Next Article in Journal
A Modified Nearest Level Control Scheme for Improved Submodule Current Sharing in a CHB Converter with Integrated EDLCs
Previous Article in Journal
Model Predictive Control-Based Energy Management System for Cooperative Optimization of Grid-Connected Microgrids
 
 
Font Type:
Arial Georgia Verdana
Font Size:
Aa Aa Aa
Line Spacing:
Column Width:
Background:
Article

Study on the Unsteady Pressure Fluctuations and Radial Forces in a Vaned-Diffuser Heavy-Liquid-Metal Centrifugal Pump

by
Xudan Ma
1,
Hui Sheng
1,
Chenyang Wang
2,
Yao Lu
1 and
Kefeng Lyu
3,*
1
School of Mechanical and Electrical Engineering, Anhui Jianzhu University, Hefei 230601, China
2
China Nuclear Power Technology Research Institute Co., Ltd., Shenzhen 518026, China
3
School of Environment and Energy Engineering, Anhui Jianzhu University, Hefei 230601, China
*
Author to whom correspondence should be addressed.
Energies 2025, 18(7), 1698; https://doi.org/10.3390/en18071698
Submission received: 28 February 2025 / Revised: 26 March 2025 / Accepted: 26 March 2025 / Published: 28 March 2025

Abstract

Lead–Bismuth Eutectic (LBE) is a very dense medium whose specific gravity is more than 10 times that of water. The unsteady hydraulic exciting force generated by the rotor–stator interaction (RSI) is significantly increased in the LBE pump, which has an important influence on the stable operation of the pump. The clearance between the vaned diffuser inlet and the impeller outlet has great influence on the rotor–stator interaction. This paper studies the unsteady flow characteristics in pumps with different rotor–stator clearance in different flow rates and transported mediums. The results show that at the design point, the head and efficiency of the pump when transporting LBE are 3.52% and 8.05% higher than those when transporting water. The pressure fluctuation distribution is similar at different positions inside the pump when transporting LBE and water, but the dimensionless pressure fluctuation coefficient is slightly larger when transporting water. The radial force in the pump shows a larger amplitude of 6BPF frequency with small clearance ratios, and the frequency is related to the guide vane number. When the clearance ratio increases from 1.03 to 1.13, the amplitude of 6BPF keeps decreasing. The amplitude at a clearance ratio of 1.13 decreased to 4.7% of that at 1.03. The research presented in this paper could provide some references for the design of the clearance between the rotor–stator parts in the LBE pump.

1. Introduction

Lead-cooled fast reactors (LFRs) are a primary candidate among the six Generation IV reactor designs [1]. Lead or Lead–Bismuth Eutectic (LBE) is used as the coolant in LFRs. Various research institutions around the world have built LBE circuits to study the key technologies of LFRs. In the LBE experimental circuits, the LBE mechanical pump is a key functional device to drive the LBE flow. The impeller of LBE pump is mostly of centrifugal type due to the requirements of a small flow rate and a high head. There are significant differences between LBE and water. The density of LBE is about 10 times that of water, while the kinematic viscosity is about 1/6 of water [2]. Moreover, the LBE has a strong corrosive effect on structural materials and can cause erosion corrosion under high flow conditions. The special properties of the LBE have brought many challenges to the development of LBE pumps, such as erosion–corrosion resistance materials, the hydraulic design method, and experimental verifications of pump characteristics.
At present, there are very few studies on the operating characteristics of the pump in the LBE medium. The research mainly focuses on the main pump of the LFR reactor. Depending on the different design parameters of the reactor, the main coolant pump can be designed as either centrifugal or axial-flow type. Lu et.al. [3] and Zhu et al. [4] conducted research on the pump selection based on the design parameters of the CLEAR-I reactor and compared the performance of the LBE pump with space guide vane structure, single volute, and symmetrical double volute outlet structures. From the perspective of reducing the erosion and corrosion of materials by high-speed fluids, Wang et al. [5] studied the distribution characteristics of the maximum flow velocity within the pump under different design rotational speeds and conducted an in-depth analysis on the selection of the design rotational speed for the lead–bismuth pump. Xiang et al. [6] carried out an experimental study on the external characteristics of centrifugal LBE pumps and analyzed the internal flow field using CFD. The results indicated that the distribution of turbulent kinetic energy exhibited periodicity, with the frequency being consistent with the number of blades. Research on the differences in external characteristics of the pump when it transports lead–bismuth alloy and water has also been carried out [7]. Recently, Lu et al. [8] conducted in-depth research on the external characteristics differences of the pump when transporting water and LBE. The research shows that due to the lower kinematic viscosity of LBE, the Reynolds number of the flow inside the pump is relatively large, and the disc friction loss is relatively small. Therefore, when transporting LBE, the pump exhibits higher head and efficiency than when transporting water. Huang et al. [9] investigated the variation law of the flow rate of LBE pumps with time under the coast-down condition. These research studies have significant guiding significance and reference value for the structural design of the LBE pump.
However, the aforementioned studies mainly focused on the pump steady-state performance. However, the actual operating state of the pump is unsteady. Based on the research on the unsteady operating characteristics of the water pump, it can be known that in unsteady conditions, periodic pressure fluctuations will occur inside the pump. Pressure fluctuations inside a centrifugal pump are generated by the rotor–stator interaction (RSI) phenomenon between rotating parts (e.g., impeller) and stationary parts (e.g., vaned diffuser) inside the pump [10]. The circumferential inhomogeneous flow between the rotor of the pump impeller and the vaned diffuser interacts during rotation leading to the unsteady flow phenomena in the flow channel inside the pump [11]. Pressure fluctuation is a major cause of equipment mechanical vibration and noise, which seriously affects the stability and safety of the connected system [12]. Dynamic and static interference will lead to a reduction in the efficiency of the pump, increase the energy loss, lead to fluid-excited vibration generating noise, and affect the stability and safety of the pump [13].
The influence of the RSI phenomenon on the pressure fluctuation characteristics of the internal flow path of centrifugal pumps has been widely investigated in the past few decades. The structural form [13], design dimensions [14], and operating conditions, i.e., the flow rate and rotational speed [15,16,17] of the pump, all have an impact on the RSI effect, which in turn affects the pressure fluctuation characteristics. Pressure fluctuation originates from the uneven distribution of the flow field at the outlet of the impeller. Pressure fluctuation originates from the asymmetric pressure distribution within the pump, and the asymmetric pressure distribution will lead to the generation of radial force [18,19]. Radial force and pressure fluctuation exhibit different characteristics. Although the study on the unsteady radial force within the LBE pump has not been carried out yet, the periodic distribution of turbulent kinetic energy can still be found in the steady-state flow field calculation of the LBE pump [3]. Studies have also been conducted on the radial and axial force characteristics of the pump when transporting LBE and water, but these were carried out under steady-state conditions [20]. Symmetrical structural design can effectively reduce the amplitude of pressure fluctuation. A suitable rotor–stator clearance ratio can effectively reduce the RSI phenomenon and, furthermore, reduce the pressure fluctuations [21,22,23]. In the LBE pump, the energy density inside the pump is relatively greatly increased because of the very high density, resulting in larger radial forces and pressure fluctuations and other unsteady characteristics compared with those inside water pumps. Usually, centrifugal pumps adopt a volute to guide flows, but the asymmetric structure generates large radial forces. Therefore, in this paper, a vaned diffuser is used to decrease the radial force in a LBE centrifugal pump.
In summary, the study of internal pressure fluctuation in centrifugal pumps is crucial. A reduction in the amplitudes of the pressure fluctuations results in a reduction in the load on the bearings, leading to an increase in the life of the pump [12]. At present, the research on LBE pumps mainly focuses on the analysis of their steady-state performance, while the research on their unsteady characteristics is relatively scarce. Furthermore, the unsteady pressure fluctuation characteristics of the fluid inside the LBE centrifugal pump with radial vaned diffuser and the radial force are jointly influenced by the impeller and the vaned diffuser. The generation mechanism and distribution pattern of these phenomena still require in-depth research. The main object of this paper is to study the characteristics of unsteady flow in a LBE centrifugal pump in different flow rates and different rotor–stator clearance ratios. By these research studies, the optimized structural parameters are obtained to enhance the stability of the pump.

2. Numerical Model and Methods

2.1. Pump Hydraulic Model

The hydraulic model of the LBE pump is shown in Figure 1, and the related parameters are shown in Table 1.

2.2. Experimental Test

Figure 2a provides the on-site installation photo of the pump and the system. The system mainly includes a container, a mechanical pump, a test section, instruments, pipes, and valves connecting them. Figure 2b illustrates the flowchart of the test system integrated with the LBE pump. The mechanical pump is installed within a high-temperature LBE loop. This loop is set up to study the operating characteristics of bearings in LBE. The bearing sample, shown as the test section in Figure 2b, is regarded as a resistance element in the loop, while the mechanical pump provides the driving force for the LBE circulation. During testing, the high-temperature LBE is pressurized into the loop using high-pressure Ar. The outlet of mechanical pump is divided into two branches, and each branch is equipped with an electromagnetic control valve to regulate the flow rate. The pressurized LBE from the pump outlet enters the test section, which has a large pressure resistance, and then enters the pump again to form a circulation loop. High-temperature pressure transmitters are positioned at both the inlet and outlet of the mechanical pump, while a flowmeter measures the flow rate at the pump outlet. To maintain a constant liquid level in the LBE pump, there is cover gas in the pump tank. An automatic air pressure control program was designed to keep the air pressure in the pump tank stable. Furthermore, thermocouples are installed inside the pump tank to measure the LBE temperature. The measurement instrument information is listed in Table 2.
During the test, the opening degree of the regulating valve DV101 and DV102 was adjusted, and the pump speed was gradually increased from 0 to 800 rpm. The data of flow rate and the inlet and outlet pressure at different pump speeds were recorded. The comparison results are shown in Figure 3. From Figure 3, the numerical head is slightly high than the experimental results especially in large flow rate. Basically, the numerical and experimental curves are consistent. When DV101 is closed, the differences between the numerical results and experimental results are within 5%, which is quite satisfactory. But for the cases DV101 opening 30% and DV102 opening 100%, the differences between the numerical and experience results are significantly greater than in the other cases. This is because the numerical calculation model only takes into account the hydraulic components and does not include the clearance leakage at the impeller lip; thus, there are certain differences from the physical model. With the increase in flow rate, the influence of the clearance leakage on the pump’s external characteristics gradually increases. Since the clearance leakage is an internal leakage and is classified as volume loss, this part of the leakage is not included in the measured value of the pump’s outlet flow. During the test process, the impeller flow rate is greater than the outlet flow rate, resulting in a relative reduction in the actual test head compared to the simulated head.

2.3. Numerical Methods

The mesh is generated in the Fluent Meshing module, and Poly-Hexcore is used to generate the body mesh. Hybrid mesh can improve the quality of the computational mesh while reducing the discrete difficulty of the mesh in the solution area. Taking head and efficiency as the test criteria, 6 different numbers of grids are selected for mesh independence verification, and the calculation results are shown in Figure 4. When the number of grids is 4.75 million, the changes in head and efficiency are within 1%, so the 4th grid is used in this study.
In order to obtain the time domain characteristics of the internal pressure fluctuation of the pump, 21 monitoring points were set up. P1, P2, and P3 are located in the inlet pipe. P4, P5, and P6 are located along the impeller flow channel. P7 to P12 are uniformly distributed in the rotor–stator clearance. P13, P14, and P15 are located along the vaned diffuser channel. P16 to P19 are at uniformly distributed in the annular discharge chamber. P20 and P21 are located in the outlet pipe. Monitoring point setting is shown in Figure 5.
The SST k ω turbulence model is adopted for turbulence equations enclosure. The pressure–velocity coupling is performed using the SIMPLEC algorithm, with the pressure term in second-order center-difference scheme and the other terms in second-order upwind difference scheme. The boundary conditions are specified as velocity inlet, assuming that the incoming flow direction is perpendicular to the inlet cross-section. The pressure outlet condition is set for the outlet. The unsteady calculations use the results of the steady calculations as initial conditions. The time that the impeller rotates 2°, i.e., 2.3 × 10−4 s, is set as the timestep. The impeller rotates for 10 cycles. After the impeller rotates 4 cycles, the pressure shows a completely periodic change. The results of the last 4 cycles are selected for the analyses.
In numerical calculations, the physical property parameters of water and LBE are set as shown in the following Table 3.

3. Pump External Characteristics

Figure 6 shows the external characteristic curve of the pump both delivering water and LBE. From Figure 6, it can be seen that under all flow rates, the pump head and efficiency are higher when transporting LBE than those of water. At the rated flow rate, the head transporting LBE and water are 19.42 m and 18.76 m, respectively, with a difference of 3.52%. Meanwhile, the efficiencies are 80.37% and 74.38%, with a difference of 8.05%. The main reason is that in LBE pump Reynolds number is higher. The stronger turbulence leads to a reduction in the thickness of the boundary layer in the impeller wall, which in turn decreases the friction loss and turbulence kinetic energy loss and ultimately enhances the head and efficiency.
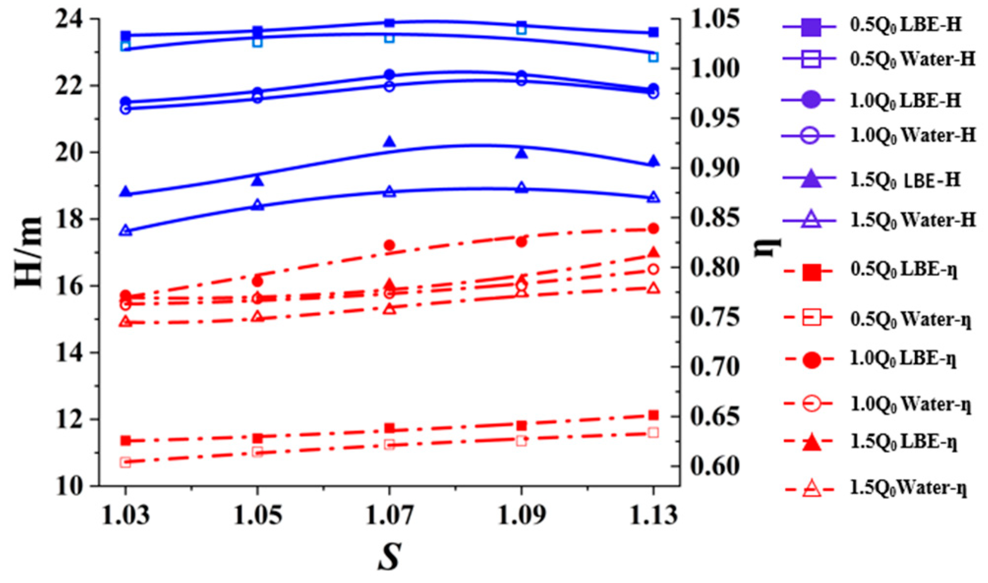
Figure 7 presents the external characteristics for different clearance ratios. From Figure 7, for different flow rate and transported medium, the centrifugal pump head increased first and then decreased with each clearance ratio increment. The pump head achieved maximum with a clearance ratio of 1.07. Meanwhile, the pump efficiency increases with each clearance ratio increment. For the same flow rate, the pump head and efficiency are always larger when transporting LBE than these of water under any clearance ratios.

4. Results and Discussion

4.1. Pressure Fluctuation Characteristics

4.1.1. Pressure Fluctuation Under LBE and Water

Instantaneous pressure data on each monitoring points were recorded. To get rid of the influence of medium density, the dimensionless pressure coefficient C p is defined as follows:
C p = P P ¯ 0.5 ρ v 2
where P is the instantaneous pressure, and P ¯ is the average pressure, kPa; v is the circumferential velocity of the impeller outlet, m/s.
The pressure data in time domain are further processed by the Fast Fourier Transform (FFT) to obtain the corresponding frequency domain characteristics. Figure 8 shows the characteristics of the pressure fluctuation at six picked monitoring points of the LBE pump and water pump under the rated flow rate in the frequency domain. The distribution patterns of pressure fluctuations in water pumps and LBE pumps are consistent, but the amplitudes are slightly different. The dominant frequency f 0 of the pressure fluctuation coefficient at each monitoring point is 120.8 Hz, which equals to the blade passing frequency (BPF).
f B P F = Z i · f n
where f n = n / 60 donates the rotational frequency, Hz; n donates the rotational speed, rpm; Z i donates the blade number of the impeller. Substituting the numbers, we have f B P F = 1450 × 5 / 60 = 120.8   H z .
Furthermore, in the impeller flow channel and the rotor–stator clearance as P5 and P7, high-order harmonics of BPF are clearly shown. No obvious pressure fluctuation frequency could be observed at the inlet and outlet of the pump as P2 and P21. Pressure fluctuation originates from the RSI phenomenon. The range of the interference effect being transmitted upstream and downstream is limited.
Figure 9 shows the histogram of the dominant frequency amplitude comparison at eight selected monitoring points in the centrifugal pump for two different mediums, i.e., water and LBE, under the rated flow rate. The amplitude of the fluctuations when the pump is delivering water was greater than that of LBE at all monitoring locations within the pump. This difference is particularly pronounced at locations where the RSI phenomenon is strong, i.e., P5, P6, and P7. In these positions, the amplitudes of water pump are 10%~16% higher than those of LBE pump.

4.1.2. Pressure Fluctuation in Different Flow Rates

The pressure fluctuation characteristics within the LBE pump under three different flow rates, i.e., 0.5 Q 0 ,   1.0 Q 0 , and 1.5 Q 0 , are studied. The dimensionless pressure fluctuation coefficients at six picked monitoring points are transformed in the frequency domain, and the amplitudes of the 1BPF are extracted for comparison, as shown in Figure 10. From Figure 10, it could be found that under different flow rates, the distribution pattern of pressure fluctuation within the pump is basically consistent. Under the rated operating conditions, the amplitude of pressure fluctuation is the smallest. Under off-design conditions, the amplitude of pressure fluctuation increases slightly. This could be due to the fact that the asymmetric distribution within the impeller and vaned diffuser increased under off-design operating conditions.
The Q criterion is used to identify the vortex regions. By analyzing the velocity gradient tensor in the fluid, the Q criterion extracts the parts with rotational characteristics, thereby determining the existence and location of the vortex. From Figure 11a, under 0.5 Q 0 , the distribution of positive vortices is concentrated at the inlet of the vaned diffuser. Under rated flow conditions, positive strong vortices are mainly concentrated near the suction side of the impeller blades, while vortices in other areas are relatively few. Thus, under rated operating conditions, the flow is the most uniform; therefore, the pressure fluctuation is also the smallest. Under 1.5 Q 0 , positive strong vortices fill the entire impeller flow channel, and small-scale vortices can be observed in the guide vane flow channel, which might be caused by the detachment of the impeller wake and its transmission to the downstream.

4.1.3. Pressure Fluctuation in Different Rotor–Stator Clearance Ratios

The rotor–stator clearance ratio is defined as the ratio of vaned diffuser inlet diameter and impeller outlet diameter, i.e., S = D 3 / D 2 . Five different clearance ratios from 1.03 to 1.13 are, respectively, designed for comparisons. Figure 12 shows the pressure coefficients spectra at six picked monitoring points under the minimum and maximum clearance ratios.
Compare the amplitude values at 1BPF under five different clearance ratios, as shown in the Figure 13. By increasing the rotor–stator clearance, the fluctuation amplitude can be effectively reduced. Especially at the monitoring points within and near the clearance, i.e., P6, P7, and P13, the amplitude is significantly decreased. Increasing the clearance is an effective way to reduce the pressure fluctuation caused by the RSI phenomenon. However, an excessively large clearance would lead to a decrease in the head and efficiency. In this study, although the model achieved the optimal head when the clearance ratio is 1.07, its efficiency did not significantly decrease. Therefore, the design of LBE pumps could take into account the adoption of a larger clearance.
The selection of the clearance ratio will affect the asymmetry of the flow inside the pump. Figure 14 shows the high-pressure zone marked in circles. From the comparison of the pressure contour diagrams under different clearance ratios in the Figure 14a, when the clearance ratio is 1.03, there is a local high pressure in the areas near the impeller outlet and vaned diffuser inlet, while a significant low-pressure area appears at the opposite position. This pressure distribution difference leads to a large radial force. Figure 15a shows that there are vortices of varying sizes in rotor–stator clearances as well as within the vaned diffuser. These vortices impede the smooth flow of the fluid. As the clearance ratio increases, the flow asymmetry in the RSI region within the pump is significantly pronounced. As can be seen from Figure 14e, when the clearance ratio is 1.13, the pressure field distribution is relatively more uniform. From Figure 15, as the clearance increases, the RSI effect gradually weakens, and the high-intensity vortices within the vaned diffuser also decrease accordingly.

4.2. Radial Force Analysis

The asymmetrical pressure distribution eventually leads to dynamic radial forces. Figure 16 was the comparison of the radial force of the LBE and water pump under the design conditions both in time domain and frequency domain. The amplitudes at main frequencies in Figure 16b are shown in Table 4. The average radial force amplitude is directly proportional to the specific gravity of the medium. In the LBE pump, radial force has the dominant frequency of 1BPF and also shows very large 2BPF and 6BPF. While in the water pump, 2BPF and 6BPF both have the same amplitude, which is a little larger than 1BPF. The 1BPF amplitude of the LBE pump is about 64 N, while that of the water pump is 2.7 N. The ratio of the radial force fluctuation amplitude is much greater than that of the medium’s specific gravity.
Figure 17 is the comparison of the radial force of LBE pump under 0.5 Q 0 , 1.0 Q 0 , and 1.5 Q 0 , both in the time domain and frequency domain. The amplitudes at main frequencies in Figure 17b are shown in Table 5. From Figure 17a, the radial force variation presents a petal shape, and the number of petals is the same as that of the impeller blade number. This distribution form is one of the typical characteristics of radial force. It should be noted that the time-averaged radial force and the amplitude of the fluctuation dominant frequency are different. The time-averaged value represents the horizontal component of the static radial force, while the pulsating value represents the dynamic radial force. The dynamic radial force characterizes the hydraulic excitation force that causes forced vibration. When the pump operates at small flow rates, the average amplitude of the radial force is small, but the amplitude of the fluctuation is large. On the contrary, while the pump operates at large flow rates, the average radial force amplitude is large, and the fluctuation amplitude is small. The average amplitude of the radial force at the rated flow rate is the smallest. In the frequency-domain transformation shown in Figure 16b, a very high 1BPF exists under small flow rate operation. The amplitude of the 1BPF decreased with the increase in flow rate. Under 1.0 Q 0 , the radial force fluctuation amplitude was approximately 29.7% of that under 0.5 Q 0 and 158% of that under 1.5 Q 0 . As the flow rate increases, the dynamic excitation force decreases.
Figure 18 is the comparison of the radial force of LBE pump under five different clearance ratios, both in the time domain and frequency domain. The amplitudes at the main frequencies in Figure 18b are shown in Table 6. From Figure 18a, it can be clearly seen that as the gap ratio increased, the amplitude of the unsteady radial force in the pump decreased significantly. From the S = 1.03 curve shown in Figure 18a, it can be observed that within one circle, 30 petal-shaped distributions are clearly presented. In the frequency domain transformation diagram shown in Figure 18b, it could be observed that in the minimum clearance ratio S = 1.03 , the radial force of the pump reaches its maximum amplitude at 6BPF. The amplitude at 6BPF is about 10 times of that at 1BPF. This frequency is exactly the product of the 1BPF and the number of guide vane blades. This means that the vaned diffuser was subjected to an intense hydraulic impact force from the fluid at the outlet of the impeller. When the clearance ratio increases from 1.03 to 1.13, the amplitude at 6BPF keeps decreasing. The amplitude at 6BPF when the clearance ratio is 1.13 was only 4.7% of that at 1.03. As the gap increases, the amplitude at 1BPF shows a trend of first increasing, then decreasing, and gradually becoming more stable. Overall, increasing the clearance ratio could reduce the amplitude and fluctuation of the radial force, especially for the reduction in the 6BPF caused by the interference among the vaned diffuser.

4.3. Discussions

The experimental and numerical comparative analysis based on the research conducted in this paper and the references [3,6,8] indicates that the SST k ω turbulence model adopted for numerical calculation has achieved relatively high accuracy in predicting the external characteristics of the LBE pump. When the pump is transporting LBE and water, there is no essential difference between its internal flow field and external characteristics, and the overall performance is basically the same [8]. Through the study of the pressure fluctuation distribution law within the LBE pump in this paper, it can be found that its dynamic characteristics show similar results. Under the two medium conditions, the dimensionless pressure fluctuation amplitude is basically consistent. However, from the perspective of the variation range of the absolute pressure fluctuation, the ratio of the absolute pressure fluctuation amplitude of the LBE pump to that of water is approximately equal to the ratio of their densities. The same rule also applies to the radial force.
Regarding the frequency characteristics of pressure fluctuation in the LBE pump, it has been found that the main frequencies are the BPF and its higher harmonics within the rotor–stator clearances. The data obtained in this study are consistent with those of other related research results [16,17]. There is a notable phenomenon, as shown in Figure 16, Figure 17 and Figure 18, that a significant sixth harmonic component was observed in the radial force spectrum, which is one of the main differences between it and the pressure fluctuation spectrum. Comparing the Figure 17a 0.5 Q 0 curve and the Figure 18a S = 1.03 curve, the number of petals within one circle shows obvious differences. In Cui’s research [24], the radial force not only contains the main frequency and the second frequency but also exhibits a relatively significant fifth frequency component. The dynamic characteristics of the radial force are closely related to the design parameters of the hydraulic components. Due to the installation requirements of the vaned diffuser, the blades of the vaned diffuser are designed relatively thick at the outlet, which results in a reduction in the flow area at the outlet of the vaned diffuser. The blockage of the flow passage caused by the thick vaned diffuser blades leads to a periodic flow structure. This change enhances the effect of the vaned diffuser on the potential flow at the outlet of the impeller and leads to the introduction of the excitation frequencies related to the number of vaned diffuser blades. When the potential flow at the outlet of each impeller blade channel enters each guide vane channel, radial force with significant variations occurs. Therefore, the radial force exhibits a frequency of Z i · Z g · f n .

5. Conclusions

In this paper, the unsteady flow characteristics within the guide-vane centrifugal LBE pump are studied. Numerical calculations have been carried out under different conditions such as different transporting mediums, different flow rates, and different clearance ratios. The influences of these factors on the pressure fluctuation distribution characteristics and unsteady radial forces within the pump have been investigated. The main conclusions are as follows:
  • When pumping heavy-liquid-metal LBE, the head and efficiency are higher than those of pumping water. Under the rated operating conditions, the pump’s head and efficiency when transporting LBE are 3.52% and 8.05% higher than when transporting water, respectively. The difference is caused by the different flow resistance in the impeller blade walls.
  • The dimensionless pressure fluctuation distribution in LBE pump is similar to that in water pump. The maximum pressure fluctuation in the LBE pump exists in the middle of the impeller blade channel. There is significant pressure fluctuation near the rotor–stator interference zone, as well as in the upstream and downstream areas of this zone.
  • The dimensionless pressure fluctuation amplitudes of the LBE pump are relatively close under 0.5 Q 0 , 1.0 Q 0 , and 1.5 Q 0 , and it is the smallest at the rated flow rate. Under 1.0 Q 0 , the radial force fluctuation amplitude is approximately 29.7% of that under 0.5 Q 0 and 158% of that under 1.5 Q 0 . The time-domain average radial force of the pump is the lowest at the rated flow rate, while the amplitude of the 1BPF of the frequency-domain fluctuation decreases as the flow rate increases, reaching the minimum at 1.5 Q 0 .
  • The clearance ratio has a significant influence on the intensity of the rotor–stator interference effect. At small clearances, a very large amplitude in the sixth harmonic frequency occurs in the radial force, and the frequency is determined by Z i · Z g · f n . When the radial clearance ratios increase from 1.03 to 1.13, the amplitude of the sixth harmonic decreases to only 4.7% of that when the clearance ratio is 1.03.
In traditional pump designs, the recommended clearance ratio is in the range of 1.03 to 1.08. In the design of LBE pumps, in order to reduce the radial force, according to the research in this paper, a larger value is recommended.

Author Contributions

Conceptualization, K.L.; data curation, H.S. and Y.L.; formal analysis, X.M.; funding acquisition, K.L.; investigation, X.M., H.S. and C.W.; methodology, X.M.; resources, C.W.; software, Y.L.; writing—original draft, H.S.; writing—review and editing, X.M. All authors have read and agreed to the published version of the manuscript.

Funding

This work is financially supported and funded by the National Natural Science Foundation of China (U23B20107), Anhui Natural Science Foundation (2008085QE237), and Anhui Jianzhu University development project 2022XMK02.

Data Availability Statement

Data are contained within the article.

Conflicts of Interest

Author Chenyang Wang was employed by the company China Nuclear Power Technology Research Institute Co., Ltd. The remaining authors declare that the research was conducted in the absence of any commercial or financial relationships that could be construed as a potential conflict of interest.

Abbreviations

The following abbreviations are used in this manuscript:
C p Pressure coefficient
D 0 Impeller inlet diameter
D 1 Vaned diffuser inlet diameter
D 2 Impeller outlet diameter
D 3 Vaned diffuser outlet diameter
F Radial force
f B P F Blade passing frequency
f 0 Dominant frequency
f n Rotational frequency of the impeller
H d Rated head
n d Rated rotational speed
P Instantaneous pressure
P ¯ Average pressure
Q d Rated flow rate
S Rotor–stator clearance ratio
Z i Impeller blade number
Z g Vaned diffuser blade number
ƞEfficiency of pump
ν Circumferential velocity of impeller outlet
ρ Density

References

  1. Abderrahim, H.A.; De Bruyn, D.; Van den Eynde, G.; Michiels, S. Transmutation of high-level nuclear waste by means of accelerator driven system. Wiley Interdiscip. Rev. Energy Environ. 2014, 3, 60–69. [Google Scholar]
  2. Fazio, C.; Sobolev, V.P.; Aerts, A.; Gavrilov, S.; Lambrinou, K.; Schuurmans, P.; Hwang, I.S. Handbook on Lead-Bismuth Eutectic Alloy and Lead Properties, Materials Compatibility, Thermal-Hydraulics and Technologies-2015 Edition; No. 7268 Organization for Economic Co-Operation and Development; Nuclear Energy Agency: Paris, France, 2015. [Google Scholar]
  3. Noureddine, S.F.; Abbas, M.I.; Badawi, M.S. Comparative analysis of internal flow characteristics of LBE-cooled fast reactor main coolant pump with different structures under reverse rotation accident conditions. Nucl. Eng. Technol. 2021, 53, 3421–3430. [Google Scholar] [CrossRef]
  4. Zhu, R.; Chen, Y.; Lu, Y.; Wang, X.; Fu, Q. Research on structure selection and design of LBE-cooled fast reactor main coolant pump. Nucl. Eng. Des. 2021, 362, 110973. [Google Scholar] [CrossRef]
  5. Wang, K.; Li, L.; Wang, Y.; Zhang, S. Design and hydraulic performance studies on an axial lead-bismuth pump for GEN-IV reactors. Int. J. Energy Res. 2021, 45, 11822–11836. [Google Scholar] [CrossRef]
  6. Xiang, Z.; Li, L.; Xu, X.; Shi, S.; Lei, Z. Experimental and numerical studies on the hydraulic performance and the internal flow characteristics of lead-bismuth in the main coolant pump of LFR. Nucl. Eng. Des. 2024, 429, 113618. [Google Scholar] [CrossRef]
  7. Guo, Y.; Yang, C.; Wang, Y.; Lv, T. Study on the hydraulic performance of the axial flow main coolant pump for lead-cooled fast reactor. Nucl. Eng. Des. 2023, 410, 112375. [Google Scholar] [CrossRef]
  8. Lu, S.; Jiang, H.; Wu, P.; Huang, B.; Wu, D. Comparison analysis on the hydraulic performance and flow characteristics on a reactor coolant pump under rated operating condition between lead-bismuth eutectic and water mediums. J. Fluids Eng. 2025, 147, 061204. [Google Scholar] [CrossRef]
  9. Huang, B.; Liu, Y.; Pu, K.; Lu, S.; Wu, D. Transient flow analysis of pool-type reactor coolant pump under flow coast-down. Ann. Nucl. Energy 2024, 202, 110465. [Google Scholar] [CrossRef]
  10. Yang, Y.; Zhou, L.; Shi, W.; He, Z.; Han, Y.; Xiao, Y. Interstage difference of pressure pulsation in a three-stage electrical submersible pump. J. Pet. Sci. Eng. 2021, 196, 107653. [Google Scholar] [CrossRef]
  11. Ye, W.; Geng, C.; Luo, X. Unstable flow characteristics in vaneless region with emphasis on the rotor-stator interaction for a pump turbine at pump mode using large runner blade lean. Renew. Energy 2022, 185, 1343–1361. [Google Scholar] [CrossRef]
  12. Stosiak, M.; Yatskiv, I.; Prentkovskis, O.; Karpenko, M. Reduction of Pressure Pulsations over a Wide Frequency Range in Hydrostatic Systems. Machines 2025, 13, 25. [Google Scholar] [CrossRef]
  13. Zhang, N.; Yang, M.; Gao, B.; Li, Z.; Ni, D. Experimental and numerical analysis of unsteady pressure pulsation in a centrifugal pump with slope volute. J. Mech. Sci. Technol. 2015, 29, 4231–4238. [Google Scholar] [CrossRef]
  14. Cai, J.; Pan, J.; Guzzomi, A. The flow field in a centrifugal pump with a large tongue gap and back blades. J. Mech. Sci. Technol. 2014, 28, 4455–4464. [Google Scholar] [CrossRef]
  15. Kang, C.; Yu, X.; Gong, W.; Li, C.; Huang, Q. Influence of stator vane number on performance of the axial-flow pump. J. Mech. Sci. Technol. 2015, 29, 2025–2034. [Google Scholar] [CrossRef]
  16. Zhang, N.; Yang, M.; Gao, B.; Li, Z.; Ni, D. Experimental investigation on unsteady pressure pulsation in a centrifugal pump with special slope volute. J. Fluids Eng. 2015, 137, 061103. [Google Scholar] [CrossRef]
  17. Wei, Z.; Yang, W.; Xiao, R. Pressure fluctuation and flow characteristics in a two-stage double-suction centrifugal pump. Symmetry 2019, 11, 65. [Google Scholar] [CrossRef]
  18. Tan, L.; Shi, W.; Zhang, D.; Wang, C.; Zhou, L.; Mahmoud, E. Numerical and experimental investigations on the hydrodynamic radial force of single-channel pumps. J. Mech. Sci. Technol. 2018, 32, 4571–4581. [Google Scholar] [CrossRef]
  19. Jia, X.; Yuan, S.; Zhu, Z.; Cui, B. Numerical study on instantaneous radial force of a centrifugal pump for different working conditions. Eng. Comput. 2020, 37, 458–480. [Google Scholar] [CrossRef]
  20. Zhang, Y.; Kang, C.; Zhu, Y.; Kim, H.B. Investigation on the performance and flow characteristics of a liquid lead-bismuth pump. J. Mech. Sci. Technol. 2021, 35, 2939–2947. [Google Scholar] [CrossRef]
  21. Jin, J.M.; Jung, K.J.; Kim, Y.H.; Kim, Y.J. Effects of gap between impeller and volute tongue on a pressure fluctuation in double-suction pump. J. Mech. Sci. Technol. 2020, 34, 4897–4903. [Google Scholar] [CrossRef]
  22. Oro, J.F.; Perotti, R.B.; Vega, M.G.; González, J. Effect of the radial gap size on the deterministic flow in a centrifugal pump due to impeller-tongue interactions. Energy 2023, 278, 127820. [Google Scholar] [CrossRef]
  23. Posa, A.; Lippolis, A. Effect of working conditions and diffuser setting angle on pressure fluctuations within a centrifugal pump. Int. J. Heat Fluid Flow 2019, 75, 44–60. [Google Scholar] [CrossRef]
  24. Cui, B.; Li, X.; Rao, K.; Jia, X. Analysis of unsteady radial forces of multistage centrifugal pump with double volute. Eng. Comput. 2018, 35, 1500–1511. [Google Scholar] [CrossRef]
Figure 1. Hydraulic model.
Figure 1. Hydraulic model.
Energies 18 01698 g001
Figure 2. System diagram of LBE test system. (a) On-site photo; (b) flowchart.
Figure 2. System diagram of LBE test system. (a) On-site photo; (b) flowchart.
Energies 18 01698 g002
Figure 3. Comparison of numerical and experimental results.
Figure 3. Comparison of numerical and experimental results.
Energies 18 01698 g003
Figure 4. Mesh-independence verification.
Figure 4. Mesh-independence verification.
Energies 18 01698 g004
Figure 5. LBE pump monitoring points setting in (a) inlet and outlet pipe; (b) impeller and vaned diffuser.
Figure 5. LBE pump monitoring points setting in (a) inlet and outlet pipe; (b) impeller and vaned diffuser.
Energies 18 01698 g005
Figure 6. External characteristics of LBE pumps at different flow rates.
Figure 6. External characteristics of LBE pumps at different flow rates.
Energies 18 01698 g006
Figure 7. External characteristics at different flow rates and clearance ratios.
Figure 7. External characteristics at different flow rates and clearance ratios.
Energies 18 01698 g007
Figure 8. Pressure coefficients spectra at 6 picked monitoring points in (a) LBE pump; (b) water pump.
Figure 8. Pressure coefficients spectra at 6 picked monitoring points in (a) LBE pump; (b) water pump.
Energies 18 01698 g008
Figure 9. Comparison of the amplitude of dominant frequency (1BPF) of pressure fluctuation in LBE and water medium.
Figure 9. Comparison of the amplitude of dominant frequency (1BPF) of pressure fluctuation in LBE and water medium.
Energies 18 01698 g009
Figure 10. The amplitude of dominant frequency of pressure fluctuation in LBE pump under 0.5 Q 0 ,   1.0 Q 0 , 1.5 Q 0 .
Figure 10. The amplitude of dominant frequency of pressure fluctuation in LBE pump under 0.5 Q 0 ,   1.0 Q 0 , 1.5 Q 0 .
Energies 18 01698 g010
Figure 11. The Q contour in LBE pump under (a)   0.5 Q 0 ; (b)   1.0 Q 0 ; (c)   1.5 Q 0 .
Figure 11. The Q contour in LBE pump under (a)   0.5 Q 0 ; (b)   1.0 Q 0 ; (c)   1.5 Q 0 .
Energies 18 01698 g011
Figure 12. Pressure coefficient spectra at 6 picked monitoring points with clearance ratio of (a) S = 1.03; (b) S = 1.13.
Figure 12. Pressure coefficient spectra at 6 picked monitoring points with clearance ratio of (a) S = 1.03; (b) S = 1.13.
Energies 18 01698 g012
Figure 13. The comparison of amplitude of 1BPF under 5 different clearance ratios.
Figure 13. The comparison of amplitude of 1BPF under 5 different clearance ratios.
Energies 18 01698 g013
Figure 14. Total pressure contours of different rotor–stator clearance ratios in LBE pump: (a) S = 1.03; (b) S = 1.05; (c) S = 1.07; (d) S = 1.09; (e) S = 1.13.
Figure 14. Total pressure contours of different rotor–stator clearance ratios in LBE pump: (a) S = 1.03; (b) S = 1.05; (c) S = 1.07; (d) S = 1.09; (e) S = 1.13.
Energies 18 01698 g014
Figure 15. Q contours of different rotor–stator clearance ratios in LBE pump: (a) S = 1.03; (b) S = 1.05; (c) S = 1.07; (d) S = 1.09; (e) S = 1.13.
Figure 15. Q contours of different rotor–stator clearance ratios in LBE pump: (a) S = 1.03; (b) S = 1.05; (c) S = 1.07; (d) S = 1.09; (e) S = 1.13.
Energies 18 01698 g015aEnergies 18 01698 g015b
Figure 16. Instantaneous radial forces for LBE and water medium. (a) Radial force in one revolution; (b) radial force spectra.
Figure 16. Instantaneous radial forces for LBE and water medium. (a) Radial force in one revolution; (b) radial force spectra.
Energies 18 01698 g016
Figure 17. Instantaneous radial forces for different flow rates in LBE pump. (a) Radial force in one revolution; (b) radial force spectra with magnitudes in parentheses.
Figure 17. Instantaneous radial forces for different flow rates in LBE pump. (a) Radial force in one revolution; (b) radial force spectra with magnitudes in parentheses.
Energies 18 01698 g017
Figure 18. Instantaneous radial forces for different clearance ratios in LBE pump. (a) Radial force in one revolution; (b) radial force spectra.
Figure 18. Instantaneous radial forces for different clearance ratios in LBE pump. (a) Radial force in one revolution; (b) radial force spectra.
Energies 18 01698 g018
Table 1. Pump design parameters.
Table 1. Pump design parameters.
Rated flow rate, Q 0 ( m 3 / h )48
Rated head, H 0 (m)20
Rotating speed, n (r/min)1450
Impeller blade number, Z i 5
Impeller inlet diameter, D 0 (mm)80
Impeller outlet diameter, D 2 (mm)280
Vaned diffuser inlet diameter, D 1 (mm)300
Vaned diffuser outlet diameter, D 3 (mm)390
Vaned diffuser blade number, Z g 6
Table 2. Measurement instruments information.
Table 2. Measurement instruments information.
SensorRangeAccuracyLocation/Number
Pressure transmitters0.55–25.16 bar±20 mbarPump inlet pipe/PT101
0.55–25.16 bar±20 mbarPump outlet pipe/PT102
Flow meter0–23.95 m3/h0.75%Pump outlet pipe/FT101
Rotate speed0–3000 rpm±0.1%Outside the pump shaft/NT101
Liquid levelOn/off status--Inside the pump tank/LT101, LT102, and LT103
Thermometer0–1372 °C±1.5 °CInside the pump tank/TT101
Table 3. Physical property parameters of LBE and water.
Table 3. Physical property parameters of LBE and water.
Medium Density   ( k g / m 3 ) Dynamic   Viscosity   ( P a · s )
LBE10,3000.00176
Water998.20.001003
Table 4. Radial force amplitudes in frequency domain for LBE and water medium (N).
Table 4. Radial force amplitudes in frequency domain for LBE and water medium (N).
MediumTime DomainFrequency Domain
Average1BPF2BPF6BPF
LBE364.76440.739.5
water35.36.034.756.08
Table 5. Radial force amplitudes under different flow rates (N).
Table 5. Radial force amplitudes under different flow rates (N).
Flow RateTime DomainFrequency Domain
Average1BPF2BPF6BPF
0.5 Q 0 45021920.824.2
1.0 Q 0 364.76540.241.5
1.5 Q 0 611418.618.3
Table 6. Radial force amplitudes under different clearance ratios (N).
Table 6. Radial force amplitudes under different clearance ratios (N).
STime DomainFrequency Domain
Average1BPF2BPF6BPF
1.03629.1174.4169.8
1.05457.582.311.878.3
1.07364.76540.241.5
1.09301.449.516.523
1.13241.150.422.67.9
Disclaimer/Publisher’s Note: The statements, opinions and data contained in all publications are solely those of the individual author(s) and contributor(s) and not of MDPI and/or the editor(s). MDPI and/or the editor(s) disclaim responsibility for any injury to people or property resulting from any ideas, methods, instructions or products referred to in the content.

Share and Cite

MDPI and ACS Style

Ma, X.; Sheng, H.; Wang, C.; Lu, Y.; Lyu, K. Study on the Unsteady Pressure Fluctuations and Radial Forces in a Vaned-Diffuser Heavy-Liquid-Metal Centrifugal Pump. Energies 2025, 18, 1698. https://doi.org/10.3390/en18071698

AMA Style

Ma X, Sheng H, Wang C, Lu Y, Lyu K. Study on the Unsteady Pressure Fluctuations and Radial Forces in a Vaned-Diffuser Heavy-Liquid-Metal Centrifugal Pump. Energies. 2025; 18(7):1698. https://doi.org/10.3390/en18071698

Chicago/Turabian Style

Ma, Xudan, Hui Sheng, Chenyang Wang, Yao Lu, and Kefeng Lyu. 2025. "Study on the Unsteady Pressure Fluctuations and Radial Forces in a Vaned-Diffuser Heavy-Liquid-Metal Centrifugal Pump" Energies 18, no. 7: 1698. https://doi.org/10.3390/en18071698

APA Style

Ma, X., Sheng, H., Wang, C., Lu, Y., & Lyu, K. (2025). Study on the Unsteady Pressure Fluctuations and Radial Forces in a Vaned-Diffuser Heavy-Liquid-Metal Centrifugal Pump. Energies, 18(7), 1698. https://doi.org/10.3390/en18071698

Note that from the first issue of 2016, this journal uses article numbers instead of page numbers. See further details here.

Article Metrics

Back to TopTop