Next Article in Journal
Fuel Cell–Battery Hybrid Trains for Non-Electrified Lines: A Dynamic Simulation Approach
Previous Article in Journal
Experimental Investigations of the Melting/Solidification of Coconut Oil Using Ultrasound-Based and Image Processing Approaches
 
 
Font Type:
Arial Georgia Verdana
Font Size:
Aa Aa Aa
Line Spacing:
Column Width:
Background:
Article

Lithium-Ion Battery State of Health Estimation Based on Multi-Dimensional Health Characteristics and GAPSO-BiGRU

Hubei Key Laboratory for High-Efficiency Utilization of Solar Energy and Operation Control of Energy Storage System, Hubei University of Technology, Wuhan 430068, China
*
Author to whom correspondence should be addressed.
Energies 2025, 18(20), 5456; https://doi.org/10.3390/en18205456
Submission received: 22 August 2025 / Revised: 12 September 2025 / Accepted: 3 October 2025 / Published: 16 October 2025
(This article belongs to the Special Issue Advances in Battery Management Systems for Lithium-Ion Batteries)

Abstract

The state of health (SOH) of lithium-ion batteries (LIBs) is a key parameter that is crucial for delaying their lifespan degradation and ensuring safe use. To further explore the potential of charge curves in SOH estimation for LIBs, this paper proposes a method based on multi-dimensional health features and a genetic algorithm–particle swarm optimization (GAPSO)–bidirectional gated recurrent unit (BiGRU) neural network for SOH estimation. First, we extracted differential thermal voltammetry curves from the charging curve and defined the peak, valley, and their positions. Then, based on the charging temperature curve, we defined the time at which the maximum charging temperature occurs and the average charging temperature. Subsequently, we validated the correlation between the aforementioned six health features and SOH using the Pearson correlation coefficient. Finally, we used the multi-dimensional health features as model inputs to construct the BiGRU estimation model and employed the GAPSO hybrid strategy to achieve global adaptive optimization of the model’s hyperparameters. Experimental results on different LIBs show that the proposed method has relatively high accuracy, with an average absolute error and root mean square error of no more than 0.2771%. The comparison results with various methods further verify the superiority of the proposed method.

1. Introduction

Against the backdrop of global efforts to advance the “dual carbon” strategic goals (carbon peaking and carbon neutrality), new energy vehicles have emerged as a key enabler of global energy decarbonization. As such, the performance monitoring of their core power source—lithium-ion batteries (LIBs), has become increasingly critical [1,2,3]. While LIBs have gained widespread adoption in the industry due to their high energy density and long cycle life, the irreversible aging that occurs during continuous charge–discharge cycles leads to capacity degradation and significantly increases the risk of thermal runaway [4,5,6]. When state of health (SOH) drops below the 80% threshold, the LIB reaches its retirement criteria and can no longer meet the power and energy requirements of the device. Therefore, accurately estimating the SOH of LIBs helps to avoid the risks of overcharging and over-discharging, as well as safety accidents, in advance.
To date, the SOH estimation methods are mainly divided into two methods: model-based and data-driven [7]. In the model-based method, common models include electrochemical models and equivalent circuit models. Xiong et al. simplified the traditional pseudo-P2D model by thoroughly analyzing the electrochemical principles of LIBs [8]. Then, they identified the model parameters using an optimization algorithm. Subsequently, they selected five aging characteristics to describe the SOH of LIBs, with an error of no more than 3% in the SOH estimation. Hakeem et al. established an effective reduced equivalent circuit model and obtained high-frequency and mid-frequency electrochemical curves from it [9]. Then, the LIB capacity was predicted based on these extracted data. The results showed that predicting battery capacity based on impedance related to charge transfer resistance can achieve satisfactory estimation accuracy. Model-based methods have the advantage of being physically interpretable and have been widely used in the past. However, the premise of such methods is a physical model that can accurately reflect the internal mechanism of the LIB. In addition, model parameter identification methods also pose challenges and cannot reliably and stably identify the key parameters of LIBs.
In recent years, deep learning technology has seen rapid development, directly promoting in-depth research into data-driven SOH estimation methods. This method has the advantage of not requiring knowledge of the internal mechanisms of LIBs and can build the SOH estimation model using historical aging data [10]. Therefore, the focus of this method is on model selection and health feature extraction. Peng et al. used a long short-term memory (LSTM) model and estimated the LIB SOH by extracting physical quantities such as time and energy [11]. He et al. extracted multiple health characteristics from different perspectives, such as time and incremental capacity, and achieved SOH estimation through an improved informer model [12]. Buvansen et al. extracted nine different health characteristics from voltage, current, and temperature, and constructed a convolutional neural network–bidirectional LSTM model to achieve SOH estimation [13]. The results show that the proposed method has significantly lower estimation errors than LSTM, bidirectional LSTM, and other models. The common feature of the above studies is that they all require the extraction of physical characteristics that reflect the SOH of LIBs. These characteristics may originate from physical quantities such as voltage, temperature and so on. However, the aforementioned studies have not fully exploited the degradation information contained in the charging curves of LIBs, especially in terms of the health characteristics of the charging temperature curves.
On the other hand, in model selection, deep neural networks have some hyperparameters that are difficult to manually adjust, such as the initial learning rate and regularization parameters. These hyperparameters are critical to the accuracy of model estimation. The genetic algorithm–particle swarm optimization (GAPSO) algorithm possesses efficient global and local search capabilities, enabling automatic optimization of the model’s critical hyperparameters [14]. This effectively overcomes the blindness and tediousness of manual parameter tuning, significantly improving model construction efficiency. The bidirectional gated recurrent unit (BiGRU) neural network, with its unique bidirectional structure, can fully exploit the forward and backward long-term dependencies embedded in battery time-series data, accurately capturing the complex nonlinear dynamic features during the capacity degradation process [15,16,17]. This complementary fusion strategy enables GAPSO-BiGRU to not only possess robust feature learning and pattern recognition capabilities but also demonstrate enhanced robustness, providing a strong foundation for reliable and stable prediction of battery SOH in complex real-world application scenarios.
Based on the above research, we propose a SOH estimation method based on multidimensional health characteristics and GAPSO-BiGRU. The main contributions are as follows:
(1)
Differential thermal voltammetry (DTV) curves were established based on historical aging data from LIBs, and peak and trough values and their corresponding positions were extracted from these curves. The maximum charging temperature time and average temperature were extracted from the charging temperature curve. The correlation between the above characteristics and SOH was verified using Pearson’s correlation coefficient.
(2)
Based on the extracted health features mentioned above, a SOH estimation model for LIBs was established using the BIGRU, which has the ability to describe time-series dependencies.
(3)
To avoid manual adjustment of the model’s hyperparameters and improve estimation accuracy, GAPSO is used to optimize the number of hidden layer units, initial learning rate, and regularization parameters of the model.
The organization of the paper is as follows: Section 2 introduces the aging dataset of LIBs and the extraction method of health characteristics. Section 3 presents the establishment method of the SOH estimation model for LIBs, and explains the principles of BiGRU and GAPSO. Section 4 presents the specific experimental setup and results. Section 5 is the conclusion of the paper.

2. Multi-Dimensional Health Feature Extraction Based on the Charging Curves

The SOH of LIBs is an important indicator for assessing the working condition of batteries. SOH indicates the degree of battery aging and is usually defined as the ratio of the battery’s current capacity to its rated capacity, i.e.,
S O H = C M C N × 100 %
where C M is the current capacity of the LIB. C N is the initial nominal capacity of the LIB. Generally, the charging process of LIBs is relatively controllable, typically involving constant current-constant voltage (CCCV) charging. In contrast, the discharge process is influenced by usage conditions and application scenarios. During the lifespan of a LIB, its operating conditions may undergo significant changes, making it difficult to extract effective health characteristics that reflect aging. Therefore, extracting health characteristics that reflect the aging of LIBs from the charging curves is of practical significance and can be more effectively applied in actual industrial applications.

2.1. Lithium-Ion Battery Aging Dataset

The dataset used in this article was developed by researchers from the University of Oxford in the UK [18]. The dataset comprises eight pouch-type experimental batteries produced by Kokam, featuring graphite anodes and LCO/NCO mixed cathodes. Table 1 contains the detailed information on this type of battery. All batteries were subjected to charge–discharge cycling tests at a constant temperature of 40 °C, using a CC-CV charging scheme, and discharge based on the dynamic current profile of the Artemis urban driving cycle (with a peak rate of up to 3C). The experiment recorded parameters including voltage, current, temperature, and energy, with a total data volume of approximately 150,000 data points. Figure 1 shows the SOH curves of the eight batteries. This dataset shows that even LIBs of the same model type exhibit different aging curves due to manufacturing constraints and subsequent usage. In Figure 1, some LIBs age significantly faster than others. After a number of cycles, some of the batteries did not age as expected. In other words, the SOH of these batteries did not drop to the standard for retired LIBs. In addition, the SOH of one of these batteries decreased rapidly after about 4000 cycles. This could be due to abnormal changes in the internal materials of this battery. Therefore, we also excluded it. We finally used only cells 1–4 to validate the proposed method. Aging data from individual cells of the same type will help further validate the applicability of the proposed method.

2.2. Health Characteristics Based on the Differential Thermal Voltammetry

DTV analysis is a method based on changes in temperature and voltage during battery charging and discharging [19]. LIBs generate thermal effects caused by internal resistance during charging and discharging, and changes in differential thermal voltammetry can reflect the thermodynamic characteristics and aging status of the battery. The DTV calculation formula is as follows:
D T V = d T d t / d V d t = d T d V
where T is the temperature of a LIB. V is the terminal voltage of a LIB. t is the sampling time. The DTV analysis method records the differential of temperature with respect to voltage to form a DTV curve. Since the original data, especially temperature, is susceptible to measurement noise, advanced filtering methods are required to obtain an effective DTV curve. This paper uses an SG filter as a low-pass filter to smooth the curve. The DTV curve contains local features related to battery aging. The SG filter uses local polynomial fitting to smooth noise while retaining these key feature points, thereby avoiding the loss of important information due to excessive smoothing. The SG filtering method is as follows:
y i = j = m m h j y i + j
where y ^ i is the filtered output value. y i + j is the local window data of the input signal. h j is the pre-calculated filter coefficient. m is the coefficient of the window, and the size of the window is 2 m + 1 . Considering the removal of noise and the retention of the basic characteristics of the DTV curve comprehensively, the parameters of the SG filter are: the window length is 23, and the polynomial order is 3. Figure 2 shows the original DTV curve and the filtered DTV curve.
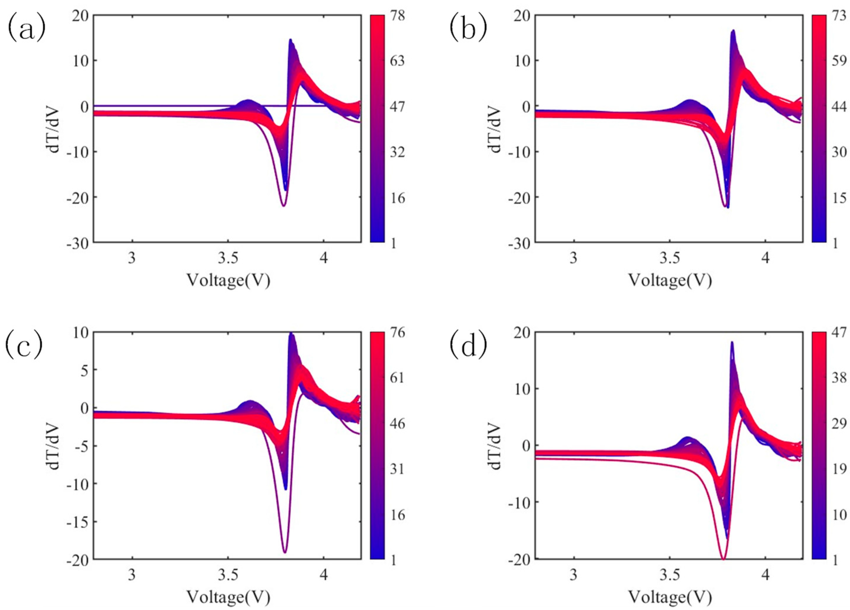
Figure 3 shows the DTV curves of four different batteries. In four LIBs, both the peak and valley values change as the lithium-ion battery ages. Specifically, as the battery gradually ages, its peak value gradually shifts to the right, while the valley value shifts in the opposite direction. This is due to the presence of positive and negative phase transitions between these phase transitions, which may be accompanied by entropy jumps appearing as inflection points on the DTV curve. Therefore, the peaks and valleys of the DTV curve can reflect the current positions of phase transitions in the cathode and anode. This means that we can extract the above physical quantities to reflect the SOH of the LIB.
The specific mathematical descriptions of the peaks and valleys can be expressed as follows:
V p e a k = V x | d D T V d V x = 0 ,   a n d   f ( V ) f ( V ) , V ( V x 1 , V x + 1 ) D T V p e a k = f ( V p e a k )
V v a l l e y = V x | d D T V d V x = 0 ,   a n d   f ( V ) f ( V ) , V ( V x 1 , V x + 1 ) D T V v a l l e y = f ( V v a l l e y )
where f is the mapping function between voltage and DTV. V x 1 and V x + 1 represent the voltages at the previous sampling time point and the subsequent sampling time point, respectively. Specifically, the peaks and valleys of the DTV curve correspond to battery degradation and phase transitions in the combination of cathode and anode materials. In addition, the phase transition process of LIBs is accompanied by changes in temperature. Therefore, changes in the battery’s surface temperature can indicate the extent of phase transitions, and changes in terminal voltage indicate the type of phase transition. Thus, the DTV method can bridge macro-level signal characteristics and micro-level degradation characteristics through the phase transition characteristics of temperature and terminal voltage, which are relatively easy to measure. Based on the above analysis, the peak, peak position, valley, and valley position are extracted as HF1, HF2, HF3, and HF4, respectively.

2.3. The Average Temperature of the Charging Temperature Curve

During the aging process of LIBs, their internal resistance gradually increases, leading to an increase in their internal heat generation rate and, consequently, an increase in their temperature [20]. Therefore, as the number of cycles increases, their charging temperature curve gradually changes. Figure 4 shows the temperature curve during the charging phase of battery 1 at different cycle intervals.
Thus, we can extract the average temperature (HF5) from the charging temperature curve as a health characteristic of LIBs. The average charging temperature is defined as the arithmetic mean of all temperature sampling points during a complete charging cycle, as shown below:
T ¯ c = 1 N k = 1 N T k
where T k represents the temperature value of the k sampling point. N represents the total number of sampling points for a single charging cycle. T ¯ k represents the average temperature of this cycle.

2.4. The Time at Which the Maximum Temperature Occurs in the Charging Temperature Curve

During charging, the temperature of LIBs is affected by internal heat generation and heat exchange with the external environment. Therefore, in general, the temperature curve of LIBs will show a peak point. This peak point is significantly related to the internal heat generation of LIBs. Internal heat generation is in turn affected by the SOH of LIBs. Therefore, analyzing the temperature peak points of LIBs under different cycle periods can help us observe the internal aging trends of LIBs.
Define the start time of charging as t s t a r t and the end time as t e n d . The temperature data collected on the time series t = [ t 1 , t 2 , , t n ] is T = [ T 1 , T 2 , , T n ] . First, calculate the maximum value in the temperature sequence:
T max = max ( T i ) ( i = 1 , 2 , , n )
where T max is the maximum temperature. Subsequently, determine the time point corresponding to the maximum temperature:
t max T = f i n d ( T max )
where t max T is the time when the maximum temperature occurs. Therefore, we define the time when the maximum temperature occurs as HF6. Figure 5 shows the time at which the maximum temperature occurs in different cycles for different batteries. The results show that as LIBs age, the time at which their maximum temperature occurs gradually advances. This is because the internal resistance of LIBs increases during aging, leading to increased internal heat generation, which ultimately results in a faster rate of temperature increase. Therefore, this health indicator exhibits a trend that is highly similar to changes in SOH. Therefore, the use of this health feature should be effective in better estimating the SOH of LIBs.

2.5. Correlation Analysis of Health Characteristics

To quantitatively analyze the correlation between health characteristics and SOH, we used Pearson’s correlation coefficient, described by the formula [21]:
P e a r s o n = E ( X Y ) E ( X ) E ( Y ) E ( X 2 ) E 2 ( X ) E ( Y 2 ) E 2 ( Y )
where X is the health characteristics. Y is the SOH of a LIB. Therefore, by calculating the Pearson correlation coefficients between different health characteristics and SOH, we can intuitively understand the linear correlation between different health characteristics and SOH, thereby better establishing subsequent LIB SOH models.
Figure 6 shows the heat map of the Pearson coefficients between the extracted health features and SOH, and the specific values are shown in Table 2.
The results indicate that all six proposed health features exhibit good Pearson correlation coefficients, with the lowest absolute value reaching 0.68. This suggests that the proposed health features are effective in characterizing the SOH of LIBs across all four batteries. Among these, the peak, peak location, and valley exhibit relatively high Pearson correlation coefficients, with the lowest absolute value reaching 0.93. In contrast, the correlation between the SOH and the valley position, average temperature, and the time at which the maximum temperature occurs is relatively weaker. This may be related to noise in temperature measurements. Overall, all six health features are effective and can support SOH estimation.

3. Lithium-Ion Battery SOH Estimation Method Based on GAPSO-BiGRU

In this section, we first introduce the principles of BiGRU, then introduce the principles of GAPSO and its optimization process, and finally introduce the process of the GAPSO-BiGRU estimation model.

3.1. BiGRU Neural Network

The GRU serves as a simplified model of the LSTM network, offering fewer parameters while maintaining comparable modeling performance to LSTM. Theoretically, the cell state mechanism of LSTM may be more effective at capturing long-range temporal dependencies. However, in SOH estimation, the sequence length typically does not reach the theoretical threshold where LSTM demonstrates its advantages. Therefore, the advantage of the GRU model over the LSTM model is its ability to significantly reduce the overall training time and computational cost of the model. As a result, GRU has found widespread application in temporal modeling. BiGRU is a model composed of two stacked GRUs, with one processing data in the forward direction of the time series and the other processing data in the reverse direction. This configuration helps the model better understand the temporal relationships in the data. Figure 7 shows the network structure of BiGRU and the single-layer cell structure of GRU.

3.2. Genetic Algorithm–Particle Swarm Optimization

The hyperparameters of neural network models are generally determined through experience or extensive trial and error. To address this issue, it is more efficient to use optimization algorithms to automatically optimize parameters. The GAPSO used in this paper is a hybrid intelligent optimization algorithm that combines the respective advantages of the well-known PSO and GA. The PSO has a strong convergence ability and can converge quickly, but it is easy to fall into the local optimum prematurely. The crossover operation of GA can combine the information of different particles to produce a completely new and possibly better search direction; the mutation operation can randomly perturb the particles to help the population jump out of the current local optimal region. This greatly enhances the algorithm’s ability to explore unknown regions. The GAPSO combines the two to allow particles to follow the historical optimum and, at the same time, jump out of the local optimum through genetic manipulation, so as to achieve a balance between “exploration” and “exploitation” capabilities. The GAPSO process is shown below.
(1)
Randomly generate a population containing N particles, with the position X i and velocity V i of each particle randomly initialized within the solution space:
X i ( 0 ) = X min + U ( 0 , 1 ) ( X max X min )
V i ( 0 ) = V min + U ( 0 , 1 ) ( V max V min )
where U ( 0 , 1 ) is the uniformly distributed random numbers. X max , X min are the boundary of the solution space.
(2)
For each particle i , calculate its fitness value f ( X i ) , which is the objective function (such as the validation set RMSE of BiGRU):
f ( X i ) = 1 M k = 1 M ( y k y k ( X i ) ) 2
where M is the sample size. y k is the true SOH. y ^ k is the predicted value of SOH.
(3)
Sort by fitness, and retain the first N e l i t e optimal particles to directly enter the next generation:
X e l i t e ( t ) = { X i ( t ) | i T o p ( N e l i t e , f ( X i ( t ) ) ) }
(4)
For the remaining particles, crossover is performed according to the probability P c to generate new individuals. For example, two-point crossover:
X n e w = X a ( t ) X b ( t )
where represents randomly selecting two parent particles a and b , and exchanging some of their dimension values.
(5)
For the particles after crossover, perform mutation according to the probability P m , and randomly perturb the value of a certain dimension:
X n e w , j = X i , j ( t ) + Δ j , Δ ( 0 , σ 2 )
where Δ j is the Gaussian perturbation. σ controls the degree of variation.
(6)
Particle swarm update:
For particle i , update its speed using the following formula:
V i ( t + 1 ) = ω V i ( t ) + c 1 r 1 ( P i X i ( t ) ) + c 2 r 2 ( g X i ( t ) )
where w is the inertia weight. c 1 , c 2 are the acceleration constant. r 1 , r 2 ~ U ( 0 , 1 ) . Then, update its position:
X i ( t + 1 ) = X i ( t ) + V i ( t + 1 )
When the iteration number t reaches the maximum iteration number T max , or when the fitness convergence reaches the threshold ε , stop:
Termination   condition = T r u e ,   t = T max   o r     f ( g ( t ) ) f ( g ( t 5 ) ) < ε
This algorithm combines the respective advantages of GA and PSO. When the PSO particle swarm clusters in a certain region, the mutation operation of GA randomly disturbs the positions of some particles, reactivating the search space. GAPSO focuses on GA’s global exploration in early iterations and PSO’s local optimization in later iterations. This phased strategy performs better in complex nonlinear problems such as SOH estimation. The algorithm can automate hyperparameter tuning to reduce manual intervention, providing an efficient and reliable solution for battery health management.

3.3. SOH Estimation Model Based on Health Characteristics and GAPSO-BiGRU

This paper proposes the SOH estimation method based on the GAPSO-BiGRU model after extracting important health features. The six extracted health features are used as input, and SOH is used as output. GAPSO is used to optimize the number of hidden layer units, learning rate, and regularization parameters of the BiGRU model to establish the SOH estimation model. As shown in Figure 8, the optimized block diagram of GAPSO-BIGRU is presented. The steps are as follows:
Step 1: Initialize the range of BiGRU hyperparameters. The parameter settings as shown in Table 3.
Step 2: Calculate the fitness values for each particle and sort them based on these values. Based on each particle’s fitness value, determine the individual optimal position and population optimal position for each particle, and use each particle’s optimal position as the historical optimal position.
Step 3: Perform selection, crossover, and mutation operations accordingly.
Step 4: Update the particle positions, individual optimal positions, and population optimal positions of the particles.
Step 5: Repeat steps 2–4 until the termination condition in Formula (18) is met.
In Figure 9, the SOH estimation framework used in this paper is shown. Firstly, the DTV curves are extracted from the aging data of lithium-ion batteries. Then, the SG filter is used for filtering, and the peaks, troughs, and their positions are extracted. At the same time, the time when the maximum temperature occurs and the average temperature in the charging temperature curve are also extracted. Subsequently, the early and mid-cycle data of each battery were used as the training set to train the BiGRU model, and at the same time, some key hyperparameters of the BiGRU were optimized using GAPSO. The remaining cycle data was used as the test set to evaluate the performance of the SOH estimation of the model. Specifically, the first 65% of the data is used as the training set, while the remaining 35% is used as the test set.

4. Results and Discussions

4.1. Evaluation Indicators

In statistical analysis, there are multiple statistical indicators that can describe the error between the predicted values and the actual values. Generally speaking, the most common ones are the mean absolute error (MAE) and the root mean square error (RMSE). As shown below:
M A E = 1 n i = 1 n y i y ^ i
R M S E = 1 n i = 1 n ( y i y ^ i ) 2
where n is the sample size. y i is the true value of the SOH. y ^ i is the predicted value of the SOH. The smaller the two statistical indicators mentioned above are, the higher the estimation accuracy of SOH will be.

4.2. Experimental Results of Different Batteries

In order to more fully verify the effectiveness of the proposed method, it was validated on different LIBs from the Oxford Battery Dataset. In addition, to compare the performance of the model, comparisons were made with some common models, such as BiGRU, BiLSTM, GAPSO-BiLSTM, and GAPSO-BiGRU. Figure 10 shows the estimated results of the SOH for different batteries. The results indicate that the error in SOH estimation using GAPSO-BiGRU is smaller, enabling more accurate SOH estimation. Furthermore, compared with the other three methods, the error in SOH estimation based on the proposed method is the smallest. In addition, among the four LIBs, the SOH estimation results for Cell2 showed significant fluctuations, resulting in relatively poor estimation performance. This may be due to stronger internal dynamic nonlinearity, causing severe fluctuations in the SOH curve and preventing the model from effectively capturing its dynamic changes. The underlying deeper reasons for this might involve the growth of SEI films, loss of active materials, and lithium-ion exfoliation. However, the health features extracted in this paper are based solely on basic voltage, current and temperature data. Although Cell2 may have undergone abnormal aging, its basic attributes have not changed. It can still reflect the specific aging pattern of lithium-ion batteries through the defined health features, thereby achieving SOH estimation. To further quantify the errors of different methods, Table 4 lists the MAE and RMSE of SOH estimation for different batteries.
The results indicate that, except for the MAE of the first battery, GAPSO-BiGRU achieved the best results in all statistical metrics for the remaining batteries. Overall, BiGRU had the largest error, BiLSTM had a relatively smaller error, and the statistical metrics of GAPSO-BiLSTM and GAPSO-BiGRU were further reduced compared to BiLSTM. This is because BiGRU and BiSLTM still rely on manually adjusting hyperparameters, which may prevent the models from fully realizing their modeling potential. In contrast, automatically optimizing the model’s hyperparameters via GAPSO can mitigate the issue of estimation errors caused by improper hyperparameters to some extent. The reason GAPSO-BiGRU outperforms GAPSO-BiLSTM is that BiGRU has fewer parameters than BiLSTM, making it easier to optimize via GAPSO and more effectively identify its optimal hyperparameters. In summary, compared with BiGRU, the proposed method reduced MAE and RMSE by 68.35% and 72.29% on average, respectively. Compared with BiLSTM, the proposed method reduced MAE and RMSE by 33.57% and 37.53% on average, respectively. Compared with GAPSO-BiLSTM, the proposed method reduced MAE and RMSE by 33.26% and 33.04% on average, respectively. Therefore, the proposed method is effective and can support high-precision LIB SOH estimation.

4.3. Further Discussions

In this study, the dataset used was generated in a laboratory environment where the ambient temperature was constant at 40 °C. It is undeniable that under different environmental temperatures or charging protocols, these six health characteristics may exhibit different characteristics. Although in this paper, these six health characteristics have a good correlation with the SOH of LIBs, their correlation may weaken under other conditions, thereby reducing the effectiveness of SOH estimation. In practical applications, the most direct method is to collect battery aging data covering a wide temperature range and various charging protocols, and then train the model. With carefully designed training, this can significantly improve the model’s ability to estimate SOH under different environmental temperatures and charging protocols. Additionally, another strategy is to develop compensation algorithms based on this paper, taking into account the effects of different environmental temperatures and charging protocols in the compensation algorithm, thereby avoiding the failure of health characteristics and the decline in the accuracy of the SOH estimation model under complex conditions.
In addition, the health features extracted in this work are entirely based on basic voltage, current, and temperature measurement data. Therefore, they should be applicable to different models and shapes of LIBs. However, for LIBs with different compositions, the correlation between the extracted health features and SOH may weaken, thereby affecting the accuracy of SOH estimation. To address this issue, we can additionally extract specific health features with strong correlations as input for the model. Diversified health features can still enable the model to capture more deep-level nonlinear features, thereby supporting the achievement of stronger SOH estimation performance.

5. Conclusions

To effectively estimate the SOH, we have proposed an SOH estimation method that integrates multi-dimensional health features and GAPSO-BiGRU. In terms of features, this paper extracts multiple health features, such as peaks and troughs, from the DTV curve. In addition, the average charging temperature and the time at which the maximum charging temperature occurs are also extracted. In terms of the model, to ensure the accuracy of the model, a high-precision SOH estimation model is established by optimizing BiGRU through GAPSO. The proposed method was experimentally validated by four different LIBs of the same model. The results show that this method can effectively estimate the SOH of LIBs, with a maximum RMSE of no more than 0.2583% and a maximum MAE of no more than 0.2771%. Compared with other methods, this method significantly reduces the estimation error. The RMSE was reduced by at least 33.04%, and the MAE was reduced by at least 33.26%. Despite the relatively good results of the proposed method, the limited battery dataset still restricts the validation of its generality. Future studies will further validate the applicability of the proposed method using more diverse aging data of LIBs.

Author Contributions

Conceptualization, L.Z. and Y.Z.; methodology, L.Z. and Y.Z.; writing—original draft preparation, L.Z. and Y.Z.; writing—review and editing, L.Z., Y.Z., K.P. and X.C.; supervision, L.Z., Y.Z., K.P. and X.C.; funding acquisition, Y.Z. All authors have read and agreed to the published version of the manuscript.

Funding

This research was funded by the National Natural Science Foundation of China, grant number 52377207.

Data Availability Statement

The original contributions presented in the study are included in the article, further inquiries can be directed to the corresponding authors.

Conflicts of Interest

The authors declare no conflicts of interest.

References

  1. Liu, K.; Wei, Z.; Zhang, C.; Shang, Y.; Teodorescu, R.; Han, Q.-L. Towards Long Lifetime Battery: AI-Based Manufacturing and Management. IEEE/CAA J. Autom. Sin. 2022, 9, 1139–1165. [Google Scholar] [CrossRef]
  2. Wang, Y.; Guo, S.; Cui, Y.; Deng, L.; Zhao, L.; Li, J.; Wang, Z. A comprehensive review of machine learning-based state of health estimation for lithium-ion batteries: Data, features, algorithms, and future challenges. Renew. Sustain. Energy Rev. 2025, 224, 116125. [Google Scholar] [CrossRef]
  3. Chen, L.; Zeng, X.; Xia, X.; Sun, Y.; Yue, J. A modeling and state of charge estimation approach to lithium-ion batteries based on the state-dependent autoregressive model with exogenous inputs. Energy 2024, 300, 131626. [Google Scholar] [CrossRef]
  4. Khaleel, M.; Yusupov, Z.; Kilic, H.; Moftah, A.; Hesri, A.; Ahmed, A.A.; Nassar, Y.; Yilmaz, M.; Martinez-Morales, A.A. Battery technologies In electrical power Systems: Pioneering secure energy transitions. J. Power Sources 2025, 653, 237709. [Google Scholar] [CrossRef]
  5. Pan, H.; Lü, Z.; Wang, H.; Wei, H.; Chen, L. Novel battery state-of-health online estimation method using multiple health indicators and an extreme learning machine. Energy 2018, 160, 466–477. [Google Scholar] [CrossRef]
  6. Soyoye, B.D.; Bhattacharya, I.; Anthony Dhason, M.V.; Banik, T. State of Charge and State of Health Estimation in Electric Vehicles: Challenges, Approaches and Future Directions. Batteries 2025, 11, 32. [Google Scholar] [CrossRef]
  7. Waseem, M.; Lakshmi, G.S.; Amir, M.; Ahmad, M.; Suhaib, M. Advancement in battery health monitoring methods for electric vehicles: Battery modelling, state estimation, and internet-of-things based methods. J. Power Sources 2025, 633, 236414. [Google Scholar] [CrossRef]
  8. Xiong, R.; Li, L.; Li, Z.; Yu, Q.; Mu, H. An electrochemical model based degradation state identification method of Lithium-ion battery for all-climate electric vehicles application. Appl. Energy 2018, 219, 264–275. [Google Scholar] [CrossRef]
  9. Thomas, H.; Weatherspoon, M.H. Capacity and State-of-Health Prediction of Lithium-Ion Batteries Using Reduced Equivalent Circuit Models. Batteries 2025, 11, 162. [Google Scholar] [CrossRef]
  10. Tian, J.; Xiong, R.; Shen, W.; Lu, J.; Sun, F. Flexible battery state of health and state of charge estimation using partial charging data and deep learning. Energy Storage Mater. 2022, 51, 372–381. [Google Scholar] [CrossRef]
  11. Peng, S.; Sun, Y.; Liu, D.; Yu, Q.; Kan, J.; Pecht, M. State of health estimation of lithium-ion batteries based on multi-health features extraction and improved long short-term memory neural network. Energy 2023, 282, 128956. [Google Scholar] [CrossRef]
  12. He, J.; Liu, X.; Huang, W.; Zhang, B.; Zhang, Z.; Shao, Z.; Mao, Z. Health State Assessment of Lithium-Ion Batteries Based on Multi-Health Feature Fusion and Improved Informer Modeling. Energies 2024, 17, 2154. [Google Scholar] [CrossRef]
  13. Buvanesan, A.V.; Venugopal, B.M.; Murugan, C.K.; Velusamy, D.H. Deep learning for state of health estimation in EV batteries: A CNN-BiLSTM approach. AIP Adv. 2025, 15, 075327. [Google Scholar] [CrossRef]
  14. Kao, Y.-T.; Zahara, E. A hybrid genetic algorithm and particle swarm optimization for multimodal functions. Appl. Soft Comput. 2008, 8, 849–857. [Google Scholar] [CrossRef]
  15. Bao, Z.; Jiang, J.; Zhu, C.; Gao, M. A New Hybrid Neural Network Method for State-of-Health Estimation of Lithium-Ion Battery. Energies 2022, 15, 4399. [Google Scholar] [CrossRef]
  16. Xu, X.; Deng, K.; Yang, J.; Deng, P.; Wu, X.; Cheng, L.; Zhou, H. Jointed SOH Estimation of Electric Bus Batteries Based on Operating Conditions and Multiple Indicators. Sustainability 2025, 17, 812. [Google Scholar] [CrossRef]
  17. Han, Y.; Liu, Y.; Huang, Q.; Zhang, Y. SOC estimation for lithium-ion batteries based on BiGRU with SE attention and Savitzky-Golay filter. J. Energy Storage 2024, 90, 111930. [Google Scholar] [CrossRef]
  18. Mayemba, Q.; Mingant, R.; Li, A.; Ducret, G.; Venet, P. Aging datasets of commercial lithium-ion batteries: A review. J. Energy Storage 2024, 83, 110560. [Google Scholar] [CrossRef]
  19. Wu, B.; Yufit, V.; Merla, Y.; Martinez-Botas, R.F.; Brandon, N.P.; Offer, G.J. Differential thermal voltammetry for tracking of degradation in lithium-ion batteries. J. Power Sources 2015, 273, 495–501. [Google Scholar] [CrossRef]
  20. Chen, L.; Zeng, X.; Xia, X.; Sun, Y.; Yue, J. Sensorless temperature estimation of lithium-ion batteries by integrating physics with the state-dependent model. J. Energy Storage 2025, 124, 116809. [Google Scholar] [CrossRef]
  21. Zhang, Q.; Tian, J.; Yan, Z.; Li, X.; Pan, T. Classification of Lithium-Ion Batteries Based on Impedance Spectrum Features and an Improved K-Means Algorithm. Batteries 2023, 9, 491. [Google Scholar] [CrossRef]
Figure 1. The aging curves of the eight batteries.
Figure 1. The aging curves of the eight batteries.
Energies 18 05456 g001
Figure 2. The DTV curve (different colors represent different cycle numbers): (a) original DTV curve; (b) filtered DTV curve.
Figure 2. The DTV curve (different colors represent different cycle numbers): (a) original DTV curve; (b) filtered DTV curve.
Energies 18 05456 g002
Figure 3. The DTV curves for different cycle numbers of the battery: (a) Cell1; (b) Cell2; (c) Cell3; (d) Cell4.
Figure 3. The DTV curves for different cycle numbers of the battery: (a) Cell1; (b) Cell2; (c) Cell3; (d) Cell4.
Energies 18 05456 g003
Figure 4. The temperature curve during the charging phase of battery 1 at different cycle intervals.
Figure 4. The temperature curve during the charging phase of battery 1 at different cycle intervals.
Energies 18 05456 g004
Figure 5. The time at which the maximum temperature occurs in different cycles for different batteries: (a) Cell1; (b) Cell2; (c) Cell3; (d) Cell4.
Figure 5. The time at which the maximum temperature occurs in different cycles for different batteries: (a) Cell1; (b) Cell2; (c) Cell3; (d) Cell4.
Energies 18 05456 g005
Figure 6. The heat map of the Pearson coefficients between the extracted health features and SOH (The direction of the ellipse indicates whether HF and SOH are positively correlated or negatively correlated. The degree of flattening reflects the magnitude of the absolute value of the correlation coefficient. The more flattened the ellipse is, the larger the absolute value of the correlation coefficient.): (a) Cell1; (b) Cell2; (c) Cell3; (d) Cell4.
Figure 6. The heat map of the Pearson coefficients between the extracted health features and SOH (The direction of the ellipse indicates whether HF and SOH are positively correlated or negatively correlated. The degree of flattening reflects the magnitude of the absolute value of the correlation coefficient. The more flattened the ellipse is, the larger the absolute value of the correlation coefficient.): (a) Cell1; (b) Cell2; (c) Cell3; (d) Cell4.
Energies 18 05456 g006
Figure 7. The network structure of BiGRU and the single-layer cell structure of GRU.
Figure 7. The network structure of BiGRU and the single-layer cell structure of GRU.
Energies 18 05456 g007
Figure 8. The optimized block diagram of GAPSO-BIGRU.
Figure 8. The optimized block diagram of GAPSO-BIGRU.
Energies 18 05456 g008
Figure 9. The SOH estimation framework.
Figure 9. The SOH estimation framework.
Energies 18 05456 g009
Figure 10. Estimation results of the SOH for different batteries: (a) Cell1; (b) Cell2; (c) Cell3; (d) Cell4.
Figure 10. Estimation results of the SOH for different batteries: (a) Cell1; (b) Cell2; (c) Cell3; (d) Cell4.
Energies 18 05456 g010
Table 1. The detailed information on this type of battery.
Table 1. The detailed information on this type of battery.
ParameterValue
Nominal capacity740 mAh
Nominal voltage3.7 V
Charging cut-off voltage4.2 V
Discharging cut-off voltage2.7 V
Operating temperatureCharge 0–45 °C
Discharge −20–60 °C
Weight19 g
Table 2. The Pearson correlation coefficient values of different health characteristics and SOH.
Table 2. The Pearson correlation coefficient values of different health characteristics and SOH.
HF1HF2HF3HF4HF5HF6
Battery 10.99−0.97−0.990.900.890.97
Battery 20.99−0.91−0.980.840.800.85
Battery 30.99−0.96−0.930.770.680.90
Battery 40.99−0.96−0.990.870.790.89
Table 3. The parameter setting of GAPSO and BiGRU.
Table 3. The parameter setting of GAPSO and BiGRU.
Algorithms/ModelParametersScope
GAPSOPopulation size50
Maximum number of iterations15
BiGRURegularization parameter[1 × 10−9, 1 × 10−5]
Initial learning rate[0.0056, 0.012]
Number of hidden layers[500, 1000]
Table 4. The MAE and RMSE of SOH estimation for different batteries (The best result is highlighted in bold.).
Table 4. The MAE and RMSE of SOH estimation for different batteries (The best result is highlighted in bold.).
BatteryBiGRUBiLSTMGAPSO-BiLSTMGAPSO-BiGRU
%MAERMSEMAERMSEMAERMSEMAERMSE
#10.42780.47690.21730.20540.19310.20400.20680.1974
#21.53371.61740.88610.89190.42270.40710.16490.1861
#31.02731.16270.25640.30020.42760.47710.18540.2239
#40.56060.66730.34810.44310.35760.32940.27710.2583
Disclaimer/Publisher’s Note: The statements, opinions and data contained in all publications are solely those of the individual author(s) and contributor(s) and not of MDPI and/or the editor(s). MDPI and/or the editor(s) disclaim responsibility for any injury to people or property resulting from any ideas, methods, instructions or products referred to in the content.

Share and Cite

MDPI and ACS Style

Zhou, L.; Zhang, Y.; Pan, K.; Cheng, X. Lithium-Ion Battery State of Health Estimation Based on Multi-Dimensional Health Characteristics and GAPSO-BiGRU. Energies 2025, 18, 5456. https://doi.org/10.3390/en18205456

AMA Style

Zhou L, Zhang Y, Pan K, Cheng X. Lithium-Ion Battery State of Health Estimation Based on Multi-Dimensional Health Characteristics and GAPSO-BiGRU. Energies. 2025; 18(20):5456. https://doi.org/10.3390/en18205456

Chicago/Turabian Style

Zhou, Lv, Yu Zhang, Kuiting Pan, and Xiongfan Cheng. 2025. "Lithium-Ion Battery State of Health Estimation Based on Multi-Dimensional Health Characteristics and GAPSO-BiGRU" Energies 18, no. 20: 5456. https://doi.org/10.3390/en18205456

APA Style

Zhou, L., Zhang, Y., Pan, K., & Cheng, X. (2025). Lithium-Ion Battery State of Health Estimation Based on Multi-Dimensional Health Characteristics and GAPSO-BiGRU. Energies, 18(20), 5456. https://doi.org/10.3390/en18205456

Note that from the first issue of 2016, this journal uses article numbers instead of page numbers. See further details here.

Article Metrics

Back to TopTop