Influence of Microwave Thermohydrolysis on Biomass Digestion
Abstract
1. Introduction
2. Materials and Methods
2.1. Experimental Conditions
2.2. Substrate Preparation
2.3. Thermohydrolysis
2.4. Anaerobic Digestion
2.5. Analysis of Phenolic and Furan Compounds
2.6. Statistical Analyses
3. Results and Discussion
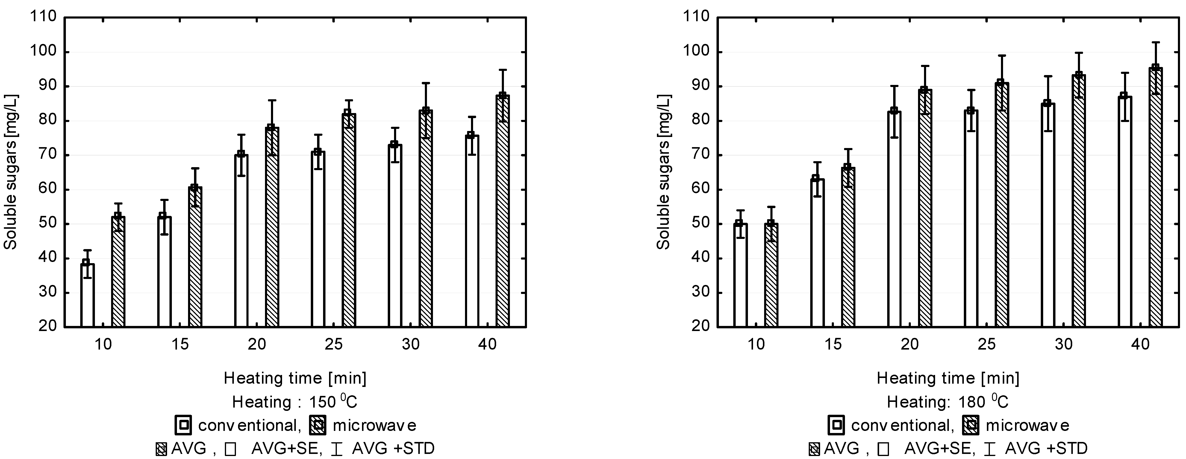
3.1. Efficiency of Releasing Soluble Sugars and the Mass Balance of Dissolution
3.2. Biogas Production
3.3. Production of Phenolic and Furanic Compounds
3.4. Energy Balance
4. Conclusions
Author Contributions
Funding
Data Availability Statement
Conflicts of Interest
References
- Jaffur, N.; Jeetah, P.; Kumar, G. A Review on Enzymes and Pathways for Manufacturing Polyhydroxybutyrate from Lignocellulosic Materials. 3 Biotech 2021, 11, 483. [Google Scholar] [CrossRef]
- Hassan, S.S.; Williams, G.A.; Jaiswal, A.K. Emerging Technologies for the Pretreatment of Lignocellulosic Biomass. Bioresour. Technol. 2018, 262, 310–318. [Google Scholar] [CrossRef] [PubMed]
- Mamimin, C.; O-Thong, S.; Reungsang, A. Enhancing Biogas Production from Hemp Biomass Residue through Hydrothermal Pretreatment and Co-Digestion with Cow Manure: Insights into Methane Yield, Microbial Communities, and Metabolic Pathways. J. Environ. Manag. 2024, 370, 123039. [Google Scholar] [CrossRef] [PubMed]
- Acharya, S.; Liyanage, S.; Abidi, N.; Parajuli, P.; Rumi, S.S.; Shamshina, J.L. Utilization of Cellulose to Its Full Potential: A Review on Cellulose Dissolution, Regeneration, and Applications. Polymers 2021, 13, 4344. [Google Scholar] [CrossRef]
- Díez, D.; Urueña, A.; Piñero, R.; Barrio, A.; Tamminen, T. Determination of Hemicellulose, Cellulose, and Lignin Content in Different Types of Biomasses by Thermogravimetric Analysis and Pseudocomponent Kinetic Model (TGA-PKM Method). Processes 2020, 8, 1048. [Google Scholar] [CrossRef]
- Wu, Z.; Peng, K.; Zhang, Y.; Wang, M.; Yong, C.; Chen, L.; Qu, P.; Huang, H.; Sun, E.; Pan, M. Lignocellulose Dissociation with Biological Pretreatment towards the Biochemical Platform: A Review. Mater. Today Bio 2022, 16, 100445. [Google Scholar] [CrossRef]
- Martínez-Gutiérrez, E. Biogas Production from Different Lignocellulosic Biomass Sources: Advances and Perspectives. 3 Biotech 2018, 8, 233. [Google Scholar] [CrossRef]
- Mankar, A.R.; Pandey, A.; Modak, A.; Pant, K.K. Pretreatment of Lignocellulosic Biomass: A Review on Recent Advances. Bioresour. Technol. 2021, 334, 125235. [Google Scholar] [CrossRef]
- Li, M.; Pu, Y.; Ragauskas, A.J. Current Understanding of the Correlation of Lignin Structure with Biomass Recalcitrance. Front. Chem. 2016, 4, 45. [Google Scholar] [CrossRef]
- Martín, C.; Dixit, P.; Momayez, F.; Jönsson, L.J. Hydrothermal Pretreatment of Lignocellulosic Feedstocks to Facilitate Biochemical Conversion. Front. Bioeng. Biotechnol. 2022, 10, 846592. [Google Scholar] [CrossRef]
- Kim, H.; Ahn, Y.; Kwak, S.Y. Comparing the Influence of Acetate and Chloride Anions on the Structure of Ionic Liquid Pretreated Lignocellulosic Biomass. Biomass Bioenergy 2016, 93, 243–253. [Google Scholar] [CrossRef]
- Manyi-Loh, C.E.; Lues, R. Anaerobic Digestion of Lignocellulosic Biomass: Substrate Characteristics (Challenge) and Innovation. Fermentation 2023, 9, 755. [Google Scholar] [CrossRef]
- Xu, N.; Liu, S.; Xin, F.; Zhou, J.; Jia, H.; Xu, J.; Jiang, M.; Dong, W. Biomethane Production from Lignocellulose: Biomass Recalcitrance and Its Impacts on Anaerobic Digestion. Front. Bioeng. Biotechnol. 2019, 7, 472405. [Google Scholar] [CrossRef] [PubMed]
- Banu, J.R.; Sugitha, S.; Kavitha, S.; Kannah, R.Y.; Merrylin, J.; Kumar, G. Lignocellulosic Biomass Pretreatment for Enhanced Bioenergy Recovery: Effect of Lignocelluloses Recalcitrance and Enhancement Strategies. Front. Energy Res. 2021, 9, 646057. [Google Scholar] [CrossRef]
- Su, C.; Wang, X.; Deng, Y.; Tian, Z.; Huang, C.; Fang, G. Comprehensive Insights of Pretreatment Strategies on the Structures and Bioactivities Variation of Lignin-Carbohydrate Complexes. Front. Bioeng. Biotechnol. 2024, 12, 1465328. [Google Scholar] [CrossRef] [PubMed]
- Duque, A.; Manzanares, P.; Ballesteros, I.; Ballesteros, M. Steam Explosion as Lignocellulosic Biomass Pretreatment. In Biomass Fractionation Technologies for a Lignocellulosic Feedstock Based Biorefinery; Elsevier: Amsterdam, The Netherlands, 2016; pp. 349–368. [Google Scholar] [CrossRef]
- Mahmud, N.; Rosentrater, K.A. Low Moisture Anhydrous Ammonia Pretreatment of Four Lignocellulosic Materials—Distillers Dried Grains with Solubles, Corn Gluten Feed, Corn Fiber, and Oil Palm Frond. Front. Energy Res. 2021, 9, 682522. [Google Scholar] [CrossRef]
- Ziegler-Devin, I.; Chrusciel, L.; Brosse, N. Steam Explosion Pretreatment of Lignocellulosic Biomass: A Mini-Review of Theorical and Experimental Approaches. Front. Chem. 2021, 9, 705358. [Google Scholar] [CrossRef]
- Jönsson, L.J.; Martín, C. Pretreatment of Lignocellulose: Formation of Inhibitory by-Products and Strategies for Minimizing Their Effects. Bioresour. Technol. 2016, 199, 103–112. [Google Scholar] [CrossRef]
- Dębowski, M.; Zieliński, M.; Nowicka, A.; Kazimierowicz, J. Influence of Microwave-Assisted Chemical Thermohydrolysis of Lignocellulosic Waste Biomass on Anaerobic Digestion Efficiency. Energies 2024, 17, 4207. [Google Scholar] [CrossRef]
- Zhang, Q.; Li, Z.; Liu, Z.; Prasetyatama, Y.D.; Oh, W.K.; Yu, I.K.M. Microwave-Assisted Biorefineries. Nat. Rev. Clean. Technol. 2025, 1–19. [Google Scholar] [CrossRef]
- Syed, N.R.; Zhang, B.; Mwenya, S.; Aldeen, A.S. A Systematic Review on Biomass Treatment Using Microwave-Assisted Pyrolysis under PRISMA Guidelines. Molecules 2023, 28, 5551. [Google Scholar] [CrossRef]
- Rao, P.; Pattabiraman, T.N. Reevaluation of the Phenol-Sulfuric Acid Reaction for the Estimation of Hexoses and Pentoses. Anal. Biochem. 1989, 181, 18–22. [Google Scholar] [CrossRef]
- Appels, L.; Houtmeyers, S.; Degrève, J.; Van Impe, J.; Dewil, R. Influence of Microwave Pre-Treatment on Sludge Solubilization and Pilot Scale Semi-Continuous Anaerobic Digestion. Bioresour. Technol. 2013, 128, 598–603. [Google Scholar] [CrossRef]
- Mitraka, G.C.; Kontogiannopoulos, K.N.; Batsioula, M.; Banias, G.F.; Zouboulis, A.I.; Kougias, P.G. A Comprehensive Review on Pretreatment Methods for Enhanced Biogas Production from Sewage Sludge. Energies 2022, 15, 6536. [Google Scholar] [CrossRef]
- Olatunji, K.O.; Ahmed, N.A.; Ogunkunle, O. Optimization of Biogas Yield from Lignocellulosic Materials with Different Pretreatment Methods: A Review. Biotechnol. Biofuels 2021, 14, 159. [Google Scholar] [CrossRef]
- Jackowiak, D.; Bassard, D.; Pauss, A.; Ribeiro, T. Optimisation of a Microwave Pretreatment of Wheat Straw for Methane Production. Bioresour. Technol. 2011, 102, 6750–6756. [Google Scholar] [CrossRef] [PubMed]
- Sapci, Z. The Effect of Microwave Pretreatment on Biogas Production from Agricultural Straws. Bioresour. Technol. 2013, 128, 487–494. [Google Scholar] [CrossRef] [PubMed]
- Saelor, S.; Kongjan, P.; Prasertsan, P.; Mamimin, C.; O-Thong, S. Enhancing Thermophilic Methane Production from Oil Palm Empty Fruit Bunches through Various Pretreatment Methods: A Comparative Study. Heliyon 2024, 10, e39668. [Google Scholar] [CrossRef]
- Budarin, V.L.; Clark, J.H.; Lanigan, B.A.; Shuttleworth, P.; Breeden, S.W.; Wilson, A.J.; Macquarrie, D.J.; Milkowski, K.; Jones, J.; Bridgeman, T.; et al. The Preparation of High-Grade Bio-Oils through the Controlled, Low Temperature Microwave Activation of Wheat Straw. Bioresour. Technol. 2009, 100, 6064–6068. [Google Scholar] [CrossRef]
- Guo, H.; Zhao, Y.; Chang, J.S.; Lee, D.J. Inhibitor Formation and Detoxification during Lignocellulose Biorefinery: A Review. Bioresour. Technol. 2022, 361, 127666. [Google Scholar] [CrossRef]
- Banerjee, S.; Sen, R.; Mudliar, S.; Pandey, R.A.; Chakrabarti, T.; Satpute, D. Alkaline Peroxide Assisted Wet Air Oxidation Pretreatment Approach to Enhance Enzymatic Convertibility of Rice Husk. Biotechnol. Prog. 2011, 27, 691–697. [Google Scholar] [CrossRef]
- Park, J.H.; Yoon, J.J.; Park, H.D.; Kim, Y.J.; Lim, D.J.; Kim, S.H. Feasibility of Biohydrogen Production from Gelidium amansii. Int. J. Hydrogen Energy 2011, 36, 13997–14003. [Google Scholar] [CrossRef]
- Yun, Y.M.; Jung, K.W.; Kim, D.H.; Oh, Y.K.; Cho, S.K.; Shin, H.S. Optimization of Dark Fermentative H2 Production from Microalgal Biomass by Combined (Acid+ultrasonic) Pretreatment. Bioresour. Technol. 2013, 141, 220–226. [Google Scholar] [CrossRef]
- Ríos-González, L.J.; Medina-Morales, M.A.; Rodríguez-De la Garza, J.A.; Romero-Galarza, A.; Medina, D.D.; Morales-Martínez, T.K. Comparison of Dilute Acid Pretreatment of Agave Assisted by Microwave versus Ultrasound to Enhance Enzymatic Hydrolysis. Bioresour. Technol. 2021, 319, 124099. [Google Scholar] [CrossRef] [PubMed]
- Zheng, Y.; Zhao, J.; Xu, F.; Li, Y. Pretreatment of Lignocellulosic Biomass for Enhanced Biogas Production. Prog. Energy Combust. Sci. 2014, 42, 35–53. [Google Scholar] [CrossRef]
- Arteaga, J.E.; Rivera-Becerril, E.; Le Borgne, S.; Sigala, J.C. Influence of Furfural on the Physiology of Acinetobacter Baylyi ADP1. FEMS Microbiol. Lett. 2024, 371, 59. [Google Scholar] [CrossRef]
- Nowicka, A.; Zieliński, M.; Dębowski, M.; Dudek, M. Progress in the Production of Biogas from Maize Silage after Acid-Heat Pretreatment. Energies 2021, 14, 8018. [Google Scholar] [CrossRef]
- Zupančič, G.D.; Lončar, A.; Ranilović, J.; Šubarić, D.; Panjičko, M. The Influence of Polyphenolic Compounds on Anaerobic Digestion of Pepper Processing Waste during Biogas and Biomethane Production. Processes 2024, 12, 913. [Google Scholar] [CrossRef]
- Mikucka, W.; Zielinska, M. Individual Phenolic Acids in Distillery Stillage Inhibit Its Biomethanization. Energies 2022, 15, 5377. [Google Scholar] [CrossRef]



| Parameter | Unit | Value |
|---|---|---|
| Total solids | [mg/g] | 360.0 ± 11.0 |
| Volatile solids | [mg/g] | 326.0 ± 9.1 |
| Mineral solids | [mg/g] | 34.0 ± 2.0 |
| Cellulose | [%] | 20.1 ± 0.5 |
| Hemicellulose | [%] | 14.6 ± 0.3 |
| Lignin | [%] | 12.6 ± 0.1 |
| Temperature [°C] | Reaction Rate r [mg/min] | Reaction Rate Constant k [min–1] | ||
|---|---|---|---|---|
| Conventional Heating | Microwave Heating | Conventional Heating | Microwave Heating | |
| 130 | 3.82 | 4.04 | 0.05 | 0.04 |
| 150 | 5.82 | 7.28 | 0.07 | 0.08 |
| 180 | 7.47 | 7.30 | 0.08 | 0.07 |
| Heating Conditions | Soluble Sugars and By-Products Concentration [mg/L] | Σ Soluble Sugars/ Σ Furans | Σ Soluble Sugars/ Σ Furans and Phenols | ||||
|---|---|---|---|---|---|---|---|
| Soluble Sugars | Furfural | 5-HMF | Phenols | ||||
| Control | * ND | ** 29 ± 3 | 21 ± 1 | 20 ±2 | - | - | |
| 100 °C | conventional | ND | 31 ± 3 | 20 ± 2 | 21 ±1 | - | - |
| microwave | ND | 31 ± 2 | 21 ± 2 | 21 ±2 | - | - | |
| 130 °C | conventional | 52 ± 4 | 31 ± 3 | 23 ± 1 | 20 ±1 | 0.96 | 0.70 |
| microwave | 63 ± 3 | 32 ± 2 | 27 ± 3 | 25 ±3 | 1.07 | 0.75 | |
| 150 °C | conventional | 70 ± 4 | 32 ± 1 | 23 ± 2 | 22 ±2 | 1.27 | 0.91 |
| microwave | 78 ± 5 | 35 ± 4 | 28 ± 2 | 26 ±2 | 1.24 | 0.88 | |
| 180 °C | conventional | 82 ± 6 | 34 ± 3 | 24 ± 3 | 25 ±3 | 1.41 | 0.99 |
| microwave | 89 ± 4 | 38 ± 3 | 30 ± 4 | 28 ±3 | 1.31 | 0.93 | |
| Heating Conditions | Correlation Coefficient R | ||
|---|---|---|---|
| Furfural | 5-HMF | Phenols | |
| Conventional | 0.91 | 0.82 | 0.82 |
| Microwave | 0.96 | 0.94 | 0.96 |
| Temperature [°C] | Energy Inputs Taking into Account the Efficiency of Conventional Heating 90% [Wh/kg] | Energy Input Taking into Account Microwave Heating Efficiency 50% [Wh/kg] | Energy Production Increase After Thermal Depolymerization Conventional Heating [Wh/kg] | Energy Production Increase After Thermal Depolymerization Microwave Heating [Wh/kg] | Energy Production Difference After Taking into Account Inputs Conventional Heating [Wh/kg] | Energy Production Difference After Taking into Account Inputs Microwave Heating [Wh/kg] |
|---|---|---|---|---|---|---|
| 100 | 77.3 | 139.2 | 64.0 | 93.0 | −13.3 | −46.2 |
| 130 | 116.0 | 208.8 | 116.5 | 227.0 | 0.5 | 18.2 |
| 150 | 141.8 | 255.2 | 268.0 | 426.0 | 126.2 | 170.8 |
| 180 | 180.4 | 324.8 | 292.0 | 451.0 | 111.6 | 126.2 |
Disclaimer/Publisher’s Note: The statements, opinions and data contained in all publications are solely those of the individual author(s) and contributor(s) and not of MDPI and/or the editor(s). MDPI and/or the editor(s) disclaim responsibility for any injury to people or property resulting from any ideas, methods, instructions or products referred to in the content. |
© 2025 by the authors. Licensee MDPI, Basel, Switzerland. This article is an open access article distributed under the terms and conditions of the Creative Commons Attribution (CC BY) license (https://creativecommons.org/licenses/by/4.0/).
Share and Cite
Nowicka, A.; Dudek, M.; Dębowski, M.; Markowski, M.; Białobrzewski, I.; Zieliński, M. Influence of Microwave Thermohydrolysis on Biomass Digestion. Energies 2025, 18, 1370. https://doi.org/10.3390/en18061370
Nowicka A, Dudek M, Dębowski M, Markowski M, Białobrzewski I, Zieliński M. Influence of Microwave Thermohydrolysis on Biomass Digestion. Energies. 2025; 18(6):1370. https://doi.org/10.3390/en18061370
Chicago/Turabian StyleNowicka, Anna, Magda Dudek, Marcin Dębowski, Marek Markowski, Ireneusz Białobrzewski, and Marcin Zieliński. 2025. "Influence of Microwave Thermohydrolysis on Biomass Digestion" Energies 18, no. 6: 1370. https://doi.org/10.3390/en18061370
APA StyleNowicka, A., Dudek, M., Dębowski, M., Markowski, M., Białobrzewski, I., & Zieliński, M. (2025). Influence of Microwave Thermohydrolysis on Biomass Digestion. Energies, 18(6), 1370. https://doi.org/10.3390/en18061370

