Abstract
This study aims at enhancing platform design and passive control technology, reducing maintenance costs, and increasing stability and efficiency. The selected site for this study is offshore water in Hsinchu, Taiwan. Owing to shallow water conditions at the selected site, an octagonal barge-type platform was chosen for investigation of its suitability in this study. A counterweight suspension system was used to improve stability and avoid pitch resonance. Meanwhile, an octagonal barge platform carrying the NREL-5MW offshore wind turbine was designed. It uses SolidWorks for modeling, Ansys AQWA for hydrodynamic calculations, and Orcina OrcaFlex for wind/wave/current coupling dynamic analysis. Key research results include optimizing the counterweight suspension system and ensuring compliance with Det Norske Veritas (DNV) regulations, covering Ultimate Limit States (ULSs), Accidental Limit States (ALS)s, Serviceability Limit States (SLSs), and Fatigue Limit States (FLSs). Thus, the major inspections include platform motions, mooring line tension, and suspension system tension during turbine operation and parking. Comparisons are made with and without the counterweight suspension system.
1. Introduction
1.1. Motivation
Taiwan has been working hard to create renewable energy in order to reach the goal of having net-zero carbon emissions by 2050. Out of all the renewable energy sources available in Taiwan, wind energy is the most commercialized. Wind speeds rise with increasing offshore distance, which makes offshore wind energy more appealing. In water depths greater than 50 m, floating offshore wind turbines (FOWTs) become more competitive. However, stability has a big impact on how efficiently power is generated by floating wind turbines. Therefore, installing floating offshore wind turbines in the typhoon-prone Taiwan Strait requires careful assessment of suitable floating platforms to enhance the overall economic efficiency. This paper selects a barge-type floating platform based on the water depth conditions of the Taiwan Strait and the construction complexity of floating platforms. Then, based on the disadvantages of the barge-type platform, it is improved upon to become an octagonal barge-type platform with counterweight suspension system, the design concept of which will be introduced in Section 2.2.
The purpose of this paper is to conduct inspections in compliance with Det Norske Veritas (DNV) standards and construct floating platforms based on the environmental conditions of the Taiwan Strait.
1.2. Literature Review
The design of floating platforms and counterweight suspension systems is the main topic of this study. Through a survey of the literature, the various kinds of floating platforms and counterweight suspension system designs are introduced in this part.
1.2.1. Types of Floating Platforms
According to Faraggiana et al. (2022) [1], “A review of numerical modelling and optimisation of the floating support structure for offshore wind turbines”, multiple designs are used by floating platforms to address stability in a variety of environmental circumstances. Based on their stability characteristics, they can generally be categorized into three main types: buoyancy-stabilized, ballast-stabilized, and mooring-stabilized, as illustrated in Figure 1.
Figure 1.
Classification of floating platforms.
Buoyancy-stabilized platforms provide stability through a larger waterplane area, which offers buoyancy. This design has the advantage of a shallower draft, making it suitable for the water depths in the Taiwan Strait. However, the larger waterplane area results in higher wave loads, leading to lower stability. Common examples of buoyancy-stabilized platforms include barge-type platforms and semi-submersible platforms, as shown in Figure 2.
Figure 2.
Types of floating platforms.
Ballast-stabilized platforms lower the center of gravity through a deeper draft and ballasting weight. This results in a small waterplane area and thus reduces wave loads, leading to high stability. However, the deeper draft makes it unsuitable for the water depths in the Taiwan Strait. A common example of a ballast-stabilized platform is the spar platform, as shown in Figure 2.
Mooring-stabilized platforms use highly pre-tensioned mooring lines to provide stability. This high pre-tensioning limits the movement range of the floating platform, resulting in high stability. However, the risk of platform capsizing due to mooring line failure is increased, presenting significant risks in the harsh environmental conditions of the Taiwan Strait. A common example of a mooring-stabilized platform is the tension leg platform, as shown in Figure 2.
In recent years, many innovative floating platforms have been developed by improving upon the strengths and weaknesses of traditional floating platform types. For example, the TetraSpar, developed by Stiesdal Offshore Technologies (Copenhagen, Denmark), addresses the limitations of the spar platform, such as its inability to be assembled and towed nearshore. By utilizing a counterweight suspension system, the TetraSpar significantly reduces maritime engineering costs.
1.2.2. Control System Types
Due to the prevalence of typhoons in Taiwan during the summer months, the severe sea conditions pose a great challenge to the floating platform. Therefore, the first and foremost problem to be overcome in the development of FOWTs in Taiwan is to minimize the dynamic response of floating platforms under extreme sea conditions (e.g., typhoons). The application of vibration reduction technology to floating platforms not only enhances the structural safety under extreme sea conditions but also improves the power efficiency when the wind turbine operates.
According to the paper by Tian et al. (2023) [2], “Review of floating wind turbine damping technology”, vibration reduction technology can be divided into active ballast control systems and passive control systems. Currently, active ballast control systems are widely adopted internationally, but due to higher operational costs, there has been a recent focus on cost-effective passive vibration reduction technologies. The following introduces two types of passive vibration reduction technologies, namely, tuned mass dampers (TMDs) and tuned liquid dampers (TLDs).
- Tuned Mass Damper (TMD)
The tuned mass damper (TMD) is a passive vibration control device designed to reduce the dynamic response of a structure to external loads such as wind, wave, or seismic forces. The primary purpose of a TMD is to absorb and dissipate vibrational energy, thereby reducing structural vibrations and improving stability.
A typical TMD includes a mass element, a damping element, and a spring element, all of which are tuned to specific frequencies. The mass element is attached to the structure, and its natural frequency is adjusted to coincide with the natural frequency of the structure. When the structure vibrates, the TMD oscillates in opposition to the structural motion, generating forces that counteract and dampen the vibrations.
Tuned mass dampers are commonly employed in various engineering applications, including buildings, bridges, and offshore structures [3,4,5], to enhance their resilience to dynamic loads. For examples, Taipei 101 is equipped with a massive TMD as shown in Figure 3. The TMD is a huge pendulum hanging near the top of the building, and its purpose is to dampen the shaking resulting from severe winds or seismic activities. Another example is TetraSpar, which is also equipped with a massive tuned mass damper. The mass element, known as the ‘keel’, is suspended in the ocean. Its purpose is not only to reduce pitch motion but also to lower the center of gravity, thereby stabilizing the floating platform.
Figure 3.
Taipei 101 Tuned Mass Damper.
- Tuned Liquid Damper (TLD)
Tuned liquid dampers (TLDs) are another type of passive vibration control equipment designed to reduce structural vibrations resulting from external forces. Unlike TMDs, which use a mass-spring-damping system, TLDs utilize the dynamic properties of liquid sloshing within a container to absorb and dissipate vibrational energy. TLDs are commonly employed in various engineering applications to enhance the resilience of structures subjected to dynamic loads.
A typical TLD consists of a container partially filled with a liquid, typically water. The container is attached to the structure, and its natural frequency is tuned to match the natural frequency of the structure. When the structure vibrates, the liquid inside the container sloshes back and forth, generating forces that counteract and dampen the structural vibrations.
FOWTs are exposed to dynamic loads from wind, waves, and currents which tend to generate the floating wind turbine vibrations. To enhance their stability and reduce vibrations, tuned liquid dampers can be employed.
Consider a floating platform equipped with a TLD. The TLD is strategically placed on the platform, and its container is partially filled with a liquid. The natural frequency of the TLD is tuned to match the natural frequency of the platform’s vibrations due to wind and wave loads.
When the platform experiences oscillations, the liquid inside the TLD sloshes in a way that generates forces opposing the structural motion. This helps in absorbing and dissipating vibrational energy, thus reducing the overall structural vibrations and improving the stability of the floating platform.
In addition to TLDs, two other passive vibration damping technologies, namely, the TLCD (Tuned Liquid Column Damper) and TLMCD (Tuned Liquid Multi-Column Damper), are based on the same principle. Both technologies employ U-shaped tubes to dissipate excitation forces on the structure through liquid sloshing. The primary distinction lies in the design: The TLCD utilizes a single-direction U-tube, limiting its vibration damping to a single dimension. On the other hand, the TLMCD incorporates a multi-directional U-tube, allowing it to dampen excitation forces in different directions. Its geometry is well-suited for applications such as the semi-submersible floating platform.
Xue et al. (2022) [6], in their paper “Pitch motion reduction of semisubmersible floating offshore wind turbine substructure using a tuned liquid multicolumn damper”, applied the TLMCD to a semi-submersible platform to reduce pitch motion. The unique feature of the TLMCD, with its multi-directional U-tubes, aligns with the complex requirements of reducing vibrations in various directions. The effectiveness of the TLMCD was validated through a 1:144 hydraulic model test, providing numerical and experimental verification for its application in damping pitch motion.
1.2.3. Design of Counterweight Suspension System
Ward et al. (2021) [7], in their paper “The effect of counterweight mass and line stiffness on the global dynamic performance of a hanging-mass floating offshore wind turbine”, mentioned that the design of counterweight suspension systems is guided through dimensionless analysis. The primary parameters governing this design include the mass ratio , stiffness ratio , and inertia ratio .
- Mass ratio
- Stiffness ratio
- Inertia ratio
2. Methodology
2.1. Design Process
The design process for this study is as follows:
- Selection and Improvement: Choose the type of floating platform based on the local environmental conditions and make the necessary improvements.
- Modeling: Use 3D modeling software (SolidWorks 2018) to create the platform model and calculate its physical parameters.
- Stability Analysis: Confirm the platform’s stability through static water analysis and iterate to find the optimal configuration by using ANSYS AQWA 2021 R1.
- Hydrodynamic Analysis: Perform hydrodynamic calculations using ANSYS AQWA.
- System Design and Testing: Use Orcina OrcaFlex 11.2e (Orcina Ltd., Ulverston, UK) to design the mooring and counterweight suspension systems. Conduct free decay tests to determine the natural period and calculate regular wave responses to obtain the Response Amplitude Operator (RAO). Compare different configurations for surge, heave, and pitch degrees of freedom to find the optimized counterweight suspension system solution.
- Criteria Check: Input environmental conditions and check against design criteria, including Ultimate Limit State (ULS), Accidental Limit State (ALS), Serviceability Limit State (SLS), and Fatigue Limit State (FLS), to ensure the design meets all necessary requirements.
2.2. Design Concept
According to the study by Johannessen et al. (2018) [8], “Concept study and design of floating offshore wind turbine support structure”, the design of floating platforms must consider six important factors: stability, natural period, assembly procedures, overall dimensions, mass, and cost. Therefore, the design concept will focus on the water depth and environmental conditions at the site, as well as assess the feasibility and cost of maritime engineering to determine the type of floating platform.
According to the paper by Faraggiana et al., (2022) [1], “Review of floating wind turbine damping technology”, semi-submersible and barge-type platforms are buoyancy-stabilized floating platforms. Therefore, under the water depth constraints of the Taiwan Strait (with a maximum depth of 100 m), they have the advantage of a shallower draft.
According to DNV-RP-0286 [9], typical natural periods for different platform types are referenced in Table 1. Although both semi-submersible and barge-type platforms may experience resonance in vertical motion, this effect can be mitigated using heave plates. Additionally, barge-type platforms can further reduce vertical motion using moonpools.
Table 1.
Natural periods of different floating platform types (Resource: DNV-RP-0286).
Barge-type platforms are more prone to resonance in pitch motion. However, semi-submersible platforms have higher production costs. Therefore, the cost of semi-submersible platforms is higher than that of barge-type platforms. To increase the natural period of pitch motion, a counterweight suspension system [10] can extend the natural period of pitch motion, making the barge-type platform a potentially suitable choice for the Taiwan Strait.
Based on the following design concept, the floating platform is illustrated in Figure 4. This floating platform is named Suspensa OctaFloat (SOF), due to its combination of an octagonal design and a counterweight suspension system.
Figure 4.
Design concept of Suspensa OctaFloat.
For square barge-type platforms, the square shape has a larger surface area exposed to incoming wave forces, making it more susceptible to larger wave loads. To reduce the force area in the wave direction and address the construction difficulties of large-diameter cylindrical shapes and the potential vortex-induced vibrations (VIVs), an octagonal design has been chosen as a solution.
Since barges are prone to resonance in vertical motion, which results in larger responses, moonpools and heave plates can be used to reduce vertical motion, thereby improving the safety of maintenance personnel and the stability of the floating platform during operation.
Due to the tendency of barges to resonate in pitch motion, the counterweight suspension system is used to increase the natural period of the floating platform’s pitch motion. This system can extend the natural period to approximately 16–18 s, while the 250-year return period peak period for the Taoyuan environment in the Taiwan Strait is 15 s. This means the counterweight suspension system can prevent pitch motion resonance and enhance stability under extreme conditions. Additionally, the counterweight suspension system lowers the center of gravity and provides a restorative moment, making the floating platform more stable during operation.
Furthermore, given the frequent typhoons in the Taiwan Strait, the extreme conditions are quite severe. The barge design also allows for stabilization of the platform using ballast water in the event of suspension system failure, preventing the platform from capsizing if the suspension lines break.
2.3. Ansys AQWA
ANSYS AQWA, a hydrodynamic analysis software is used for modeling various applications such as floating structures, ships, FPSOs, and FOWTs. It employs boundary element and finite-element boundary methods to deal with potential flow problems. In its calculations, AQWA assumes the fluid is homogeneous, incompressible, inviscid, and irrotational, following the governing equation as the Laplace equation. The software utilizes the three-dimensional Green’s function source distribution method and three-dimensional radiation and diffraction theory to compute first- or second-order wave forces, added mass, radiation damping, and the hydrostatic stiffness of the floating structure. This overview is based on the theoretical framework presented in the ANSYS AQWA Theory Manual (2021 R1) [11], as shown in Figure 5.
Figure 5.
Theoretical framework of Ansys AQWA.
2.4. Orcina OrcaFlex
OrcaFlex 11.2e [12], a dynamic analysis software developed by Orcina, finds widespread use in various industries such as oil and gas, wet renewables, oceanography, seismic studies, defense, and aquaculture. Tests conducted in OrcaFlex cover a range of applications, including riser systems, mooring performance, pipelay and pipelines, towed systems, cable structures, and earthquake loading.
OrcaFlex calculates the wind thrust on the wind turbine using the boundary element method (BEM), computes the wave forces using hydrodynamic parameters imported from Ansys AQWA, and determines the drag force using the drag coefficient. The floater’s motion and the tension on the mooring and suspension lines under various climatic circumstances are simulated by means of wind–wave–current coupling.
This study employs OrcaFlex to analyze the designs of the floating platform, mooring system, and counterweight suspension system. However, OrcaFlex lacks the capability to calculate three-dimensional diffraction and radiation in hydrodynamics. Therefore, we first conduct these hydrodynamic calculations in ANSYS AQWA and then import the results into OrcaFlex for further analysis.
Due to the diameters of the mooring and suspension lines being smaller than 0.2 times the wavelength (, they are considered small structural elements. Therefore, in OrcaFlex, the Morison equation [13] is used, and the mooring and suspended lines are modeled using a finite-element approach known as the lumped mass method (as shown in Figure 6).
Figure 6.
Lumped mass method in OrcaFlex.
2.5. Turbsim
TurbSim (Turbulence Simulation) is a wind field simulation tool developed by the National Renewable Energy Laboratory (NREL) for generating wind speed time series to simulate the variation of wind speeds in a wind field [14].
This study follows the IEC 61400-1 standard [15] and utilizes the IEC Kaimal model along with the design conditions specified in DNV-ST-0437 [16]. For extreme conditions, the EWM is applied, whereas the NTM is used for operational conditions.
2.6. Fatigue Analysis
Mooring systems and suspension systems are subjected to continuous cyclic loading from metocean conditions. According to API RP 2SK [17], this study utilizes Palmgren–Miner’s rule in conjunction with the rainflow counting method [18]. Figure 7 depicts the amplitude of mooring loading in the random variable load-time domain, while Figure 8 illustrates the rainflow cycle counting method. It is assumed that the uniaxial cycle counting method is employed for each load, and fatigue damage is calculated as follows:
where is the number of cycles of operation, and is the total number of cycles that produces failure at that stress level.
Figure 7.
Schematic diagram of load–time domain history.
Figure 8.
Schematic diagram of rainflow cycle counting method.
After that, the characteristic cumulative damage can be defined as the sum of all damages over a total of blocks.
The event of failure is defined as ≥ 1.0.
The American Petroleum Institute (API) established a standard (API RP 2SK, 2005 [17]) that outlines the tension range linked to the fatigue life of each mooring component. In 2008, API introduced the T–N curve for mooring lines, which expresses the number of cycles to failure and the corresponding tension range as follows:
which can also be given as:
where is defined as the number of cycles required for the fatigue mechanism to occur, is the tension range, is the intercept parameter of the curve, is the reference breaking strength, and m is the slope of T–N curve.
2.7. Dynamic Response and Mooring System Criteria
To ensure the stability and safety of the floating platform under extreme and operational conditions, DNV-ST-0119 [19] provides mooring system design specifications, DNV-RP-0286 presents guidelines for the dynamic response of the floating platform, and COREWIND D2.1 provides the maximum surge offset requirement.
Mooring system design criteria (DNV-ST-0119):
For the mooring system, the design criteria are based on the Ultimate Limit State (ULS) (50-year return period sea state) and the Accidental Limit State (ALS). The following is a description of the mooring design specifications.
The design tension in a mooring line is the sum of two factored characteristic tension components and
in which is characteristic mean tension, is characteristic dynamic tension, and and are load factors, given in Table 2.
Table 2.
Load factor requirements for design of mooring lines (DNV-ST-0119).
The characteristic capacity of the body of the mooring line may be obtained from the minimum breaking strength of new components as:
The design criteria in the ULS and ALS are:
The above are the design criteria of the mooring system made of a chain. Tension level of fibers should not exceed 70% MBS in ULS.
Ultimate and Serviceability Limit State values (DNV-RP-0286)
In DNV-RP-0286, there are criteria during operational load cases and non-operational load cases:
- -
- Max. tilt at tower top during operational load cases, e.g., DLC 1.2, 1.6 (SLS);
- -
- Permanent value: 0.5 degrees;
- -
- Mean value in the time series: 5 degrees;
- -
- Max. value in the time series: 10 degrees;
- -
- Max. tilt at tower top during non-operational cases e.g., DLC 6.1, 6.2 (ULS): 15 degrees;
- -
- Max. acceleration at tower top during operational cases e.g., DLC 1.2, 1.6 (SLS): 0.3 g;
- -
- Max. acceleration at tower top during non-operational cases e.g., DLC 6.1, 6.2 (ULS): 0.6 g;
COREWIND D2.1 [20] noted that the maximum surge offset is 30 m under 100 m water depth.
To summarize the above criteria, the following criteria will be verified in this study (as shown in Table 3).
Table 3.
Criteria inspected in this study.
Fatigue Limit State criteria (DNV-ST-0119)
In DNV-ST-0119, the design cumulative damage is obtained by multiplying the characteristic cumulative damage by the design fatigue factor (as shown in Table 4).
Table 4.
Minimum requirements for design fatigue factors, DFFs, for mooring line and steel tendon (DNV-ST-0119).
The design criteria in fatigue are
3. Numerical Setup
3.1. Site Selection
This study references the mean power density from the GLOBAL WIND ATLAS website to select target sites (as shown in Figure 9). This study focuses on the offshore area of Hsinchu, targeting a water depth of 100 m, and employs an improved octagonal barge platform to enhance the stability and power generation efficiency.
Figure 9.
Taiwan Wind Mean Power Density Map (Retrieve from: GLOBAL WIND ATLAS).
Environmental Conditions
The environmental conditions for this study are referenced from the Environmental Impact Assessment Reports of the EIA of the Winds Of September Floating Offshore Project [21] and the EIA of W1N [22] (as shown in Table 5). Simulations are conducted for operational conditions and turbine parking conditions according to design load cases 1 and 6 (DLC1.x & DLC6.x) specified in the DNV-ST-0437 standard. The dynamic response and tension of the mooring lines and suspension ropes are assessed under the Ultimate Limit State (ULS), Serviceability Limit State (SLS), and Normal Sea State.
Table 5.
Environmental conditions at Hsinchu, Taiwan site.
For the Ultimate Limit State, simulations use a 50-year return period wave condition combined with the extreme wind speed model (EWM) of 57 m/s specified for T-class wind turbines in the IEC-61400-1 standard [15], along with the extreme current speed statistics from the EIA of W1N. For the Serviceability Limit State, a 20-year statistical extreme winter wave condition is used in combination with the maximum wind thrust speed and current speed statistics from the EIA of W1N. Normal Sea State simulations employ the average winter significant wave height and period from the EIA of Winds Of September Floating Offshore Project, paired with the annual average wind speed and current speed from the EIA of W1N.
Since actual sea conditions consist of irregular waves, this study refers to the JONSWAP spectrum’s peak enhancement factor () of 2.08 as suggested by Ou (1977) [23] for the Taiwan Strait. The recommended simulation duration is set to 3 h according to the standards [24].
3.2. Model Setup
This study employs the 5-MW reference offshore wind turbine designed by the National Renewable Energy Laboratory (NREL) and the improved octagonal barge platform designed in this study, named Suspensa OctaFloat (SOF). The parameters of the wind turbine and platform will be introduced in this section, along with a brief description of the specifications and setup of the mooring and counterweight suspension system.
3.2.1. Offshore Wind Turbine
Although most current studies use the IEA 15-MW reference wind turbine (International Energy Agency, Paris, France), this study employs the smaller NREL 5-MW reference wind turbine due to the new floating platform design (as shown in Figure 10). In the future, this design can be gradually scaled up to accommodate larger offshore wind turbines. The parameters of the NREL 5-MW offshore wind turbine are shown in Table 6, and its wind thrust curves are depicted in Figure 11.
Figure 10.
NREL 5-MW reference wind turbine.
Figure 11.
NREL 5-MW Reference Wind Turbine Thrust Curve (Resource: Chuang et al. (2021) [25], ”Experimental and numerical study of a barge-type FOWT platform under wind and wave load”.).
Table 6.
Parameters of NREL 5-MW reference wind turbine [26].
Table 6.
Parameters of NREL 5-MW reference wind turbine [26].
| Rating | 5 MW |
|---|---|
| Rotor Orientation, Configuration | Upwind, 3 Blades |
| Rotor Mass (Blade) | 674,000 kg |
| Nacelle Mass | 477,900 kg |
| Tower Mass, including Instrumentation | 493,500 kg |
| COG tower | 43.85 m |
| Hub Height | 90 m |
| Cut-In, Rated, Cut-Out Wind Speed | 3 m/s, 11.4 m/s, 25 m/s |
| Sum Mass (Rotor+ Nacelle+ Tower) | 1,038,400 kg |
| XCG | 14 m |
| YCG | 0 m |
| ZCG | 70.596116 m |
| Roll Inertia | 2.40 10⁸ kg ∙ |
| Pitch Inertia | 2.40 10⁸ kg ∙ |
| Yaw Inertia | 4.80 10⁸ kg ∙ |
3.2.2. Floating Platform
The design parameters of the SOF are shown in Table 7. Based on the design concept outlined in Chapter 2, the SOF is constructed from steel with an outer diameter of 48 m. At its center, there is a 15 × 15 m moonpool to suppress vertical motion. Since the wind turbine is installed on one side, the platform’s center of gravity is adjusted using ballast water and concrete within the compartments (as shown in Figure 12) to ensure that the center of gravity remains below the center of buoyancy and achieves the designed draft depth. A side view of the SOF with the counterweight suspension system in OrcaFlex is shown in Figure 13.
Table 7.
Parameters of Suspensa OctaFloat.
Figure 12.
Suspensa OctaFloat perspective view (including ballast).
Figure 13.
Scale of Suspensa OctaFloat with NREL 5-MW wind turbine (side view).
3.2.3. Mooring System
This study designs a 4 × 2 mooring system. However, due to the difficulty in passing design criteria under ALS (accidental limit state) scenarios where mooring lines might break, a 4 × 3 mooring design was also implemented. The 4 × 2 mooring system design is shown in Figure 14 and detailed in Table 8, while the 4 × 3 mooring system design is depicted in Figure 15 and detailed in Table 9.
Figure 14.
The 4 × 2 mooring system configuration at Hsinchu site (top view) (Unit: m).
Table 8.
The 4 × 2 mooring system configuration.
Figure 15.
The 4 × 3 mooring system configuration at Hsinchu site (top view) (Unit: m).
Table 9.
The 4 × 3 mooring system configuration.
3.2.4. Counterweight Suspension System
According to the paper by Borg et al. (2020) [28], “Technical definition of the Tetraspar demonstrator floating wind turbine foundation”, the ropes used in the counterweight suspension system of the TetraSpar design are made of polyester rope bundles. The literature indicates that polyester fibers have higher stiffness compared to nylon and polypropylene (as shown in Table 10), and they are more fatigue-resistant. Therefore, this study uses polyester rope bundles for the design.
Table 10.
Formulas for synthetic rope MBL and axial stiffness (d is in meters) [12].
In the literature review, Ward et al. (2021) [7], in their paper “The effect of counterweight mass and line stiffness on the global dynamic performance of a hanging-mass floating offshore wind turbine”, used mass ratio, stiffness ratio, and inertia ratio as dimensionless parameters for optimizing the counterweight suspension system. Since this study employs a barge-type platform, its dimensionless parameters differ from those described for other floating platforms in the literature. Therefore, directly applying the optimized dimensionless parameter values from the literature is not suitable for this design. However, the physical significance of these dimensionless parameters can still serve as the foundation for the design. Meanwhile, this study refers to Ward et al. (2021) [7], “The effect of counterweight mass and line stiffness on the global dynamic performance of a hanging-mass floating offshore wind turbine”, to limit the range of the design’s stiffness ratio to between 40 and 70.
The primary difference between the octagonal barge-type platform used in this study and the TetraSpar with a counterweight suspension system lies in the mass ratio. TetraSpar utilizes a lighter platform design, with the main ballast weight concentrated in the counterweight suspension system to lower the center of gravity. In contrast, the SOF (Suspensa OctaFloat) adopts a barge-type platform design with a larger waterplane area, where the ballast weight can be adjusted through the ballast water and counterweight. The SOF uses the counterweight suspension system to dampen pitch motion and lower the center of gravity, thereby enhancing stability and resulting in a lower mass ratio.
In an effort to lower the chance of a counterweight suspension system failure, this low-mass-ratio design concept takes into account the severe typhoon wave conditions in the Taiwan Strait. Numerical simulations ensure that platform capsizing does not occur even if the suspension system fails. Due to the depth limitations of the Taiwan Strait, this study does not address deeper draft depths. The preliminary configuration of the counterweight suspension system is shown in Table 11. The detailed configuration will be determined in Chapter 4 through an optimization process, considering the inertia ratio and stiffness ratio parameters. The optimization process will sequentially optimize the geometry of the counterweight and the stiffness of the suspension lines. By applying the optimization results, this study compares the maximum tilt angle and drift range of the same platform with and without the optimized counterweight suspension system under different environmental conditions, simulated over a 3 h period.
Table 11.
Counterweight suspension system preliminary design parameters.
3.2.5. Case Symbol
This section outlines the case symbol used in this study. In the geometric optimization of the counterweight suspension system presented in Chapter 4, the counterweight suspension system is composed of various diameters and heights based on a cylindrical shape. Table 12 provides examples of the symbol, where D represents the diameter and H represents the height of the counterweight suspension system. NCSS denotes the absence of a counterweight suspension system.
Table 12.
Case symbol of counterweight suspension system optimization.
In the optimization of suspension ropes in Chapter 4, the counterweight suspension system includes variations in the nominal diameter of the suspension ropes and the number of suspension ropes. Table 13 lists examples of the symbol, where R represents the nominal diameter of the suspension ropes and N represents the number of suspension ropes.
Table 13.
Case symbol of suspension line optimization.
In the irregular wave simulations in Chapter 4, different environmental conditions are included. Table 14 lists examples of the simulation conditions symbol, where JH represents the significant wave height in the JONSWAP spectrum [29], T represents the peak period in the JONSWAP spectrum, and BS and BM indicate the breaking of suspension ropes or mooring lines, respectively. ULS, ALS, SLS, NM, and FLS represent the Ultimate Limit State, Accidental Limit State, Serviceability Limit State, Normal Sea State, and Fatigue Limit State, respectively.
Table 14.
Case symbol of irregular wave simulation.
4. Results and Discussion
This section comprises a time-domain dynamic analysis of the SOF equipped with a counterweight suspension system under various environmental conditions. The simulations performed include:
- Free decay tests to determine the natural periods in six degrees of freedom.
- Regular wave tests to optimize the counterweight suspension system using RAO.
- Irregular wave tests to examine compliance with standards.
- Fatigue analysis to assess the lifespan of the mooring lines and suspension lines.
4.1. Free-Decay Test
In this study, free-decay tests were conducted to obtain the natural periods of the floating platform by converting time series data into frequency domain energy density spectra using Fast Fourier Transform (FFT), as shown in Figure 16. The initial displacements for translational degrees of freedom (Surge, Sway, and Heave) were set to 5 m, and the initial angles for rotational degrees of freedom (Roll, Pitch, and Yaw) were set to 5 degrees. OrcaFlex, a numerical software based on potential flow theory, was used for the free-decay tests in this study. Since potential flow theory does not account for viscous effects, it is not possible to calculate damping coefficients from the time series data. Therefore, this study only calculates the natural periods and does not discuss linear and quadratic damping coefficients.
Figure 16.
Power spectral density for six degrees of freedom.
According to Table 15, the counterweight suspension system causes changes in the pitch natural period, resulting in two peak values. The primary peak increases to 18.75 s, while the secondary peak decreases to 8.83 s. Although the secondary peak may pose a risk of resonance under severe sea conditions, the response during resonance is significantly lower compared to the peak without the counterweight suspension system. Subsequent sections will compare the dynamic responses under various environmental conditions, including regular and irregular waves, to assess the overall improvements provided by the counterweight suspension system.
Table 15.
Natural period of 6 DOFs (unit: second).
4.2. Regular Wave Test
This study uses regular waves to calculate the RAO, which represents the dynamic response amplitude per unit incident wave amplitude and is a dimensionless parameter. Initially, different counterweight geometries are evaluated to optimize the configurations for surge, heave, and pitch degrees of freedom. Subsequently, different suspension line configurations are examined to optimize stiffness.
4.2.1. Counterweight Geometry Optimization
Since the counterweight geometry affects the inertia ratio of the platform and the counterweight suspension system, it is necessary to compare different counterweight geometries. This study references the cylindrical counterweight used by Borg et al. (2020) [28] in “Technical definition of the Tetraspar demonstrator floating wind turbine foundation”, adopting a cylindrical shape for the counterweight geometry. Under the condition of using the same materials and maintaining a constant volume, variations in diameter and height are compared (as shown in Table 16) to obtain the optimized geometry for the cylindrical counterweight.
Table 16.
Counterweight geometry optimization trials.
According to Figure 17, the surge RAO exhibits a bimodal response when equipped with the counterweight suspension system (CSS). As the counterweight height increases, the peak values of the bimodal response decrease, reaching the lowest value when the height is close to the diameter (H75D070). When the counterweight height is significantly greater than the diameter (H90D065), the increased pitch motion caused by the counterweight leads to higher RAO peak values.
Figure 17.
Comparison of different counterweight geometries for (a) surge, (b) heave, and (c) pitch DOFs.
Figure 17 also shows that the heave RAO displays a bimodal response after installing the CSS. The short-period resonance period remains unchanged with the CSS, while the long-period resonance occurs at 18 s. According to the EIA of W1N, the peak period of 250-year return period waves is 15 s, making the 18 s peak resonance less likely. Therefore, the impact of the CSS on Heave is relatively minor.
In Figure 17, the pitch RAO reveals a bimodal response with the CSS installed. The peak value at the short period significantly decreases, and the minimum peak occurs when the counterweight height is close to the diameter (H75D070). According to the EIA of W1N, the peak period of 250-year return period waves is 15 s. The long-period resonance period increases with counterweight height, with H75D070 showing a resonance period of 20 s, indicating a lower likelihood of resonance. Thus, H75D070 is a preferable configuration for both short and long periods.
Based on the comprehensive assessment of the surge, heave, and pitch RAOs, H75D070 is the optimized configuration. In the following sections, H75D070 will be used as the default geometry for simulations.
4.2.2. Suspension Line Optimization
Based on the research by Borg et al. (2020) [28], “Technical definition of the Tetraspar demonstrator floating wind turbine foundation”, as well as studies on tuned mass dampers, the design of the counterweight suspension system is based on the mass ratio, inertia ratio, and stiffness ratio. Among these, the stiffness ratio has a significant impact on the damping effectiveness of the counterweight suspension system.
Since a barge-type platform is used, to reduce the risk of capsizing in the event of counterweight suspension system failure, the counterweight mass is limited to 2000 metric tons to enhance the overall safety of the platform.
This chapter optimizes the suspension ropes by discussing the following two aspects:
Changing the diameter and number of suspension ropes while maintaining the same stiffness to examine whether different rope diameters affect the system under constant stiffness (as shown in Table 17).
Table 17.
Trials table of discussion 1.
Fixing the rope diameter and varying the number of ropes to analyze the relationship between different stiffness ratios (as shown in Table 18).
Table 18.
Trials table of discussion 2.
As shown in Figure 18, although the rope diameter varies, if the stiffness ratio is kept similar, the dynamic responses are quite close. Therefore, the results from Discussion 1 indicate that rope diameter does not have a direct relationship with the dynamic response.

Figure 18.
Comparison of (a) surge, (b) heave, and (c) pitch RAOs at the same stiffness ratio.
From Figure 19, it can be observed that adjusting the number of ropes to change the stiffness ratio has a significant impact on pitch motion, even with the same nominal diameter. D130N40 exhibits a larger peak at a 9 s wave period, making it prone to resonance with swell and thus excluded from the options. Compared to D130N48, D130N56 has a shorter peak period in pitch motion. Although the peak value of D130N56 is lower than that of D130N48, the response at 18 s is higher. As the resonance period increases, the probability of occurrence decreases, and D130N56 would incur higher costs. Additionally, D130N56 shows a larger response in the surge RAO. Therefore, D130N48 is considered the optimized configuration based on a comprehensive evaluation.
Figure 19.
Comparison of (a) surge, (b) heave, and (c) pitch RAOs at different stiffness ratios.
After completing the optimization of the counterweight suspension system, Table 19 provides the detailed design of the counterweight suspension system. This configuration will be used in the following sections for time-domain analysis under various environmental conditions, including ULS, ALS, SLS, Normal Sea State, and FLS. The aim is to compare the dynamic characteristics of the platform with and without the counterweight suspension system and to assess whether it meets the standards.
Table 19.
Counterweight suspension system detail configuration.
4.3. Irregular Wave Test
In the physical or numerical modeling of real-time scenarios, this study employs irregular waves to simulate environmental conditions, ensuring that the floater with a counterweight suspension system can endure severe sea states. The emphasis is on evaluating the specifications for ULS, ALS, SLS, Normal Sea State, and FLS. This study compares the performance of the floater with the counterweight suspension system against a floater without the suspension system, using the specifications outlined in Section 2.7.
4.3.1. Ultimate Limit State
According to the DNV-ST-0437 design load case for turbine parking conditions, the ULS Condition utilizes a 50-year return period wave condition and an EWM wind model as shown in Table 20. For Hsinchu’s offshore area, which is prone to typhoons, a wind speed of T-class (57 m/s) should be used, as recommended by IEC 61400-1 [15]. This study employs the IEC Kaimal turbulence model in conjunction with the EWM model for wind simulations.
Table 20.
Environmental load for ULS Condition.
For time-domain numerical simulations, environmental loads from 0 to 360 degrees must be simulated. The angular interval should be less than or equal to 30 degrees, and the simulation time should be at least 3 h. Due to symmetry, the simulations cover from 0 to 180 degrees, with an irregular wave simulation time set at 3 h. The wind, wave, and current directions are aligned.
The simulation results should verify whether the drift range is within the 30 m limit recommended by COREWIND D2.1, whether the maximum tilt angle is less than 15 degrees according to DNV-RP-0286, whether the maximum tension exceeds the minimum breaking force, and whether the ULS mooring design tension meets the DNV standards.
The dynamic response and mooring tension of the platform with and without a counterweight suspension system are compared using a 4 × 2 mooring system. Additionally, the differences between the 4 × 3 and 4 × 2 mooring systems are analyzed. During the simulations, standards and regulations are examined to ensure the design meets the compliance requirements.
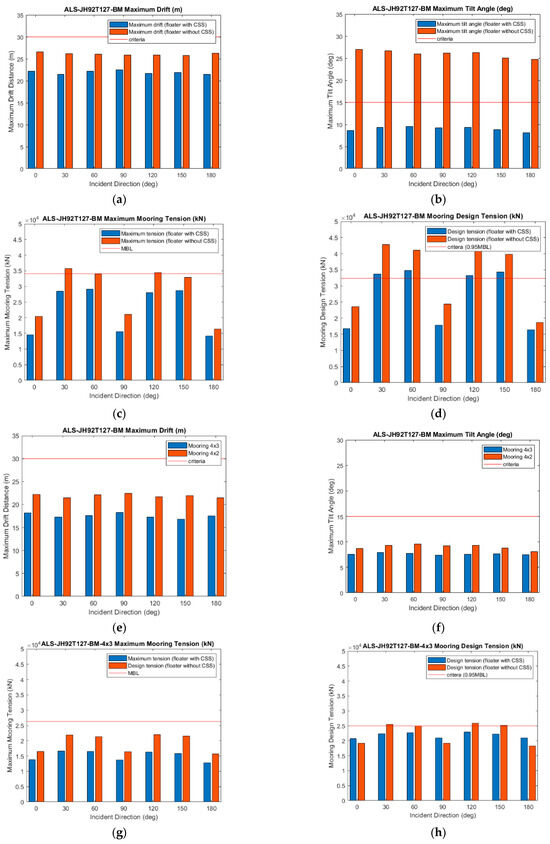
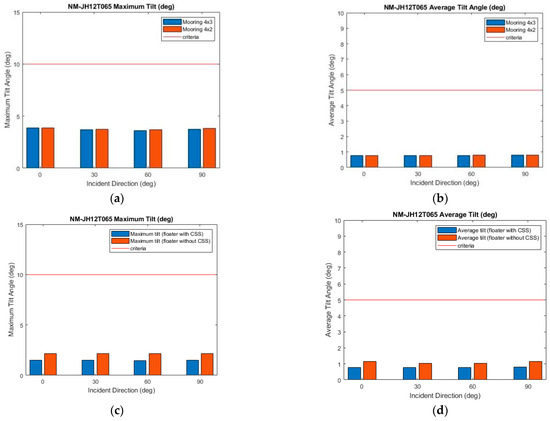
From Figure 20, the maximum drift range (a) shows that under the ULS Condition, both with and without the CSS, the drift range is less than 30 m. The presence of the CSS effectively reduces the drift range by approximately 20%. The maximum tilt angle (b) indicates that with the counterweight suspension system, the platform resonance is avoided, significantly reducing the dynamic response. The change to a 4 × 3 mooring configuration (f) further suppresses the maximum tilt angle. Mooring tension, both with and without the CSS (c,d), shows that the maximum mooring tension of the platform with CSS is significantly improved and meets the design tension requirements. The comparison of the 4 × 3 mooring configurations (g,h) also demonstrates significant improvements with the CSS, passing the design criteria. Therefore, under the ULS Condition, both the 4 × 2 and 4 × 3 mooring configurations with the CSS pass the design criteria.

Figure 20.
Validation of ULS Condition. (a–d) Compare 4 × 2 mooring system with and without CSS for dynamic response and mooring tension. (e,f) Compare the dynamic response of the platform between 4 × 2 and 4 × 3 mooring configurations. (g,h) Compare the mooring tension of 4 × 3 mooring configuration with and without CSS.
4.3.2. Accidental Limit State
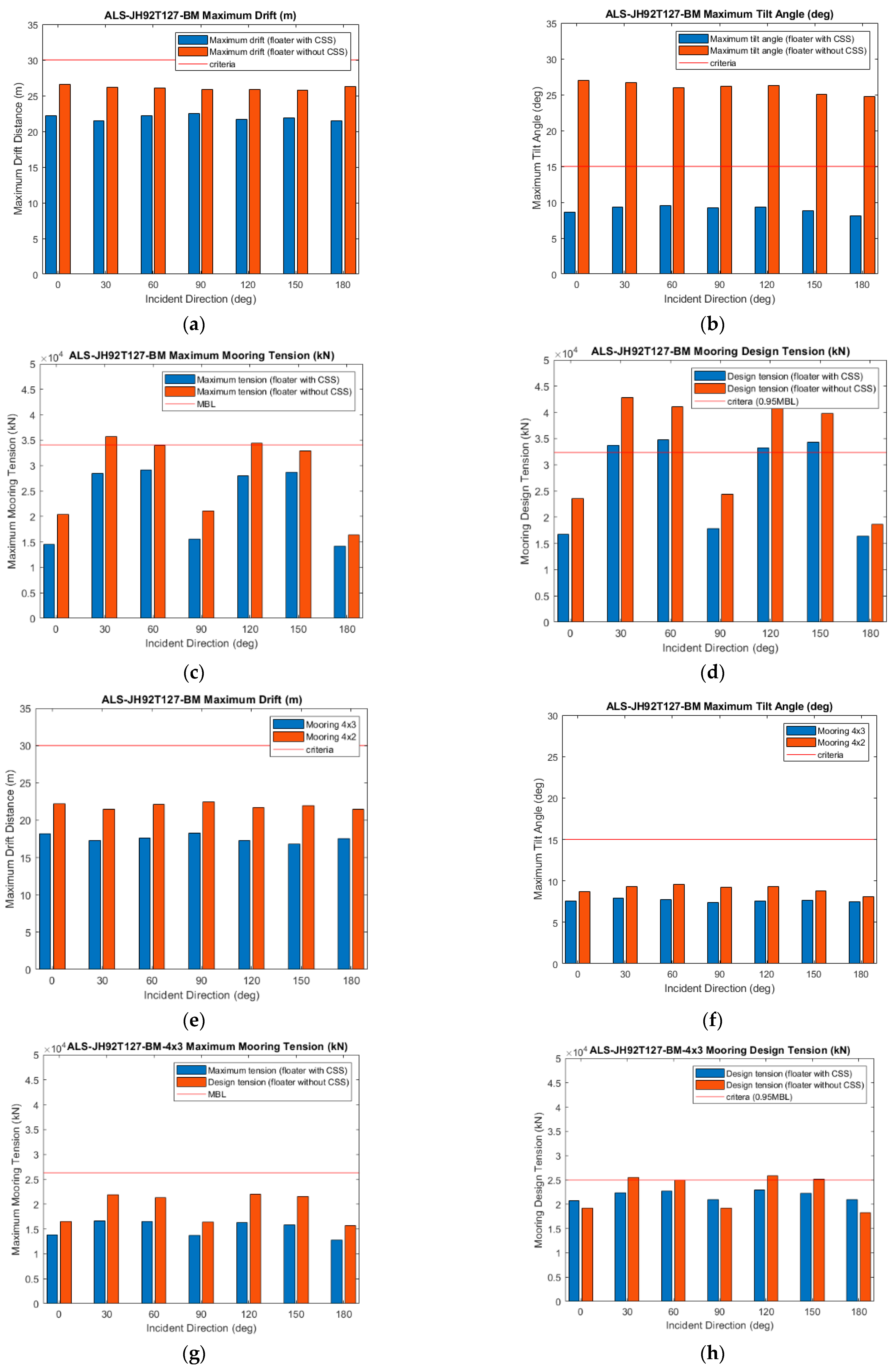
In this study, the ALS Condition is set to simulate a scenario where a single mooring line breaks under a 50-year return period environmental condition, with the highest mooring line tension facing the incoming waves. The simulation results should verify whether the drift range is within the 30 m limit recommended by COREWIND D2.1, whether the maximum tilt angle is less than 15 degrees according to DNV-RP-0286, whether the maximum tension exceeds the minimum breaking force, and whether the ULS mooring design tension meets the DNV standards.
From Figure 21, the maximum drift range (a) shows that under the ALS Condition, the drift range is less than 30 m regardless of whether CSS is installed. The installation of CSS effectively reduces the drift range by approximately 20%. The maximum tilt angle (b) shows that with CSS installed, resonance of the platform is prevented, significantly reducing the dynamic response. In (f), the change to the 4 × 3 mooring configuration further reduces the maximum tilt angle. The mooring tension (c,d) indicates that the maximum tension in the mooring lines with CSS installed is significantly improved compared to the design tension. However, at 30, 60, 120, and 150 degrees, it still does not meet the design tension criteria, leading to the adoption of the 4 × 3 mooring configuration. The comparison of the 4 × 3 mooring configurations (g,h) shows significant improvement with the CSS installed, passing the design criteria. In (i,j), the maximum tension in the suspension ropes under the ULS and ALS Conditions also meets the design criteria. Therefore, under the ALS Condition, only 4 × 3 mooring configuration with CSS installed passes the design criteria.

Figure 21.
Validation of ALS Condition. (a–d) Compare 4 × 2 mooring systems with and without CSS. (e,f) Compare the dynamic response of platform between 4 × 2 and 4 × 3 mooring configurations. (g,h) Compare the mooring tension of 4 × 3 mooring configurations with and without the CSS. (i,j) Compare the suspension ropes’ tension.
Additionally, this study considers the condition of suspension line failure. The scenario of a single rope bundle failure at the maximum tension under the ULS Condition is examined. The simulation results, as shown in Figure 22, indicate that the stiffness ratio decreases after the failure, leading to significant resonance at a wave period of 9 s, as depicted in the low-stiffness-ratio pitch RAO in Figure 19. This results in a severe reduction in platform stability. However, due to the low mass ratio, the platform does not capsize after the suspension line failure, and the remaining suspension lines pass the design criteria. In practice, the stability of the barge platform can be enhanced through ballast control, allowing it to endure extreme conditions until the severe sea conditions end, after which, repairs can be carried out.
Figure 22.
Maximum tilt angle (left) and suspension line tension (right) under suspension line failure.
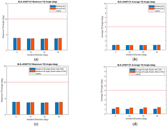
4.3.3. Serviceability Limit State
In this study, the SLS Condition is set to the extreme condition of the northeast monsoon. Therefore, the environmental condition (as shown in Table 21) is based on the most severe winter wave condition from the 20-year statistical data in the EIA of Winds Of September Floating Offshore Project, combined with the maximum wind thrust. Since the mooring regulations primarily consider the ULS, ALS, and FLS Conditions, the simulation results only assess whether the maximum tilt angle is less than 10 degrees and the average tilt angle is less than 5 degrees.
Table 21.
Environmental load for SLS Condition.
As seen from Figure 23a,b, under different mooring configurations, there is no significant difference in the maximum and average tilt angles under SLS Condition. Figure 23c,d show that while the maximum tilt angle does not vary significantly with the presence of CSS, the average tilt angle is significantly reduced. This suggests that under the maximum wind thrust SLS Condition, the maximum tilt angle is primarily driven by the tilt caused by the maximum wind thrust, and thus, CSS primarily provides a significant reduction in the average tilt angle under SLS Condition. Both configurations, with or without CSS, pass the design criteria in SLS Condition.
Figure 23.
Validation of SLS Condition. (a,b) Compare 4 × 2 and 4 × 3 mooring configurations, while (c,d) compare floater with and without CSS under 4 × 3 mooring configurations.
4.3.4. Normal Sea State
In this study, the Normal Sea State is set based on the average wave conditions of the northeast monsoon. Therefore, the environmental condition is referenced from the 20-year statistical data of the winter average wave conditions in the EIA of Winds Of September Floating Offshore Project, along with the annual average wind speed (as shown in Table 22). The simulation results should verify whether the maximum tilt angle is less than 10 degrees and whether the average tilt angle is less than 5 degrees.
Table 22.
Environmental load for Normal Sea State.
From Figure 24a,b, it can be seen that under different mooring configurations, the trend is similar between the Normal Sea State and SLS Conditions, with no significant difference in the maximum and average tilt angles. In Figure 24c,d, it is evident that the maximum and average tilt angles are significantly reduced when equipped with the CSS. Figure 25 shows that under both SLS and Normal Sea State, the maximum drift range is improved with the 4 × 3 mooring configuration. Regardless of whether the CSS is equipped, the design passes the criteria.
Figure 24.
Validation of Normal Sea State. (a,b) compare 4 × 2 and 4 × 3 mooring configurations, while (c,d) compare floater with and without CSS under 4 × 3 mooring configuration.
Figure 25.
Maximum drift ranges under different mooring configurations for SLS (left) and Normal Sea State (right) during operational conditions.
4.3.5. Fatigue Limit State
The fatigue analysis in this study utilizes the 20-year wave statistical data from the EIA of Winds Of September Floating Offshore Project, as shown in Table 23. The load direction is based on the wind rose diagram of the Hsinchu buoy from 1997 to 2011. For wind speed, a rated wind speed of 11.4 m/s is used in conjunction with the NTM condition. Regarding ocean currents, the average surface current is 0.4 m/s according to the EIA of Winds Of September Floating Offshore Project. For conservative design purposes, all environmental loads are assumed to be in the same direction as the waves.
Table 23.
Monthly wave height statistics of Hsinchu buoys (2002~2021).
The fatigue analysis method in this study uses T–N curves. According to API RP 2SK, the recommended values are m = 3.0 and K = 316 for studless chains; according to the American Bureau of Shipping (ABS), the recommended values for polyester ropes are m = 5.2 and K = 25,000.
Based on the T-N curve values for m and K, and incorporating the accumulated tension variations from the environmental conditions, Table 24 provides the cumulative fatigue damage, design fatigue damage, and lifespan for the mooring lines and suspension lines. According to DNV-ST-0437, with a safety factor of DFF = 10, the design fatigue damage is less than 1, thus passing the fatigue standards.
Table 24.
Maximum fatigue damage of mooring line and suspension line.
5. Conclusions and Suggestions
5.1. Conclusions
In this study, the characteristics of different types of floating platforms were examined through the literature. Considering the water depth and environmental conditions offshore Hsinchu, semi-submersible platforms and barge-type platforms are identified as the main applicable floating platform types. The barge-type platform was chosen due to its simple manufacturing and lower cost advantages. Although the natural period of a barge-type platform is close to the wave period, which can lead to resonance, this study incorporates the TetraSpar concept by using a counterweight suspension system to alter the natural period of the floating platform and mitigate resonance under extreme sea conditions.
In this study, an initial configuration was used to compare the effects of the CSS in reducing peak values and changing the natural period during free-decay tests. Subsequently, regular wave simulations were used to optimize the geometry and stiffness of the counterweight suspension system. In numerical simulations, it is found that the counterweight is most stable when the diameter and height are similar, with H75D070 being the optimal geometric shape. The stiffness of the suspension rope has a significant impact on surge and pitch. A lower stiffness increases the resonance period of pitch and generates a larger peak at 9 s, while higher stiffness results in a larger response during resonance. The best case is the D130N48 configuration with a stiffness ratio of = 53.36. This case does not exhibit significant peaks at short periods and also increases the resonance period at long periods, reducing the likelihood of resonance occurring in actual sea conditions. Finally, following the standards outlined by DNV and COREWIND, the floating platform, mooring lines, and suspension ropes were tested under irregular waves based on the JONSWAP spectrum in various sea conditions to ensure the design meets international design criteria. Table 25 and Table 26 provide a summary of the criteria check for different configurations under irregular waves.
Table 25.
Criteria check table for turbine parking conditions.
Table 26.
Criteria check table for operational conditions.
From Table 25 and Table 26, it can be seen that the floating platform equipped with CSS meets all the design criteria listed in this study under the 4 × 3 mooring configuration. Under the ALS Condition, the 4 × 2 mooring configuration slightly exceeds the criteria. However, for floating platforms without CSS, neither the 4 × 2 nor the 4 × 3 mooring configurations meet the design criteria. Therefore, this study concludes that the optimal configuration is a floating platform equipped with CSS utilizing the 4 × 3 mooring configuration.
5.2. Suggestions
In this study, from design to numerical simulation for design criteria checks, it is suggested that future validation should be carried out through hydraulic model testing, as there are no other publicly available data for validating the self-developed platform. Additionally, given the current trend towards larger wind turbines, the design concepts from this study could be applied to the DTU 10MW or IEA 15MW floating offshore wind turbines to meet the needs of commercialization.
Author Contributions
Conceptualization, R.-Y.Y. and Y.-C.S.; methodology, R.-Y.Y. and Y.-C.S.; software, R.-Y.Y. and Y.-C.S.; validation, R.-Y.Y. and Y.-C.S.; formal analysis, R.-Y.Y. and Y.-C.S.; investigation, R.-Y.Y. and Y.-C.S.; resources, R.-Y.Y.; data curation, Y.-C.S.; writing—original draft preparation, Y.-C.S.; writing—review and editing, R.-Y.Y. and Y.-C.S.; visualization, R.-Y.Y. and Y.-C.S.; supervision, R.-Y.Y.; project administration, R.-Y.Y.; funding acquisition, R.-Y.Y. All authors have read and agreed to the published version of the manuscript.
Funding
This research was funded by National Science and Technology Council, Taiwan. Grant number 112-2221-E-006-053-MY3.
Data Availability Statement
The original contributions presented in the study are included in the article, further inquiries can be directed to the corresponding author.
Conflicts of Interest
The authors declare no conflicts of interest.
References
- Faraggiana, E.; Giorgi, G.; Sirigu, M.; Ghigo, A.; Bracco, G.; Mattiazzo, G. A review of numerical modelling and optimisation of the floating support structure for offshore wind turbines. J. Ocean. Eng. Mar. Energy 2022, 8, 433–456. [Google Scholar] [CrossRef]
- Tian, H.; Soltani, M.N.; Nielsen, M.E. Review of floating wind turbine damping technology. Ocean Eng. 2023, 278, 114365. [Google Scholar] [CrossRef]
- Lambert, D.L.; Zuo, L. Vibration reduction of semisubmersible floating wind turbine using optimized tuned mass and tuned inerter dampers. IFAC-PapersOnLine 2023, 56, 229–234. [Google Scholar] [CrossRef]
- Li, C.; Zhuang, T.Y.; Zhou, S.T.; Xiao, Y.Q.; Hu, G. Passive vibration control of a semi-submersible floating offshore wind turbine. Appl. Sci. 2017, 7, 509. [Google Scholar] [CrossRef]
- Park, G.; Oh, K.-Y.; Nam, W. Parent nested optimizing structure for vibration reduction in floating wind turbine structures. J. Mar. Sci. Eng. 2020, 8, 876. [Google Scholar] [CrossRef]
- Xue, M.-A.; Dou, P.; Zheng, J.; Lin, P.; Yuan, X. Pitch motion reduction of semisubmersible floating offshore wind turbine substructure using a tuned liquid multicolumn damper. Mar. Struct. 2022, 84, 103237. [Google Scholar] [CrossRef]
- Ward, J.C.; Goupee, A.J.; Viselli, A.M.; Dagher, H.J. The effect of counterweight mass and line stiffness on the global dynamic performance of a hanging-mass floating offshore wind turbine. J. Offshore Mech. Arct. Eng. 2021, 143, 052001. [Google Scholar] [CrossRef]
- Johannessen, M. Concept Study and Design of Floating Offshore Wind Turbine Support Structure. Master’s Thesis, Kth Royal Institute of Technology, Stockholm, Sweeden, 2018. [Google Scholar]
- DNV-RP-0286; Coupled Analysis of Floating Wind Turbines. DNV: Bærum, Norway, 2021.
- Pereyra, B.T. Design of a Counter Weight Suspension System for the Tetraspar Floating Offshore Wind Turbine. Master’s Thesis, Norwegian University of Science and Technology, Trondheim, Norway, 2018. [Google Scholar]
- Ansys, A. AQWA Theory Manual; AQWA: Canonsburg, PA, USA, 2021. [Google Scholar]
- Orcina Ltd. OrcaFlex Manual, Version 11.2e; Orcina Ltd.: Ulverston, UK, 2022.
- Morison, J.R.; Johnson, J.W.; Schaaf, S.A. The force exerted by surface waves on piles. J. Pet. Technol. 1950, 2, 149–154. [Google Scholar] [CrossRef]
- Jonkman, B. TurbSim User’s Guide v2.00.00; National Renewable Energy Laboratory: Golden, CO, USA, 2014. [Google Scholar]
- IEC 61400-1:2019; Wind Energy Generation Systems—Part 1: Design Requirements. International Electrotechnical Commission: Geneva, Switzerland, 2019.
- DNV-ST-0437; Loads and Site Conditions for Wind Turbines. DNV: Bærum, Norway, 2021.
- API RP 2SK:2005; Design and Analysis of Stationkeeping Systems for Floating Offshore Structures. American Petroleum Institute: Washington, DC, USA, 2005.
- Lee, Y.-L.; Tjhung, T. Rainflow cycle counting techniques. In Metal Fatigue Analysis Handbook: Practical Problem-Solving Techniques for Computer-Aided Engineering; Elsevier: Amsterdam, The Netherlands, 2011; p. 89. [Google Scholar]
- DNV-ST-0119; Floating Wind Turbine Structures. DNV: Bærum, Norway, 2021.
- Ikhennicheu, M.L.; Doole, S.; Borisade, F.; Matha, D.; Dominguez, J.L.; Durán Vicente, R.; Habekost, T.; Ramirez, L.; Potestio, S.; Molins, C.; et al. D2.1 Review of the State of the Art of Mooring and Anchoring Designs, Technical Challenges and Identification of Relevant DLCs. Technical Report. COREWIND Project. 2020. Available online: https://corewind.eu/wp-content/uploads/files/publications/COREWIND-D2.1-Review-of-the-state-of-the-art-of-mooring-and-anchoring-designs.pdf (accessed on 10 November 2023).
- Environmental Protection Administration, Taiwan. Environment Impact Assessment of the Winds of September Floating Offshore Project. 2023. Available online: https://eiadoc.moenv.gov.tw/eiaweb/11.aspx?hcode=1120231A&srctype=0 (accessed on 10 November 2023).
- Environmental Protection Administration, Taiwan. Environment Impact Assessment of W1N. 2017. Available online: https://eiadoc.moenv.gov.tw/eiaweb/10.aspx?hcode=1060821A&srctype=0 (accessed on 10 November 2023).
- Ou, S.-H. Parametric Determination of Wave Statistics and Wave Spectrum of Gravity Waves; Tainan Hydraulics Laboratory of Water Resources Planning Commission-Ministry: Tainan, Taiwan, 1977. [Google Scholar]
- DNV-OS-E301; Position Mooring. DNV: Bærum, Norway, 2021.
- Chuang, T.C.; Yang, W.H.; Yang, R.Y. Experimental and numerical study of a barge-type FOWT platform under wind and wave load. Ocean Eng. 2021, 230, 109015. [Google Scholar] [CrossRef]
- Jonkman, J.; Butterfield, S.; Musial, W.; Scott, G. Definition of a 5-MW Reference Wind Turbine for Offshore System Development. 2009. Available online: https://www.osti.gov/biblio/947422 (accessed on 10 November 2023).
- DNV-OS-E302; Offshore Mooring Chain. DNV: Bærum, Norway, 2022.
- Borg, M.; Walkusch Jensen, M.; Urquhart, S.; Andersen, M.T.; Thomsen, J.B.; Stiesdal, H. Technical definition of the Tetraspar demonstrator floating wind turbine foundation. Energies 2020, 13, 4911. [Google Scholar] [CrossRef]
- Hasselmann, K.; Barnett, T.P.; Bouws, E.; Carlson, H.; Cartwright, D.E.; Enke, K.; Ewing, J.A.; Gienapp, A.; Hasselmann, D.E.; Kruseman, P. Measurements of wind-wave growth and swell decay during the Joint North Sea Wave Project (JONSWAP). Ergaenzungsheft Zur Dtsch. Hydrogr. Z. Reihe A 1973, 12, 1–95. [Google Scholar]
Disclaimer/Publisher’s Note: The statements, opinions and data contained in all publications are solely those of the individual author(s) and contributor(s) and not of MDPI and/or the editor(s). MDPI and/or the editor(s) disclaim responsibility for any injury to people or property resulting from any ideas, methods, instructions or products referred to in the content. |
© 2025 by the authors. Licensee MDPI, Basel, Switzerland. This article is an open access article distributed under the terms and conditions of the Creative Commons Attribution (CC BY) license (https://creativecommons.org/licenses/by/4.0/).