Galloping Performance of Transmission Line System Aeroelastic Model with Rime Through Wind-Tunnel Tests
Abstract
1. Introduction
2. Aeroelastic Model and Wind-Tunnel Test
2.1. Aeroelastic Model
2.2. Wind-Tunnel Test
3. Experiment Results of the Conductors
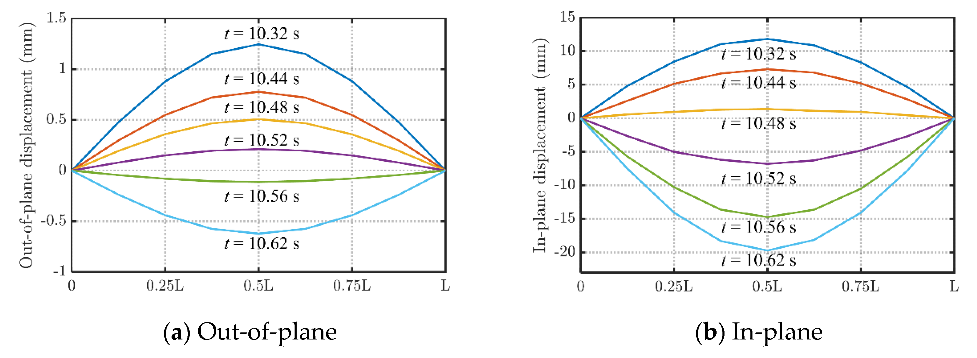
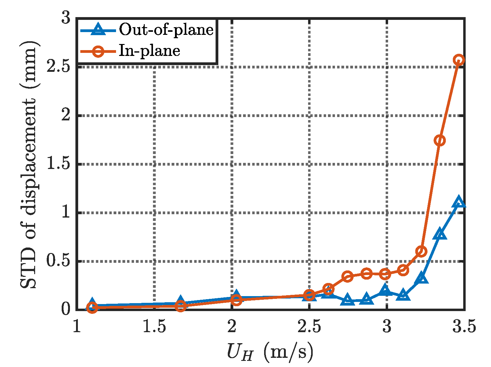
3.1. Response of Single-Span Conductors
3.2. Response of Multi-Span Conductors
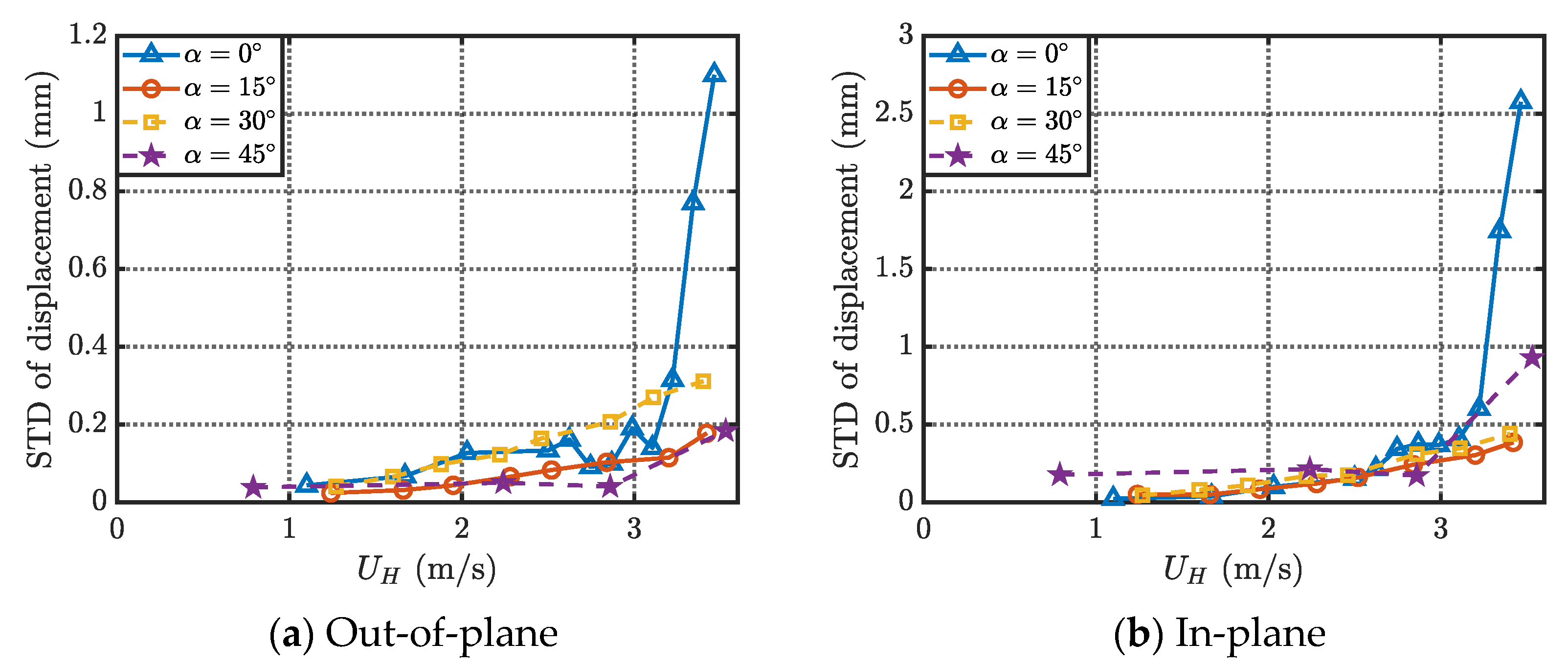
3.3. Influence of Wind Direction on Donfuctor
4. The Response of Transmission Tower
4.1. Influence of Coupled Effect
4.2. Influence of Wind Direction on Tower
5. Findings and In-Depth Discussion
- The single- and two-span conductors with rime have the galloping phenomenon at a relatively low wind speed, and the vibration amplitude increases to a steady-state value. Before the galloping happens, the response of the conductor is very stochastic, which is a buffeting vibration. When the galloping happens, the response of the conductor is a narrow-band vibration, and the trajectory of the response becomes an obvious ellipse.
- The characteristics of the galloping responses of single-span and two-span conductors are different under the same angle of attack. In the wind-tunnel test, it is shown that the vibration frequencies and vibration modes are different for the galloping responses of single- and two-span conductors. The galloping response of the two-span conductor is more complicated because the antisymmetric mode may happen, and the galloping initiation wind speed decreases from 3.8 m/s for the single-span conductor to 3.1 m/s. The vibration amplitude for two-span conductor is larger than that of single-span conductor under the same wind speed. The trajectories of the displacements of single- and two-span conductors are also different due to the different phases.
- The wind direction has influence on the response of the conductor. It is found in the wind-tunnel test that the 90° between the wind and conductor (α = 0°) is the most dangerous direction, which is more prone to galloping. This phenomenon conforms to the current design specifications.
- The coupling effect between the transmission tower and the conductor has little effect on the response of tower; however, the response of the tower without lines is very small. Even when the conductor has a galloping vibration, the effect of the conductor has little influence on the response of the tower. The wind direction has no influence on the responses of the towers with and without lines.
Author Contributions
Funding
Data Availability Statement
Acknowledgments
Conflicts of Interest
References
- Song, J.; Liang, S.; Mei, X.; Zou, L. Wind-induced tension and deflection of multi-span bundled transmission conductors using aeroelastic model wind tunnel test. Eng. Struct. 2022, 256, 114011. [Google Scholar] [CrossRef]
- Azzi, Z.; Elawady, A.; Irwin, P.; Chowdhury, A.G.; Abi Shdid, C. Aeroelastic modeling to study the wind-induced response of a self-supported lattice tower. Eng. Struct. 2022, 245, 112885. [Google Scholar] [CrossRef]
- Blevins, R.D.; Iwan, W.D. The galloping response of a two-degree-of-freedom system. J. Appl. Mech. 1974, 41, 1113–1118. [Google Scholar] [CrossRef]
- Jones, K. Coupled vertical and horizontal galloping. J. Eng. Mech. 1992, 118, 92–107. [Google Scholar] [CrossRef]
- Liu, X.; Huo, B. Nonlinear vibration and multimodal interaction analysis of conductor with thin ice accretions. Int. J. Appl. Mech. 2015, 7, 1550007. [Google Scholar] [CrossRef]
- Liu, P.; Zhou, A.; Huo, B.; Liu, X. Limit cycle bifurcations in the in-plane galloping of iced transmission line. J. Appl. Anal. Comput. 2020, 10, 1355–1374. [Google Scholar] [CrossRef]
- Wu, Y.; Chen, X. Prediction and characterization of three-dimensional multi-mode coupled galloping of multi-span ice-accreted transmission conductors. J. Wind Eng. Ind. Aerodyn. 2023, 241, 105516. [Google Scholar] [CrossRef]
- Desai, Y.M.; Shah, Y.A.; Popplewell, N. Perturbation-based finite element analyses of transmission line galloping. J. Sound Vib. 1996, 191, 469–489. [Google Scholar] [CrossRef]
- Yan, B.; Liu, X.H.; Lv, X.; Zhou, L. Investigation into galloping characteristics of iced quad bundle conductors. J. Vib. Control 2016, 22, 965–987. [Google Scholar] [CrossRef]
- Braun, A.L.; Awruch, A.M. Aerodynamic and aeroelastic analysis of bundled cables by numerical simulation. J. Sound Vib. 2005, 284, 51–73. [Google Scholar] [CrossRef]
- Hu, J.; Yan, B.; Zhou, S.; Zhang, H. Numerical investigation on galloping of iced quad bundle conductors. IEEE Trans. Power Deliv. 2012, 27, 784–792. [Google Scholar] [CrossRef]
- Zhou, L.; Yan, B.; Zhang, L.; Zhou, S. Study on galloping behavior of iced eight bundle conductor transmission lines. J. Sound Vib. 2016, 362, 85–110. [Google Scholar] [CrossRef]
- Loredo-Souza, A.M.; Davenport, A.G. A novel approach for wind tunnel modelling of transmission line. J. Wind Eng. Ind. Aerodyn. 2001, 89, 1017–1029. [Google Scholar] [CrossRef]
- Xie, Q.; Sun, Q.; Guan, Z.; Zhou, Y. Wind tunnel test on global drag coefficients of multi-bundled conductors. J. Wind Eng. Ind. Aerodyn. 2013, 120, 9–18. [Google Scholar] [CrossRef]
- Xu, H.J.; Deng, H.Z.; Hu, X.Y.; Ma, X. Wind tunnel test on aerodynamic coefficients of multi-bundled conductors under skew winds. J. Fluids Struct. 2019, 91, 102702. [Google Scholar] [CrossRef]
- Lou, W.; Yang, Y.; Lu, M.; Lyu, Z. Conductor swinging dynamic characteristic and calculation model of continuous multi-span transmission line. Electr. Power Constr. 2015, 36, 135–154. (In Chinese) [Google Scholar]
- Huo, B.; Li, X.; Cui, F.; Yang, S. Theoretical analysis and experimental validation on galloping of iced conductors in a moderating airflow. Shock Vib. 2021, 1, 9969435. [Google Scholar] [CrossRef]
- Gao, M.; Chen, Z.; Su, J.; Su, N.; Liu, C.; Zhang, J.; Chen, H. Experimental study on the galloping characteristics of single ice-coated transmission lines under oblique flows. Sci. Rep. 2023, 13, 5172. [Google Scholar] [CrossRef]
- Liang, S.; Zou, L.; Wang, D.; Cao, H. Investigation on Wind Tunnel Tests of a Full Aeroelastic Model of Electrical Transmission Tower-Line System. Eng. Struct. 2015, 85, 63–72. [Google Scholar] [CrossRef]
- Lou, W.; Huang, C.; Huang, M.; Yu, J. An aerodynamic anti-galloping technique of iced 8-bundled conductors in ultra-high-voltage conductors. J. Wind Eng. Ind. Aerodyn. 2019, 193, 103972. [Google Scholar] [CrossRef]
- Azzi, Z.; Elawady, A.; Irwin, P.; Chowdhury, A.G.; Shdid, C.A. Aeroelastic modeling to investigate the wind-induced response of a multi-span transmission lines system. Wind Struct. 2022, 34, 231–257. [Google Scholar]
- Cui, F.; Liu, P.; Wang, H.; Li, Z. A simultaneous measurement method for multi-direcitonal galloping of iced bundled conductors and its application in spatial galloping behavior. Meas. Sci. Technol. 2024, 5, 076005. [Google Scholar] [CrossRef]
- DL/T 5154-2012; Technical Regulations for the Design of Tower Structures for Overhead Transmission Lines. Electric Power Industry Standard of the People’s Republic of China: Beijing, China, 2012.



























| Parameter | Symbol | Unit | Similarity Ratio |
|---|---|---|---|
| Length | m | λL = 1:20 | |
| Wind speed | m/s | λU = 1:2.3 | |
| Frequency | Hz | λf = λU/λL = 8.696:1 | |
| Mass per unit length | kg/m | λm = (λL)2 = 1:202 | |
| Stiffness | N | λEA = (λL)2(λU)2 = 1:2116 | |
| Damping ratio | / | λζ = 1 |
| Rime Area | Rime Mass | Mass of Line with Rime | Mass | |
|---|---|---|---|---|
| Standard Model | Equivalent Model | |||
| 0.000421 | 378.8761 g | 1726.376 g | 4.316 g | 28.773 g |
| Mode | Aeroelastic Model | Theoretical Value | Error | |
|---|---|---|---|---|
| Longitudinal direction | First mode | 22.78 | 23.01 | −1.00% |
| Second mode | 58.12 | 64.56 | −9.98% | |
| Transverse direction | First mode | 24.79 | 23.26 | 6.58% |
| Second mode | 59.98 | 66.33 | −9.58% | |
| Mode | Aeroelastic Model | Theoretical Value | Error |
|---|---|---|---|
| First mode (out-of-plane) | 1.45 | 1.54 | −5.8% |
| First mode (in-plane) | 1.94 | 1.85 | 4.86% |
Disclaimer/Publisher’s Note: The statements, opinions and data contained in all publications are solely those of the individual author(s) and contributor(s) and not of MDPI and/or the editor(s). MDPI and/or the editor(s) disclaim responsibility for any injury to people or property resulting from any ideas, methods, instructions or products referred to in the content. |
© 2025 by the authors. Licensee MDPI, Basel, Switzerland. This article is an open access article distributed under the terms and conditions of the Creative Commons Attribution (CC BY) license (https://creativecommons.org/licenses/by/4.0/).
Share and Cite
Zhao, M.; Li, M.; Li, S.; Wan, Y.; Hai, Y.; Li, C. Galloping Performance of Transmission Line System Aeroelastic Model with Rime Through Wind-Tunnel Tests. Energies 2025, 18, 1203. https://doi.org/10.3390/en18051203
Zhao M, Li M, Li S, Wan Y, Hai Y, Li C. Galloping Performance of Transmission Line System Aeroelastic Model with Rime Through Wind-Tunnel Tests. Energies. 2025; 18(5):1203. https://doi.org/10.3390/en18051203
Chicago/Turabian StyleZhao, Mingguan, Meng Li, Shenglong Li, Yuanhao Wan, Yang Hai, and Chunguang Li. 2025. "Galloping Performance of Transmission Line System Aeroelastic Model with Rime Through Wind-Tunnel Tests" Energies 18, no. 5: 1203. https://doi.org/10.3390/en18051203
APA StyleZhao, M., Li, M., Li, S., Wan, Y., Hai, Y., & Li, C. (2025). Galloping Performance of Transmission Line System Aeroelastic Model with Rime Through Wind-Tunnel Tests. Energies, 18(5), 1203. https://doi.org/10.3390/en18051203
