i n a j m a x a j m i n ; i = 1 , , m ; j = 1 , , n i f j F + ,
    x i j = a j m a x a i j a j m a x a j m i n ; i = 1 , , m ; j = 1 , , n i f j F ,
    where a j m a x = m a x ( a 1 j , a 2 j , , a m j ) and a j m i n = m i n ( a 1 j , a 2 j , , a 1 j ) .
  • The Pearson correlation coefficient is calculated between two criteria, j and k:
    r i j = x = 1 m ( a i x a i ¯ ) ( a j x a j ¯ ) / x = 1 m ( a i x a i ¯ ) 2 x = 1 m ( a j x a j ¯ ) 2 ,
    where x i ¯ and x j ¯ represent the mean of the jth and ith criteria as follows:
    x i ¯ = x 1 ¯ + x 2 ¯ + x i ¯ m ,
    x j ¯ = x 1 ¯ + x 2 ¯ + x j ¯ n .
  • The standard deviation of each criterion is calculated as follows:
    σ j = i = 1 m x i j x j ¯ n 1 ; j = 1 , , n .
  • The weight factors of the criteria are calculated as follows:
    w j = σ j j = 1 m ( 1 r i j ) j = 1 m ( σ j j = 1 n ( 1 r i j ) ) ; j = 1 , , n .

3.4.2. Technique for Order Preference by Similarity to Ideal Solution

The fundamental principle of TOPSIS is to rank alternative solutions by evaluating their distances from the positive ideal solution and the negative ideal solution. Specifically, alternatives closer to the positive ideal solution and farther from the negative ideal solution are ranked more favorably, as they are considered to be more optimal and less suboptimal.
The main steps of the TOPSIS method are as follows [22]:
  • Establish a weighted normalized matrix, where the weight values are determined by CRITIC:
    V i j = v i j y i j = a 11 · w 1 a 12 · w 2 a 1 n · w j a 21 · w 1 a 22 · w 2 a 2 n · w j a m 1 · w 1 a m 2 · w 2 a m n · w j .
  • Identify the positive ideal solution and the negative ideal solution, where F 1 is a set of beneficial criteria, F 2 is a set of non-beneficial criteria, and j = 1 , 2 , , n .
    z j + = max 1 i m ( v i j ) if f j F 1 min 1 i m ( v i j ) if f j F 2 ,
    z j = min 1 i m ( v i j ) if f j F 1 max 1 i m ( v i j ) if f j F 2 .
  • Calculate the distance of each solution to the positive ideal solution and negative ideal solution:
    S i + = j = 1 n ( v i j z j + ) 2 i = 1 , 2 , , m ,
    S i = j = 1 n ( v i j z j ) 2 i = 1 , 2 , , m .
  • Calculate the closeness degree of each solution to the ideal solution, where a higher value for C i indicates a better solution:
    C i = S i S i + + S i i = 1 , 2 , , m .

4. Results

4.1. Simplified Numerical Model of PB-TES

To validate the simplified numerical model of PB-TES, a comparative analysis is performed between the simplified model and the one-dimensional transient heat transfer model [27] of a single-tank PB-TES under the simulation scenario. The results, presented in Figure 5, demonstrate that the load factor curves from both models are consistent, thereby confirming the accuracy and reliability of the simplified model.

4.2. Case Scenario

The NSHES is designed to meet the community load demand in Gansu Province, China. CSP plants for commercial operation are designed and operated in this area with abundant solar resources, and relevant scientific research of TMSR is conducted in Wuwei, Gansu. Wuwei is situated at 37.92° N latitude and 102.63° E longitude, with an elevation of 1570 m above sea level. The details of the weather data during a year obtained from the NREL National Solar Radiation Database (NSRDB) [38] are presented in Table 1. It is essential to note that the weather database operates on U.S. time, so researchers must adjust the data to their local time for accurate application and analysis. The annual solar radiation in 2020 is illustrated in Figure 6. The operational parameters of the NSHES components are detailed in Table 2. Furthermore, the economic parameters for the NSHES components are provided in Table 3, while the parameters for the NSGA-II algorithm are detailed in Table 4.
The hourly average annual load is compiled using a German standard method according to the typical load curves provided by the China National Development and Reform Commission [39]. Then, the load data are scaled down by a factor of 55, and the modified curve is shown in Figure 7.
Table 1. Annual meteorological data.
Table 1. Annual meteorological data.
Parameter NameValue
Annual sunshine hours (h)3257.9
Annual DNI (W/m2)1044
Average temperature (°C)9.7
Maximum temperature (°C)38
Minimum temperature (°C)−35.1
Highest monthly average temperature (°C)21.7
Lowest monthly average temperature (°C)−9.8
Mean annual number of sandstorm days8.2
Mean annual number of thunderstorm days3.7
Annual precipitation (mm)66.7
Average wind speed (m/s)2.2
Maximum wind speed (m/s)24
Table 2. Operational parameters of the NSHES system’s components [25,27,31,40].
Table 2. Operational parameters of the NSHES system’s components [25,27,31,40].
ComponentOperation ParameterValue
smTMSRPower (MWe)20
CSPPower (MWe)100
Design DNI (W/m2)900
Heliostat width (m)5.662
Heliostat height (m)3.762
Heliostat utilization rate (%)94
Tower height (m)240
Receiver diameter (m)12
Receiver height (m)15
Absorber panels number32
Heat pipes number of a single absorber panel35
Outer diameter of the absorber tube (mm)33.4
Wall thickness of the absorber tube (mm)1.32
Spacing between the absorber tubes (mm)0.5
Receiver aperture area (m2) 565.5
PB-TESMinimum temperature (°C)290
Maximum temperature (°C)570
Charging cut-off temperature (°C)320
Discharging cut-off temperature (°C)540
Maximum capacity (MWhth)0.90 × C T E S  1
Minimum capacity (MWhth)0.05 × C T E S
Initial capacity (MWhth)0.05 × C T E S
Charging efficiency (%)100
PBThermal efficiency (%)40
1  C T E S is the theoretical maximum storage capacity of the PB-TES.
Table 3. Economic parameters of the NSHES system’s components [41,42,43,44,45,46].
Table 3. Economic parameters of the NSHES system’s components [41,42,43,44,45,46].
ComponentEconomic ParametersValue
smTMSROvernight capital cost ($/kW)3000
Fixed O&M cost ($/kW)90.26
Variable O&M cost ($/kWh)2.17
Fuel cost ($/kWh)0.381
Decommissioning cost ($/kW)621
Operational lifespan (year)20
CSPSpecific investment in solar fields ($/m2)200
Specific investment in land ($/m2)1.25
Specific investment in improvement ($/m2)20
Investment in receivers ($)[ 66.46 × ( A R / 1440 ) 0.7 × 10 6 ] 1
Investment in towers ($)[ 29.15 × ( H / 203 ) 0.1103 × 10 6 ] 2
O&M equipment cost percentage of investment per year (%)1
Operational lifespan (year)20
PB-TESInitial investment cost ($/kWhth)23.31
O&M cost ($/kWhth)0.1795
Operational lifespan (year)20
Heat exchangerInitial investment cost ($/kWth)45
O&M cost ($/kWth)0.9
Operational lifespan (year)20
PBInitial investment cost ($/kW)298
O&M cost ($/kW)5.96
Operational lifespan (year)20
1  A R is the equivalent diameter of the receiver. 2 H is the height of the tower.
Table 4. Parameters of the NSGA-II algorithm.
Table 4. Parameters of the NSGA-II algorithm.
ParameterValue
Maximum iterations50
Population size300
Crossover probability0.6
Simulated binary crossover distribution index20
Expected number of mutated variables1
Polynomial mutation distribution index20

4.3. Optimal Configuration Analysis

NSGA-II is employed to optimize the NSHES under various operational modes, with a population of 300 and 50 iterations. The hypervolume (HV) indicator measures the volume formed between the set of all non-dominated solutions and a reference point in the objective space, which is a comprehensive index for evaluating the diversity and convergence of multi-objective algorithms. The algorithm runs five times separately with the same parameters based on PlatEMO [47], and the iteration processes of the HV are shown in Figure 8. The results demonstrate that the algorithm consistently achieves convergence across all five runs, indicating good stability.
Given the 20 M W e power output of a single smTMSR, the number of smTMSRs is excluded from the decision variables. To more effectively characterize the capacity allocation ratio between nuclear and CSP, the parameter K nuc , sol is defined as the ratio of smTMSR capacity to CSP capacity. It is noteworthy that the total installed capacity of the NSHES decreases significantly as the nuclear capacity reduces. Therefore, to ensure the rationality of simulation scenarios, the load curve is further proportionally scaled down as the nuclear installed capacity decreases. Pareto frontier curves for mode 1 at various values of K nuc , sol are presented in Figure 9. When the K nuc , sol is 0:100, the LCOE is highest under the condition of the same DPSP compared to other configurations. Furthermore, the configuration without smTMSR is unable to satisfy the DPSP requirement (DPSP < 0.5%) [25]. As the K nuc , sol increases, the Pareto frontier curves tend to shift toward the lower-left region, which demonstrates an improvement in system reliability and the reduced cost of NSHES.
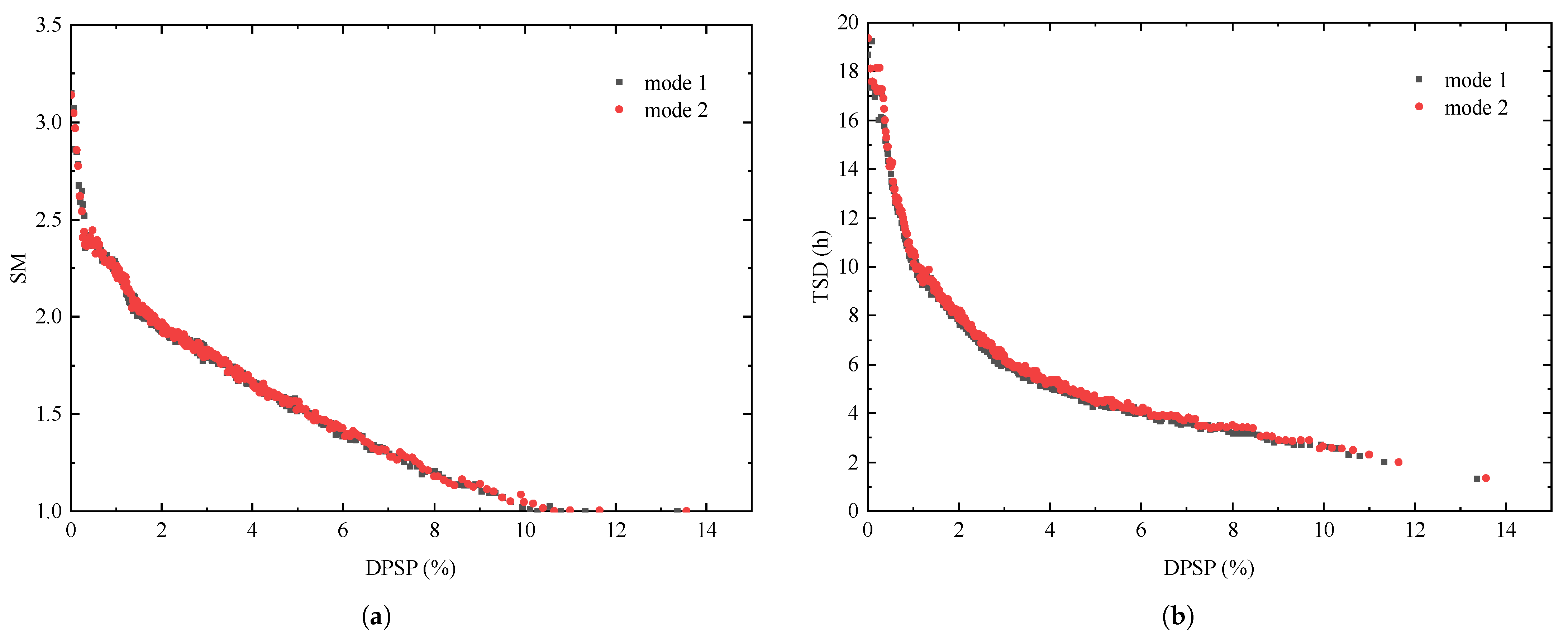
To compare the two operational modes, the Pareto frontier curves of the configuration with the K nuc , sol of 100:100 are presented in Figure 10. The difference between the two curves is minimal. The corresponding decision variables for different modes are illustrated in Figure 11. The SM curves and TSD curves in two modes are both nearly coincident. Therefore, the impact of nuclear power adjustment on the optimization of the DPSP and LCOE is minimal.
A collection of optimal solutions rather than a single option is produced through the multi-objective optimization process. Therefore, it is necessary to identify the best compromise solution. The objective weights are obtained through the CRITIC method, and the TOPSIS approach is then employed to evaluate and sort the Pareto solutions. The objective weights and corresponding values for the best compromise solutions of the two operation modes are detailed in Table 5. Taking K nuc , sol with 100:100 as an example, the optimal compromise solution for mode 1 yields a DPSP of 0.944% and an LCOE of 0.10142 $/kWh, whereas for mode 2, the corresponding values are 0.920% and 0.10249 $/kWh, respectively. The DPSP and LCOE of the best compromise solutions both increase significantly as K nuc , sol decreases in the two modes.
The optimal solutions with the requirement that the DPSP is less than 0.5% for various operation modes and K nuc , sol are summarized in Table 6. The electricity curtailment probability (ECP) is defined as the ratio of equivalent electricity of total curtailed heat to the total planned electricity generation. NSHSEs with K nuc , sol of 0:100, 20:100, and 40:100 fail to meet the system reliability requirements. As the nuclear installed capacity decreases, both the SM of CSP and TSD of TES increase to meet dispatch requirements, which results in a significant increase in overall system costs. The ECP increases obviously as K nuc , sol decreases because the fluctuated solar energy increases as SM increases. Furthermore, mode 2 exhibits a lower ECP compared to mode 1 with the same K nuc , sol , which demonstrates that nuclear power adjustment could reduce energy curtailment.

4.4. Power Contributions Analysis

Table 7 presents the power output proportions of the optimal solutions with the requirement that the DPSP is less than 0.5% for various operation modes and K nuc , sol . As the K nuc , sol decreases, the proportion of smTMSR declines while the proportion of CSP and TES rise. Furthermore, compared to mode 1, the proportion of smTMSR in mode 2 reduces under the condition of the same K nuc , sol .

4.5. Effect of Investment

In order to study the effect of NSHES component investment (investment in solar fields, land, towers, receivers, TES, power generation, and nuclear power) on the LCOE, the sensitivity analysis of investment is conducted by varying the investment in the reference case. The best compromise solutions of the NSHES with K nuc , sol of 100:100 in mode 2 is chosen as the reference case. The ratio of current investment to the baseline investment is defined as the investment ratio [37]. The LCOE ratio is obtained by dividing the current LCOE by the reference value. The sensitivity analysis of the investment costs for various components of the NSHES is shown in Figure 12. According to the results, the solar field investment contributes most significantly to variations in the LCOE, followed by the nuclear cost and the TES cost. A 25% reduction in the solar field cost leads to an approximate 7.2% decrease in the LCOE. By decreasing the cost of the solar field by 25%, the LCOE can be reduced by about 5.3%.

5. Conclusions

In this research, the NSHES, which consists of a smTMSR, CSP, and PB-TES with two operation modes, is proposed. The power of smTMSR is constant in mode 1 but dynamically adjusted based on the LF of PB-TES in mode 2. In the NSHES configuration optimization problem, multi-objective optimization enables the generation of multiple Pareto solutions, and MCDM is then employed to choose the best compromise configuration from the solutions. This work aims to determine the optimal configuration of the NSHES to ensure demand–supply matching for the target community. The simplified numerical model of PB-TES is validated by comparing it with a one-dimensional transient heat transfer model, confirming the accuracy and reliability of the simplified approach.
The result of the Pareto frontier curves with different K nuc / sol shows that increasing the nuclear energy proportion can significantly enhance the stability and economic viability of NSHES. When the DPSP is required to remain below 0.5%, mode 2 results in a lower ECP than mode 1 with the same K nuc / sol , which demonstrates that nuclear power adjustment could reduce energy curtailment. The ECP increases obviously as K nuc / sol decreases because the fluctuated solar energy increases as SM increases. The result of the power contribution analysis shows that the proportion of smTMSR in mode 2 reduces under the condition of the same K nuc / sol compared to mode 1. Finally, after adjusting the component investment based on the reference case, it is observed that the solar field investment contributes most significantly to variations in LCOE, followed by the nuclear cost and TES cost. The optimization approach for NSHES enhances the stability and economic feasibility of the system.

Author Contributions

Conceptualization, C.J.; methodology, X.N.; software, C.J.; investigation, C.J.; writing—original draft preparation, C.J. and S.C.; writing—review and editing, M.C., X.N. and Z.D.; supervision, X.N. and Z.D. All authors have read and agreed to the published version of the manuscript.

Funding

This work is supported by Shanghai Institute of Applied Physics, Chinese Academy of Sciences, Research Program (No. E455110102).

Institutional Review Board Statement

Not applicable.

Informed Consent Statement

Not applicable.

Data Availability Statement

The raw data supporting the conclusions of this article will be made available by the authors on request.

Acknowledgments

The authors would like to sincerely thank the anonymous reviewers for their constructive comments on this paper. We sincerely thank Zuokang Lin (linzuokang@sinap.ac.cn) for his financial support of this paper.

Conflicts of Interest

The authors declare no conflicts of interest.

Abbreviations

The following abbreviations are used in this manuscript:
O&Moperation and maintenance
smTMSRsmall modular thorium molten salt reactor
CSPconcentrating solar power
TESthermal energy storage
PVphotovoltaic
WTwind turbine
MOPSOmulti-objective particle swarm optimization
NSGA-IInon-dominated sorting genetic algorithm
MCDMmulti-criteria decision-making
CRITICcriteria importance through inter-criteria correlation
TOPSIStechnique for order preference by similarity to ideal solution
MADMmulti-attribute decision-making
MOEAsmulti-objective evolutionary algorithms
NSHESnuclear–solar energy storage system
PB-TESpacked-bed thermal energy storage
PBpower block
LFload factor
SAMsystem advisor model
NRELNational Renewable Energy Laboratory
DNIdirect normal irradiance
SMsolar multiple
TSDtheoretical storage duration
LCOElevelized cost of energy
DPSPdeficiency of power supply probability
NSRDBNREL National Solar Radiation Database
HVhypervolume
ECPelectricity curtailment probability

References

  1. World Energy Outlook 2024—Analysis. Available online: https://www.iea.org/reports/world-energy-outlook-2024 (accessed on 31 March 2025).
  2. Martin de Lagarde, C.; Lantz, F. How Renewable Production Depresses Electricity Prices: Evidence from the German Market. Energy Policy 2018, 117, 263–277. [Google Scholar] [CrossRef]
  3. Garcia, H.E.; Chen, J.; Kim, J.S.; Vilim, R.B.; Binder, W.R.; Bragg Sitton, S.M.; Boardman, R.D.; McKellar, M.G.; Paredis, C.J.J. Dynamic Performance Analysis of Two Regional Nuclear Hybrid Energy Systems. Energy 2016, 107, 234–258. [Google Scholar] [CrossRef]
  4. Gauché, P.; Rudman, J.; Mabaso, M.; Landman, W.A.; von Backström, T.W.; Brent, A.C. System Value and Progress of CSP. Sol. Energy 2017, 152, 106–139. [Google Scholar] [CrossRef]
  5. González-Portillo, L.F.; Muñoz-Antón, J.; Martínez-Val, J.M. An Analytical Optimization of Thermal Energy Storage for Electricity Cost Reduction in Solar Thermal Electric Plants. Appl. Energy 2017, 185, 531–546. [Google Scholar] [CrossRef]
  6. Nathan, G.J.; Jafarian, M.; Dally, B.B.; Saw, W.L.; Ashman, P.J.; Hu, E.; Steinfeld, A. Solar Thermal Hybrids for Combustion Power Plant: A Growing Opportunity. Prog. Energy Combust. Sci. 2018, 64, 4–28. [Google Scholar] [CrossRef]
  7. Zhang, M.; Xu, C.; Du, X.; Amjad, M.; Wen, D. Off-Design Performance of Concentrated Solar Heat and Coal Double-Source Boiler Power Generation with Thermocline Energy Storage. Appl. Energy 2017, 189, 697–710. [Google Scholar] [CrossRef]
  8. Faizan, M.; Alkaabi, A.K.; Nie, B.; Afgan, I. Thermal Energy Storage Integration with Nuclear Power: A Critical Review. J. Energy Storage 2024, 96, 112577. [Google Scholar] [CrossRef]
  9. Mahdi, J.M.; Abed, A.M.; Al-Saaidi, H.A.; Ben Khedher, N.; Ibrahim, R.K.; Ben Amara, M. Augmenting the Thermal Response of Helical Coil Latent-Heat Storage Systems with a Central Return Tube Configuration. Case Stud. Therm. Eng. 2023, 51, 103607. [Google Scholar] [CrossRef]
  10. Khedher, N.B.; Mahdi, J.M.; Dulaimi, A.; Chatroudi, I.S.; Ebrahimnataj Tiji, M.; Ibrahem, R.K.; Yvaz, A.; Talebizadehsardari, P. On the Application of Novel Arc-Shaped Fins in a Shell-and-Tube Type of Latent Heat Storage for Energy Charge Enhancement. J. Energy Storage 2023, 73, 108697. [Google Scholar] [CrossRef]
  11. Khedher, N.B.; Togun, H.; Abed, A.M.; Mohammed, H.I.; Mahdi, J.M.; Ibrahem, R.K.; Yaïci, W.; Talebizadehsardari, P.; Keshmiri, A. Comprehensive Analysis of Melting Enhancement by Circular Y-Shaped Fins in a Vertical Shell-and-Tube Heat Storage System. Eng. Appl. Comput. Fluid Mech. 2023, 17, 2227682. [Google Scholar] [CrossRef]
  12. Ruth, M.F.; Zinaman, O.R.; Antkowiak, M.; Boardman, R.D.; Cherry, R.S.; Bazilian, M.D. Nuclear-Renewable Hybrid Energy Systems: Opportunities, Interconnections, and Needs. Energy Convers. Manag. 2014, 78, 684–694. [Google Scholar] [CrossRef]
  13. Popov, D.; Borissova, A. Innovative Configuration of a Hybrid Nuclear-Solar Tower Power Plant. Energy 2017, 125, 736–746. [Google Scholar] [CrossRef]
  14. Wang, G.; Wang, C.; Chen, Z.; Hu, P. Design and Performance Evaluation of an Innovative Solar-Nuclear Complementarity Power System Using the S–CO2 Brayton Cycle. Energy 2020, 197, 117282. [Google Scholar] [CrossRef]
  15. Naserbegi, A.; Aghaie, M. Exergy Optimization of Nuclear-Solar Dual Proposed Power Plant Based on GWO Algorithm. Prog. Nucl. Energy 2021, 140, 103925. [Google Scholar] [CrossRef]
  16. Son, I.W.; Jeong, Y.H.; Choi, Y.J.; Lee, J.I. Feasibility Study of Solar-Nuclear Hybrid System for Distributed Power Source. Energy Convers. Manag. 2021, 230, 113808. [Google Scholar] [CrossRef]
  17. Zhao, C.; Yang, X.; Yang, M.; Yu, J.; Wang, J.; Chen, S. Thermal Evaluation of Different Integration Schemes for Solar-Nuclear Hybrid Systems. Appl. Therm. Eng. 2023, 233, 121046. [Google Scholar] [CrossRef]
  18. Sharafi, M.; ElMekkawy, T.Y. Stochastic Optimization of Hybrid Renewable Energy Systems Using Sampling Average Method. Renew. Sustain. Energy Rev. 2015, 52, 1668–1679. [Google Scholar] [CrossRef]
  19. Fares, D.; Fathi, M.; Mekhilef, S. Performance Evaluation of Metaheuristic Techniques for Optimal Sizing of a Stand-Alone Hybrid PV/Wind/Battery System. Appl. Energy 2022, 305, 117823. [Google Scholar] [CrossRef]
  20. He, Y.; Guo, S.; Zhou, J.; Wu, F.; Huang, J.; Pei, H. The Quantitative Techno-Economic Comparisons and Multi-Objective Capacity Optimization of Wind-Photovoltaic Hybrid Power System Considering Different Energy Storage Technologies. Energy Convers. Manag. 2021, 229, 113779. [Google Scholar] [CrossRef]
  21. Abuelrub, A.; Khamees, M.; Ababneh, J.; Al-Masri, H. Hybrid energy system design using greedy particle swarm and biogeography-based optimisation. IET Renew. Power Gener. 2020, 14, 1657–1667. [Google Scholar] [CrossRef]
  22. Xu, C.; Ke, Y.; Li, Y.; Chu, H.; Wu, Y. Data-Driven Configuration Optimization of an off-Grid Wind/PV/Hydrogen System Based on Modified NSGA-II and CRITIC-TOPSIS. Energy Convers. Manag. 2020, 215, 112892. [Google Scholar] [CrossRef]
  23. Hwang, C.-L.; Yoon, K.; Albach, H.; Balakrishnan, A.V.; Beckmann, M. (Eds.) Bibliography. In Multiple Attribute Decision Making: Methods and Applications A State-of-the-Art Survey; Springer: Berlin/Heidelberg, Germany, 1981; pp. 226–259. ISBN 978-3-642-48318-9. [Google Scholar]
  24. Salih, M.M.; Zaidan, B.B.; Zaidan, A.A.; Ahmed, M.A. Survey on Fuzzy TOPSIS State-of-the-Art between 2007 and 2017. Comput. Oper. Res. 2019, 104, 207–227. [Google Scholar] [CrossRef]
  25. Nie, X.; Cheng, M.; Zuo, X.; Dai, Z. Multi-Objective Capacity Configuration Optimization of a Nuclear-Renewable Hybrid System. Appl. Therm. Eng. 2024, 248, 123365. [Google Scholar] [CrossRef]
  26. Forsberg, C. Separating Nuclear Reactors from the Power Block with Heat Storage to Improve Economics with Dispatchable Heat and Electricity. Nucl. Technol. 2022, 208, 688–710. [Google Scholar] [CrossRef]
  27. Zhao, B.; Cheng, M.; Liu, C.; Dai, Z. Conceptual Design and Preliminary Performance Analysis of a Hybrid Nuclear-Solar Power System with Molten-Salt Packed-Bed Thermal Energy Storage for on-Demand Power Supply. Energy Convers. Manag. 2018, 166, 174–186. [Google Scholar] [CrossRef]
  28. Zhao, B.; Cheng, M.; Liu, C.; Dai, Z. An Efficient Tank Size Estimation Strategy for Packed-Bed Thermocline Thermal Energy Storage Systems for Concentrated Solar Power. Sol. Energy 2017, 153, 104–114. [Google Scholar] [CrossRef]
  29. Crescent Dunes Solar Energy Project|Concentrating Solar Power Projects|NREL. Available online: https://solarpaces.nrel.gov/project/crescent-dunes-solar-energy-project (accessed on 25 March 2025).
  30. Xu, H. Thorium energy and molten salt reactor R&D in China. In Thorium Energy for the World; Revol, J.-P., Bourquin, M., Eds.; Springer: Berlin/Heidelberg, Germany, 2016; pp. 37–44. [Google Scholar]
  31. Cai, X. Design Optimization of 100 MW Molten Salt Solar Power Tower Plant. Master’s Thesis, North China Electric Power University, Beijing, China, 2020. [Google Scholar]
  32. System Advisor Model—SAM. Available online: https://sam.nrel.gov/ (accessed on 25 March 2025).
  33. Azad, A.; Shateri, H. Design and Optimization of an Entirely Hybrid Renewable Energy System (WT/PV/BW/HS/TES/EVPL) to Supply Electrical and Thermal Loads with Considering Uncertainties in Generation and Consumption. Appl. Energy 2023, 336, 120782. [Google Scholar] [CrossRef]
  34. Heydari, A.; Askarzadeh, A. Optimization of a Biomass-Based Photovoltaic Power Plant for an off-Grid Application Subject to Loss of Power Supply Probability Concept. Appl. Energy 2016, 165, 601–611. [Google Scholar] [CrossRef]
  35. Abdussami, M.R.; Adham, M.I.; Gabbar, H.A. Modeling and Performance Analysis of Nuclear-Renewable Micro Hybrid Energy System Based on Different Coupling Methods. Energy Rep. 2020, 6, 189–206. [Google Scholar] [CrossRef]
  36. Pan, C.A.; Dinter, F. Combination of PV and Central Receiver CSP Plants for Base Load Power Generation in South Africa. Sol. Energy 2017, 146, 379–388. [Google Scholar] [CrossRef]
  37. Luo, Y.; Du, X.; Yang, L.; Xu, C.; Amjad, M. Impacts of Solar Multiple on the Performance of Direct Steam Generation Solar Power Tower Plant with Integrated Thermal Storage. Front Energy 2017, 11, 461–471. [Google Scholar] [CrossRef]
  38. Weather Data—System Advisor Model—SAM. Available online: https://sam.nrel.gov/weather-data (accessed on 31 March 2025).
  39. Typical Load Curve of Each Provincial Electricity Grid “National Development and Reform Commission”. Available online: https://www.ndrc.gov.cn/xxgk/zcfb/tz/202012/P020201202546041174254.pdf (accessed on 22 April 2025).
  40. Dunn, R.I.; Hearps, P.J.; Wright, M.N. Molten-Salt Power Towers: Newly Commercial Concentrating Solar Storage. Proc. IEEE 2012, 100, 504–515. [Google Scholar] [CrossRef]
  41. Turchi, C.S.; Heath, G.A. Molten Salt Power Tower Cost Model for the System Advisor Model (SAM); National Renewable Energy Laboratory (NREL): Golden, CO, USA, 2013.
  42. Blair, N.; Dobos, A.P.; Freeman, J.; Neises, T.; Wagner, M.; Ferguson, T.; Gilman, P.; Janzou, S. System Advisor Model, SAM 2014.1.14: General Description; National Renewable Energy Lab. (NREL): Golden, CO, USA, 2014.
  43. Montes, M.J.; Abánades, A.; Martínez-Val, J.M. Performance of a Direct Steam Generation Solar Thermal Power Plant for Electricity Production as a Function of the Solar Multiple. Sol. Energy 2009, 83, 679–689. [Google Scholar] [CrossRef]
  44. Richards, J.; Sabharwall, P.; Memmott, M. Economic Comparison of Current Electricity Generating Technologies and Advanced Nuclear Options. Electr. J. 2017, 30, 73–79. [Google Scholar] [CrossRef]
  45. Zhao, B.; Cheng, M.; Liu, C.; Dai, Z. System-Level Performance Optimization of Molten-Salt Packed-Bed Thermal Energy Storage for Concentrating Solar Power. Appl. Energy 2018, 226, 225–239. [Google Scholar] [CrossRef]
  46. Son, I.W.; Jeong, Y.; Son, S.; Park, J.H.; Lee, J.I. Techno-Economic Evaluation of Solar-Nuclear Hybrid System for Isolated Grid. Appl. Energy 2022, 306, 118046. [Google Scholar] [CrossRef]
  47. Tian, Y.; Cheng, R.; Zhang, X.; Jin, Y. PlatEMO: A MATLAB Platform for Evolutionary Multi-Objective Optimization [Educational Forum]. IEEE Comput. Intell. Mag. 2017, 12, 73–87. [Google Scholar] [CrossRef]
Figure 1. Schematic configuration of the NSHES [27].
Figure 1. Schematic configuration of the NSHES [27].
Energies 18 02189 g001
Figure 2. Calculation scheme for the NSHES.
Figure 2. Calculation scheme for the NSHES.
Energies 18 02189 g002
Figure 3. Schematic diagram of heliostat field distribution.
Figure 3. Schematic diagram of heliostat field distribution.
Energies 18 02189 g003
Figure 4. Optimization framework for the NSHES.
Figure 4. Optimization framework for the NSHES.
Energies 18 02189 g004
Figure 5. Comparative verification of the simplified model and the one-dimensional transient heat model.
Figure 5. Comparative verification of the simplified model and the one-dimensional transient heat model.
Energies 18 02189 g005
Figure 6. Hourly solar radiation for the study area.
Figure 6. Hourly solar radiation for the study area.
Energies 18 02189 g006
Figure 7. Hourly load demand for the designated study area.
Figure 7. Hourly load demand for the designated study area.
Energies 18 02189 g007
Figure 8. The HV convergence process of NSGA-II.
Figure 8. The HV convergence process of NSGA-II.
Energies 18 02189 g008
Figure 9. The Pareto frontier curves of mode 1 with different K nuc , sol .
Figure 9. The Pareto frontier curves of mode 1 with different K nuc , sol .
Energies 18 02189 g009
Figure 10. The Pareto frontier curves of the two operation modes with K nuc , sol of 100:100.
Figure 10. The Pareto frontier curves of the two operation modes with K nuc , sol of 100:100.
Energies 18 02189 g010
Figure 11. The corresponding decision variables, (a) SM and (b) TSD, of Pareto solutions in the two operation modes.
Figure 11. The corresponding decision variables, (a) SM and (b) TSD, of Pareto solutions in the two operation modes.
Energies 18 02189 g011
Figure 12. Sensitivity analysis of investment.
Figure 12. Sensitivity analysis of investment.
Energies 18 02189 g012
Table 5. The best compromise solutions of the NSHES with different operating modes and different K nuc , sol .
Table 5. The best compromise solutions of the NSHES with different operating modes and different K nuc , sol .
K nuc / sol w 1 w 2 SMTSD (h)DPSP (%)LCOE ($/kWh)
mode 1100:1000.524520.475482.2697110.339240.9440.10142
80:1000.540380.459622.4276813.229661.2590.11270
60:1000.538720.461282.4946615.740832.1410.12278
40:1000.533750.466252.7038423.174283.4390.13718
20:1000.514300.485702.6981223.441415.2720.15921
0:1000.473440.526562.9085931.810746.7580.20154
mode 2100:1000.522300.477702.2862210.668950.9200.10249
80:1000.537700.462302.3651613.393211.3660.11174
60:1000.526580.473422.4899215.840682.1770.12292
40:1000.534150.465852.5452119.633143.4660.13746
20:1000.516400.483602.6887423.667465.2850.15934
0:1000.473440.526562.9085931.810746.7580.20154
Table 6. The best solutions of the NSHES with different operating modes and different K nuc , sol when DPSP is required to not be more than 0.5%.
Table 6. The best solutions of the NSHES with different operating modes and different K nuc , sol when DPSP is required to not be more than 0.5%.
K nuc / sol SMTSD (h)DPSP (%)LCOE ($/kWh)ECP, %
mode 1100:1002.3635914.099350.4930.111518.5
80:1002.6414521.500560.4860.1311421.6
60:1003.0073133.325130.4710.1608827.7
mode 2100:1002.3761714.313370.4990.1122516.7
80:1002.5794922.831080.4750.1320618.4
60:1003.0283533.333330.4800.1619826.7
Table 7. The contribution of the components to power output within the best solutions in different operation modes and K nuc / sol when DPSP is required to not be more than 0.5%.
Table 7. The contribution of the components to power output within the best solutions in different operation modes and K nuc / sol when DPSP is required to not be more than 0.5%.
K nuc / sol Proportion of smTMSR, %Proportion of CSP, %Proportion of TES, %
mode 1100:10059.625.714.6
80:10053.627.119.3
60:10046.228.325.5
mode 2100:10058.325.915.8
80:10052.427.220.4
60:10045.028.526.5
Disclaimer/Publisher’s Note: The statements, opinions and data contained in all publications are solely those of the individual author(s) and contributor(s) and not of MDPI and/or the editor(s). MDPI and/or the editor(s) disclaim responsibility for any injury to people or property resulting from any ideas, methods, instructions or products referred to in the content.

Share and Cite

MDPI and ACS Style

Ji, C.; Nie, X.; Chen, S.; Cheng, M.; Dai, Z. Optimization of a Nuclear–CSP Hybrid Energy System Through Multi-Objective Evolutionary Algorithms. Energies 2025, 18, 2189. https://doi.org/10.3390/en18092189

AMA Style

Ji C, Nie X, Chen S, Cheng M, Dai Z. Optimization of a Nuclear–CSP Hybrid Energy System Through Multi-Objective Evolutionary Algorithms. Energies. 2025; 18(9):2189. https://doi.org/10.3390/en18092189

Chicago/Turabian Style

Ji, Chenxiao, Xueying Nie, Shichao Chen, Maosong Cheng, and Zhimin Dai. 2025. "Optimization of a Nuclear–CSP Hybrid Energy System Through Multi-Objective Evolutionary Algorithms" Energies 18, no. 9: 2189. https://doi.org/10.3390/en18092189

APA Style

Ji, C., Nie, X., Chen, S., Cheng, M., & Dai, Z. (2025). Optimization of a Nuclear–CSP Hybrid Energy System Through Multi-Objective Evolutionary Algorithms. Energies, 18(9), 2189. https://doi.org/10.3390/en18092189

Note that from the first issue of 2016, this journal uses article numbers instead of page numbers. See further details here.

Article Metrics

Back to TopTop