A Review of Ammonia Combustion and Emissions Characteristics in Spark-Ignition Engines and Future Road Map
Abstract
1. Introduction
2. Application of Ammonia in Spark-Ignition Engine
3. Ammonia Combustion
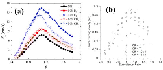
3.1. Laminar Burning Velocity NH3/Air Mixture
3.2. Pure Ammonia Combustion Analysis
Ignition Delay (ID) and Combustion Duration (CD) of Neat NH3
3.3. Ammonia Blend with Zero-Carbon Fuel
3.3.1. NH3/Hydrogen Combustion
3.3.2. Ignition Delay and Combustion Duration of NH3/H2 Blend
3.3.3. In-Cylinder Pressure and Heat Release Rate of NH3/H2 Blend
3.4. Ammonia Blend with Single Carbon Fuel
3.4.1. Ammonia/Methane and Natural Gas Combustion
Ignition Delay and Combustion Duration of NH3/CH4 and NH3/Natural Gas
3.4.2. In-Cylinder Pressure and Heat Release Rate of NH3/CH4 and NH3/Natural Gas
3.5. Ammonia Blend with High-Carbon Fuel
Gasoline/NH3 Combustion
4. Emissions Analysis
4.1. Oxides of Nitrogen
4.1.1. NOx Formation for NH3/H2 Blends
4.1.2. NOx Formation for CH4 and Natural Gas/NH3 Blends
4.1.3. NOx Formation for Pure NH3 and NH3/Gasoline Blend
4.2. Slip-NH3 Emissions
4.3. Carbon Dioxide, and Hydrocarbon Emissions
5. Ammonia-Operated Engine Performance
5.1. Engine Thermal Efficiency
5.1.1. Hydrogen/NH3 Mixture
5.1.2. Methane/NH3 Mixture
5.1.3. Gasoline/NH3 Mixture
6. Addressing Challenges of NH3
- (1)
- Blending NH3 with a fuel promotor offers a potential solution by improving auto-ignition quality for use in SI engines (Figure 3a) and reducing the need for extensive engine modifications.
- (2)
- Materials susceptible to corrosion, such as copper, nickel, and plastics, must be avoided in the fuel supply line, necessitating in-depth compatibility studies. However, prolonged exposure to NH3 can damage engine components such as the fuel feeding pump, fuel line, injector, and piston rings.
- (3)
- Efficiency can also be affected, especially at higher engine loads due to the lower energy density and worse combustion of NH3 than fossil fuel. As discussed in Section 3, 5–10% of highly reactive fuel is sufficient to improve NH3 combustion with optimal NOx emissions, where a high NH3 energy share can lower cylinder temperature, leading to decreased engine output. Therefore, engine mapping with the co-firing of NH3 is included to achieve better performance. Hence, optimizing the mixing ratio of ammonia, fuel, and air is crucial for achieving optimal performance, highlighting the importance of a proper buffer blender capable of regulating mixing ratios automatically.
- (4)
- Furthermore, understanding the chemistry of nitrogen oxides (NOx) during NH3 combustion is essential for developing effective abatement strategies. Fuel-bound nitrogen in NH3 can lead to significant NOx generation through pyrolysis processes in the combustion zone, necessitating advanced technologies for NOx reduction, such as SCR. The present SCR catalyst may not be sufficient for long-term uses in NH3. Hence, research on novel catalysts is needed to oxidize NO, N2O and slip-NH3 into N2 and O2. Moreover, the presence of unburned NH3 after combustion poses risks, as it is more poisonous than the combusted form.
- (5)
- Research efforts are needed to reduce unburned NH3 levels to below the safety threshold limit, with the literature suggesting a limit of 1000–4000 ppm, highlighting the need for further investigation to achieve levels below 23 ppm. The use of liquid NH3 at high injection pressure could help to reduce the slip-NH3 by improving the combustion of directly injected NH3 in the engine cylinder. Therefore, the development of a high-pressure NH3 direct injector is required. The development of a spark-ignited compression-ignition engine with high-pressure NH3 direct injection could improve the slip-NH3 and main engine performance at high torque.
- (6)
- Addressing the challenges met by NH3 as a fuel requires comprehensive strategies that encompass safety measures, compatibility studies, efficiency optimization, NOx reduction technologies, and efforts to minimize unburned NH3 levels. Collaboration between researchers, engineers, and industry stakeholders is essential in order to overcome these challenges and unlock the full potential of NH3 as a sustainable fuel option.
7. Discussions and Conclusions
- Mixing ammonia with appropriate fuels can resolve ignition problems. Studies show that H2 and CH4 are more promising fuel promotors in comparison to gasoline;
- Ammonia–fuel blends with combustion promotors H2 and CH4 can increase the engine performance by 30–40% compared to pure ammonia;
- A digitally controlled ammonia–fuel blender is required to maintain optimal performance by varying engine speed/load;
- To address the higher auto-ignition temperature and ignition delay, preheated low-pressure NH3 fuel is required;
- A higher compression ratio in the cylinder can facilitate auto-ignition. Hence, the spark-ignited compression ignition (SI-CI) concept could be a promising option for NH3 fuel;
- Ammonia oxidation catalysts and catalytic reduction can be applied to reduce NOx emissions, and results have shown up to a 90% conversion rate [78].
8. Future Scope
8.1. Material
8.2. Engine Design
8.3. Adoption of New Technology
Author Contributions
Funding
Data Availability Statement
Acknowledgments
Conflicts of Interest
Nomenclature
| φ | Equivalency ratios | ID | Ignition delay (°CA) |
| λ | Stoichiometric air–fuel | ITE | Indicated thermal efficiency |
| ASI | After spark-ignition | JI | Jet ignition |
| AJI | After jet appearance | LHV | Latent Heat of Vaporization |
| BTE | Brake thermal efficiency | LFL | Lower flammability limit |
| CVC | Constant-volume chamber | MMT | Million metric tons |
| CR | Compression ratio | NH3 | ammonia |
| CI | Compression ignition | NO | Nitric oxide |
| CO | Carbon monoxide | NOx | Oxides of nitrogen |
| CO2 | Carbon dioxide | N2O | Nitrous oxide |
| CH4 | Methane | NO2 | Nitrogen dioxide |
| CD | Combustion duration (°CA) | Pmax | Maximum in-cylinder pressure (bar) |
| CA | Crank angle | Pin | Injection pressures (bar) |
| CAD | Crank angle degree | Pi | Initial pressures (bar) |
| GHG | Greenhouse gas | SL | laminar flame speed (cm/s) |
| H2 | Hydrogen | SIT | Spark-ignition timing |
| HC | Hydrocarbon | SI | Spark-ignition |
| HRR | Heat release rate HRR | TJI | Turbulent jet ignition |
| HRRmax | Maximum heat release rate (J/°CA) | RA | Renewable ammonia |
References
- Chiong, M.-C.; Chong, C.T.; Ng, J.-H.; Mashruk, S.; Chong, W.W.F.; Samiran, N.A.; Mong, G.R.; Valera-Medina, A. Advancements of combustion technologies in the ammonia-fuelled engines. Energ. Convers. Manag. 2021, 244, 114460. [Google Scholar] [CrossRef]
- Førby, N.; Thomsen, T.B.; Cordtz, R.F.; Bræstrup, F.; Schramm, J. Ignition and combustion study of premixed ammonia using GDI pilot injection in CI engine. Fuel 2023, 331, 125768. [Google Scholar] [CrossRef]
- International Maritime Organization (IMO). Initial IMO Strategy for Reducing Shipping Emissions Set for Adoption. Available online: https://unfccc.int/news/initial-imo-strategy-for-reducing-shipping-emissions-set-for-adoption (accessed on 25 March 2024).
- Valera-Medina, A.; Xiao, H.; Owen-Jones, M.; David, W.I.F.; Bowen, P.J. Ammonia for power. Progress. Energy Combust. Sci. 2018, 69, 63–102. [Google Scholar] [CrossRef]
- Comotti, M.; Frigo, S. Hydrogen generation system for ammonia–hydrogen fuelled internal combustion engines. Int. J. Hydrogen Energy 2015, 40, 10673–10686. [Google Scholar] [CrossRef]
- Dimitriou, P.; Javaid, R. A review of ammonia as a compression ignition engine fuel. Int. J. Hydrogen Energy 2020, 45, 7098–7118. [Google Scholar] [CrossRef]
- Dai, L.; Hashemi, H.; Glarborg, P.; Gersen, S.; Marshall, P.; Mokhov, A.; Levinsky, H. Ignition delay times of NH3 /DME blends at high pressure and low DME fraction: RCM experiments and simulations. Combust. Flame 2021, 227, 120–134. [Google Scholar] [CrossRef]
- Kurien, C.; Varma, P.S.; Mittal, M. Effect of ammonia energy fractions on combustion stability and engine characteristics of gaseous (ammonia/methane) fuelled spark ignition engine. Int. J. Hydrogen Energy 2023, 48, 1391–1400. [Google Scholar] [CrossRef]
- Mounaïm-Rousselle, C.; Brequigny, P. Ammonia as Fuel for Low-Carbon Spark-Ignition Engines of Tomorrow’s Passenger Cars. Front. Mech. Eng. 2020, 6, 70. [Google Scholar] [CrossRef]
- Li, J.; Zhang, R.; Pan, J.; Wei, H.; Shu, G.; Chen, L. Ammonia and hydrogen blending effects on combustion stabilities in optical SI engines. Energ. Convers. Manag. 2023, 280, 116827. [Google Scholar] [CrossRef]
- Xin, G.; Ji, C.; Wang, S.; Meng, H.; Chang, K.; Yang, J. Effect of ammonia addition on combustion and emission characteristics of hydrogen-fueled engine under lean-burn condition. Int. J. Hydrogen Energy 2022, 47, 9762–9774. [Google Scholar] [CrossRef]
- Li, J.; Huang, H.; Deng, L.; He, Z.; Osaka, Y.; Kobayashi, N. Effect of hydrogen addition on combustion and heat release characteristics of ammonia flame. Energy 2019, 175, 604–617. [Google Scholar] [CrossRef]
- Mercier, A.; Mounaïm-Rousselle, C.; Brequigny, P.; Bouriot, J.; Dumand, C. Improvement of SI engine combustion with ammonia as fuel: Effect of ammonia dissociation prior to combustion. Fuel Commun. 2022, 11, 100058. [Google Scholar] [CrossRef]
- Kurien, C.; Mittal, M. Review on the production and utilization of green ammonia as an alternate fuel in dual-fuel compression ignition engines. Energ. Convers. Manag. 2022, 251, 114990. [Google Scholar] [CrossRef]
- Meng, X.; Zhang, M.; Zhao, C.; Tian, H.; Tian, J.; Long, W.; Bi, M. Study of combustion and NO chemical reaction mechanism in ammonia blended with DME. Fuel 2022, 319, 123832. [Google Scholar] [CrossRef]
- Lee, D.; Song, H.H. Development of combustion strategy for the internal combustion engine fueled by ammonia and its operating characteristics. J. Mech. Sci. Technol. 2018, 32, 1905–1925. [Google Scholar] [CrossRef]
- Mashruk, S.; Kovaleva, M.; Alnasif, A.; Chong, C.T.; Hayakawa, A.; Okafor, E.C.; Valera-Medina, A. Nitrogen oxide emissions analyses in ammonia/hydrogen/air premixed swirling flames. Energy 2022, 260, 125183. [Google Scholar] [CrossRef]
- Ryu, K. Combustion Characteristics and Exhaust Emissions in Spark-ignition Engine Using Gasoline-ammonia. Trans. Korean Soc. Automot. Eng. 2013, 21, 155–165. [Google Scholar] [CrossRef]
- Lhuillier, C.; Brequigny, P.; Contino, F.; Mounaïm-Rousselle, C. Experimental study on ammonia/hydrogen/air combustion in spark ignition engine conditions. Fuel 2020, 269, 117448. [Google Scholar] [CrossRef]
- Cardoso, J.S.; Silva, V.; Rocha, R.C.; Hall, M.J.; Costa, M.; Eusébio, D. Ammonia as an energy vector: Current and future prospects for low-carbon fuel applications in internal combustion engines. J. Clean. Prod. 2021, 296, 126562. [Google Scholar] [CrossRef]
- Cheng, X.; Li, Y.; Xu, Y.; Liu, Y.; Wang, B. Study of effects of ammonia addition on soot formation characteristics in n-heptane co-flow laminar diffusion flames. Combust. Flame 2022, 235, 111683. [Google Scholar] [CrossRef]
- Ezzat, M.F.; Dincer, I. Development and assessment of a new hybrid vehicle with ammonia and hydrogen. Appl. Energy 2018, 219, 226–239. [Google Scholar] [CrossRef]
- What Are Some Surprising Details About Using Ammonia as a Fuel? Available online: https://www.nh3fuel.com/faqs/16-ammonia/37-what-are-some-surprising-details-about-using-ammonia-as-a-fuel (accessed on 4 December 2024).
- Introduction to NH3 Fuel—A Brief History. Available online: https://nh3fuelassociation.org/introduction/ (accessed on 4 December 2024).
- Dinesh, M.H.; Pandey, J.K.; Kumar, G.N. Study of performance, combustion, and NOx emission behavior of an SI engine fuelled with ammonia/hydrogen blends at various compression ratio. Int. J. Hydrogen Energy 2022, 47, 25391–25403. [Google Scholar] [CrossRef]
- Frankl, S.; Gleis, S.; Karmann, S.; Prager, M.; Wachtmeister, G. Investigation of ammonia and hydrogen as CO2-free fuels for heavy duty engines using a high pressure dual fuel combustion process. Int. J. Engine Res. 2020, 22, 3196–3208. [Google Scholar] [CrossRef]
- Metghalchi, M.; Keck, J.C. Burning velocities of mixtures of air with methanol, isooctane, and indolene at high pressure and temperature. Combust. Flame 1982, 48, 191–210. [Google Scholar] [CrossRef]
- Chai, W.S.; Bao, Y.; Jin, P.; Tang, G.; Zhou, L. A review on ammonia, ammonia-hydrogen and ammonia-methane fuels. Renew. Sustain. Energy Rev. 2021, 147, 111254. [Google Scholar] [CrossRef]
- Liu, R.; Ting, D.; Checkel, M. Ammonia as a Fuel for SI Engine; SAE Technical Paper 2003-01-3095; SAE International: Warrendale, PA, USA, 2003. [Google Scholar] [CrossRef]
- Checkel, M.D.; Ting, D.S.K.; Bushe, W.K. Flammability limits and burning velocities of ammonia/nitric oxide mixtures. J. Loss Prev. Process Ind. 1995, 8, 215–220. [Google Scholar] [CrossRef]
- Hayakawa, A.; Goto, T.; Mimoto, R.; Arakawa, Y.; Kudo, T.; Kobayashi, H. Laminar burning velocity and Markstein length of ammonia/air premixed flames at various pressures. Fuel 2015, 159, 98–106. [Google Scholar] [CrossRef]
- Mørch, C.S.; Bjerre, A.; Gøttrup, M.P.; Sorenson, S.C.; Schramm, J. Ammonia/hydrogen mixtures in an SI-engine: Engine performance and analysis of a proposed fuel system. Fuel 2011, 90, 854–864. [Google Scholar] [CrossRef]
- Cornelius, W.; Huellmantel, L.W.; Mitchell, H.R. Ammonia as an Engine Fuel. SAE Trans. 1966, 74, 300–326. [Google Scholar]
- Starkman, E.S.; James, G.E.; Newhall, H.K. Ammonia as a Diesel Engine Fuel: Theory and Application; SAE Technical Paper; SAE International: Warrendale, PA, USA, 1967. [Google Scholar]
- Elbaz, A.M.; Wang, S.; Guiberti, T.F.; Roberts, W.L. Review on the recent advances on ammonia combustion from the fundamentals to the applications. Fuel Commun. 2022, 10, 100053. [Google Scholar] [CrossRef]
- Frost, J.; Tall, A.; Sheriff, A.M.; Schönborn, A.; Hellier, P. An experimental and modelling study of dual fuel aqueous ammonia and diesel combustion in a single cylinder compression ignition engine. Int. J. Hydrogen Energy 2021, 46, 35495–35510. [Google Scholar] [CrossRef]
- Grannell, S.M.; Assanis, D.N.; Bohac, S.V.; Gillespie, D.E. The Fuel Mix Limits and Efficiency of a Stoichiometric, Ammonia, and Gasoline Dual Fueled Spark Ignition Engine. J. Eng. Gas. Turbines Power 2008, 130, 042802. [Google Scholar] [CrossRef]
- Gross, C.W.; Kong, S.-C. Performance characteristics of a compression-ignition engine using direct-injection ammonia–DME mixtures. Fuel 2013, 103, 1069–1079. [Google Scholar] [CrossRef]
- Haputhanthri, S.O. Ammonia Gasoline Fuel Blends: Feasibility Study of Commercially Available Emulsifiers and Effects on Stability and Engine Performance; SAE Technical Paper Series; SAE International: Warrendale, PA, USA, 2014. [Google Scholar]
- Herbinet, O.; Bartocci, P.; Grinberg Dana, A. On the use of ammonia as a fuel—A perspective. Fuel Commun. 2022, 11, 100064. [Google Scholar] [CrossRef]
- Ichikawa, Y.; Niki, Y.; Takasaki, K.; Kobayashi, H.; Miyanagi, A. NH3 combustion using three-layer stratified fuel injection for a large two-stroke marine engine: Experimental verification of the concept. Appl. Energy Combust. Sci. 2022, 10, 100071. [Google Scholar] [CrossRef]
- Issayev, G.; Giri, B.R.; Elbaz, A.M.; Shrestha, K.P.; Mauss, F.; Roberts, W.L.; Farooq, A. Combustion behavior of ammonia blended with diethyl ether. Proc. Combust. Inst. 2021, 38, 499–506. [Google Scholar] [CrossRef]
- Ji, C.; Xin, G.; Wang, S.; Cong, X.; Meng, H.; Chang, K.; Yang, J. Effect of ammonia addition on combustion and emissions performance of a hydrogen engine at part load and stoichiometric conditions. Int. J. Hydrogen Energy 2021, 46, 40143–40153. [Google Scholar] [CrossRef]
- Zhang, X.; Tian, J.; Cui, Z.; Xiong, S.; Yin, S.; Wang, Q.; Long, W. Visualization study on the effects of pre-chamber jet ignition and methane addition on the combustion characteristics of ammonia/air mixtures. Fuel 2023, 338, 127204. [Google Scholar] [CrossRef]
- Shu, B.; Vallabhuni, S.K.; He, X.; Issayev, G.; Moshammer, K.; Farooq, A.; Fernandes, R.X. A shock tube and modeling study on the autoignition properties of ammonia at intermediate temperatures. Proc. Combust. Inst. 2019, 37, 205–211. [Google Scholar] [CrossRef]
- Cellek, M.S. The decreasing effect of ammonia enrichment on the combustion emission of hydrogen, methane, and propane fuels. Int. J. Hydrogen Energy 2022, 47, 19916–19934. [Google Scholar] [CrossRef]
- Lhuillier, C.; Brequigny, P.; Lamoureux, N.; Contino, F.; Mounaïm-Rousselle, C. Experimental investigation on laminar burning velocities of ammonia/hydrogen/air mixtures at elevated temperatures. Fuel 2020, 263, 116653. [Google Scholar] [CrossRef]
- Pochet, M.; Truedsson, I.; Foucher, F.; Jeanmart, H.; Contino, F. Ammonia-Hydrogen Blends in Homogeneous-Charge Compression-Ignition Engine; SAE Technical Paper Series; SAE International: Warrendale, PA, USA, 2017. [Google Scholar]
- Zhang, H.; Li, G.; Long, Y.; Zhang, Z.; Wei, W.; Zhou, M.; Belal, B.Y. Numerical study on combustion and emission characteristics of a spark-ignition ammonia engine added with hydrogen-rich gas from exhaust-fuel reforming. Fuel 2023, 332, 125939. [Google Scholar] [CrossRef]
- Zhang, F.; Chen, G.; Wu, D.; Li, T.; Zhang, Z.; Wang, N. Characterising premixed ammonia and hydrogen combustion for a novel Linear Joule Engine Generator. Int. J. Hydrogen Energy 2021, 46, 23075–23090. [Google Scholar] [CrossRef]
- Xu, X.; Liu, E.; Zhu, N.; Liu, F.; Qian, F. Review of the Current Status of Ammonia-Blended Hydrogen Fuel Engine Development. Energies 2022, 15, 1023. [Google Scholar] [CrossRef]
- Yang, W.; Ranga Dinesh, K.K.J.; Luo, K.H.; Thévenin, D. Direct numerical simulations of auto-igniting mixing layers in ammonia and ammonia-hydrogen combustion under engine-relevant conditions. Int. J. Hydrogen Energy 2022, 47, 38055–38074. [Google Scholar] [CrossRef]
- Xin, G.; Ji, C.; Wang, S.; Meng, H.; Chang, K.; Yang, J. Effect of different volume fractions of ammonia on the combustion and emission characteristics of the hydrogen-fueled engine. Int. J. Hydrogen Energy 2022, 47, 16297–16308. [Google Scholar] [CrossRef]
- Wang, B.; Yang, C.; Wang, H.; Hu, D.; Wang, Y. Effect of Diesel-Ignited Ammonia/Hydrogen mixture fuel combustion on engine combustion and emission performance. Fuel 2023, 331, 125865. [Google Scholar] [CrossRef]
- Lhuillier, C.; Brequigny, P.; Contino, F.; Mounaïm-Rousselle, C. Experimental investigation on ammonia combustion behavior in a spark-ignition engine by means of laminar and turbulent expanding flames. Proc. Combust. Inst. 2021, 38, 5859–5868. [Google Scholar] [CrossRef]
- Lhuillier, C.; Brequigny, P.; Contino, F.; Rousselle, C. Combustion Characteristics of Ammonia in a Modern Spark-Ignition Engine; SAE Technical Paper Series; SAE International: Warrendale, PA, USA, 2019. [Google Scholar]
- Nadimi, E.; Przybyła, G.; Lewandowski, M.T.; Adamczyk, W. Effects of ammonia on combustion, emissions, and performance of the ammonia/diesel dual-fuel compression ignition engine. J. Energy Inst. 2023, 107, 101158. [Google Scholar] [CrossRef]
- Xiao, H.; Lai, S.; Valera-Medina, A.; Li, J.; Liu, J.; Fu, H. Experimental and modeling study on ignition delay of ammonia/methane fuels. Int. J. Energy Res. 2020, 44, 6939–6949. [Google Scholar] [CrossRef]
- Zhang, R.; Chen, L.; Wei, H.; Li, J.; Chen, R.; Pan, J. Understanding the difference in combustion and flame propagation characteristics between ammonia and methane using an optical SI engine. Fuel 2022, 324, 124794. [Google Scholar] [CrossRef]
- Oh, S.; Park, C.; Oh, J.; Kim, S.; Kim, Y.; Choi, Y.; Kim, C. Combustion, emissions, and performance of natural gas–ammonia dual-fuel spark-ignited engine at full-load condition. Energy 2022, 258, 124837. [Google Scholar] [CrossRef]
- Oh, S.; Park, C.; Kim, S.; Kim, Y.; Choi, Y.; Kim, C. Natural gas–ammonia dual-fuel combustion in spark-ignited engine with various air–fuel ratios and split ratios of ammonia under part load condition. Fuel 2021, 290, 120095. [Google Scholar] [CrossRef]
- Jeong, S.Y.; Jang, D.; Lee, M.C. Property-based quantitative risk assessment of hydrogen, ammonia, methane, and propane considering explosion, combustion, toxicity, and environmental impacts. J. Energy Storage 2022, 54, 105344. [Google Scholar] [CrossRef]
- Liu, S.; Lin, Z.; Zhang, H.; Lei, N.; Qi, Y.; Wang, Z. Impact of ammonia addition on knock resistance and combustion performance in a gasoline engine with high compression ratio. Energy 2023, 262, 125458. [Google Scholar] [CrossRef]
- luo, X.; Yang, X.; Wilcutts, M.; Ortiz-Soto, E. Reduction of Ammonia Emission using Deceleration Cylinder Cutoff in a Gasoline Spark Ignition Engine. SAE Int. J. Adv. Curr. Pract. Mobil. 2022, 4, 1782–1787. [Google Scholar] [CrossRef]
- Salek, F.; Babaie, M.; Shakeri, A.; Hosseini, S.V.; Bodisco, T.; Zare, A. Numerical Study of Engine Performance and Emissions for Port Injection of Ammonia into a Gasoline\Ethanol Dual-Fuel Spark Ignition Engine. Appl. Sci. 2021, 11, 1441. [Google Scholar] [CrossRef]
- Mounaïm-Rousselle, C.; Mercier, A.; Brequigny, P.; Dumand, C.; Bouriot, J.; Houillé, S. Performance of ammonia fuel in a spark assisted compression Ignition engine. Int. J. Engine Res. 2021, 23, 781–792. [Google Scholar] [CrossRef]
- Ryu, K.; Zacharakis-Jutz, G.E.; Kong, S.-C. Effects of gaseous ammonia direct injection on performance characteristics of a spark-ignition engine. Appl. Energy 2014, 116, 206–215. [Google Scholar] [CrossRef]
- Wu, Y.; Hu, J.; Lin, Y.; Chen, P.; Chen, G.; Wang, Z. Experimental study of ammonia energy ratio on combustion and emissions from ammonia-gasoline dual-fuel engine at various load conditions. J. Energy Inst. 2024, 117, 101868. [Google Scholar] [CrossRef]
- Liu, S.; Lin, Z.; Qi, Y.; Wang, Z.; Yang, D.; Lu, G.; Wang, B. Combustion and emission characteristics of a spark ignition engine fueled with ammonia/gasoline and pure ammonia. Appl. Energy 2024, 369, 123538. [Google Scholar] [CrossRef]
- Liu, Z.; Zhou, L.; Zhong, L.; Wei, H. Enhanced combustion of ammonia engine based on novel air-assisted pre-chamber turbulent jet ignition. Energy Convers. Manag. 2023, 276, 116526. [Google Scholar] [CrossRef]
- Liu, Z.; Zhou, L.; Wei, H. Experimental investigation on the performance of pure ammonia engine based on reactivity controlled turbulent jet ignition. Fuel 2023, 335, 127116. [Google Scholar] [CrossRef]
- Wu, X.; Feng, Y.; Xu, G.; Zhu, Y.; Ming, P.; Dai, L. Numerical investigations on charge motion and combustion of natural gas-enhanced ammonia in marine pre-chamber lean-burn engine with dual-fuel combustion system. Int. J. Hydrogen Energy 2023, 48, 11476–11492. [Google Scholar] [CrossRef]
- Zhu, X.; Guiberti, T.F.; Li, R.; Roberts, W.L. Numerical study of heat release rate markers in laminar premixed Ammonia-methane-air flames. Fuel 2022, 318, 123599. [Google Scholar] [CrossRef]
- Zhang, M.; Wang, H.; Fan, B.; Liu, C.; Wang, M.; Liu, Q. Progress of ammonia selective catalytic oxidation research and performance improvement strategy. J. Environ. Chem. Eng. 2024, 12, 112306. [Google Scholar] [CrossRef]
- Li, Y.; Zhang, Y.; Zhan, R.; Huang, Z.; Lin, H. Experimental and kinetic modeling study of ammonia addition on PAH characteristics in premixed n-heptane flames. Fuel Process. Technol. 2021, 214, 106682. [Google Scholar] [CrossRef]
- Zhu, J.; Zhou, D.; Yang, W.; Qian, Y.; Mao, Y.; Lu, X. Investigation on the potential of using carbon-free ammonia in large two-stroke marine engines by dual-fuel combustion strategy. Energy 2023, 263, 125748. [Google Scholar] [CrossRef]
- Huang, F.; Guo, S.; Wang, L.; Yang, Z.; Kong, W. Experimental and numerical study on the performances of a free-piston engine generator using ammonia and methane fuel mixtures. Fuel 2023, 341, 127654. [Google Scholar] [CrossRef]
- Wang, B.; Yang, C.; Chen, Y.; Zu, Z.; Lin, H.; Bai, C.; Yin, Y.; Cheng, X. Combustion and emissions of an ammonia heavy-duty engine with a hydrogen-fueled active pre-chamber ignition system. Int. J. Hydrogen Energy 2024, 90, 419–430. [Google Scholar] [CrossRef]
- Yavuz, M.; Wu, M.; Cova-Bonillo, A.; Brinklow, G.; Herreros, J.; Tsolakis, A. Study of H2 and NH3 Mixtures in a Gasoline-Fueled Engine; SAE Technical Paper Series; SAE International: Warrendale, PA, USA, 2014. [Google Scholar]
- Valera-Medina, A.; Amer-Hatem, F.; Azad, A.K.; Dedoussi, I.C.; de Joannon, M.; Fernandes, R.X.; Glarborg, P.; Hashemi, H.; He, X.; Mashruk, S.; et al. Review on Ammonia as a Potential Fuel: From Synthesis to Economics. Energy Fuels 2021, 35, 6964–7029. [Google Scholar] [CrossRef]

















| Species | Ammonia | Hydrogen | Methanol | Methane | Gasoline | Diesel |
|---|---|---|---|---|---|---|
| Formula | NH3 | H2 | CH3OH | CH4 | ||
| Storage | Liquid | Compressed liquid | Liquid | Compressed | Liquid | Liquid |
| Storage temperature (K) | 300 | 20 | 300 | 300 | 300 | 298 |
| Density (kg/m3) | 600 | 39.1 | 784.6 | 187 | 740 | 831 |
| Heating value (MJ/kg) | 18.8 | 120 | 19.9 | 50 | 44.5 | 42.5 |
| SL @ φ = 1 (m/s) | 0.07 | 3.51 | 0.36 | 0.38 | 0.58 | 0.86 |
| LHV (kJ/kg) [14] | 1360 | 455 | 1101.1 | 511 | 348.7 | 232.4 |
| Auto-ignition temperature (K) | 930 | 844 | 712 | 859 | 503 | 523 |
| Research octane number | 130 | 100 | 119 | 120 | 90–98 | - |
| Cetane Number | - | - | - | - | - | 45–50 |
| Octane number [-] | 110 | 130 | 120–134 | 107 | 90–98 | 40–55 |
| LFL in air (vol.%) | 15–28 | 4.7–75 | 6.7–36 | 5–15 | 0.6–8 | 0.6–6/5 |
Disclaimer/Publisher’s Note: The statements, opinions and data contained in all publications are solely those of the individual author(s) and contributor(s) and not of MDPI and/or the editor(s). MDPI and/or the editor(s) disclaim responsibility for any injury to people or property resulting from any ideas, methods, instructions or products referred to in the content. |
© 2024 by the authors. Licensee MDPI, Basel, Switzerland. This article is an open access article distributed under the terms and conditions of the Creative Commons Attribution (CC BY) license (https://creativecommons.org/licenses/by/4.0/).
Share and Cite
Sharma, V.; Panesar, A.; de Sercey, G.; Begg, S. A Review of Ammonia Combustion and Emissions Characteristics in Spark-Ignition Engines and Future Road Map. Energies 2025, 18, 41. https://doi.org/10.3390/en18010041
Sharma V, Panesar A, de Sercey G, Begg S. A Review of Ammonia Combustion and Emissions Characteristics in Spark-Ignition Engines and Future Road Map. Energies. 2025; 18(1):41. https://doi.org/10.3390/en18010041
Chicago/Turabian StyleSharma, Vikas, Angad Panesar, Guillaume de Sercey, and Steven Begg. 2025. "A Review of Ammonia Combustion and Emissions Characteristics in Spark-Ignition Engines and Future Road Map" Energies 18, no. 1: 41. https://doi.org/10.3390/en18010041
APA StyleSharma, V., Panesar, A., de Sercey, G., & Begg, S. (2025). A Review of Ammonia Combustion and Emissions Characteristics in Spark-Ignition Engines and Future Road Map. Energies, 18(1), 41. https://doi.org/10.3390/en18010041

