Next Article in Journal
Underground Hydrogen Storage: Insights for Future Development
Previous Article in Journal
Numerical Analysis of Thermal Performance of PCM-Containing Honeycomb Wallboard for Building Energy Harvesting
 
 
Font Type:
Arial Georgia Verdana
Font Size:
Aa Aa Aa
Line Spacing:
Column Width:
Background:
Article

Extension and Validation of the Short-Cut GMM Model for Biomass-to-Electricity Applications

Department of Science and Technology for Sustainable Development and One Health, Università Campus Bio-Medico di Roma, Via Álvaro del Portillo, 21, 00128 Rome, Italy
*
Author to whom correspondence should be addressed.
Energies 2025, 18(21), 5721; https://doi.org/10.3390/en18215721
Submission received: 29 September 2025 / Revised: 25 October 2025 / Accepted: 27 October 2025 / Published: 30 October 2025
(This article belongs to the Section B2: Clean Energy)

Abstract

This study extends the application and validation of the Gibbs Free Energy Gradient Method (GMM) for modelling gasification processes, focusing on scaling up from pilot to commercial operations. The model simulates syngas production using poplar wood and olive pomace briquettes under various gasification conditions. Experimental data from a downdraft gasifier were employed to refine the model parameters, achieving accurate predictions of syngas composition with an average error below 8%. Sensitivity analyses highlight the impact of operating conditions, particularly temperature and air flow rates, on the syngas calorific value, hydrogen yield, and energy efficiency. These results emphasize the potential of biomass residues, such as olive pomace, for sustainable energy production in a circular economy context. The findings demonstrate the robustness of the GMM for predicting gasification performance and offer practical guidance for scaling up biomass-to-energy systems while optimizing efficiency and reducing waste.

1. Introduction

The systemic crises of recent decades have progressively shifted the attention of policy makers from a primary focus on energy system affordability toward a more comprehensive set of requirements accounting for its resilience, security, and sustainability [1,2,3]. Within this context, bioeconomy has emerged as a potential solution, this being an economic model “where the basic building blocks for materials, chemicals and energy are derived from renewable biological resources” [1,2,4,5]. Within this framework, bioenergy derives from the valorization and conversion of biomass and has gained significant attention as a renewable energy source (RES) due to its potential to reduce greenhouse gas (GHG) emissions and contribute to sustainable energy production. Differently from the other RESs, bioenergy is not subject to intermittency issues and offers the chance of unlocking a continuous, tunable, and clean generation of electrical and thermal energy, as well as a fuel for transport [4,5]. Going beyond biomass combustion, prominent studies have explored the potentialities of modern bioenergy, encompassing the conversion of biomass into energy through various processes, including combustion, gasification, and anaerobic digestion [6,7,8,9,10]. In particular, the development of Bioenergy with Carbon Capture and Storage (BECCS) has emerged as a critical technology for mitigating climate change by enabling negative emissions. Prominent works by Azar et al. [11], Smith et al. [5], and Hayat et al. [2] have assessed the feasibility and implications of BECCS systems in achieving global climate targets. Together, these studies highlight the dual role of biomass as both an RES and a tool for carbon sequestration, forming the foundation for ongoing research and innovation in the field of bioenergy. According to the 2024 Global Status Report of the CCS Institute, there are five operational BECCS plants, all located in the United States and providing a comprehensive capture capacity of roughly 2 Mtpa of CO2, though their number is expected to substantially increase in the coming years [12].
However, further research is required to enhance the design of such plants, with a particular emphasis on biomass-to-energy conversion processes. Among the different pathways to obtain bioenergy, gasification is a thermochemical conversion process occurring at a high temperature (in the range 750–900 °C) and in the presence of a gasifying agent (this being either air, oxygen, steam, or a mixture of them) that reacts with biomass [7,10,13]. The product gas, also referred to as syngas, is mostly composed of hydrogen (H2), carbon monoxide (CO), carbon dioxide (CO2), and methane (CH4), along with traces of solid products (char), inorganic contaminants, and organic contaminants (tar) [13,14,15].
The efficacy of a gasifier depends on a series of interconnected phenomena, the complexity and inherent variability of which render performance prediction challenging. Therefore, research on the design and modelling of biomass gasification has been critical for the optimization of the biomass conversion and process thermal efficiency [14,15,16,17,18]. Modelling and simulation tools are valuable for exploring different operating conditions and optimizing the process, as they help in predicting process performance and providing a comprehensive representation of the chemical and physical phenomena, thus facilitating the scale up from laboratory- to pilot-scale equipment through kinetic, thermodynamic, and Computational Fluid Dynamic (CFD) models [14,15,16]. Early models primarily focused on the thermodynamic and kinetic aspects of the gasification process, aiming to predict key parameters such as temperature, gas composition, and reaction rates [18,19,20,21,22]. Thermodynamic models predict syngas composition based on the assumption that reactants react in a fully mixed condition for an infinite time [21,22]. The advantage of these models is their independence from gasifier design, allowing them to describe a wide range of plants without specific restrictions; on the other hand, thermodynamic equilibrium cannot be achieved in “real” gasifiers under a wide range of operating conditions [16,17]. Kinetic models predict syngas yield and composition over time or volume in a flowing medium, but their applicability is limited to specific reactor configurations, with increasing complexity as reactor design becomes more intricate, and they require the experimental measurement of physico-chemical parameters, limiting their generalizability and deeper understanding of process trends [18,19,20]. CFD and multiphase flow modelling provide detailed insights into gas–solid–liquid interactions in gasifiers, enabling accurate predictions of syngas composition, temperature profiles, and species concentrations—particularly in fluidized bed reactors—and the supporting optimization of gasifier design, operating conditions, and biomass feedstock variability. However, the drawbacks include a high computational effort and limited extendibility, as the results are tied to specific geometries [21,22,23,24].
There is an increasing demand for short-cut models that can reliably predict gasifier design and optimization, while minimizing computational effort and the need for many experimental inputs. Once trained and validated on experimental data, these models can be integrated into commercial process simulators or used for comprehensive techno-economic analyses. The Gibbs Free Energy Gradient Method (GMM), originally proposed by this research group in 2011 [25,26], has been successfully applied in numerous gasification contexts. It represents a short-cut modelling approach, capable of providing rapid and reliable predictions of gasifier performance for design and optimization purposes. On the other hand, this model does not involve black-box approaches or empirical formulas but relies on rigorous non-equilibrium training. GMM training ensures a strong physical basis in the calibration phase; once trained, it becomes a versatile and computationally efficient tool, easily adaptable to different feedstocks, operating conditions, and reactor geometries. Previous studies have demonstrated its capability to reproduce experimental data obtained with different biomasses and waste-derived fuels and unreacted carbon residues, as well as its applicability for scaling up a rotary kiln gasifier operation [25,26,27].
The present study extends the GMM to different reactor geometries and gasifying agents, applying it to residual biomass, particularly agricultural residues and forestry by-products. In Italy, forests cover 9.6 million hectares (about 32% of the national territory), and timber stocks have increased by 54% over the past two decades, reaching 5.2% of EU stocks [28,29]. Despite this, woody biomass remains underutilized due to its fragmented ownership, difficult terrain, and limited infrastructure [30]. Additional biomass sources include agri-food residues, such as olive pomace, grape marc, rice husks, and canning by-products. Valorizing these resources is thus key to advancing a bio-based circular economy in line with the Italian Bioeconomy Action Plan [31,32]. Poplar wood (POP) and olive pomace (OP) briquettes were selected for their proven ability to produce syngas with a higher energy density [33] and availability (~2.3 Gton for OP) [31]. From a techno-scientific perspective, the refinement and validation of the model with experimental data from a commercial downdraft gasifier operating on air allow for the accurate prediction of syngas composition under realistic conditions. Moreover, by integrating model validation with a systematic sensitivity analysis, the study offers valuable insights into the role of operating parameters, particularly temperature and air flow, in regulating the hydrogen yield, calorific value, and process efficiency. These outcomes are intended not only to advance the methodological robustness of the GMM but also to support the wider deployment of biomass gasification plants, facilitating the sustainable valorization of agricultural and forestry residues.

2. Materials and Methods

2.1. Experimental Setup

The experimental data presented in this work were collected during a dedicated test campaign, carried out on a skid-mounted pilot plant made available by the Italian company RESET S.r.l. (Rome, Italy). The facility was designed to reproduce the operating conditions of small-scale commercial gasifiers, while ensuring flexibility in feedstock choice and process monitoring. The plant integrates the full sequence of gasification steps (i.e., biomass feeding, thermal conversion, gas cleaning, and energy recovery) within a compact and transportable unit, thus providing an effective platform for experimental validation and model calibration. A simplified process scheme of the system is reported in Figure 1, which illustrates the main components and flow configuration adopted during the test campaign.
The core unit is a downdraft-type reactor with a throat height of 950 mm (based on a traditional Imbert cone), a maximum diameter of 406 mm, and a minimum diameter of 145 mm. The throat area is covered with a layer of insulating material in order to reduce heat loss. The cone is equipped with seven air nozzles, into which compressed air is introduced at a pressure of 10 mbar. The biomass is introduced from above, through a rotary valve positioned on the top of the reactor, and undergoes, while falling downwards, the various gasification phases: drying, pyrolysis, oxidation, and reduction. The syngas, while leaving the reactor, passes through two cyclones for the removal of particulate matter and char. The syngas enters the condenser at about 600 °C, where it preheats the air entering the gasifier. For the removal of vapours, mainly water and tar, the syngas then passes into a water-cooled condenser. To further reduce the tar content, the gas passes through a biomass filter, upwardly. The filter consists of a bed of wood chips, which has to be periodically replaced due to tar deposition. At the outlet of the condenser–filter group, the syngas is at around 60 °C. After filtration and a final cyclone to remove liquid droplets (tar coalescence), the syngas is fed into a four-stroke, 8-litre, V-cylinder internal combustion engine (ICE), modified for syngas combustion, coupled to a synchronous electric generator. The engine cooling mixture is sent to a plate heat exchanger, which heats a water flow from 60 °C up to a temperature of 70 °C. The water then passes into a shell and tube exchanger, where it receives additional heat from the engine’s combustion fumes, thus reaching a temperature of 85 °C, in order to be sent to external users. The system is equipped with a series of measurement instruments such as flowmeters, thermocouples to control combustion and reduction zone temperatures, resistance thermometers to measure the temperature of the preheated air entering the reactor, manometers and pressure gauges to control operating pressure, a precision balance and oven to compute the moisture content, and an MCA 100 Syn-P Analyzer to assess syngas composition. Syngas sampling is taken immediately before it enters the engine, at a temperature of approximately 60 °C. Data on syngas composition are averaged over an interval of approximately eight seconds. The results were obtained at four nominal temperature levels, both for OP and POP; each test was repeated at least three times.
The main characteristics of the feedstocks are summarized in Table 1 and provide the basis for the modelling of gasification reactions alongside the operating conditions. Both POP and OP were supplied in the form of cylindrical briquettes, with an average diameter of approximately 4 cm and a variable length between 2.5 and 4 cm. The briquetting process ensured homogeneous size and density, improving feeding stability and reproducibility of experimental tests, while also reducing the influence of particle geometry on gasification performance. Such densified forms are representative of commercially available biofuels and facilitate consistent comparison between different biomass types under controlled operating conditions.

2.2. Gibbs Free Energy Gradient Model

The Gibbs Free Energy Gradient Method (GMM) has been implemented to predict the composition and the molar flow rate of the produced syngas by varying the temperature inside the reactor, the humidity of the biomass, and the incoming fuel and air flows. The core of the model is a modified equilibrium simulation that follows the evolution of the reacting system on the Gibbs free energy surface along the steepest descent trajectory. The method is based on the principle that a reacting system evolves from its initial state towards equilibrium by following the path of the Gibbs free energy gradient and is explained in detail in our previous works [25,26], while the theoretical cornerstones and the main calculation steps are summarized below. Figure 2 represents a synthetic view of the GMM training phase.
The calculations are divided into two reactive steps: (1) the decomposition of biomass, giving rise to a primary gas mixture and a carbonaceous residue, and (2) the changes in syngas composition, driven by the occurrence of a series of reactions.
The first-step reaction of biomass with air and/or steam is reported by Equations (1)–(3), where the parameter η is associated with the oxidation reactions in the biomass decomposition stage and the parameter δ is associated with the Boudouard chemical reaction in which carbon takes part. These parameters (η and δ) control the distribution of unreacted carbonaceous residue and the composition of the primary gas (sent to the second stage of actual gasification) deriving from the decomposition of the biomass with a chemical formula of C H m O p N q S r .
2 1 η p 2 + o x C + 1 η p 2 + o x O 2 2 1 η p 2 + o x C O
η 2 p 2 + o x C H 4 + η p 2 + o x O 2 η 2 p 2 + o x C O 2 + η p 2 + o x H 2 O
δ C O δ 2 C + δ 2 C O 2
Table 2 reports the stochiometric coefficients for the global devolatilization step. The first training phase is therefore carried out by regulating η and δ to match the unreacted residues and the char. This model does not consider tar formation. As can be seen from Figure 2, the gas mixture obtained from this first step becomes the input to the following GMM step.
The second step is regulated by the extent of reaction α and β related to the WGS (Equation (4)) and the SR (Equation (5)) reaction, respectively.
CO   + H 2 O   C O 2 + H 2
C H 4 + H 2 O     CO   +   3 H 2
The extent of reactions, called α and β, are introduced for the second-step simulation.
Mass balances of the reactive gas-phase species (ni), expressed as functions of the independent reaction coordinates α and β, are reported in Equations (6)–(10).
n C H 4 α , β = n ° C H 4 β n ° C H 4
n C O α , β = n ° C O α n ° C O + β n ° C H 4 α β n ° C H 4
n H 2 O α , β =   n ° H 2 O α n ° C O β n ° C H 4 α β n ° C H 4
n C O 2 α , β =   n ° C O 2 + α n ° C O + α β n ° C H 4
n H 2 α , β =   n ° H 2 + α n ° C O + α β n ° C H 4 + 3 β n ° C H 4
As mentioned, to observe the evolution of the system from the initial conditions to the equilibrium conditions, it is necessary to refer to the Gibbs free energy G (α, β) state function of the system under fixed temperature and pressure conditions (Equation (11)). At each couple of T and P, the chemical potential of each species is calculated, and the function G (α, β) is computed.
G ( α , β ) T , P = i n i α , β μ i ( α , β , T )
μ i = μ i 0 T + R T   l n P i
where i = CO, CO2, H2O, H2, CH4, N2, and H2S; ni is the number of moles of the i-th component; µi the chemical potential of the i-th component at temperature T; and the partial pressure Pi is written by assuming and ideal mixture of gases. Figure 2 shows an example of this calculation procedure: G (α, β) appears as a surface in space, a function of α and β, and is characterized by the presence of a minimum which corresponds to the equilibrium conditions of the system. Among all the infinite paths between the initial point (α = β = 0) and the equilibrium point (α = αeq β = βeq), the system chooses the one that offers the maximum slope on the surface G (α, β) (i.e., the one characterized by the maximum G(α,β)). The algorithm numerically traces the evolution of the system by computing successive states by calculating the molar flow rates through the mass balances in Equations (6)–(10). In the present case, nitrogen (N2) and hydrogen sulphide (H2S) are considered as inert. The computation proceeds iteratively, tracking the gas composition (i.e., the set of molar fractions for each gaseous species i) that most closely reproduces the experimental outlet gas composition. The simulation stops at the coordinates (α, β) corresponding to the minimum deviation (minimization of the mean squared error, MSE, reported in Figure 2) between calculated and measured gas compositions. Figure 2 also shows a pathway in the G, α, β space according to our previous simulation [25,26].
Once the optimal model parameters (η, δ, α, β) are determined by training the GMM with the experimental data, the model can be applied predictively to investigate gasification performance in reactors of geometrically similar design and under different operating conditions. Further details are available in our previous works [25,26].

2.3. Energy Analysis

The cold gas efficiency ( η c o l d ) and the effective efficiency ( η e f f ) were calculated according to Equations (13) and (14), respectively. Since the temperature of the inlet biomass was equal to the ambient temperature and there is no heat acquisition in case of autothermal gasification with air or oxygen, the hot gas efficiency reduces to the effective efficiency. This represents the most appropriate metric for assessing the overall conversion performance of the system.
η c o l d = L H V g a s G L H V f e e d M
η e f f = L H V g a s G Δ H g a s L H V f u e l M
where LHV is the lower heating value (for the biomass feed and the gas product), G is the mass flow rate of the produced syngas, M is the mass flow rate of the feed, and ΔH is the enthalpy loss in the combustion products. Moreover, considering the whole system and including both the combustion chamber and the engine in the boundaries of thermodynamic analysis, the electrical efficiency ( η e l ) and the exergetic efficiency ( η e x ) were computed according to Equations (15) and (16) [34]. To include thermal energy import/export in the calculation, a “II-law based” approach has been proposed (Equation (16)), where thermal duties are corrected with a “Carnot based” coefficient to calculate the equivalent mechanical work. In the equation, Q 1 is the thermal duty released to a thermal fluid (i.e., water used for cogeneration purposes) at 70 °C ( T 1 ) and Q 2 is the one released to heat the same fluid at 80 °C ( T 2 ).
η e l = P e l L H V f e e d · M
η e x = P e l + Q 1 · 1 T 0 T 1 + Q 2 · 1 T 0 T 2 L H V f e e d · M
where P e l is the estimated electricity generation upon considering an electrical conversion efficiency of 0.27 for the gas engine.

3. Results and Discussion

The experimental tests were carried out on both POP and OP feedstocks, under four distinct temperature regimes. The two campaigns differ in average temperature; while the OP average temperature in the gasifier is around 851 °C, the values for POP experiments were higher, with an average temperature of 918 °C. The measurements (for each feedstock and temperature level) were repeated for at least three consecutive measurements taken over ~15 min, once the system had reached steady-state conditions. The average volume percentage of the experimental campaign is reported for each gaseous component in Figure 3. The standard deviation for each gaseous component is 6.35 × 10−3 (CH4); 7.51 × 10−3 (CO); 3.39 × 10−3 (H2O); 3.81 × 10−3 (H2); 3.47 × 10−3 (CO2); and 8.75 × 10−3 (N2).
The purpose of this work is to use the GMM for predictive purposes. However, since the model had already been tested on other reactor geometries and feedstocks, an initial training phase was required. Nearly half of the gathered experimental data was used to calibrate the model and determine the optimal values for the independent adaptive parameters. Before implementing GMM for predictions, the model was trained to reproduce the experimental dataset by adjusting the independent adaptive parameters. Using as inputs the operating temperature, system pressure, and ultimate analysis of the biomasses, the GMM algorithm iteratively determined the α and β coordinates, thereby following the Gibbs free energy descent trajectory. The iterative procedure was designed to stop before full equilibrium was reached, converging instead at the point where the mean squared deviation between experimental and simulated syngas compositions was minimized. This approach ensured that the model calibration remained consistent with the finite residence time and incomplete conversion observed under realistic operating conditions. The resulting correlations, with temperature expressed in °C, are reported in Equations (17)–(20).
δ = 8.84   · 10 4 · T + 1.1465
η = 4.42   · 10 4 · T + 0.0167
α = 0.1005 · e x p T / 1000 + 0.5023
β = 0.219 · e x p T / 1000 0.2275
These correlations were obtained with an R2 of 0.74–0.84. The mean values of these variables, calculated for both POP and OP at four nominal temperature levels, are presented in Figure 4, together with the results obtained in our previous works [25,26]. Figure 4a illustrates the first-step training values for η and δ, whereas Figure 4b shows the results for α and β, which describe the behaviour of the second step. The regression lines from our previous works are shown only for comparative purposes. A good correspondence is observed, even though the mean values obtained in this work deviate slightly from the previous linear correlations—higher deviations for the values of α and δ—while remaining consistent at lower temperatures. It is important to note that the preceding datasets were derived under differing operating conditions, involving wood and waste gasification in reactors of various scales and geometries [25,26]. These deviations prove that the GMM cannot be applied to all possible experimental or industrial configurations without prior calibration. However, the close agreement of the temperature-dependent trends supports the robustness of the model structure and the suitability of the adopted simplifications and independent parameters.
Once the model has been trained, it can be used to simulate all experimental data and perform predictive analyses. Figure 5 shows all the results, in terms of gas mole fraction, for overall validation. The simulated syngas compositions are compared with experimental data using parity diagrams. Figure 5a refers to POP gasification, while Figure 5b corresponds to OP. The agreement between the predicted and measured molar fractions of the main gaseous species was generally very good, with an average deviation below 7%, and only limited discrepancies exceeding 10% for specific components. Overall, it can be observed that the GMM simulator in predictive mode slightly overestimates the CO2 mole fraction. The MSE for the POP simulation is 3.87 × 10−4, while for OP it is 1.37 × 10−4. This may be directly dependent on the observed scattering in the adaptive parameter values, especially delta. On the other hand, the level of accuracy confirms the robustness of the GMM calibration and its ability to reliably reproduce syngas compositions across different biomass feedstocks and operating conditions, extending the previous validation [25,26] across various reactor configurations, different plant scales and capacities, with both air and steam as gasifying agents, and employing a range of biomass feedstocks.
The next results are related to energy performance evaluation. First, the thermo-chemical conversion efficiency will be calculated, and finally the overall biomass-to-electricity efficiency, which has a direct industrial impact on the obtainable electrical power of the overall process described in Figure 1. Figure 6 reports the obtained values of the lower heating value (LHV) for both POP- and OP-derived syngas, with average values of 5.1 MJ/kg for both.
The model reproduces the calorific value of gas reliably, although it shows a slightly decreasing trend with temperature, while the experimental data are distributed almost independently of the T variable. However, the slight training flaw in step 1 translates into lower gas production; in fact, the model tends to overestimate char production and underestimate gas yield. The final result will still be conservative. To demonstrate this, we can analyze the overall energy performance.
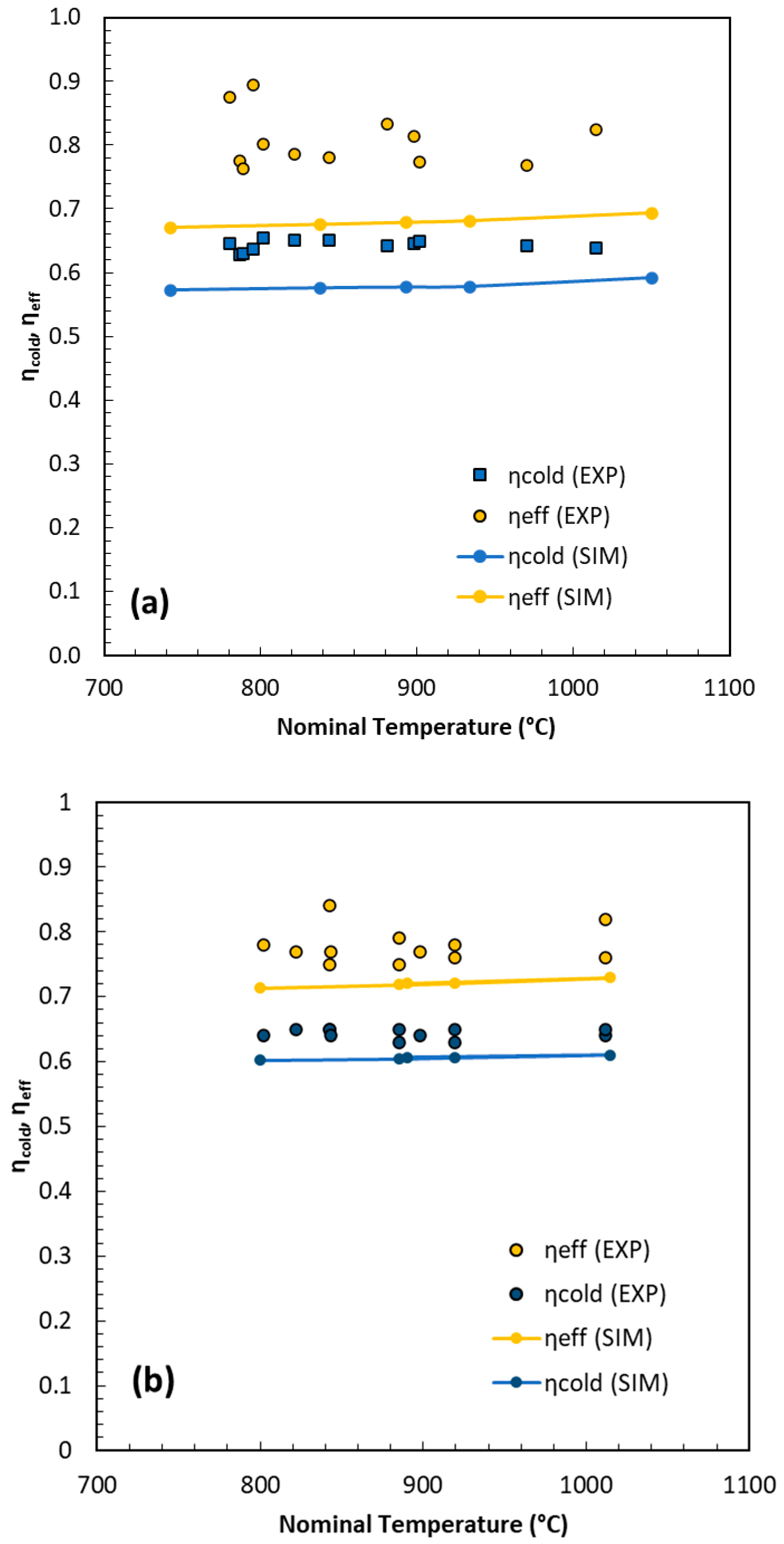
Figure 7 depicts the trends of the efficiencies, computed according to Equations (13) and (14), for OP (a) and POP (b). The experimental results indicate that, from a thermodynamic standpoint, the gasification of POP briquettes performs better than OP, with both cold and effective thermal efficiencies being approximately 7–8% higher. The experimental trends are accurately reproduced by the GMM simulations, although the calculated efficiencies are systematically 2–5 percentage points lower. This deviation originates mainly from uncertainties in the first simulation step, which involves the formation of char and the initial gas mixture. It should be noted that, in order to construct a short-cut GMM model, a parameter function dependent solely on temperature was employed. Although this simplification is consistent with previous studies, it inevitably introduces some approximation. A finer tuning, though at the expense of model simplicity, could consider the specific characteristics of the biomass or reactor geometry and residence time. Overall, the results remain consistent with the literature data, and the model behaves conservatively, slightly overestimating char formation and consequently underestimating gas yield and overall efficiency.
Once the simulator is ready, sensitivity analysis, optimization studies, and the process of scaling up can be generated. In the present work, the effect of the Equivalence Ratio (ER) was investigated by varying the air flow rate (ranging from 60 to 75 kg/h) at a constant biomass feed (50 kg/h for both POP and OP). The effect of the ER was investigated under the same range of temperatures as the testing conditions. Figure 8 shows the representative simulation results obtained for the POP fuel. The figure also reports the variation in temperature with an increasing air flow rate. As the air flow increases, exothermic reactions become more prominent, resulting in a modest rise in temperature and a corresponding increase in CO2 formation. Simultaneously, gas dilution due to the higher CO2 molar flow reduces the calorific value of the syngas. Overall, the influence of the air flow rate, and thus of the ER, is slightly positive, as reflected in the increase in both cold gas and effective efficiencies. A decrease in the CH4 concentration was observed with increasing temperature, consistent with the enhanced extent of the steam-reforming reaction, which also promotes higher H2 and CO yields. A slight reduction in char production was detected, with average rates of approximately 3.3 kg/h for POP and 8 kg/h for OP. Although higher temperatures and H2 yields lead to a minor decrease in syngas LHV due to dilution, this is compensated by an increased total syngas flow rate. Consequently, the overall deliverable energy remains nearly constant across the tested ER values and operating temperatures, while the higher-temperature conditions are beneficial in reducing both char and tar formation.
The main results relating to energy performance are reported in Table 3. From an energy standpoint, the gasification of POP briquettes yields an energy output comparable to that obtained with OP, indicating that POP gasification is globally more efficient. Nevertheless, OP briquettes can achieve similar results under milder operating conditions, as their gasification requires lower temperatures. From an exergetic perspective, the efficiency was found to be slightly higher than the electrical one, because it accounts for the export of second-kind energy (i.e., thermal energy recovered in cogeneration mode) through the correction factors defined in Equation (16).
A woody biomass such as POP is generally more abundant and economically accessible across the national territory [30,31,32], which further strengthens its technical and logistical advantages. On the other hand, from a circular economy standpoint, the valorisation of agricultural residues such as OP represents an environmentally preferable option, contributing to waste reduction and local resource recovery. For this reason, the use of OP as a feedstock may be particularly advantageous in Central and Southern Italy, where this residue is widely available, and its supply chain can be efficiently integrated into existing agro-industrial activities.
Building on these considerations, the trained GMM model has been applied to a preliminary techno-economic assessment of a scaled-up commercial unit (200 kW downdraft gasifier) to be potentially installed in these regions. The simulations were carried out assuming the reactor operates 80% of the time with POP briquettes and 20% with POP briquettes, reflecting their respective local availability. Using an average gasification temperature representative of the optimal range for both feedstocks and an annual operating time of approximately 7200 h (i.e., a capacity factor of nearly 0.83), the estimated electricity production cost is around EUR 200 per MWh. The calculated capital expenditure (CAPEX) is slightly above EUR 1 million, with an expected payback period of about 10 years, while operating costs (OPEX) are estimated at EUR 220,000 per year.
These results confirm that the GMM model can effectively support pre-feasibility and scaling analyses, providing a computationally efficient tool for evaluating the economic viability of biomass gasification systems under different regional and feedstock scenarios.

4. Conclusions

The present study validated and extended the Gibbs Free Energy Gradient Method (GMM) as a predictive tool for biomass gasification, using experimental data from a commercial downdraft pilot gasifier provided by RESET S.r.l. and applying it to poplar wood and olive pomace briquettes. By refining the model parameters against experimental observations, the GMM reproduced syngas compositions with an average error below 8%, confirming its robustness across different feedstocks and operating conditions. Energy performance indicators were also reliably captured, with deviations in enthalpy balances of approximately 6%, demonstrating the consistency of the model in predicting process efficiency.
In terms of syngas composition, the mean squared error (MSE) between simulated and measured data was 3.87 × 10−4 and 1.37 × 10−4 for poplar (POP) and olive pomace (OP), respectively, demonstrating a strong convergence and statistical reliability. The predicted gas mixtures showed average molar fractions of approximately 16% for H2 (standard deviation 3.81 × 10−3), 17–18% for CO (standard deviation 7.51 × 10−3), 10–12% for CO2 (standard deviation 3.47 × 10−3), 5–6% for CH4 (standard deviation 6.35 × 10−3), and 39–42% is N2 (standard deviation 8.75 × 10−3), in line with experimental measurements. From an energy perspective, the cold gas efficiency ranged between 56 and 61%, while the effective thermal efficiency was between 66 and 72%, depending on the feedstock and temperature. On average, POP gasification exhibited efficiencies 7–8% higher than OP, consistent with its lower moisture content and higher reactivity. The electrical efficiency of the integrated system was approximately 14–15%, and the exergetic efficiency reached 16–18%, confirming the reliability of the energy balance and the conservative nature of the model predictions.
These outcomes align with literature benchmarks, wherein woody feedstocks typically yield higher conversion efficiencies, while agro-industrial residues contribute to higher syngas energy density due to their intrinsic composition. The sensitivity analysis highlighted the central roles of operating temperature and air flow in governing syngas quality, hydrogen yield, and char conversion. Specifically, higher temperatures promoted methane conversion, improving hydrogen yield, although air dilution partially offset the gains in syngas concentration. These findings are consistent with the thermochemical benchmarks reported for downdraft gasifiers in the 800–1000 °C range, supporting the validity of the approach.
From a broader perspective, the integration of experimental validation with advanced modelling establishes the GMM as a scalable, predictive tool that bridges the gap between laboratory-scale research and commercial plant deployment. Unlike purely equilibrium or kinetic models, the GMM is trained with a rigorous thermodynamic framework to predict non-equilibrium compositions due to finite residence time and incomplete conversion phenomena. On the other hand, in the prediction mode, the model offers a user-friendly short-cut methodology.
Moreover, both experimental and modelling results confirm that residual biomass streams such as olive pomace can be effectively valorized for energy generation, complementing more conventional forestry resources. The systematic exploitation of such underutilized residues aligns with the objectives of the EU Bioeconomy Strategy and the Italian Bioeconomy Action Plan, strengthening energy security while reducing the environmental impacts associated with waste disposal.
The main limitation of the GMM model is the neglection of tar formation, since it is based on the hypothesis that operating at higher temperature might hinder its formation. The tar made from heavy organic compounds could represent a highly viscous liquid fraction, capable of causing filter clogging, circuit fouling, and malfunctions to downstream equipment [35,36]. As outlined by a recent investigation of Safarian et al. [14], while updraft and fluidized bed gasifiers featured tar yields up to 12 wt.% and 15 wt.%, respectively, downdraft gasifiers can achieve yields lower than 1 wt.% by operating at temperatures higher than 800–900 °C.
Overall, the GMM can be considered a reliable and conservative predictive tool for high-temperature, steady-state downdraft gasification systems. Its scalability to other configurations (e.g., fluidized bed or dual-stage reactors) requires dedicated recalibration, given the different thermal regimes, residence times, and mixing conditions. Within these defined boundaries, the GMM effectively balances physical rigour and computational simplicity, offering a practical short-cut methodology for process design, optimization, and preliminary techno-economic evaluation. Future research should expand the GMM framework by incorporating tar formation and cracking kinetics, and by validating the model (with a focus on the first devolatilization step) under alternative reactor configurations, such as fluidized bed and dual-stage gasifiers, which dominate industrial-scale applications.

Author Contributions

Conceptualization, M.C. and D.B.; methodology, M.C. and D.B.; software, E.A.; validation, E.A. and M.F.; formal analysis, M.F.; investigation, E.A.; data curation, E.A. and M.F.; writing—original draft preparation, M.F. and M.C.; writing—review and editing, M.C. and M.F.; visualization, M.F.; supervision, M.C. and D.B. All authors have read and agreed to the published version of the manuscript.

Funding

This research received no external funding.

Data Availability Statement

The data presented in this study are available on request from the corresponding author due to legal reasons.

Acknowledgments

The authors gratefully acknowledge RESET S.r.l. for providing access to the pilot plant, which was essential for carrying out the experimental activities presented in this work.

Conflicts of Interest

The authors declare no conflicts of interest.

References

  1. Rothenberg, G. A Realistic Look at CO2 Emissions, Climate Change and the Role of Sustainable Chemistry. Sustain. Chem. Clim. Action 2023, 2, 100012. [Google Scholar] [CrossRef]
  2. Hayat, M.A.; Alhadhrami, K.; Elshurafa, A.M. Which Bioenergy with Carbon Capture and Storage (BECCS) Pathways Can Provide Net-Negative Emissions? Int. J. Greenh. Gas Control. 2024, 135, 104164. [Google Scholar] [CrossRef]
  3. Capocelli, M.; De Falco, M. Generalized Penalties and Standard Efficiencies of Carbon Capture and Storage Processes. Int. J. Energy Res. 2022, 46, 4808–4824. [Google Scholar] [CrossRef]
  4. Mersch, M.; Caton, P.; Markides, C.N.; Mac Dowell, N. Energy Import Security in Optimal Decarbonization Pathways for the UK Energy System. Cell Rep. Sustain. 2024, 1, 100236. [Google Scholar] [CrossRef]
  5. Smith, P.; Davis, S.J.; Creutzig, F.; Fuss, S.; Minx, J.; Gabrielle, B.; Kato, E.; Jackson, R.B.; Cowie, A.; Kriegler, E.; et al. Biophysical and Economic Limits to Negative CO2 Emissions. Nat. Clim. Chang. 2016, 6, 42–50. [Google Scholar] [CrossRef]
  6. Schipfer, F.; Mäki, E.; Schmieder, U.; Lange, N.; Schildhauer, T.; Hennig, C.; Thrän, D. Status of and Expectations for Flexible Bioenergy to Support Resource Efficiency and to Accelerate the Energy Transition. Renew. Sustain. Energy Rev. 2022, 158, 112094. [Google Scholar] [CrossRef]
  7. Molino, A.; Larocca, V.; Chianese, S.; Musmarra, D. Biofuels Production by Biomass Gasification: A Review. Energies 2018, 11, 811. [Google Scholar] [CrossRef]
  8. Facchino, M.; Marcantonio, V.; Pistolesi, C.; Capocelli, M.; De Falco, M. Techno-Economic and Environmental Assessment of Syngas Cleaning Solutions for Bioenergy Generation. Chem. Eng. Trans. 2024, 109, 487–492. [Google Scholar] [CrossRef]
  9. Mckendry, P. Energy Production from Biomass (Part 3): Gasification Technologies. Bioresour. Technol. 2002, 83, 55–63. [Google Scholar] [CrossRef]
  10. McKendry, P. Energy Production from Biomass (Part 2): Conversion Technologies. Bioresour. Technol. 2002, 83, 47–54. [Google Scholar] [CrossRef]
  11. Azar, C.; Lindgren, K.; Obersteiner, M.; Riahi, K.; van Vuuren, D.P.; den Elzen, K.M.G.J.; Möllersten, K.; Larson, E.D. The Feasibility of Low CO2 Concentration Targets and the Role of Bio-Energy with Carbon Capture and Storage (BECCS). Clim. Chang. 2010, 100, 195–202. [Google Scholar] [CrossRef]
  12. Global CCS Institute. The Global Status of CCS: 2024. Australia. 2024. Available online: https://www.globalccsinstitute.com/wp-content/uploads/2025/10/Global-Status-Report-6-November.pdf (accessed on 28 September 2025).
  13. Kumar, A.; Jones, D.D.; Hanna, M.A. Thermochemical Biomass Gasification: A Review of the Current Status of the Technology. Energies 2009, 2, 556–581. [Google Scholar] [CrossRef]
  14. Safarian, S.; Unnþórsson, R.; Richter, C. A review of biomass gasification modelling. Renew. Sustain. Energy Rev. 2019, 110, 378–391. [Google Scholar] [CrossRef]
  15. Marcantonio, V.; De Falco, M.; Capocelli, M.; Bocci, E.; Colantoni, A.; Villarini, M. Process Analysis of Hydrogen Production from Biomass Gasification in Fluidized Bed Reactor with Different Separation Systems. Int. J. Hydrogen Energy 2019, 44, 10350–10360. [Google Scholar] [CrossRef]
  16. Marcantonio, V.; DiPaola, L.; De Falco, M.; Capocelli, M. Modeling of Biomass Gasification: From Thermodynamics to Process Simulations. Energies 2023, 16, 7042. [Google Scholar] [CrossRef]
  17. Marcantonio, V.; De Falco, M.; Di Paola, L.; Capocelli, M. Modelling of Biomass Gasification Through Quasi-Equilibrium Process Simulation and Artificial Neural Networks. Energies 2024, 17, 6089. [Google Scholar] [CrossRef]
  18. Mann, M.D.; Knutson, R.Z.; Erjavec, J.; Jacobsen, J.P. Modeling Reaction Kinetics of Steam Gasification for a Transport Gasifier. Fuel 2004, 83, 1643–1650. [Google Scholar] [CrossRef]
  19. Bayarsaikhan, B.; Hayashi, J.I.; Shimada, T.; Sathe, C.; Li, C.Z.; Tsutsumi, A.; Chiba, T. Kinetics of Steam Gasification of Nascent Char from Rapid Pyrolysis of a Victorian Brown Coal. Fuel 2005, 84, 1612–1621. [Google Scholar] [CrossRef]
  20. Inayat, A.; Ahmad, M.M.; Yusup, S.; Mutalib, M.I.A. Biomass Steam Gasification with In-Situ CO2 Capture for Enriched Hydrogen Gas Production: A Reaction Kinetics Modelling Approach. Energies 2010, 3, 1472–1484. [Google Scholar] [CrossRef]
  21. Timsina, R.; Thapa, R.K.; Moldestad, B.M.E.; Eikeland, M.S. Computational Particle Fluid Dynamics Simulation of Biomass Gasification in an Entrained Flow Gasifier. Chem. Eng. Sci. X 2021, 12, 100112. [Google Scholar] [CrossRef]
  22. Kumar, M.; Ghoniem, A.F. Multiphysics Simulations of Entrained Flow Gasification. Part I: Validating the Nonreacting Flow Solver and the Particle Turbulent Dispersion Model. Energy Fuels 2012, 26, 451–463. [Google Scholar] [CrossRef]
  23. Kumar, M.; Ghoniem, A.F. Multiphysics Simulations of Entrained Flow Gasification. Part II: Constructing and Validating the Overall Model. Energy Fuels 2012, 26, 464–479. [Google Scholar] [CrossRef]
  24. Park, S.S.; Jeong, H.J.; Hwang, J. 3-D CFD Modeling for Parametric Study in a 300-MWe One-Stage Oxygen-Blown Entrained-Bed Coal Gasifier. Energies 2015, 8, 4216–4236. [Google Scholar] [CrossRef]
  25. Barba, D.; Capocelli, M.; Cornacchia, G.; Matera, D.A. Theoretical and Experimental Procedure for Scaling-up RDF Gasifiers: The Gibbs Gradient Method. Fuel 2016, 179, 60–70. [Google Scholar] [CrossRef]
  26. Barba, D.; Prisciandaro, M.; Salladini, A.; Mazziotti Di Celso, G. The Gibbs Free Energy Gradient Method for RDF Gasification Modelling. Fuel 2011, 90, 1402–1407. [Google Scholar] [CrossRef]
  27. Antonopoulos, I.S.; Karagiannidis, A.; Gkouletsos, A.; Perkoulidis, G. Modelling of a Downdraft Gasifier Fed by Agricultural Residues. Waste Manag. 2012, 32, 710–718. [Google Scholar] [CrossRef] [PubMed]
  28. Avitabile, V.; Mubareka, S.; Baldoni, E.; Baruth, B.; Sanchez Lopez, J.; Bausano, G.; Boysen-Urban, K.; Caldeira, C.; Camia, A.; Cazzaniga, N.; et al. Biomass Supply and Uses in the EU: Summary for Policymakers; Publications Office of the European Union: Luxembourg, 2023. [Google Scholar] [CrossRef]
  29. Eurostat. Forests, Forestry and Logging. Eurostat—Statistics Explained. 2024. Available online: https://ec.europa.eu/eurostat/statistics-explained/index.php?title=Forests,_forestry_and_logging#Data_sources (accessed on 4 September 2025).
  30. Borrello, M.; Altomonte, E.; Cembalo, L.; D’Amico, V.; Lombardi, A. Circular Bioeconomy and the Forest-Wood Sector: Bridging the Gap between Policies and Disadvantaged Forest Areas. Appl. Sci. 2023, 13, 1349. [Google Scholar] [CrossRef]
  31. Ruggeri, G.; Mazzocchi, C.; De Marchi, E.; Banterle, A.; Sali, G. Provincial assessment of agricultural biomass residues for renewable energy in Italy. Energy Rep. 2025, 13, 2946–2957. [Google Scholar] [CrossRef]
  32. National Bioeconomy Coordination Board. Implementation Action Plan (2025–2027) for the Italian Bioeconomy Strategy, BIT.II. Presidency of the Council of Ministers. 2024. Available online: https://cnbbsv.palazzochigi.it/media/gx3n4rwl/iap-16122024-en.pdf (accessed on 4 September 2025).
  33. Taqvi, S.A.A.; Kazmi, B.; Naqvi, S.R.; Juchelková, D.; Bokhari, A. State-of-the-Art Review of Biomass Gasification: Raw to Energy Generation. ChemBioEng Rev. 2024, 11, e202400003. [Google Scholar] [CrossRef]
  34. Bejan, A. Exergy Analysis. In Advanced Engineering Thermodynamics; Bejan, A., Ed.; John Wiley & Sons: Hoboken, NJ, USA, 2016. [Google Scholar] [CrossRef]
  35. Bocci, E.; Marcantonio, V.; Di Carlo, A. Tar and inorganic contaminant removal from syngas: Modeling and simulation. In Advances in Synthesis gas: Methods, Technologies and Applications; Rahimpour, M.R., Makarem, M.A., Meshksar, M., Eds.; Elsevier: Amsterdam, The Netherlands, 2023; Volume 4, pp. 241–273. [Google Scholar] [CrossRef]
  36. Marcantonio, V.; Bocci, E.; Ouweltjes, J.P.; Del Zotto, L.; Monarca, D. Evaluation of sorbents for high temperature removal of tars, hydrogen sulphide, hydrogen chloride and ammonia from bio-mass-derived syngas by using Aspen Plus. Int. J. Hydrogen Energy 2020, 45, 6651–6662. [Google Scholar] [CrossRef]
Figure 1. Process flow diagram of the commercial gasifier pilot plant.
Figure 1. Process flow diagram of the commercial gasifier pilot plant.
Energies 18 05721 g001
Figure 2. Flow diagram of GMM training steps with graphic detail of the Gibbs free energy value along the training pathway vs. α and β [26].
Figure 2. Flow diagram of GMM training steps with graphic detail of the Gibbs free energy value along the training pathway vs. α and β [26].
Energies 18 05721 g002
Figure 3. Experimental results (averaged) for POP and OP.
Figure 3. Experimental results (averaged) for POP and OP.
Energies 18 05721 g003
Figure 4. Values of the independent variables: (a) first step of reaction (η δ) and (b) second step (α β) calculated in this work (circles) with values calculated previously (triangles) by Barba et al. [25,26].
Figure 4. Values of the independent variables: (a) first step of reaction (η δ) and (b) second step (α β) calculated in this work (circles) with values calculated previously (triangles) by Barba et al. [25,26].
Energies 18 05721 g004
Figure 5. Comparison between experimental data and simulated values of molar fractions for the main gaseous species in syngas: (a) POP and (b) OP.
Figure 5. Comparison between experimental data and simulated values of molar fractions for the main gaseous species in syngas: (a) POP and (b) OP.
Energies 18 05721 g005
Figure 6. Syngas LHV versus temperature resulting from the experimental campaign of both POP and OP.
Figure 6. Syngas LHV versus temperature resulting from the experimental campaign of both POP and OP.
Energies 18 05721 g006
Figure 7. Cold gas and effective efficiencies as a function of nominal gasification temperature for OP (a) and POP (b) feedstocks.
Figure 7. Cold gas and effective efficiencies as a function of nominal gasification temperature for OP (a) and POP (b) feedstocks.
Energies 18 05721 g007
Figure 8. Effect of air flow rate on the main process output (simulated results): (a) molar flow rate of main gaseous species and average temperature; (b) cold efficiency and hot efficiency molar fractions vs. nominal temperature.
Figure 8. Effect of air flow rate on the main process output (simulated results): (a) molar flow rate of main gaseous species and average temperature; (b) cold efficiency and hot efficiency molar fractions vs. nominal temperature.
Energies 18 05721 g008
Table 1. Main characteristics of biomasses and testing conditions.
Table 1. Main characteristics of biomasses and testing conditions.
POPOP
Empirical formula C H m O p N q S r
m1.440991.33162
p0.711180.50155
q0.001770.00752
r00.00068
Biomass moisture content [%w/w]9.610
LHV [kJ/kg]18,62020,630
Combustion temperature [°C]842–1012742–934
Pressure [Pa]~100,300
Biomass flow rate [kg/h]48–5046–48
Air flow rate [kg/h]59–7358–75
Table 2. Stoichiometric coefficients for the 1st step biomass decomposition in the GMM model.
Table 2. Stoichiometric coefficients for the 1st step biomass decomposition in the GMM model.
ComponentReactant CoefficientProduct Coefficient
H 2 O   w 1 w 1 + η p 2 + o x
O 2 o x -
N 2 3.76 · o x q 2 + 3.76 o x
CO 0 2 1 η p 2 + o x δ
C H 4 0 m 4 η 2 p 2 + o x
C O 2 0 η 2 p 2 + o x + δ 2
C 0 1 m 4 2 1 η p 2 + o x + δ 2
S 0 r
Table 3. Energy values and parameters for POP and OP briquette gasification at different nominal temperatures.
Table 3. Energy values and parameters for POP and OP briquette gasification at different nominal temperatures.
T
(°C)
LHVgas
(MJ/kg)
LHVfeed
(MJ/kg)
ηcold
(%)
ηeff
(%)
Pel
[kW]
ηel
(%)
ηex
(%)
OP7405.220.6357.5567.3240.341416
8405.4820.6356.7266.6839.76
8905.3020.6356.2666.4539.43
9305.1420.6355.9266.3739.20
POP8405.5718.6260.9272.0738.541518
8855.4418.6260.8172.1738.47
9205.3418.6260.6872.2738.39
10105.0518.6260.0872.1538.01
Disclaimer/Publisher’s Note: The statements, opinions and data contained in all publications are solely those of the individual author(s) and contributor(s) and not of MDPI and/or the editor(s). MDPI and/or the editor(s) disclaim responsibility for any injury to people or property resulting from any ideas, methods, instructions or products referred to in the content.

Share and Cite

MDPI and ACS Style

Angelucci, E.; Barba, D.; Facchino, M.; Capocelli, M. Extension and Validation of the Short-Cut GMM Model for Biomass-to-Electricity Applications. Energies 2025, 18, 5721. https://doi.org/10.3390/en18215721

AMA Style

Angelucci E, Barba D, Facchino M, Capocelli M. Extension and Validation of the Short-Cut GMM Model for Biomass-to-Electricity Applications. Energies. 2025; 18(21):5721. https://doi.org/10.3390/en18215721

Chicago/Turabian Style

Angelucci, Emiliano, Diego Barba, Marco Facchino, and Mauro Capocelli. 2025. "Extension and Validation of the Short-Cut GMM Model for Biomass-to-Electricity Applications" Energies 18, no. 21: 5721. https://doi.org/10.3390/en18215721

APA Style

Angelucci, E., Barba, D., Facchino, M., & Capocelli, M. (2025). Extension and Validation of the Short-Cut GMM Model for Biomass-to-Electricity Applications. Energies, 18(21), 5721. https://doi.org/10.3390/en18215721

Note that from the first issue of 2016, this journal uses article numbers instead of page numbers. See further details here.

Article Metrics

Back to TopTop