This is an early access version, the complete PDF, HTML, and XML versions will be available soon.
                
                        
            Open AccessArticle
            
                Extension and Validation of the Short-Cut GMM Model for Biomass-to-Electricity Applications            
            
                                by
                    
    Emiliano Angelucci
 Emiliano Angelucci
Emiliano Angelucci
    Diego Barba
 Diego Barba
Diego Barba
    Marco Facchino
 Marco Facchino
Marco Facchino
    Mauro Capocelli
 Mauro Capocelli
Mauro Capocelli 
                            
                
                    
                        Department of Science and Technology for Sustainable Development and One Health, Università Campus Bio-Medico di Roma, Via Álvaro del Portillo, 21, 00128 Rome, Italy
         
    
    
            
            *
            Author to whom correspondence should be addressed. 
         
    
    
    
 
             
            
                Energies 2025, 18(21), 5721; https://doi.org/10.3390/en18215721 (registering DOI)
            
            
                    
    Submission received: 29 September 2025
    /
    Revised: 25 October 2025
    /
    Accepted: 27 October 2025
    /
    Published: 30 October 2025
            
                
    
            
            
                        
            
            
            
        
                        
        
                        
        
                        
        
        
                        
        
                        
                                                                            
                                                                            
            
                            Abstract
            
            
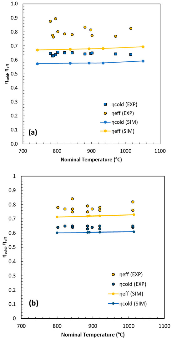
                                                            This study extends the application and validation of the Gibbs Free Energy Gradient Method (GMM) for modelling gasification processes, focusing on scaling up from pilot to commercial operations. The model simulates syngas production using poplar wood and olive pomace briquettes under various gasification conditions. Experimental data from a downdraft gasifier were employed to refine the model parameters, achieving accurate predictions of syngas composition with an average error below 8%. Sensitivity analyses highlight the impact of operating conditions, particularly temperature and air flow rates, on the syngas calorific value, hydrogen yield, and energy efficiency. These results emphasize the potential of biomass residues, such as olive pomace, for sustainable energy production in a circular economy context. The findings demonstrate the robustness of the GMM for predicting gasification performance and offer practical guidance for scaling up biomass-to-energy systems while optimizing efficiency and reducing waste.
                    
                            
            
                            
            
                        
                        
                        
                    
                        
            
            
    
        
     
            
                Share and Cite
                
                
                    
MDPI and ACS Style
                    Angelucci, E.;                     Barba, D.;                     Facchino, M.;                     Capocelli, M.    
        Extension and Validation of the Short-Cut GMM Model for Biomass-to-Electricity Applications. Energies 2025, 18, 5721.
    https://doi.org/10.3390/en18215721
    AMA Style
    
                                Angelucci E,                                 Barba D,                                 Facchino M,                                 Capocelli M.        
                Extension and Validation of the Short-Cut GMM Model for Biomass-to-Electricity Applications. Energies. 2025; 18(21):5721.
        https://doi.org/10.3390/en18215721
    
    Chicago/Turabian Style
    
                                Angelucci, Emiliano,                                 Diego Barba,                                 Marco Facchino,                                 and Mauro Capocelli.        
                2025. "Extension and Validation of the Short-Cut GMM Model for Biomass-to-Electricity Applications" Energies 18, no. 21: 5721.
        https://doi.org/10.3390/en18215721
    
    APA Style
    
                                Angelucci, E.,                                 Barba, D.,                                 Facchino, M.,                                 & Capocelli, M.        
        
        (2025). Extension and Validation of the Short-Cut GMM Model for Biomass-to-Electricity Applications. Energies, 18(21), 5721.
        https://doi.org/10.3390/en18215721
    
 
                 
                                    
                        Note that from the first issue of 2016, this journal uses article numbers instead of page numbers. See further details 
here.
                    
Article Metrics
                
                    
            
            Article Access Statistics
            
                            For more information on the journal statistics, click 
here.
            
            
                Multiple requests from the same IP address are counted as one view.