Power Outage Prediction on Overhead Power Lines on the Basis of Their Technical Parameters: Machine Learning Approach
Abstract
1. Introduction
2. Methodology and Materials
2.1. Materials for Research
- -
- Outage fact (target feature);
- -
- Conductor, type, and crosssection;
- -
- PTL relation to transit (it indicates whether power transmission line is in transit or not).
- -
- Condition index, % (PTL Technical Condition Score: A rating assigned by maintenance personnel, ranging from 0 (poor) to 100 (excellent));
- -
- Overhead PTL length, km;
- -
- Overexploitation, d.q. (this indicator shows whether a PTL has exceeded its standard service life of 35 years. A value greater than 1 indicates that the actual service life exceeds the normative period, while a value less than 1 indicates it does not);
- -
- Reinforced concrete supports, % (the ratio of reinforced concrete supports to the total number of supports);
- -
- PTL length through the forest, % (the ratio of the total PTL length in forest areas to the overall length);
- -
- PTL length in populated areas, % (the ratio of the total PTL length in populated areas to the overall length).
2.2. Research Methodology
- Support Vector Machine (SVM);
- Logistic Regression (LR);
- Random Forest Classifier (RFC);
- Gradient-boosting algorithms over decisive trees: LightGBM Classifier and CatBoost Classifier.
3. Results
3.1. Exploratory Data Analysis
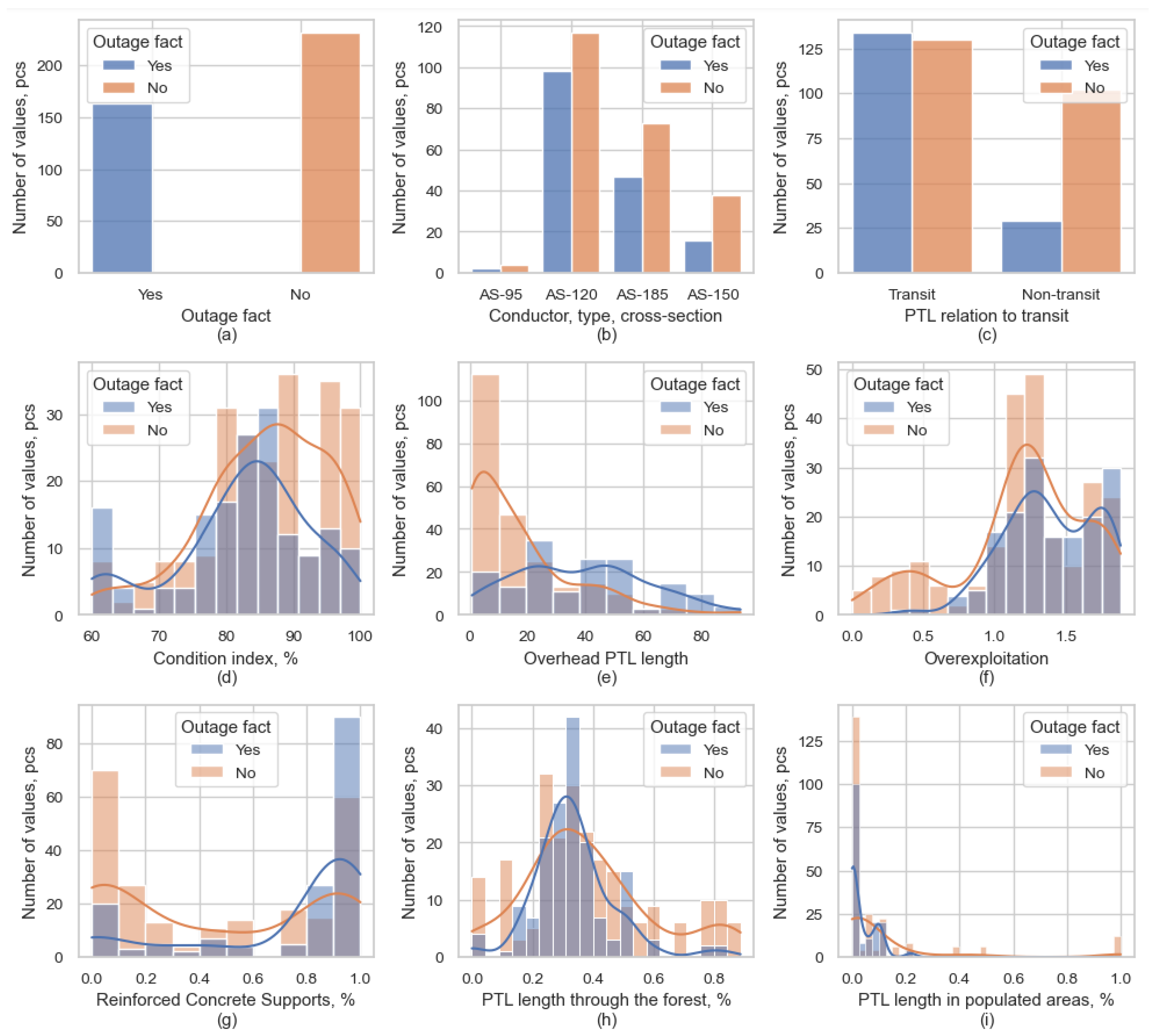
- As can be seen from the histograms of categorical features, it is clear that there is a different distribution of values for power transmission lines with and without failures, which indicates their impact on the target variable. The low cardinality of categorical features (four values for the feature “Conductor, type, section” (Figure 1b) and two for “PTL relation to transit” (Figure 1c)) must also be noted. According to this, when preparing data for the direct training of ML models, the most optimal coding of categorical variables is considered to be the One-Hot Encoding technique.
- Density graphs of quantitative feature distributions between power lines, on which outages were observed, and they did not differ in their shape, so it can be assumed that there is an influence of these features on the target variable.
- There is some imbalance in the target attribute “Outage fact” (Figure 1a). There are 163 electrical lines that have failed and 232 that have not; the difference is almost 20%. Class imbalance can cause problems when training machine learning models that are non-probabilistic, such as the SVM (Support Vector Machine), or when solving multi-class classification problems.
- -
- The replacement of the absolute values of the number of reinforced concrete (RC) and metal supports, as well as the length of the forest and populated areas with relative values, made it possible to cope with the problem of the multicollaterality of these features (this problem was discussed at the previous stage of the study [35]), which should have a beneficial effect on the training of ML models;
- -
- The target attribute “Outage fact” has a not strong but sufficient correlation with the variables under consideration. The highest correlation is shown by the feature “Overhead PTL length” (0.63) and the smallest by the categorical feature “Conductor, type, section” (0.11);
- -
- A fairly strong correlation (0.85) was revealed between PTL service life and the fact of whether the power line is in transit or not. This issue was discussed at the previous stage of preparing data for machine learning [35], in which it was concluded that transit PTLs, according to the statistics presented, have a longer service life than non-transit lines. Finally, it was decided to leave both characteristics, since these parameters reflect completely different values.
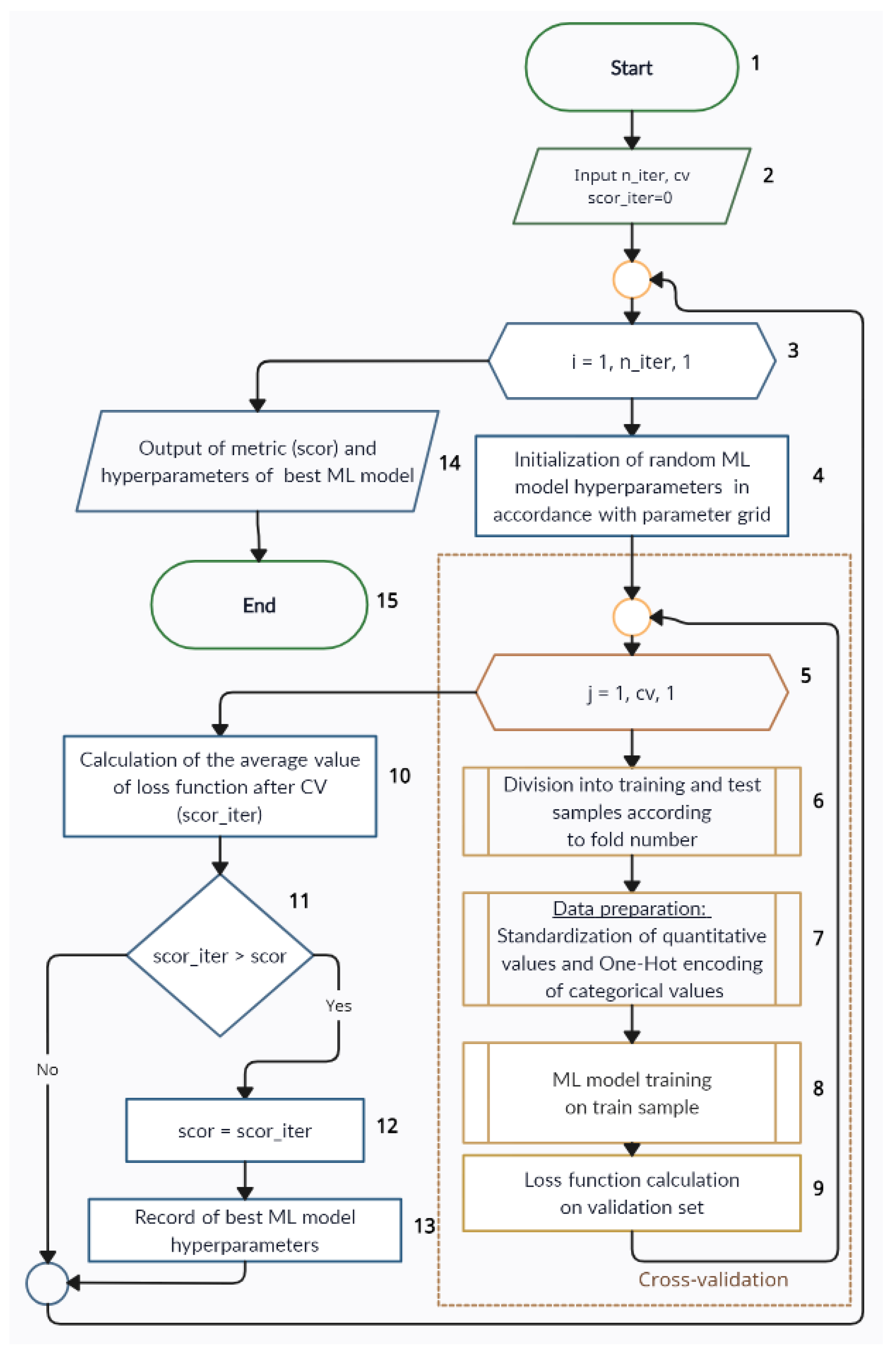
3.2. Algorithm for Training and Tuning Hyperparameters of ML Models
3.3. Feature Encoding and Scaling
3.4. Splitting the Data Set into Training and Test Samples
3.5. ML Models and Hyperparameter Grids
3.5.1. Support Vector Machine
3.5.2. Logistic Regression
3.5.3. Random Forest
3.5.4. Gradient Boosting Algorithms LightGBM and CatBoost
3.6. ML Model Quality Assessment
- -
- Accuracy—proportion of correct answers:
- -
- Precision—proportion of true positive predictions among all positive predictions of the model:
- -
- Recall—proportion of true positive predictions among all positive cases:
- -
- F1score (F1 мepa)—harmonic mean of Recall and Precision, taking a value from 0 to 1 and allowing for assessing the model quality in the presence of an unbalanced data set:
- -
- AUCPR—area under the PR curve, displaying the relationship between the metrics of Precision and Recall. AUCPR, unlike ROC, is sensitive to class imbalance.
4. Discussion
4.1. Model Training Results
4.2. Feature Importance Analysis by Embedded Methods
5. Conclusions
Author Contributions
Funding
Institutional Review Board Statement
Informed Consent Statement
Data Availability Statement
Conflicts of Interest
References
- Long, L. Research on Status Information Monitoring of Power Equipment Based on Internet of Things. Energy Rep. 2022, 8, 281–286. [Google Scholar] [CrossRef]
- Sun, B.; Jing, R.; Zeng, Y.; Li, Y.; Chen, J.; Liang, G. Distributed Optimal Dispatching Method for Smart Distribution Network Considering Effective Interaction of Source-Network-Load-Storage Flexible Resources. Energy Rep. 2023, 9, 148–162. [Google Scholar] [CrossRef]
- Bazan, T.V.; Galaburda, Y.V.; Iselenok, E.B. Analysis of outages of 35-750 kV overhead lines. In Current Problems of Energy. Electrical Power Systems; BNTU: Minsk, Republic of Belarus, 2020; pp. 114–116. [Google Scholar]
- Yang, L.; Teh, J. Review on Vulnerability Analysis of Power Distribution Network. Electr. Power Syst. Res. 2023, 224, 109741. [Google Scholar] [CrossRef]
- Shakiba, F.M.; Shojaee, M.; Azizi, S.M.; Zhou, M. Real-Time Sensing and Fault Diagnosis for Transmission Lines. Int. J. Netw. Dyn. Intell. 2022, 1, 36–47. [Google Scholar] [CrossRef]
- Latka, M.; Hadaj, P. Technical and Statistical Analysis of the Failure of Overhead Lines and Its Impact on Evaluating the Quality of the Power Supply. In Proceedings of the 2016 Progress in Applied Electrical Engineering, PAEE 2016, Koscielisko-Zakopane, Poland, 26 June–1 July 2016. [Google Scholar] [CrossRef]
- Ildiryakov, S.R.; Vafin, S.I. Statistical Analysis of Voltage Failures in the Power Supply System of JSC Kazanorgsintez. Energy Probl. 2011, 3, 73–81. [Google Scholar]
- Lanin, A.V.; Polkovskaya, M.N.; Yakupov, A.A. Statistical Analysis of Emergency Outages in 10 kV Electrical Networks. Curr. Issues Agric. Sci. 2019, 30, 45–52. [Google Scholar]
- Vinogradov, A.; Vasiliev, A.; Bolshev, V.; Semenov, A.; Borodin, M. Time Factor for Determination of Power Supply System Efficiency of Rural Consumers. In Handbook of Research on Renewable Energy and Electric Resources for Sustainable Rural Development; Kharchenko, V., Vasant, P., Eds.; IGI Global: Hershey, PA, USA, 2018; pp. 394–420. ISBN 9781522538677. [Google Scholar]
- Zahraoui, Y.; Korõtko, T.; Rosin, A.; Mekhilef, S.; Seyedmahmoudian, M.; Stojcevski, A.; Alhamrouni, I. AI Applications to Enhance Resilience in Power Systems and Microgrids—A Review. Sustainability 2024, 16, 4959. [Google Scholar] [CrossRef]
- Salman, H.M.; Pasupuleti, J.; Sabry, A.H. Review on Causes of Power Outages and Their Occurrence: Mitigation Strategies. Sustainability 2023, 15, 15001. [Google Scholar] [CrossRef]
- Ivanova, M.; Dimitrova, R.; Filipov, A. Analysis of Power Outages and Human Errors in the Operation of Equipment in Power Grids. In Proceedings of the 2020 12th Electrical Engineering Faculty Conference, BulEF 2020, Varna, Bulgaria, 9–12 September 2020. [Google Scholar] [CrossRef]
- Ratushnyak, V.S.; Ilyin, E.S.; Vakhrusheva, O.Y. Statistical Analysis of Emergency Power Outages due to Ice Formation on Power Line Wires on the Territory of the Russian Federation. Young Sci. Sib. Electron. Sci. Mag. 2018, 1, 107–113. [Google Scholar]
- Sbitnev, E.A.; Zhuzhin, M.S. Accident Analysis of 0.38 kV Rural Electric Networks of the Nizhny Novgorod Power System. Bull. NGIEI 2020, 11, 36–47. [Google Scholar]
- Sood, S. Power Outage Prediction Using Machine Learning Technique. In Proceedings of the 2023 International Conference on Power Energy, Environment & Intelligent Control (PEEIC), Greater Noida, India, 19–23 December 2023; pp. 78–80. [Google Scholar] [CrossRef]
- Haleem Medattil Ibrahim, A.; Sadanandan, S.K.; Ghaoud, T.; Subramaniam Rajkumar, V.; Sharma, M. Incipient Fault Detection in Power Distribution Networks: Review, Analysis, Challenges, and Future Directions. IEEE Access 2024, 12, 112822–112838. [Google Scholar] [CrossRef]
- Eskandarpour, R.; Khodaei, A. Leveraging Accuracy-Uncertainty Tradeoff in SVM to Achieve Highly Accurate Outage Predictions. IEEE Trans. Power Syst. 2018, 33, 1139–1141. [Google Scholar] [CrossRef]
- Gururajapathy, S.S.; Mokhlis, H.; Illias, H.A.B.; Abu Bakar, A.H.; Awalin, L.J. Fault Location in an Unbalanced Distribution System Using Support Vector Classification and Regression Analysis. IEEJ Trans. Electr. Electron. Eng. 2018, 13, 237–245. [Google Scholar] [CrossRef]
- Doostan, M.; Chowdhury, B.H. Power Distribution System Equipment Failure Identification Using Machine Learning Algorithms. In Proceedings of the IEEE Power and Energy Society General Meeting, Chicago, IL, USA, 16–20 July 2017; pp. 1–5. [Google Scholar] [CrossRef]
- Warlyani, P.; Jain, A.; Thoke, A.S.; Patel, R.N. Fault Classification and Faulty Section Identification in Teed Transmission Circuits Using ANN. Int. J. Comput. Electr. Eng. 2011, 3, 807–811. [Google Scholar] [CrossRef]
- Bhaila, K.; Wu, X. Cascading Failure Prediction in Power Grid Using Node and Edge Attributed Graph Neural Networks. In Proceedings of the International Joint Conference on Neural Networks, Yokohama, Japan, 30 June–5 July 2024. [Google Scholar] [CrossRef]
- Jaech, A.; Zhang, B.; Ostendorf, M.; Kirschen, D.S. Real-Time Prediction of the Duration of Distribution System Outages. IEEE Trans. Power Syst. 2019, 34, 773–781. [Google Scholar] [CrossRef]
- Alqudah, M.; Obradovic, Z. Enhancing Weather-Related Outage Prediction and Precursor Discovery Through Attention-Based Multi-Level Modeling. IEEE Access 2023, 11, 94840–94851. [Google Scholar] [CrossRef]
- Allen, M.; Fernandez, S.; Omitaomu, O.; Walker, K. Application of Hybrid Geo-Spatially Granular Fragility Curves to Improve Power Outage Predictions. J. Geogr. Nat. Disasters 2014, 4, 2167–2587. [Google Scholar]
- Lair, W.; Michel, G.; Meyer, F.; Chapert, M.; Decroix, H. Windy Smart Grid; Forecasting the Impact of Storms on the Power System. In Book of Extended Abstracts for the 32nd European Safety and Reliability Conference; Research Publishing Services: Singapore, 2022; pp. 905–912. [Google Scholar]
- Montoya-Rincon, J.P.; Azad, S.; Pokhrel, R.; Ghandehari, M.; Jensen, M.P.; Gonzalez, J.E. On the Use of Satellite Nightlights for Power Outages Prediction. IEEE Access 2022, 10, 16729–16739. [Google Scholar] [CrossRef]
- Hou, H.; Chen, X.; Li, M.; Zhu, L.; Huang, Y.; Yu, J. Prediction of User Outage under Typhoon Disaster Based on Multi-Algorithm Stacking Integration. Int. J. Electr. Power Energy Syst. 2021, 131, 107123. [Google Scholar] [CrossRef]
- Li, M.; Hou, H.; Yu, J.; Geng, H.; Zhu, L.; Huang, Y.; Li, X. Prediction of Power Outage Quantity of Distribution Network Users under Typhoon Disaster Based on Random Forest and Important Variables. Math. Probl. Eng. 2021, 2021, 6682242. [Google Scholar] [CrossRef]
- Taylor, W.O.; Cerrai, D.; Wanik, D.; Koukoula, M.; Anagnostou, E.N. Community Power Outage Prediction Modeling for the Eastern United States. Energy Rep. 2023, 10, 4148–4169. [Google Scholar] [CrossRef]
- Das, S.; Kankanala, P.; Pahwa, A. Outage Estimation in Electric Power Distribution Systems Using a Neural Network Ensemble. Energies 2021, 14, 4797. [Google Scholar] [CrossRef]
- Huang, W.; Zhang, W.; Chen, Q.; Feng, B.; Li, X. Prediction Algorithm for Power Outage Areas of Affected Customers Based on CNN-LSTM. IEEE Access 2024, 12, 15007–15015. [Google Scholar] [CrossRef]
- Doostan, M.; Sohrabi, R.; Chowdhury, B. A Data-Driven Approach for Predicting Vegetation-Related Outages in Power Distribution Systems. Int. Trans. Electr. Energy Syst. 2020, 30, e12154. [Google Scholar] [CrossRef]
- Xu, L.; Chow, M.Y.; Taylor, L.S. Data Mining and Analysis of Tree-Caused Faults in Power Distribution Systems. In Proceedings of the 2006 IEEE PES Power Systems Conference and Exposition, PSCE 2006—Proceedings, Atlanta, GA, USA, 29 October–1 November 2006; pp. 1221–1227. [Google Scholar] [CrossRef]
- Kankanala, P.; Pahwa, A.; Das, S. Estimating Animal-Related Outages on Overhead Distribution Feeders Using Boosting. IFAC-PapersOnLine 2015, 48, 270–275. [Google Scholar] [CrossRef]
- Bolshev, V.E.; Vinogradova, A. V Analysis of the Influence of 110 KV Power Line Parameters on the Probability of Their Failures. J. Sib. Fed. Univ. Eng. Technol. 2024, 17, 758–776. [Google Scholar]
- Chokr, B.; Chatti, N.; Charki, A.; Lemenand, T.; Hammoud, M. Feature Extraction-Reduction and Machine Learning for Fault Diagnosis in PV Panels. Sol. Energy 2023, 262, 111918. [Google Scholar] [CrossRef]
- Maraden, Y.; Wibisono, G.; Nugraha, I.G.D.; Sudiarto, B.; Jufri, F.H.; Kazutaka; Prabuwono, A.S. Enhancing Electricity Theft Detection through K-Nearest Neighbors and Logistic Regression Algorithms with Synthetic Minority Oversampling Technique: A Case Study on State Electricity Company (PLN) Customer Data. Energies 2023, 16, 5405. [Google Scholar] [CrossRef]
- Vorontsov, K.V. Mathematical Methods of Teaching by Precedents (Theory of Machine Learning); MachineLearning: Moscow, Russia, 2011. [Google Scholar]
- Boutaba, R.; Salahuddin, M.A.; Limam, N.; Ayoubi, S.; Shahriar, N.; Estrada-Solano, F.; Caicedo, O.M. A Comprehensive Survey on Machine Learning for Networking: Evolution, Applications and Research Opportunities. J. Internet Serv. Appl. 2018, 9, 16. [Google Scholar] [CrossRef]
- Vershinin, D.S.; Branishti, V.V. Calculation of the Optimal Blurry Parameter for Rosenblatt–PARZEN ESTImation with Gaussian Kernel. Curr. Probl. Aviat. Astronaut. 2021, 2, 109–111. [Google Scholar]
- Baak, M.; Koopman, R.; Snoek, H.; Klous, S. A New Correlation Coefficient between Categorical, Ordinal and Interval Variables with Pearson Characteristics. Comput. Stat. Data Anal. 2020, 152, 107043. [Google Scholar] [CrossRef]
- Barnard, G.A. Introduction to Pearson (1900) On the Criterion That a Given System of Deviations from the Probable in the Case of a Correlated System of Variables Is Such That It Can Be Reasonably Supposed to Have Arisen from Random Sampling. In Breakthroughs in Statistics: Methodology and Distribution; Springer: New York, NY, USA, 1992; pp. 1–10. [Google Scholar] [CrossRef]
- Jang, H.S.; Bae, K.Y.; Park, H.S.; Sung, D.K. Solar Power Prediction Based on Satellite Images and Support Vector Machine. IEEE Trans. Sustain. Energy 2016, 7, 1255–1263. [Google Scholar] [CrossRef]
- Das, A. Logistic Regression. In Encyclopedia of Quality of Life and Well-Being Research; Springer: Cham, Switzerland, 2021. [Google Scholar] [CrossRef]
- Jogunuri, S.; Josh, F.T.; Stonier, A.A.; Peter, G.; Jayaraj, J.; Jaganathan, S.; Jency Joseph, J.; Ganji, V. Random Forest Machine Learning Algorithm Based Seasonal Multi-Step Ahead Short-Term Solar Photovoltaic Power Output Forecasting. IET Renew. Power Gener. 2024, 19, e12921. [Google Scholar] [CrossRef]
- Villegas-Mier, C.G.; Rodriguez-Resendiz, J.; Álvarez-Alvarado, J.M.; Jiménez-Hernández, H.; Odry, Á. Optimized Random Forest for Solar Radiation Prediction Using Sunshine Hours. Micromachines 2022, 13, 1406. [Google Scholar] [CrossRef] [PubMed]
- Druzhkov, P.N.; Zolotykh, N.Y.; Polovinkin, A.N. Implementation of a Parallel Prediction Algorithm in the Gradient Boosting Method of Decision Trees; Mathematical Modeling and Programming Series; Bulletin of the South Ural State University: Chelyabinsk, Russia, 2011; pp. 82–89. [Google Scholar]
- Salakhutdinova, K.I.; Lebedev, I.S.; Krivtsova, I.E. Algorithm for Gradient Boosting of Decision Trees in the Software Identification Problem. Sci. Tech. Bull. Inf. Technol. Mech. Opt. 2018, 18, 1016–1022. [Google Scholar]
- Hancock, J.T.; Khoshgoftaar, T.M. CatBoost for Big Data: An Interdisciplinary Review. J. Big Data 2020, 7, 94. [Google Scholar] [CrossRef] [PubMed]
- Prokhorenkova, L.; Gusev, G.; Vorobev, A.; Dorogush, A.V.; Gulin, A. CatBoost: Unbiased Boosting with Categorical Features. In Advances in Neural Information Processing Systems; The MIT Press: Cambridge, MA, USA, 2018; Volume 31. [Google Scholar]
- Rufo, D.D.; Debelee, T.G.; Ibenthal, A.; Negera, W.G. Diagnosis of Diabetes Mellitus Using Gradient Boosting Machine (LightGBM). Diagnostics 2021, 11, 1714. [Google Scholar] [CrossRef]
- Singh, N.K.; Fukushima, T.; Nagahara, M. Gradient Boosting Approach to Predict Energy-Saving Awareness of Households in Kitakyushu. Energies 2023, 16, 5998. [Google Scholar] [CrossRef]
- Nusinovici, S.; Tham, Y.C.; Chak Yan, M.Y.; Wei Ting, D.S.; Li, J.; Sabanayagam, C.; Wong, T.Y.; Cheng, C.Y. Logistic Regression Was as Good as Machine Learning for Predicting Major Chronic Diseases. J. Clin. Epidemiol. 2020, 122, 56–69. [Google Scholar] [CrossRef]
- Kudryavtseva, A.S. Application of Embedded Selection Methods to Optimize the Referential Choice Model. Comput. Linguist. Intellect. Technol. 2017, 16, 1–9. [Google Scholar]
- Cai, Y.; Chow, M.Y.; Lu, W.; Li, L. Statistical Feature Selection from Massive Data in Distribution Fault Diagnosis. IEEE Trans. Power Syst. 2010, 25, 642–648. [Google Scholar] [CrossRef]






| ML Model | Hyperparameter | Hyperparameter Definition | Hyperparameter Values |
|---|---|---|---|
| SVM | C | Regularization strength | 0…10, step–0.5 |
| kernel | Kernel type | ‘rbf’, ‘poly’, ‘sigmoid’ | |
| gamma | Kernel coefficient | 0…1, step–0.01 | |
| Logistic Regression | solver | Optimization algorithm | “saga” |
| penalty | Norm of penalty | “elasticnet” | |
| l1_ratio | Relation between l1 and l2 regularizations | 0…1, step–0.1 | |
| C | Regularization strength | 0…5, step–0.1 | |
| Random Forest Classifier | n_estimators | Number of solving trees | 10…1000, step–100 |
| min_samples_split | Minimum number of samples required to split an internal node | 2…50, step–10 | |
| min_samples_leaf | Minimum number of samples required to be at a leaf node | 2…50, step–10 | |
| max_depth | Maximum tree depth | 1…21, step–1 | |
| criterion | Split criterion | “gini”, “entropy”, “log_loss” | |
| LGBM Classifier | learning_rate | Boosting learning rate | 0.0001, 0.001, 0.01 |
| max_depth | Maximum tree depth | 1…21, step–1 | |
| n_estimators | Number of solving trees | 10…1000, step–10 | |
| num_leaves | Maximum tree leaves | 2…50, step–1 | |
| boosting_type | Boosting algorithm | “gbdt”, “dart”, “goss” | |
| reg_alpha | L1 regularization coefficient | 0…1, step–0.1 | |
| reg_lambda | L2 regularization coefficient | 0…1, step–0.1 | |
| CatBoost Classifier | depth | Maximum tree depth | 1…10, step–1 |
| learning_rate | Boosting learning rate | 0.0001, 0.001, 0.01 | |
| iterations | Number of solving trees | 10…1000, step–10 | |
| l2_leaf_reg | L2 regularization coefficient | 1…15, step–1 | |
| max_leaves | Maximum tree leaves | 2…50, step–1 |
| ML Model | Accuracy | Recall | Precision | F1 | AUC-PR | ROC-AUC |
|---|---|---|---|---|---|---|
| Support Vector Machine (CW) | 0.687 | 0.685 | 0.606 | 0.642 | 0.672 | 0.768 |
| Support Vector Machine (SMOTE-NC) | 0.687 | 0.67 | 0.61 | 0.637 | 0.671 | 0.761 |
| Logistic Regression (CW) | 0.69 | 0.685 | 0.611 | 0.644 | 0.683 | 0.779 |
| Logistic Regression (SMOTE-NC) | 0.69 | 0.678 | 0.612 | 0.641 | 0.676 | 0.772 |
| Random Forest Classifier (CW) | 0.687 | 0.693 | 0.607 | 0.644 | 0.661 | 0.772 |
| Random Forest Classifier (SMOTE-NC) | 0.671 | 0.67 | 0.592 | 0.626 | 0.67 | 0.761 |
| LightGBM Classifier (CW) | 0.715 | 0.762 | 0.631 | 0.687 | 0.647 | 0.771 |
| LightGBM Classifier (SMOTE-NC) | 0.69 | 0.686 | 0.609 | 0.642 | 0.652 | 0.772 |
| CatBoost Classifier (CW) | 0.693 | 0.708 | 0.618 | 0.657 | 0.655 | 0.776 |
| CatBoost Classifier (SMOTE-NC) | 0.712 | 0.692 | 0.641 | 0.664 | 0.64 | 0.771 |
| Dummy Model | 0.519 | 0.523 | 0.431 | 0.472 | 0.411 | 0.5 |
| ML Model | Hyperparameters |
|---|---|
| Support Vector Machine | kernel: ‘rbf’; gamma: 0.04; C: 9.0; class_weight: ‘balanced’ |
| Support Vector Machine (SMOTE) | kernel: ‘sigmoid’; gamma: 0.03; C: 6.0 |
| Logistic Regression | penalty: ‘elasticnet’; solver: ‘saga’; l1_ratio: 0.8; C: 1; class_weight: ‘balanced’ |
| Logistic Regression (SMOTE) | penalty: ‘elasticnet’; solver: ‘saga’; l1_ratio: 0.6; C: 1 |
| Random Forest Classifier | n_estimators: 300; min_samples_split: 12; min_samples_leaf: 32; max_depth: 12; criterion: ‘log_loss’; class_weight: ‘balanced’ |
| Random Forest Classifier (SMOTE) | n_estimators: 100; min_samples_split: 32; min_samples_leaf: 22; max_depth: 1 |
| LightGBM Classifier | reg_lambda: 0.2; reg_alpha: 0.6; num_leaves: 31; n_estimators: 490; max_depth: 1; learning_rate: 0.01; boosting_type: ‘gbdt’; class_weight: ‘balanced’ |
| LightGBM Classifier (SMOTE) | reg_lambda: 0.7; reg_alpha: 0.9; num_leaves: 47; n_estimators: 865; max_depth: 15; learning_rate: 0.001; boosting_type: ‘goss’ |
| CatBoost Classifier | max_leaves: 16; learning_rate: 0.001; l2_leaf_reg: 14; iterations: 720; depth: 4; class_weight: ‘balanced’ |
| CatBoost Classifier (SMOTE) | max_leaves: 16; learning_rate: 0.001; l2_leaf_reg: 14; iterations: 720; depth: 4 |
Disclaimer/Publisher’s Note: The statements, opinions and data contained in all publications are solely those of the individual author(s) and contributor(s) and not of MDPI and/or the editor(s). MDPI and/or the editor(s) disclaim responsibility for any injury to people or property resulting from any ideas, methods, instructions or products referred to in the content. |
© 2025 by the authors. Licensee MDPI, Basel, Switzerland. This article is an open access article distributed under the terms and conditions of the Creative Commons Attribution (CC BY) license (https://creativecommons.org/licenses/by/4.0/).
Share and Cite
Bol’shev, V.; Budnikov, D.; Dzeikalo, A.; Korolev, R. Power Outage Prediction on Overhead Power Lines on the Basis of Their Technical Parameters: Machine Learning Approach. Energies 2025, 18, 5034. https://doi.org/10.3390/en18185034
Bol’shev V, Budnikov D, Dzeikalo A, Korolev R. Power Outage Prediction on Overhead Power Lines on the Basis of Their Technical Parameters: Machine Learning Approach. Energies. 2025; 18(18):5034. https://doi.org/10.3390/en18185034
Chicago/Turabian StyleBol’shev, Vadim, Dmitry Budnikov, Andrei Dzeikalo, and Roman Korolev. 2025. "Power Outage Prediction on Overhead Power Lines on the Basis of Their Technical Parameters: Machine Learning Approach" Energies 18, no. 18: 5034. https://doi.org/10.3390/en18185034
APA StyleBol’shev, V., Budnikov, D., Dzeikalo, A., & Korolev, R. (2025). Power Outage Prediction on Overhead Power Lines on the Basis of Their Technical Parameters: Machine Learning Approach. Energies, 18(18), 5034. https://doi.org/10.3390/en18185034

