Next Article in Journal
Sustainable Energy Storage Systems: Polypyrrole-Filled Polyimide-Modified Carbon Nanotube Sheets with Remarkable Energy Density
Previous Article in Journal
Comparative Analysis of the Oxy-Fuel Kinetic Mechanisms by the Ignition Delay Time of Methane
 
 
Font Type:
Arial Georgia Verdana
Font Size:
Aa Aa Aa
Line Spacing:
Column Width:
Background:
Article

The Purge Characteristics and Strategy in a Proton Exchange Membrane Fuel Cell with a Linear Segmentation-Based Anode Recirculation System

1
Faculty of Maritime and Transportation, Ningbo University, Ningbo 315211, China
2
Ningbo Cycol Power Technology Co., Ltd., Ningbo 315211, China
*
Author to whom correspondence should be addressed.
Energies 2025, 18(9), 2156; https://doi.org/10.3390/en18092156
Submission received: 5 March 2025 / Revised: 15 April 2025 / Accepted: 17 April 2025 / Published: 23 April 2025
(This article belongs to the Section A5: Hydrogen Energy)

Abstract

This study introduces a novel linear segmentation method to optimize the nitrogen purge strategy for proton exchange membrane fuel cells (PEMFCs) operating in an anode recirculation mode. The method simplifies the design of purge cycles by eliminating the need for complex mathematical modeling and multivariable optimization, making it more suitable for industrial applications while avoiding the need for lengthy orthogonal experiments. By experimentally determining the maximum tolerable nitrogen accumulation time and leveraging the linear relationship between nitrogen accumulation and purge duration, the traditional long-cycle purge process is divided into multiple short cycles, establishing an optimal nitrogen discharge strategy. Experimental results demonstrate that the segmented purge cycles significantly reduce voltage fluctuations and improve voltage uniformity across cells. Notably, using a purge threshold with a 30 s closing time and a 2 s opening time resulted in a 19.8% improvement in voltage uniformity. In addition, a detailed analysis of the hydrogen consumption during the purge cycle reveals that an excessive purge frequency leads to significant hydrogen losses, whereas prolonged purge cycles may allow nitrogen accumulation to adversely affect voltage stability. By balancing these effects, the proposed strategy maintains the operational efficiency within the ideal range of 50–60%.

1. Introduction

As one of the most promising renewable and sustainable energy technologies, fuel cells have developed rapidly over the past few decades. Among them, proton exchange membrane fuel cells (PEMFCs) have been widely used in stationary, portable, and transportation applications due to their high energy conversion efficiency, zero emissions, and low operating temperatures.
A typical PEMFC system generally includes subsystems for air supply, hydrogen supply, and thermal management. The hydrogen supply subsystem controls the supply, humidity, and circulation of hydrogen, which directly affects the hydrogen utilization rate and durability of the fuel cell stack. For high-power PEMFC systems, an excess supply of hydrogen is typically required to prevent fuel starvation in the stack. Different hydrogen supply subsystems differ in structure and functionality, primarily reflected in various anode operating modes. Common modes include flow-through, recirculation, and dead-end modes [1]. Among them, the anode recirculation mode offers several advantages over dead-end mode, such as reducing liquid water accumulation (since liquid water can be removed through the recirculation loop and water separators) and ensuring more uniform hydrogen distribution in the anode loop. To improve hydrogen utilization and stack performance, excess hydrogen at the anode (often referred to as “waste hydrogen”) is typically recirculated using pumps or ejectors. The recycled waste hydrogen is mixed with fresh hydrogen and reintroduced into the stack for reaction.
During fuel cell operation in the recirculation mode, some of the water generated and impurities such as nitrogen and water vapor from the cathode may diffuse to the anode side through the proton exchange membrane due to concentration gradients. If the accumulated liquid water and nitrogen impurities are not effectively removed, they can obstruct the hydrogen supply to the anode, significantly reducing the efficiency of power generation. Severe water flooding or nitrogen accumulation may cause fuel starvation at the anode, resulting in voltage drops in individual cells, thereby compromising both cell performance and the overall PEMFC stack integrity.
This issue becomes especially critical in large-scale commercial applications where higher power and current densities are required. At high operating current densities, the massive accumulation of liquid water can lead to severe flooding, impeding gas diffusion and rapidly degrading individual cell performance. Ultimately, this results in a precipitous decline in the entire stack’s output performance. To ensure efficient and stable operation under these demanding conditions, effective water management is imperative [2]. Accordingly, water separators are typically installed at the anode outlet of the stack, along with one or two valves that are periodically opened and closed to remove accumulated water and nitrogen. This design is crucial for preventing sustained fuel supply interruptions. In addition, research on nitrogen purge strategies is gaining momentum as it offers key solutions for maintaining high system efficiency.
To gain a deeper understanding of the impact of nitrogen crossover on fuel cell performance, Bailk et al. [3] used a mass spectrometer to measure the nitrogen crossover rate under different operating conditions and calculated the nitrogen permeation coefficient. Ahluwalia et al. [4] explored the effects of various design and operating parameters (including power levels, anode exhaust rates, impurity content in hydrogen fuel, and membrane thickness) on nitrogen accumulation in the anode recirculation mode. Their research found that at low purging rates, the steady-state nitrogen volumetric fraction could reach 50% to 70%, whereas at a 2% purging rate, the steady-state nitrogen volumetric fraction decreased to 5% to 20%. Yang et al. [5] developed a mathematical model to predict the transient performance of PEMFCs under dead-end anode mode, concluding that nitrogen accumulation in the anode is the primary cause of voltage decay. Chen et al. [6] further established a mathematical model to predict the performance degradation of dead-end anode PEMFCs and restored performance through anode purging. Experimental validation showed that as current density increased, the purge intervals progressively shortened. In the studies by Tsai et al. [7], a one-dimensional transient model was used to analyze changes in local current density and gas mole fractions along the channels during the purging process. Based on predetermined voltage drops and nitrogen accumulation levels, the optimal purge duration was determined. However, these studies primarily focused on optimizing purge strategies based on single influencing factors. Chen et al. [8] further considered the combined effects of purge intervals and purge durations, optimizing dead-end anode circulation through modeling. The results indicated a trade-off between maximizing energy efficiency within the cycle and minimizing hydrogen loss during the purging process, providing important insights for optimizing anode purge strategies.
The aforementioned studies predominantly focused on dead-end anode mode PEMFC systems, with limited investigations addressing purge strategies in anode recirculation modes using experimental and simulation methods. Promislow et al. [9] proposed an analytical model to study a PEMFC system with anode recirculation and exhaust under steady-state conditions. However, their model assumed a constant nitrogen crossover coefficient, which fails to accurately reflect the dynamic and complex nature of fuel cell behavior under real operating conditions. Rabbani et al. [10] developed a dynamic model of a PEMFC stack with anode recirculation that incorporated both exhaust and purging processes. While their work analyzed optimal nitrogen removal strategies by evaluating purge cycles, durations, and nitrogen accumulation impacts on system performance and hydrogen utilization, the mathematical modeling approach used is highly labor-intensive. This method requires constructing separate models for different fuel cell stacks, making it less practical for industrial applications. Chen et al. [11] designed purge strategies by integrating a lumped parameter model of the hydrogen recirculation system and a CFD model of the PEMFC stack. They further optimized hydrogen utilization and performance through extensive experimental screenings. However, their approach heavily relied on orthogonal experimental methods, which are time-consuming and limited to specific conditions, yielding only localized optimal solutions rather than globally optimal strategies. Moreover, the complexity of model construction and the tedious nature of experimental procedures make this method challenging for broader industrial adoption.
To address the above challenges, this study proposes a new method for optimizing the purge strategy in anode recirculation modes: the linear segmentation method. This approach takes into account the convenience and universality of purge strategy calibration. By integrating the principles of nitrogen crossover and purge valve exhaust, the long-cycle purge is segmented into multiple shorter cycles. Through experiments, the maximum nitrogen accumulation time that allows for the anode of the fuel cell to maintain stable voltage without purging under a given current density was determined as the critical boundary condition for purge strategy design. The linear segmentation strategy was experimentally optimized, considering hydrogen consumption, voltage stability, and overall system performance to quickly determine the optimal opening and closing times of the purge valve. The main advantages of this study are as follows:
(1)
This strategy simplifies the design of complex purge cycles. Unlike existing methods, it avoids the complexity of mathematical modeling [12], multivariable optimization processes, and lengthy orthogonal experiments [13]. It also eliminates the need for separate model construction for different fuel cell stacks, thereby reducing implementation difficulty.
(2)
This strategy, based on experimental data and simple linear relationships, greatly improves the practical feasibility and industrial applicability of the purge strategy in anode cycling modes. Compared to optimization methods relying on orthogonal experiments, the linear segmentation method directly achieves a global optimal solution without the need for time-consuming experimental screening.

2. Linear Segmentation Method Principle

To better explain the principles of the linear segmentation method, an anode nitrogen accumulation model and a purge valve model for systematic illustration are introduced. These models help reveal the dynamic accumulation patterns of nitrogen on the anode side and the relationship with the purge valve discharge process, providing a theoretical foundation for the linear segmentation method.

2.1. Nitrogen Permeation Model

Numerous studies have investigated the modeling of nitrogen permeation through PEMFC membranes. Kocha et al. [14] employed in situ electrochemical techniques to determine hydrogen permeation rates, thereby characterizing gas crossover and developing a model to predict nitrogen accumulation in the anode flow field. Ahluwalia et al. [4] analyzed nitrogen buildup in recirculating anode gas and its impact on the performance of a 90 kW PEMFC stack.
For a more precise analysis of the nitrogen permeation rate, this study utilizes the model proposed by Rabbani et al. [10] following a similar approach. Mittelsteadt et al. [15] suggested that nitrogen permeation occurs through two parallel processes: diffusion through both the polymer and water phases of the ionomer. Their model links the nitrogen permeation rate to factors such as operating temperature, water uptake, and membrane thickness.
K N 2 = N 2 ( 0.0295 + 1.21 f v 1.93 f v 2 ) × 10 11 × exp [ E N 2 R ( 1 T r e f 1 T ) ]
The activation energy of nitrogen, E N 2 , is assumed to be 24 kJ/mol. The proportionality factor, N 2 , is determined by calibrating the model using the manufacturer’s data. R is the universal gas constant, T r e f is 303 K, and f v is the volume fraction of water in the membrane, given by the following equation:
f v = λ m e m V w V m e m + λ m e m V w
where λ m e m represents the water content of the membrane, and V m e m and V w are the molar volumes of the dry membrane and liquid water, respectively.
In a PEMFC, the transmembrane concentration gradient serves as the primary driving force for nitrogen diffusion from the cathode to the anode. Given that the concentration of a specific component is proportional to its partial pressure within a defined volume, the nitrogen flux can be determined by evaluating the partial pressures of nitrogen in the cathode and anode compartments of the fuel cell.
J N 2 = K N 2 P N 2 , c a P N 2 , a n t m e m
where t m e m represents the thickness of the membrane, which is assumed to be constant in the current simulation. P N 2 , c a and P N 2 , a n denote the partial pressures of nitrogen at the cathode and anode, respectively.
This model assumes that the operating temperature and membrane water content remain constant throughout the entire experimental period, thereby simplifying the solution process of the model. When the operating temperature, membrane water content, and membrane thickness remain constant, the nitrogen permeation rate is determined solely by the partial pressure difference of nitrogen between the cathode and anode, as derived from the governing formula. Under typical operating conditions, the partial pressure of nitrogen at the cathode is primarily attributed to its presence in air, where nitrogen constitutes approximately 78% of the total content. Conversely, in the anode, the nitrogen partial pressure is influenced by factors such as nitrogen permeation across the membrane, anode purging operations, and the purity of the supplied hydrogen. Since high-purity hydrogen is utilized, the initial nitrogen partial pressure in the anode is nearly negligible. This creates a maximum partial pressure difference between the cathode and anode, resulting in the highest nitrogen permeation rate. In industrial applications, maintaining at least 90% hydrogen partial pressure in the anode while considering the purging cycle duration indicates that the nitrogen partial pressure in the anode exhibits minimal variation during the cycle compared to the cathode nitrogen partial pressure. Consequently, it can be assumed that the nitrogen partial pressure difference between the cathode and anode remains effectively constant throughout the purging cycle. This constancy implies a steady nitrogen permeation rate over the purging period, allowing for the accumulated nitrogen permeation to be approximated as linearly proportional to time.
To calculate nitrogen accumulation, a model was established by integrating the nitrogen permeation rate over time, as follows:
N a c c u m u l a t e d = 0 t J N 2 ( t ) d t
In this model, the nitrogen accumulation is directly proportional to time. The relationship between nitrogen accumulation on the anode side and the output voltage of fuel cells can be understood from the experimental results in reference [10]. If fuel cells are not managed with nitrogen purging, nitrogen gradually permeates to the anode side, forming a nitrogen barrier on the anode surface. This reduces the hydrogen concentration at the anode, increases both activation and ohmic losses, leading to voltage decay. Moreover, the voltage decay exhibits a linear relationship with the amount of nitrogen accumulation. Therefore, it is crucial to promptly remove the accumulated nitrogen at the anode.

2.2. Purge Valve Model

For the purge valve configuration in this study, the single-phase purge valve model developed by Hasegawa et al. [16] was adopted. In the experimental setup, two valves were employed to independently regulate water discharge and nitrogen discharge, making the single-phase purge valve model suitable for this application. To describe the mass flow rate m ˙ g P V at the outlet of the nitrogen purge valve, the fixed cross-sectional area orifice model was utilized. This model was applied under both choked flow and subsonic flow conditions, as represented in Equations (5) and (6):
For choked flow condition
P t P V o u t P t P V i n   <   ( 2 γ + 1 ) γ γ 1 m ˙ g P V = A e f f P V P t P V i n R g P V i n T g P V i n ( 2 γ γ 1 ) [ { ( 2 γ + 1 ) γ γ 1 } 2 γ { ( 2 γ + 1 ) γ γ 1 } γ + 1 γ ]
For subsonic flow condition
P t P V o u t P t P V i n ( 2 γ + 1 ) γ γ 1 m ˙ g P V = A e f f P V P t P V i n R g P V i n T g P V i n ( 2 γ γ 1 ) [ ( P t P V o u t P t P V i n ) 2 γ ( P t P V o u t P t P V i n ) γ + 1 γ ]
where R g P V i n represents the apparent gas constant at the purge valve inlet, and A e f f P V is the effective cross-sectional area of the valve, determined from unit test results.
R g P V i n = R M g P V i n
M g P V i n can be expressed as follows:
M g P V i n = i x i P V i n M i P V i n ( i = H 2 ,   N 2 ,   H 2 O )
From Equations (7) and (8), it is evident that M g P V i n is the molar mass of the mixed gas, which depends on the proportion of hydrogen and nitrogen in the anode recirculation channel, while M i P V i n represents the molar mass of each gas in the flow channel. In this experiment, the industrial standard requiring the hydrogen concentration to remain no less than 90% during purging strictly followed references [17,18]. During the operation of the purge valve, the partial pressure of nitrogen in the anode is significantly lower than that of hydrogen. Therefore, it can be reasonably assumed that M g P V i n remains constant, leading to a constant apparent gas constant R g P V i n . As a result, the nitrogen purge rate can be approximated as a constant, and the total amount of nitrogen purged can be considered linearly proportional to time.

2.3. Determination of the Purge Interval

In traditional experiment-based purge interval strategies, the purge process is typically controlled by first closing the purge valve to allow nitrogen to accumulate in the anode, during which the voltage begins to drop. When the voltage drop reaches the maximum allowable limit for the fuel cell stack, the purge valve is opened to release the accumulated nitrogen. Under these conditions, as shown in Figure 1, the purge valve remains closed for approximately 300 s and open for about 20 s during each cycle. However, this method has significant drawbacks, such as excessive voltage fluctuations and prolonged purge valve opening times, which result in substantial hydrogen loss and may cause the tail gas hydrogen concentration to exceed safety limits.
Based on the analysis of the nitrogen permeation model and the purge valve exhaust model, it was found that the nitrogen accumulation during the valve closing phase and the nitrogen release during the valve opening phase both exhibit an approximately linear relationship with time. Following this finding and inspired by the concept of variable step sizes in optimization problems, a linear segmentation method is proposed. This method begins by experimentally determining the time taken for nitrogen accumulation to cause the voltage of a single cell to drop to a safe threshold under a fixed current density, which serves as the upper limit for traditional long-cycle purging. It then validates the linear relationship between nitrogen accumulation and time, proposing linear segmentation factors based on this relationship to divide the traditional long-cycle purging process into multiple shorter cycles, controlling the opening and closing of the purging valve. Subsequently, it compares voltage fluctuations, the uniformity of individual cell voltages, and overall operational efficiency of the fuel cell stack under different segmentation strategies, determining the optimal purging cycle through comprehensive evaluation. Compared to traditional long-cycle switching strategies, this approach ensures a more uniform and stable nitrogen concentration in the fuel cell stack, reduces voltage fluctuations, and minimizes hydrogen loss.

3. Experiment

3.1. Experimental System Framework

As depicted in Figure 2, an experimental platform for a fuel cell system was constructed, comprising the fuel cell stack, anode hydrogen supply subsystem, cathode air supply subsystem, thermal management subsystem, and power control subsystem. The fuel cell stack incorporates 320 single cells organized into two stacks, each containing 160 single cells with metal bipolar plates. The active electrode area is 275 cm2, and the stack achieves a maximum power output of 96 kW.
The cathode air supply subsystem consists primarily of an air filter, compressor, intercooler, humidifier, electric bypass valve, and electronic backpressure valve. Figure 3 illustrates the schematic representation of the fuel cell stack and anode hydrogen supply subsystem within the system. The experimental platform employs an anode recirculation configuration, where high-purity hydrogen (99.999%) is delivered to the anode via a hydrogen cylinder. To monitor the inlet hydrogen pressure and flow rate, a flow sensor (ALICAT MQ-HIGH, Alicat Scientific, Inc., Tucson, AZ, USA) and a pressure sensor (Sensata 30CP42-03, Sensata Technologies, Inc., Attleboro, MA, USA) are installed at the hydrogen inlet. Additionally, a switch valve (Burkert 6240, Christian Bürkert GmbH & Co. KG, Ingelfingen, Germany) and a proportional valve (Burkert 2875, Christian Bürkert GmbH & Co. KG, Ingelfingen, Germany) regulate the inlet pressure at the anode.
As hydrogen enters the anode flow channels within the fuel cell stack and participates in electrochemical reactions, exhaust gases are discharged from the anode outlet. These gases include nitrogen and water vapor, which permeate through the proton exchange membrane from the cathode, alongside unreacted hydrogen. The exhaust gas is processed via a water separator and a nitrogen purge valve (Burkert 201, Christian Bürkert GmbH & Co. KG, Ingelfingen, Germany) to remove impurities. A hydrogen recirculation pump (DQ60, Yantai Dongde Industrial Co., Ltd., Yantai, China) subsequently redirects the waste hydrogen to the fresh hydrogen inlet, where it mixes with the incoming hydrogen before re-entering the anode flow channel, thereby enhancing hydrogen utilization. Detailed equipment specifications are provided in Table 1.

3.2. Experimental Procedure

Although the accumulation of nitrogen on the anode side is indeed one of the important factors affecting the performance and lifespan of proton exchange membrane fuel cells (PEMFCs), it must be noted that the degradation process of PEMFCs is actually caused by the combined effect of various factors [19]. Over long-term operation, in addition to the reduction in hydrogen concentration caused by nitrogen accumulation, factors such as the aging of electrode materials, agglomeration or loss of catalyst particles, mechanical damage to the membrane electrode assembly (MEA), and operational conditions (including temperature, humidity, and load fluctuations) also contribute to the gradual degradation of cell performance until it reaches the minimum allowable level. Regarding the recovery mechanism of reversible voltage losses, Mitzel et al. [20] systematically reviewed different recovery strategies (including the JRC protocol, DOE protocol, and static recovery), revealing that operations such as water rinsing and lowering the temperature to 45 °C can significantly restore the voltage lost due to reversible contamination. At the same time, Meng et al. [21] recently proposed a degradation prediction method based on a Transformer deep learning model, which uses self-attention and masking mechanisms to incorporate the reversible voltage recovery signal as a boundary input, successfully eliminating the interference of recovery phenomena on subsequent predictions and substantially improving the accuracy of predicting PEMFC degradation trends under complex operational conditions. To optimize the nitrogen purge strategy, this study designed a series of experiments and proposed an innovative optimization approach to investigate the impact of different purge cycle multiples on nitrogen removal efficiency. The experiments were conducted at a current density of 500 A/m2, and the relevant performance parameters of a single fuel cell stack were analyzed. Other specific parameters are shown in Table 2.
The experimental steps are as follows:
(i)
The initial step is to open the hydrogen supply valve, power supply, controller, and electronic load. The PWM (pulse width modulation) of the fan is controlled by an external controller.
(ii)
Next, use the factory-set purge strategy to adjust the water drain valve (WDV) and nitrogen purge valve (NPV) to activate the stack. When the cell voltage and stack power reach relative stability, the stack is considered activated, and subsequent experimental research can be conducted.
(iii)
Experiments were conducted according to the established experimental plan. In each test, the stack current was set to 137.5 A, hydrogen pump speed to 5500 rpm, cooling pump speed to 3100 rpm, water inlet temperature to 65 °C, and adjusting the opening of each valve. Each experiment lasts for 1 h. After each experiment, the purge valve is open for manual purging, the stack allowed to stand still, and an infrared thermometer used to measure the temperature to ensure it drops to room temperature.
(iv)
During the experiment, a dedicated person is assigned to monitor the water level in the water separator to prevent the water level in the separator from being too high or too low.

3.3. Data Analysis Indicators

The approach adopted in this paper project to evaluate fuel cell stack performance is to examine the stack output power and use the voltage and voltage fluctuation rate of individual stacks as the main means to evaluate the performance of individual stacks. To evaluate the impact of the purge strategy on stack stability, the average voltage difference fluctuation of a single fuel cell stack is monitored and defined as
Δ V a v e r a g e = i Δ V i n
where Δ V i represents the average single-cell voltage drop during the i-th cycle, and n is the number of purge cycles. A larger Δ V a v e r a g e value indicates a poorer voltage balance during the purge cycle, resulting in lower system stability.
Meanwhile, the difference between the maximum single-cell voltage and the minimum single-cell voltage of the stack, as well as the average voltage of each single cell during the experimental cycle, is measured, and their variance is calculated to assess the uniformity of the voltage in the stack.
Δ V s t a c k = V max . s t a c k V min . s t a c k
δ 2 = 1 N i = 1 N V i , a v e r a g e V a v e r a g e 2
where V max . s t a c k represents the maximum single-cell voltage, and V min . s t a c k represents the minimum single-cell voltage. N represents the number of single cells in the fuel cell stack, where the single stack consists of a total of 160 single cells. V i , a v e r a g e represents the average voltage of each single cell during the experimental cycle, and V a v e r a g e represents the average value of the average voltages of all single cells during the experimental cycle.
Similarly, to evaluate the impact of the purge strategy on the operational hydrogen consumption of the stack, the operational efficiency is calculated and defined as
η f u e l , c e l l = P e l e c t r i c n ˙ H 2   ×   L H V H 2 × 100 %
where P e l e c t r i c represents the electrical power output of the fuel cell, n ˙ H 2 represents the hydrogen consumption rate, and L H V H 2 is the lower heating value of hydrogen (typically 120 MJ/kg or 2.39 × 107 J/mol, depending on the units).

4. Experimental Verification and Discussion

To implement linear segmentation of the purge cycles, a control baseline group needs to be established. To create this baseline, three experimental conditions were tested on the fuel cell stack, and the average single-cell voltage drop in the fuel cell stack was used as a reference to study the operational limits of long purge cycles. The specific purge cycle durations for the three experiments are shown in Table 3. The experimental results are shown in Figure 4.
As shown in Figure 4, in the three purge cycle experiments, the average single-cell voltage drop in the stack after one purge cycle for Case 1, Case 2, and Case 3 was approximately 9 mV, 6 mV, and 4 mV, respectively. Due to the extreme experimental equipment requirements that the average single-cell voltage drop must remain within 10 mV, although the average single-cell voltage drop in Case 1 was within 10 mV, the factors influencing the average single-cell voltage drop during each experiment are quite complex. Even under the same experimental conditions, it is impossible to guarantee complete stability in the voltage drop results. Furthermore, fuel cells cannot operate for extended periods under the extreme voltage drop conditions observed in Case 1. To better determine the maximum time interval for the purge strategy, it is necessary to reserve a margin for voltage fluctuations based on the specified voltage drop limit. In industrial applications, this margin is typically set at 20–30%. For better protection of the fuel cell, a margin of 30% is considered more appropriate for this experiment. Therefore, setting the average single-cell voltage drop to around 7 mV is deemed suitable for determining the maximum time interval of a long-cycle purge strategy.
In addition, excessively long purge durations may affect the hydration level of the membrane and even damage the proton exchange membrane, which would severely impair the reaction efficiency of the fuel cell. For these reasons, the experimental conditions of Case 1 are unsuitable for subsequent purge experiments. The average Case 3, the average single-cell voltage drop was relatively small, far from the operational limit of the fuel cell, making it less meaningful for observation.
Considering various factors, the purge cycle conditions of Case 2 (with a purge valve closing time of 300 s and a purge valve opening time of 20 s) were selected as the baseline for subsequent purge experiments (Experimental group A). Based on the control group, the linear segmentation method was used to divide the purge cycle of group A into multiple shorter purge cycles by multiplying by factors of 2, 10, and 20, resulting in three experimental groups (Experimental groups B, C, and D). This approach aims to explore the effect of the linear segmentation method on nitrogen removal and the fuel cell operation efficiency. The specific parameter settings for the control groups B, C, and D are shown in Table 4.

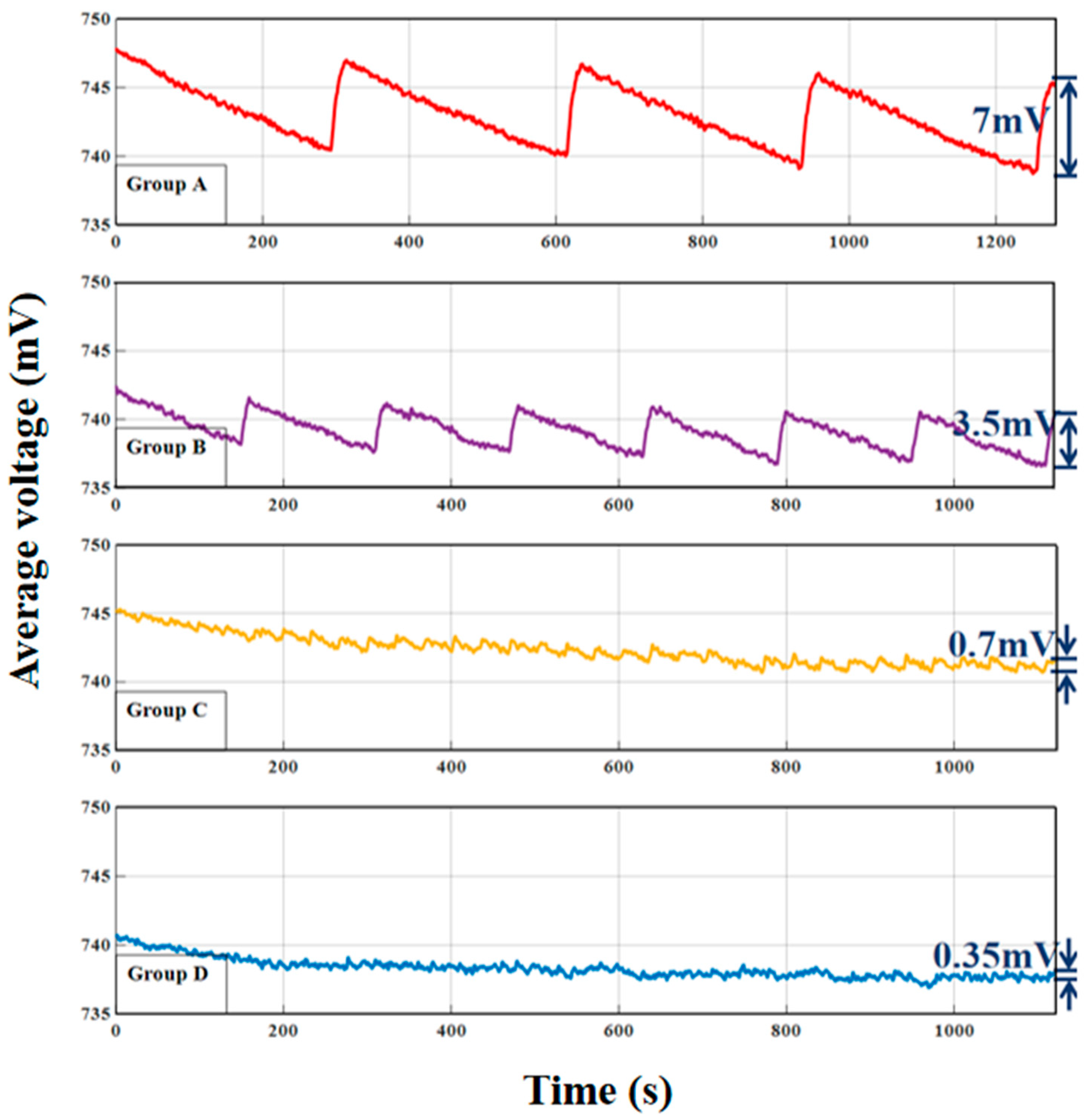
4.1. Impact of Purge Cycle Time on the Fuel Cell Single-Cell Average Voltage

Figure 5 shows the change in the average single-cell voltage with purge cycle time for the baseline control group A and experimental groups B, C, and D. It is evident that the average voltage difference fluctuation amplitudes of a single fuel cell stack for the four groups (A, B, C, and D) are 7 mV, 3.5 mV, 0.7 mV, and 0.35 mV, respectively. The differences in the average single-cell voltages for the experimental groups relative to the control group (A) follow the same multiples as the linear splitting strategy, since the purge cycle times in groups B, C, and D are linearly divided by factors of 2, 10, and 20 compared to group A. According to the linear splitting theory, the accumulation of nitrogen in the anode due to permeation and valve purging should be reduced by factors of 2, 10, and 20 in groups B, C, and D, respectively. The experimental results confirm that the amplitude of fluctuations in the average single-cell voltage is reduced, and the recovery time of the purge voltage is also shortened. This demonstrates the significant improvement in reducing the fluctuation amplitude of the fuel cell’s average single-cell voltage using the linear segmentation method. The performance improvement in each experimental group is directly related to the number of linear divisions.To ensure the stable operation of the fuel cell stack, the average single-cell voltage drop should be kept within 3 mV as much as possible [22,23]. Therefore, only groups C and D meet this requirement.
Over time, the average single-cell voltage in all four experimental groups shows a downward trend. This decline is attributed to the inevitable losses in the fuel cell during operation, including ohmic losses, activation losses, and concentration losses.

4.2. Impact of Purge Cycle Time on the Voltage Stability and Uniformity of the Stack

During the operation of a PEMFC, significant voltage differences between individual cells can affect the durability of the fuel cell. Maintaining the balance of the voltage across the cells within the stack is crucial.
Figure 6 shows the variation of the maximum and minimum single-cell voltages in the stack with the purge cycle time. As observed in the figure, during the purge process, the maximum and minimum voltages of the individual cells fluctuate in a regular pattern across the four experimental groups. The voltage difference between the maximum and minimum single-cell voltages in the baseline group A is larger than in experimental groups B, C, and D. According to the calculation formula for the voltage distribution difference of individual cells, in experimental group A, the voltage difference between the maximum and minimum single-cell voltages is around 27 mV. In contrast, the maximum and minimum voltage differences in experimental groups B, C, and D are 25 mV, 23 mV, and 22 mV, respectively. In other words, the operating voltage stability of the fuel cell in experimental groups B, C, and D improved by 7.4%, 14.8%, and 18.5%, respectively, compared to the baseline group A ( ξ 1 = Δ V s t a c k , A Δ V s t a c k , i Δ V s t a c k , A × 100 % , i = B, C, D. Δ V s t a c k , A represents the difference between the maximum single-cell voltage and the minimum single-cell voltage in group A experimental cells, while Δ V s t a c k , i represents the difference between the maximum single-cell voltage and the minimum single-cell voltage in groups B, C, and D experimental cells).
Figure 7 further shows the average voltage of each single cell in the stack and its distribution under the experimental conditions of groups A, B, C, and D. It can be observed that, due to the uneven hydrogen distribution in the anode flow channels of the fuel cell, the voltages of individual single cells are not uniform. In particular, the voltages of the first and last single cells are significantly lower than those of the cells in other positions. According to the variance formula, the voltage variances among the single cells in groups A, B, C, and D are 13.1, 10.9, 10.5, and 10.2, respectively. Compared to the baseline group A, the voltage distribution uniformity of single cells improved by 16.7%, 19.8%, and 22.1% in experimental groups B, C, and D, respectively ( ξ 2 = δ A 2 δ i 2 δ A 2 × 100 % , i = B, C, D. δ A 2 represents the variance of experimental group A, while δ i 2 represents the variance of experimental groups B, C, and D). Therefore, the three experimental groups using the linear segmentation method significantly outperformed the baseline group A, which employed the original long purge cycle, in terms of the stability of the single-cell voltage distribution. Additionally, the smaller the segmentation of the purge cycles, the greater the improvement in stability, indicating that the linear segmentation method greatly enhances the stability of the voltage distribution differences among single cells. Similarly, to ensure the stable operation of the fuel cell stack, the voltage difference between the maximum and minimum single-cell voltages should be controlled within 30 mV, and the variance of the average voltage of single cells should be minimized as much as possible [24]. The voltage differences in all four experimental groups meet this requirement. However, in terms of the variance of the average single-cell voltage, group D had the smallest variance, making it the best in operational stability and voltage distribution uniformity.

4.3. Impact of Purge Cycle Time on the Operational Efficiency of the Fuel Cell

In addition to the previous analysis of battery voltage stability and uniformity, this study also evaluates the consumption of hydrogen during purge cycles. During purging, whether due to the accumulation of nitrogen over longer purge cycles resulting in significant emissions during release, or the frequent discharge of hydrogen due to frequent purge valve openings, both scenarios adversely affect the overall hydrogen utilization efficiency.
Specifically, when the purge cycle is too short, despite effectively controlling nitrogen accumulation and reducing voltage fluctuations, continuous hydrogen loss may offset some of the efficiency improvements brought about by enhanced battery stability. Conversely, while longer purge cycles result in relatively less hydrogen loss per cycle, nitrogen accumulation at the anode reduces fuel concentration, necessitating higher flow rates during purging, potentially increasing overall hydrogen consumption. Therefore, in the experiment, we monitored the hydrogen supply flow rates to each experimental group and the compensatory responses during purging. We further utilized Equation ( η f u e l , c e l l = P e l e c t r i c n ˙ H 2   ×   L H V H 2 × 100 % ) to calculate operational efficiency and discussed the trade-off between these factors alongside hydrogen consumption.
Figure 8 illustrates the variation in hydrogen volumetric flow rate with purge cycle time. As shown, during the purge experiments, the hydrogen volumetric flow rates of all four experimental groups exhibit noticeable fluctuations. Each time the purge valve opens, the hydrogen volumetric flow rate is adjusted through PID control to provide compensatory supply. The shorter the purge cycle, the faster the compensation frequency.
The operational efficiency results are as follows: Group A is 49.1%, Group B is 58.4%, Group C is 54.5%, and Group D is 50.7%. The relatively low efficiency of Group A (fuel cell efficiency typically ranges between 50% and 60%) is due to the excessively long purge valve opening time, which purges a large amount of unreacted hydrogen. Similarly, the relatively low efficiency of Group D is attributed to the excessively frequent opening of the purge valve, which also results in the purging of unreacted hydrogen. For the operational efficiency of the fuel cell, it should be maintained at the maximum value within the range of 50–60% [25,26]. When using a moderate purge ratio (such as in Group B and Group C), it ensures lower voltage fluctuations and keeps hydrogen consumption during purging within a reasonable range, thereby achieving the highest overall operational efficiency (e.g., Group B achieving 58.4% operational efficiency). This result validates a clear trade-off between hydrogen consumption and purging efficiency.
Therefore, for the linear segmentation method, shorter purge cycles do not necessarily result in a more optimal purge strategy. Instead, it is essential to comprehensively consider the operational efficiency and stability of the fuel cell. Experimental Group C achieved the best balance between voltage stability and operational efficiency, making it the best-performing group among the four. This group effectively reduced nitrogen accumulation and voltage fluctuations through reasonable segmentation of the purge cycle while maintaining high operational efficiency.

5. Conclusions

This study proposes a novel linear segmentation method to optimize the nitrogen purge strategy of PEMFCs operating under the anode recirculation mode. By experimentally determining the maximum tolerable nitrogen accumulation time and utilizing the approximately linear relationship between nitrogen accumulation and purge duration, different linear split strategies were validated, segmenting the traditional long-cycle purge process into multiple shorter cycles. Based on a comprehensive consideration of the nitrogen accumulation model and the purge valve exhaust model, the optimal nitrogen discharge strategy was successfully formulated.
Experimental results indicate that this method significantly enhances the voltage stability and uniformity of the fuel cell stack. Specifically, compared to the baseline long-cycle purge strategy, the voltage fluctuations progressively reduced and the voltage distribution uniformity improved among individual cells by segmenting the purge cycles. Notably, employing a purge threshold of 30 s closing time and 2 s opening time, achieved a 19.8% improvement in voltage uniformity and maintained operational efficiency within the ideal range of 50–60%, attaining the best balance.
In summary, our linear segmentation method not only outperforms traditional strategies such as those proposed by Chen et al. [14] and Rabbani et al. [11] by simplifying the purge strategy design and avoiding complex mathematical models, but it also offers a more practical and scalable solution for industrial applications. This advancement improves the operational stability, reliability, and lifespan of PEMFC systems, paving the way for their large-scale and economically viable use in industrial environments. Future research should further explore this method under different operating conditions and extend its applicability to various fuel cell architectures, thereby validating its versatility and strengthening its potential as a standard approach for optimizing purge strategies in renewable energy technologies.

Author Contributions

Validation, W.G. and W.S.; Formal analysis, W.G., X.M. and C.M.; Investigation, J.Y. (Jinliang Yuan); Resources, C.M.; Data curation, J.Y. (Jie Yu); Writing—original draft, F.W. All authors have read and agreed to the published version of the manuscript.

Funding

This work was supported by the Baima Lake Laboratory Joint Funds of the Zhejiang Provincial Natural Science Foundation of China (grant no. LBMHY24B060001) and Ningbo Youth Leading Talent Project (grant no. 2024QL015).

Data Availability Statement

The original contributions presented in the study are included in the article, further inquiries can be directed to the corresponding author.

Conflicts of Interest

Author Weida Shen was employed by the company Ningbo Cycol Power Technology Co., Ltd. The remaining authors declare that the research was conducted in the absence of any commercial or financial relationships that could be construed as a potential conflict of interest.

References

  1. Hou, J.; Yang, M.; Zhang, J. Active and passive fuel recirculation for solid oxide and proton exchange membrane fuel cells. Renew. Energy 2020, 155, 1355–1371. [Google Scholar] [CrossRef]
  2. Yan, S.; Yang, M.; Sun, C.; Xu, S. Liquid water characteristics in the compressed gradient porosity gas diffusion layer of proton exchange membrane fuel cells using the Lattice Boltzmann Method. Energies 2023, 16, 6010. [Google Scholar] [CrossRef]
  3. Baik, K.; Kim, M. Characterization of nitrogen gas crossover through the membrane in proton-exchange membrane fuel cells. Int. J. Hydrogen Energy 2011, 36, 732–739. [Google Scholar] [CrossRef]
  4. Ahluwalia, R.K.; Wang, X. Buildup of nitrogen in direct hydrogen polymer-electrolyte fuel cell stacks. J. Power Sources 2007, 171, 63–71. [Google Scholar] [CrossRef]
  5. Yang, C.; Chen, Y. A mathematical model to study the performance of a proton exchange membrane fuel cell in a dead-ended anode mode. Appl. Energy 2014, 130, 113–121. [Google Scholar] [CrossRef]
  6. Chen, Y.; Yang, C.; Lee, J. Implementation and evaluation for anode purging of a fuel cell based on nitrogen concentration. Appl. Energy 2014, 113, 1519–1524. [Google Scholar] [CrossRef]
  7. Tsai, S.; Chen, Y. A mathematical model to study the energy efficiency of a proton exchange membrane fuel cell with a dead-ended anode. Appl. Energy 2017, 188, 151–159. [Google Scholar] [CrossRef]
  8. Chen, J.; Siegell, J.B.; Stefanopoulou, A.G.; Waldecker, J.R. Optimization of purge cycle for deadended anode fuel cell operation. Int. J. Hydrogen Energy 2013, 38, 5092–5105. [Google Scholar] [CrossRef]
  9. Promislow, K.; St-Pierre, J.; Wetton, B. A simple, analytic model of polymer electrolyte membrane fuel cell anode recirculation at operating power including nitrogen crossover. J. Power Sources 2011, 196, 10050–10056. [Google Scholar] [CrossRef]
  10. Rabbani, A.; Rokni, M. Effect of nitrogen crossover on purging strategy in PEM fuel cell systems. Appl. Energy 2013, 111, 1061–1070. [Google Scholar] [CrossRef]
  11. Chen, B.; Liu, Y. Numerical study on purge characteristics and purge strategy for PEMFC hydrogen system based on exhaust hydrogen recirculation. Int. J. Energy Res. 2022, 46, 11424–11442. [Google Scholar] [CrossRef]
  12. Wang, B.W.; Wu, K.C.; Yang, Z.R.; Jiao, K. A quasi-2D transient model of proton exchange membrane fuel cell with anode recirculation. Energy Convers. Manag. 2018, 171, 1463–1475. [Google Scholar] [CrossRef]
  13. Koski, P.; Perez, L.C.; Ihonen, J. Comparing anode gas recirculation with hydrogen purge and bleed in a novel PEMFC laboratory test cell configuration. Fuel Cells. 2015, 15, 494–504. [Google Scholar] [CrossRef]
  14. Kocha, S.S.; Yang, J.D.; Yi, J.S. Characterization of gas crossover and its implications in PEM fuel cells. AIChE J. 2006, 52, 1916–1925. [Google Scholar] [CrossRef]
  15. Mittelsteadt, C.; Umbrell, M. Gas permeability in perfluorinated sulfonic acid polymer electrolyte membranes. In Proceedings of the 207th Electrochemical Society Meeting, Quebec City, QC, Canada, 15–20 May 2006. [Google Scholar]
  16. Hasegawa, S.; Ikogi, Y.; Kim, S. Modeling of the dynamic behavior of an integrated fuel cell system including fuel cell stack, air system, hydrogen system, and cooling system. ECS Trans. 2022, 109, 15. [Google Scholar] [CrossRef]
  17. Nikiforow, K.; Karimäki, H. Optimization study of purge cycle in proton exchange membrane fuel cell system. J. Power Sources 2013, 238, 336–344. [Google Scholar] [CrossRef]
  18. Liu, Z.; Chen, J. Anode purge management for hydrogen utilization and stack durability improvement of PEM fuel cell systems. Appl. Energy 2020, 275, 115110. [Google Scholar] [CrossRef]
  19. Guo, R.; Cheng, D. Anode Nitrogen Concentration Estimation Based on Voltage Variation Characteristics for Proton Exchange Membrane Fuel Cell Stacks. Energies 2023, 16, 2111. [Google Scholar] [CrossRef]
  20. Mitzel, J.; Zhang, Q. Review on Mechanisms and Recovery Procedures for Reversible Performance Losses in Polymer Electrolyte Membrane Fuel Cells. J. Power Sources 2021, 488, 229375. [Google Scholar] [CrossRef]
  21. Meng, X.; Mei, J.; Tang, X.; Jiang, J. The Degradation Prediction of Proton Exchange Membrane Fuel Cell Performance Based on a Transformer Model. Energies 2024, 17, 3050. [Google Scholar] [CrossRef]
  22. European Commission; Joint Research Centre. EU Harmonised Test Protocols for PEMFC-MEA Testing in Single Cell Configuration for Automotive Applications; EUR 27632 EN (JRC99115); European Commission: Brussels, Belgium, 2015.
  23. Wang, B.W.; Wu, K.C.; Xi, F.Q.; Xuan, J.; Xie, X.; Wang, X.; Jiao, K. Numerical analysis of operating conditions effects on PEMFC with anode recirculation. Energy 2019, 173, 844–856. [Google Scholar] [CrossRef]
  24. Barbir, F. PEM Fuel Cells: Theory and Practice; Academic Press: Cambridge, MA, USA, 2005. [Google Scholar]
  25. Larminie, J.; Dicks, A. Fuel Cell Systems Explained, 3rd ed.; Wiley: Hoboken, NJ, USA, 2018. [Google Scholar]
  26. Hwang, J.J. Effect of hydrogen delivery schemes on fuel cell efficiency. J. Power Sources 2013, 239, 54–63. [Google Scholar] [CrossRef]
Figure 1. The voltage variation of the average single cell under traditional long-cycle purge intervals.
Figure 1. The voltage variation of the average single cell under traditional long-cycle purge intervals.
Energies 18 02156 g001
Figure 2. Test bench diagram of the fuel cell system.
Figure 2. Test bench diagram of the fuel cell system.
Energies 18 02156 g002
Figure 3. Anode supply system diagram of the fuel cell.
Figure 3. Anode supply system diagram of the fuel cell.
Energies 18 02156 g003
Figure 4. Experimental test of the average single-cell voltage drop.
Figure 4. Experimental test of the average single-cell voltage drop.
Energies 18 02156 g004
Figure 5. The impact of purge cycle time on average single-cell voltage of the stack.
Figure 5. The impact of purge cycle time on average single-cell voltage of the stack.
Energies 18 02156 g005
Figure 6. The impact of purge cycle time on the voltage stability of stack.
Figure 6. The impact of purge cycle time on the voltage stability of stack.
Energies 18 02156 g006
Figure 7. The impact of purge cycle time on the voltage uniformity of stack.
Figure 7. The impact of purge cycle time on the voltage uniformity of stack.
Energies 18 02156 g007
Figure 8. The impact of purge cycle time on the hydrogen supply of the fuel cell.
Figure 8. The impact of purge cycle time on the hydrogen supply of the fuel cell.
Energies 18 02156 g008
Table 1. Main parameters of the equipment.
Table 1. Main parameters of the equipment.
Fuel cell stacksManufacturerSino-Synergy Hydrogen Energy Technology Co., Ltd., Jiaxing, China
Maximum power96 kW
Active area 275 cm2
The membrane thickness of a single cell12 μm
Number of single fuel cells320/-
Hydrogen pumpApparatus and ManufacturerDQ60 (Yantai Dongde Industrial Co., Ltd., Yantai, China)
Rated rotational speed8000 r/min
Rated pressure rise40 kPa
Rated flow rate60 m3/h
Rated power2 kW
Table 2. Experimental parameter settings.
Table 2. Experimental parameter settings.
ParameterValue
Current137.5/A
Hydrogen pressure setting177/kPa
Hydrogen pump speed5500/rpm
Air compressor speed53,000/rpm
proportional valve28%
Bypass control valve10%
Control shut-off valve19%
Cooling pump speed3100/rmp
Water inlet temperature65/°C
Temperature control valve30%
Table 3. Time settings for three different purge cycles.
Table 3. Time settings for three different purge cycles.
Experiment GroupsPurge Valve Closing Time (s)Purge Valve Opening Time (s)
Case 122518
Case 230020
Case 347036
Table 4. The purge cycle time settings for groups A, B, C, and D.
Table 4. The purge cycle time settings for groups A, B, C, and D.
Experiment GroupsPurge Valve Closing Time (s)Purge Valve Opening Time (s)
A30020
B15010
C302
D151
Disclaimer/Publisher’s Note: The statements, opinions and data contained in all publications are solely those of the individual author(s) and contributor(s) and not of MDPI and/or the editor(s). MDPI and/or the editor(s) disclaim responsibility for any injury to people or property resulting from any ideas, methods, instructions or products referred to in the content.

Share and Cite

MDPI and ACS Style

Guo, W.; Mu, X.; Shen, W.; Ma, C.; Yu, J.; Wang, F.; Yuan, J. The Purge Characteristics and Strategy in a Proton Exchange Membrane Fuel Cell with a Linear Segmentation-Based Anode Recirculation System. Energies 2025, 18, 2156. https://doi.org/10.3390/en18092156

AMA Style

Guo W, Mu X, Shen W, Ma C, Yu J, Wang F, Yuan J. The Purge Characteristics and Strategy in a Proton Exchange Membrane Fuel Cell with a Linear Segmentation-Based Anode Recirculation System. Energies. 2025; 18(9):2156. https://doi.org/10.3390/en18092156

Chicago/Turabian Style

Guo, Weihao, Xiaoxuan Mu, Weida Shen, Chaoqi Ma, Jie Yu, Fu Wang, and Jinliang Yuan. 2025. "The Purge Characteristics and Strategy in a Proton Exchange Membrane Fuel Cell with a Linear Segmentation-Based Anode Recirculation System" Energies 18, no. 9: 2156. https://doi.org/10.3390/en18092156

APA Style

Guo, W., Mu, X., Shen, W., Ma, C., Yu, J., Wang, F., & Yuan, J. (2025). The Purge Characteristics and Strategy in a Proton Exchange Membrane Fuel Cell with a Linear Segmentation-Based Anode Recirculation System. Energies, 18(9), 2156. https://doi.org/10.3390/en18092156

Note that from the first issue of 2016, this journal uses article numbers instead of page numbers. See further details here.

Article Metrics

Back to TopTop