Optimization Study of Photovoltaic Cell Arrangement Strategies in Greenhouses
Abstract
1. Introduction
2. Materials and Methods
2.1. Greenhouse Physical Model and Arrangement Mode
2.2. Mathematical Model
2.2.1. Solar Radiation Model
2.2.2. Indoor Temperature Model
2.3. Model Validation
2.4. Optimization Strategy
3. Results
3.1. Electricity Production Analysis
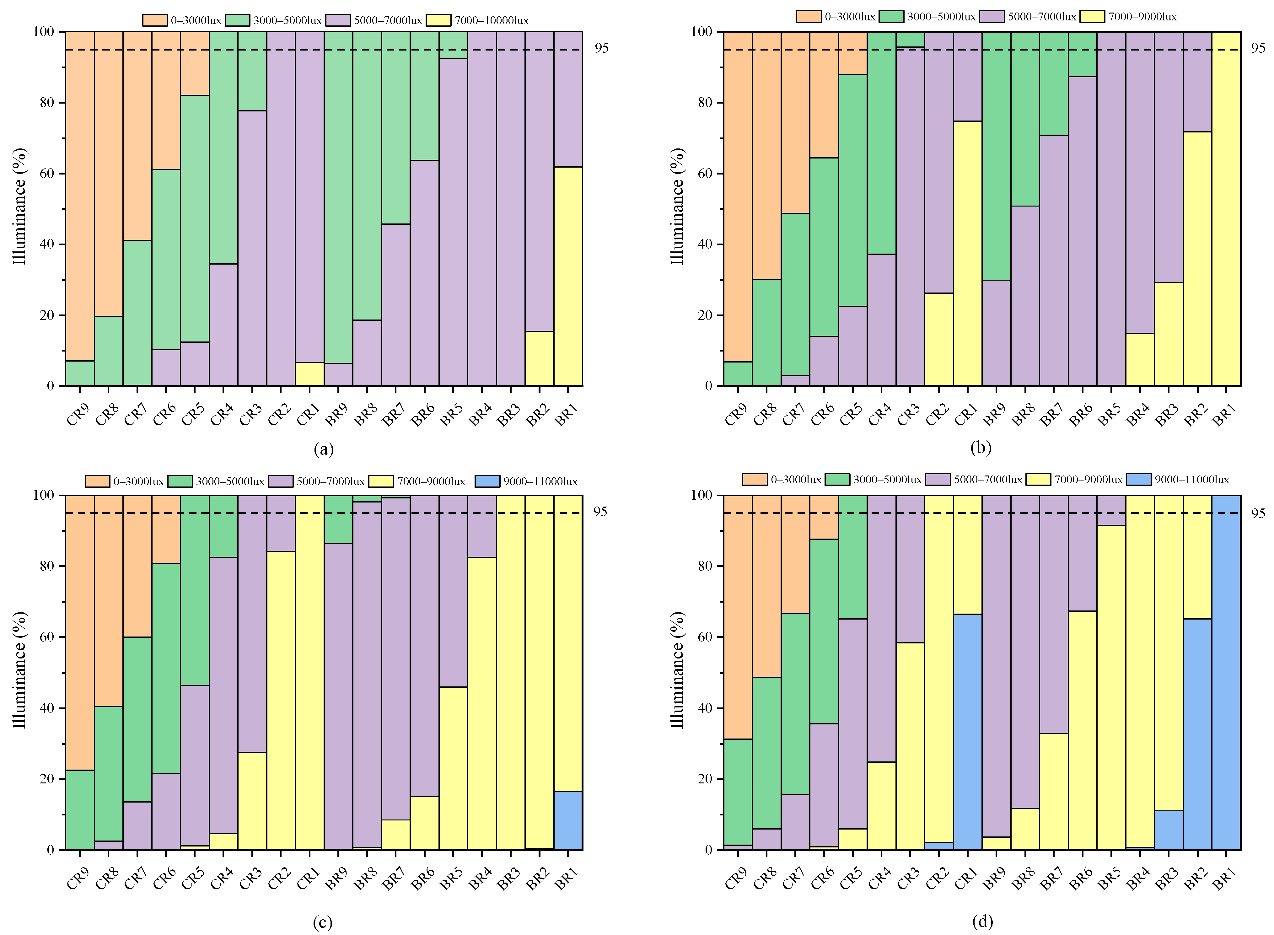
3.2. Illuminance Analysis
3.3. Temperature Analysis
3.4. Selection of the Optimal Arrangement Scheme
4. Discussion
5. Conclusions
- (1)
- In summer, cities north of Nanjing achieve maximum unit of area power generation when facing south at 18°, with outputs of 149.98 kWh/m2, 130.15 kWh/m2, and 112.55 kWh/m2, respectively, while the cities south of Nanjing reach their peak at 0°, with an output of 95.74 kWh/m2. In winter, cities north of Nanjing achieve maximum unit of area power generation at 54° south-facing orientation, with outputs of 120.16 kWh/m2, 96.31 kWh/m2, and 88.86 kWh/m2, respectively, whereas cities south of Nanjing peak at 36° south-facing orientation, with an output of 86.89 kWh/m2.
- (2)
- As the number of photovoltaic cells decreases, the illumination intensity becomes higher and higher. The illumination uniformity of the compact arrangement increases as the number of rows decreases, while the illumination uniformity of the checkerboard arrangement shows a trend of initially decreasing and then increasing as the number of rows decreases.
- (3)
- Under the same coverage rate, the checkerboard arrangement sacrifices a little light compared to the tight arrangement, but the quality of illumination uniformity is significantly improved. Among the four cities, the average illumination uniformity of the checkerboard arrangement was improved by 37.34%, 37.9%, 38.2% and 35.8%, respectively, compared with the compact arrangement.
- (4)
- Among the four cities, except for CR9 and BR9 in Guangzhou, the unit of area power generation of other schemes exceeds 80 kWh/m2, with excellent power generation efficiency in summer. In winter, there is a relative decrease. Among the four cities, only Harbin reached seven rows of photovoltaic cells under the unit of area of photovoltaic cells greater than 80 kWh/m2, while the other three cities achieved five rows.
- (5)
- From the perspective of photovoltaic (PV) cell coverage, it can be observed that the greater the coverage of PV cells, the smaller the temperature difference within the greenhouse. In summer, the temperature differences for CR9 are reduced by 38.6%, 47.1%, 34.8%, and 36.8%, respectively, compared to BR1 in the four cities. In winter, the temperature differences for CR9 are reduced by 23.38%, 39.3%, 33.1%, and 34.6%, respectively, compared to BR1 in the four cities.
- (6)
- Compared to BR1, the temperature differences in the four cities for CR9 have decreased by 38.6%, 47.1%, 34.8%, and 36.8% in summer, respectively. And in winter, the temperature differences in the four cities for CR9 have decreased by 23.38%, 39.3%, 33.1%, and 34.6%, respectively.
- (7)
- Under the comprehensive evaluation indicator, the optimal arrangement schemes for cherry tomatoes in the four cities (Harbin, Shenyang, Nanjing, and Guangzhou) during the summer are BR9, BR9, BR9, and BR7, with total electricity generation of 9798.95635 kWh, 8386.7678 kWh, 7573.29706 kWh, and 5574.84325 kWh, respectively. Northern cities perform better in electricity generation. In winter, the schemes are CR1, CR1, CR2, and CR2, with total electricity generation of 2271.0722 kWh, 1820.3322 kWh, 3340.4114 kWh, and 3231.6826 kWh, with southern cities performing better. For strawberries in the summer, the optimal arrangement schemes for the four cities are CR1, BR4, BR6, and BR7, with total electricity generation of 2834.56 kWh, 4671.96 kwh kWh, 5798.697 kWh, and 5574.84325 kWh, respectively, showing a similar total electricity generation. In winter, the schemes are none, none, BR1, and CR2, with total electricity generation of 839.8006 kWh and 3231.68kWh. This indicates that, in winter, the environment of northern cities (such as Harbin and Shenyang) is not very suitable for strawberry growth.
Author Contributions
Funding
Data Availability Statement
Acknowledgments
Conflicts of Interest
References
- Liu, K.; Zhu, B.; Chen, J. Low-Carbon Design Path of Building Integrated Photovoltaics: A Comparative Study Based on Green Building Rating Systems. Buildings 2021, 11, 469. [Google Scholar] [CrossRef]
- Pourasl, H.H.; Barenji, R.V.; Khojastehnezhad, V.M. Solar energy status in the world: A comprehensive review. Energy Rep. 2023, 10, 3474–3493. [Google Scholar] [CrossRef]
- Yang, K.; Chen, Y.; Li, C.; Wang, J.; Lund, P.D. Dynamic price optimization of a solar integrated cogeneration system considering uncertainties of building demands. Renew. Energy 2024, 223, 120074. [Google Scholar] [CrossRef]
- Singh, G.K. Solar power generation by PV (photovoltaic) technology: A review. Energy 2013, 53, 1–13. [Google Scholar] [CrossRef]
- Zisos, A.; Chatzopoulos, D.; Efstratiadis, A. The Concept of Spatial Reliability Across Renewable Energy Systems—An Application to Decentralized Solar PV Energy. Energies 2024, 17, 5900. [Google Scholar] [CrossRef]
- Tejero-Gómez, J.A.; Bayod-Rújula, Á.A. Analysis of Grid-Scale Photovoltaic Plants Incorporating Battery Storage with Daily Constant Setpoints. Energies 2024, 17, 6117. [Google Scholar] [CrossRef]
- Jiang, W.; Wang, T.; Yuan, D.; Sha, A.; Zhang, S.; Zhang, Y.; Xiao, J.; Xing, C. Available solar resources and photovoltaic system planning strategy for highway. Renew. Sustain. Energy Rev. 2024, 203, 114765. [Google Scholar] [CrossRef]
- Mi, P.; Zhang, J.; Gao, J.; Han, Y. Study on optimal allocation of solar photovoltaic thermal heat pump integrated energy system for domestic hot water. Renew. Energy 2023, 219, 119433. [Google Scholar] [CrossRef]
- Kunatsa, T.; Myburgh, H.C.; De Freitas, A. Efficient Charging Prioritisation and Optimisation of Solar PV-Powered Portable Electronic Devices. Energies 2024, 17, 6039. [Google Scholar] [CrossRef]
- Nandini, K.K.; Jayalakshmi, N.S.; Jadoun, V.K. A combined approach to evaluate power quality and grid dependency by solar photovoltaic based electric vehicle charging station using hybrid optimization. J. Energy Storage 2024, 84, 110967. [Google Scholar]
- Ren, C.; Lin, J.; Guo, N. Performance and Optimization of Novel Solar-Assisted Heat Pump System with Hybrid Thermal Energy Storage. Energies 2024, 17, 5944. [Google Scholar] [CrossRef]
- Cao, Z.; Liu, Y.; Bai, Y.; Wang, Y.; Ye, S.; Cao, H. Study on the optimal layout of roof vents and rooftop photovoltaic of the industrial workshop. Build. Environ. 2024, 260, 111624. [Google Scholar] [CrossRef]
- Chen, T.; Zhang, N.; Ye, Z.; Jiang, K.; Lin, Z.; Zhang, H.; Xu, Y.; Liu, Q.; Huang, H. Carbon Reduction Benefits of Photovoltaic-Green Roofs and Their Climate Change Mitigation Potential: A Case Study of Xiamen City. Sustain. Cities Soc. 2024, 114, 105760. [Google Scholar] [CrossRef]
- Ito, R.; Lee, S. Performance enhancement of photovoltaic integrated shading devices with flexible solar panel using multi-objective optimization. Appl. Energy 2024, 373, 123866. [Google Scholar] [CrossRef]
- Zhao, R.; Zhang, W.; Huang, F.; Yao, L. Coupled optical-thermal-electrical modelling of translucent photovoltaic curtain wall considering indoor lighting. Sol. Energy 2024, 272, 112481. [Google Scholar] [CrossRef]
- Yao, L.; Zhang, W.; Huang, F.; Zhao, R.; Tang, K. Experimental and simulation study on the thermoelectric performance of semi-transparent crystalline silicon photovoltaic curtain walls. J. Build. Eng. 2024, 90, 109421. [Google Scholar] [CrossRef]
- Valencia-Caballero, D.; Assoa, Y.-B.; Cambarau, W.; Therme, D.; Sanz, A.; Burgun, F.; Flores-Abascal, I.; Román-Medina, E. Performance analysis of a novel building integrated low concentration photovoltaic skylight with seasonal solar control. J. Build. Eng. 2022, 54, 104687. [Google Scholar] [CrossRef]
- Tian, X.; Wang, J.; Ji, J. Performance prediction of a curved-type solar balcony combined with the flexible PV/T system during the non-heating season. Energy Convers. Manag. 2023, 292, 117402. [Google Scholar] [CrossRef]
- Arslan, M.; Çunkaş, M. An experimental study on determination of optimal tilt and orientation angles in photovoltaic systems. J. Eng. Res. 2024, in press. [Google Scholar] [CrossRef]
- Sonneveld, P.J.; Swinkels, G.L.A.M.; Campen, J.; Van Tuijl, B.A.J.; Janssen, H.J.J.; Bot, G.P.A. Performance results of a solar greenhouse combining electrical and thermal energy production. Biosyst. Eng. 2010, 106, 48–57. [Google Scholar] [CrossRef]
- Cossu, M.; Yano, A.; Li, Z.; Onoe, M.; Nakamura, H.; Matsumoto, T.; Nakata, J. Advances on the semi-transparent modules based on micro solar cells: First integration in a greenhouse system. Appl. Energy 2016, 162, 1042–1051. [Google Scholar] [CrossRef]
- Harmailil, I.O.; Sultan, S.M.; Tso, C.P.; Fudholi, A.; Mohammad, M.; Ibrahim, A. A review on recent photovoltaic module cooling techniques: Types and assessment methods. Results Eng. 2024, 22, 102225. [Google Scholar] [CrossRef]
- Coşgun, A.E.; Endiz, M.S.; Demir, H.; Özcan, M. Agrivoltaic systems for sustainable energy and agriculture integration in Turkey. Heliyon 2024, 10, e32300. [Google Scholar] [CrossRef]
- Coşgun, A.E. The potential of Agrivoltaic systems in TURKEY. Energy Rep. 2021, 7, 105–111. [Google Scholar] [CrossRef]
- Zhang, Z.; Zhang, F.; Zhang, W.; Li, M.; Liu, W.; Ali Abaker Omer, A.; Zheng, J.; Zhang, X.; Liu, W. Spectral-splitting concentrator agrivoltaics for higher hybrid solar energy conversion efficiency. Energy Convers. Manag. 2023, 276, 116567. [Google Scholar] [CrossRef]
- Campana, P.E.; Stridh, B.; Hörndahl, T.; Svensson, S.-E.; Zainali, S.; Lu, S.M.; Zidane, T.E.K.; De Luca, P.; Amaducci, S.; Colauzzi, M. Experimental results, integrated model validation, and economic aspects of agrivoltaic systems at northern latitudes. J. Clean. Prod. 2024, 437, 140235. [Google Scholar] [CrossRef]
- Pande, P.C.; Singh, A.K.; Ansari, S.; Vyas, S.K.; Dave, B.K. Design development and testing of a solar PV pump based drip system for orchards. Renew. Energy 2003, 28, 385–396. [Google Scholar] [CrossRef]
- Hsu, H.-W.; Yang, C.-C. Assessing land resource planning for agrivoltaics development: Examining synergies approaches between government and farmers. Energy 2024, 298, 131363. [Google Scholar] [CrossRef]
- La Notte, L.; Giordano, L.; Calabrò, E.; Bedini, R.; Colla, G.; Puglisi, G.; Reale, A. Hybrid and organic photovoltaics for greenhouse applications. Appl. Energy 2020, 278, 115582. [Google Scholar] [CrossRef]
- Wang, L.; Mao, Y.; Li, Z.; Yi, X.; Ma, Y.; Zhang, Y.; Li, M. Life cycle carbon emission intensity assessment for photovoltaic greenhouses: A case study of Beijing City, China. Renew. Energy 2024, 230, 120775. [Google Scholar] [CrossRef]
- Kumar, M.; Haillot, D.; Gibout, S. Survey and evaluation of solar technologies for agricultural greenhouse application. Sol. Energy 2022, 232, 18–34. [Google Scholar] [CrossRef]
- Jiang, W.; Jin, Y.; Liu, G.; Ju, Z.; Arıcı, M.; Li, D.; Guo, W. Net-zero energy optimization of solar greenhouses in severe cold climate using passive insulation and photovoltaic. J. Clean. Prod. 2023, 402, 136770. [Google Scholar] [CrossRef]
- Jin, Y.; Jiang, W.; Han, Y.; Nan, S.; Liu, G.; Guo, W.; Zhang, K.; Li, Q.; Li, D. Comprehensive optimization of shading and electrical performance of roof-mounted photovoltaic system of Venlo-type greenhouse in the severe cold region. Energy 2024, 296, 131125. [Google Scholar] [CrossRef]
- Yano, A.; Furue, A.; Kadowaki, M.; Tanaka, T.; Hiraki, E.; Miyamoto, M.; Ishizu, F.; Noda, S. Electrical energy generated by photovoltaic modules mounted inside the roof of a north–south oriented greenhouse. Biosyst. Eng. 2009, 103, 228–238. [Google Scholar] [CrossRef]
- Kadowaki, M.; Yano, A.; Ishizu, F.; Tanaka, T.; Noda, S. Effects of greenhouse photovoltaic array shading on Welsh onion growth. Biosyst. Eng. 2012, 111, 290–297. [Google Scholar] [CrossRef]
- Castellano, S. Photovoltaic greenhouses: Evaluation of shading effect and its influence on agricultural performances. J Agric. Eng. 2014, 45, 168. [Google Scholar] [CrossRef]
- Ezzaeri, K.; Fatnassi, H.; Wifaya, A.; Bazgaou, A.; Aharoune, A.; Poncet, C.; Bekkaoui, A.; Bouirden, L. Performance of photovoltaic canarian greenhouse: A comparison study between summer and winter seasons. Sol. Energy 2020, 198, 275–282. [Google Scholar] [CrossRef]
- Marucci, A.; Zambon, I.; Colantoni, A.; Monarca, D. A combination of agricultural and energy purposes: Evaluation of a prototype of photovoltaic greenhouse tunnel. Renew. Sustain. Energy Rev. 2018, 82, 1178–1186. [Google Scholar] [CrossRef]
- Peng, Y.; Ma, X.; Wang, Y.; Li, M.; Gao, F.; Zhou, K.; Aemixay, V. Energy performance assessment of photovoltaic greenhouses in summer based on coupled optical-electrical-thermal models and plant growth requirements. Energy Convers. Manag. 2023, 287, 117086. [Google Scholar] [CrossRef]
- Chen, J.; Xu, F.; Ding, B.; Wu, N.; Shen, Z.; Zhang, L. Performance analysis of radiation and electricity yield in a photovoltaic panel integrated greenhouse using the radiation and thermal models. Comput. Electron. Agric. 2019, 164, 104904. [Google Scholar] [CrossRef]
- Aruta, G.; Ascione, F.; Bianco, N.; Mauro, G.M. Sustainability and energy communities: Assessing the potential of building energy retrofit and renewables to lead the local energy transition. Energy 2023, 282, 128377. [Google Scholar] [CrossRef]
- Bazarbayev, R.B.; Yakubov, K.R.; Kurbanov, D.S.; Allaniyazov, A.I.; Balakumar, S.; Kamalov, A.B.; Janabergenova, G.; Wei, Q.; Qian, H.; Polvonnazirov, I.; et al. Performance of crystalline Si solar cells and module on temperature and illumination intensity. Mater. Today Proc. 2022, 64, 1661–1665. [Google Scholar] [CrossRef]
- Wang, X. LED ring array light source design and uniform illumination properties analysis. Optik 2017, 140, 273–281. [Google Scholar] [CrossRef]
- Čurpek, J.; Čekon, M. Building performance simulation of a photovoltaic façade enhanced with latent heat storage: Model validation and power generation prediction. J. Energy Storage 2022, 56, 106143. [Google Scholar] [CrossRef]
- Al-Absi, Z.A.; Mohd Isa, M.H.; Ismail, M. Phase Change Materials (PCMs) and Their Optimum Position in Building Walls. Sustainability 2020, 12, 1294. [Google Scholar] [CrossRef]
- Uddin, M.M.; Ji, J.; Wang, C.; Zhang, C. Building energy conservation potentials of semi-transparent CdTe integrated photovoltaic window systems in Bangladesh context. Renew. Energy 2023, 207, 512–530. [Google Scholar] [CrossRef]
- Crawley, D.B.; Lawrie, L.K.; Winkelmann, F.C.; Buhl, W.F.; Huang, Y.J.; Pedersen, C.O.; Strand, R.K.; Liesen, R.J.; Fisher, D.E.; Witte, M.J.; et al. EnergyPlus: Creating a new-generation building energy simulation program. Energy Build. 2001, 33, 319–331. [Google Scholar] [CrossRef]
- Xia, Y.; Xu, T.; Shi, C.; Tian, L.; Zhang, T.; Fukuda, H. Research on indoor thermal comfort of traditional dwellings in Northeast Sichuan based on the thermal comfort evaluation model and EnergyPlus. Energy Rep. 2024, 12, 5234–5248. [Google Scholar] [CrossRef]
- Anđelković, A.S.; Mujan, I.; Dakić, S. Experimental validation of a EnergyPlus model: Application of a multi-storey naturally ventilated double skin façade. Energy Build. 2016, 118, 27–36. [Google Scholar] [CrossRef]
- Cameron, C.P.; Boyson, W.E.; Riley, D.M. Comparison of PV system performance-model predictions with measured PV system performance. In Proceedings of the 2008 33rd IEEE Photovolatic Specialists Conference, San Diego, CA, USA, 11–16 May 2018; IEEE: Piscataway, NJ, USA, 2008; pp. 1–6. [Google Scholar]
- Saber, E.M.; Lee, S.E.; Manthapuri, S.; Yi, W.; Deb, C. PV (photovoltaics) performance evaluation and simulation-based energy yield prediction for tropical buildings. Energy 2014, 71, 588–595. [Google Scholar] [CrossRef]
- Wang, C.; Deng, S.; Niu, J.; Long, E. A numerical study on optimizing the designs of applying PCMs to a disaster-relief prefabricated temporary-house (PTH) to improve its summer daytime indoor thermal environment. Energy 2019, 181, 239–249. [Google Scholar] [CrossRef]
- Zhong, P.; Yang, S.; Qiao, R.; Wang, T. Effect of light intensity on main quality of strawberry. Southwest China J. Agric. Sci 2011, 24, 1219–1221. [Google Scholar]
- Yong, G.; Tianlai, L.; Guangxue, H.; Hui, X. Effect of environment factors on the net photosynthesis rate of tomato leaf blade. Yournal Shenyang Agric. Univ. 1998, 29, 127–131. [Google Scholar]

















| Name | Parameter |
|---|---|
| Dimensions (mm) | 1260 × 500 × 25 |
| Module number | CR 30 per row BR 15 per row |
| Module efficiency | 0.18 |
| Thermal absorptance (emissivity) | 0.9 |
| Material | Bitumen Felt |
| Solar absorptance | 0.87 |
| Visible absorptance | 0.87 |
| Inverter efficiency | 0.95 |
| Inverter rated maximum continuous output power (W) | 14,000 |
| Inverter nominal voltage (V) | 368 |
| Inverter night tare loss power (W) | 200 |
| Month | 0° | 15° | 30° | 45° | 60° | 75° | ||||||
|---|---|---|---|---|---|---|---|---|---|---|---|---|
| Jan | 6.64 | 7.07 | 8.97 | 9.56 | 10.80 | 11.33 | 11.98 | 11.76 | 12.45 | 12.52 | 12.16 | 11.97 |
| Feb | 7.93 | 8.40 | 9.72 | 10.20 | 11.01 | 11.30 | 11.68 | 11.54 | 11.69 | 11.46 | 11.04 | 10.55 |
| Mar | 12.17 | 13.38 | 13.90 | 15.23 | 14.87 | 16.06 | 15.01 | 16.13 | 14.31 | 14.84 | 12.83 | 12.89 |
| Apr | 14.98 | 16.27 | 16.04 | 17.16 | 16.24 | 16.95 | 15.58 | 16.68 | 14.11 | 13.82 | 11.91 | 11.09 |
| May | 16.80 | 18.98 | 17.11 | 19.20 | 16.55 | 18.26 | 15.17 | 17.72 | 13.06 | 13.51 | 10.38 | 10.14 |
| Jun | 17.37 | 18.84 | 17.30 | 18.64 | 16.45 | 17.47 | 14.84 | 16.84 | 12.58 | 12.68 | 9.85 | 9.48 |
| Jul | 16.82 | 18.87 | 16.93 | 18.76 | 16.22 | 17.65 | 14.74 | 17.04 | 12.58 | 12.78 | 9.92 | 9.52 |
| Aug | 14.95 | 16.77 | 15.65 | 17.35 | 15.53 | 16.82 | 14.62 | 16.45 | 12.97 | 13.14 | 10.71 | 10.20 |
| Sep | 12.18 | 13.52 | 13.66 | 14.91 | 14.39 | 15.31 | 14.31 | 15.26 | 13.43 | 13.41 | 11.80 | 11.19 |
| Oct | 10.21 | 11.12 | 12.23 | 13.17 | 13.59 | 14.31 | 14.18 | 14.51 | 13.96 | 13.97 | 12.95 | 12.59 |
| Nov | 7.13 | 7.51 | 9.46 | 10.03 | 11.25 | 11.77 | 12.38 | 12.22 | 12.76 | 12.88 | 12.38 | 12.21 |
| Dec | 6.13 | 6.31 | 8.57 | 8.84 | 10.53 | 10.72 | 11.87 | 11.23 | 12.49 | 12.21 | 12.34 | 11.83 |
| Name | Parameter |
|---|---|
| Simulation type | General |
| Detail template | Good |
| Working plane height (m) | 0.5 |
| Sky method | Standard sky |
| Sky model | CIE overcast day |
| Ambient bounces | 4 |
| Ambient accuracy | 0.22 |
| Ambient resolution | 512 |
| Ambient divisions | 1024 |
| City | Cherry Tomatoes in Summer | Cherry Tomatoes in Winter | Strawberries in Summer | Strawberries in Winter |
|---|---|---|---|---|
| Harbin | CR1-CR4, all BR | (CR1, BR1-BR2) | (CR1, BR1-BR2) | None |
| Shenyang | CR1-CR4, all BR | (CR1, BR1-BR4) | (CR1, BR1-BR4) | None |
| Nanjing | CR1-CR5, all BR | (CR1-CR3, BR1-BR8) | (CR1-CR3, BR1-BR8) | BR1 |
| Guangzhou | CR1-CR5, all BR | (CR1-CR3, all BR) | (CR1-CR4, all BR) | (CR1-CR2, BR1-BR3) |
| City | Scheme | Total Electricity Generation (kWh) | Unit of Area Power Generation (kWh/m2) | Illumination Uniformity | Average Daily Temperature (°C) | Average Daily Temperature Difference (°C) |
|---|---|---|---|---|---|---|
| Harbin | CR2 | 5634.79 | 149.07 | 0.871 | 13.83 | 19.11 |
| BR9 | 9798.95 | 115.21 | 0.871 | 13.8 | 17.78 | |
| Shenyang | CR2 | 4851.9 | 128.35 | 0.871 | 17.53 | 13.58 |
| BR9 | 8386.76 | 98.61 | 0.876 | 17.44 | 12.44 | |
| Nanjing | CR2 | 4231.16 | 111.94 | 0.86 | 20.5 | 5.5 |
| BR9 | 7573.29 | 89.04 | 0.857 | 20.7 | 4.95 | |
| Guangzhou | CR2 | 3574.9 | 94.57 | 0.875 | 26.65 | 9.15 |
| BR7 | 6597.88 | 84.27 | 0.853 | 26.6 | 8.22 |
| City | Scheme | Total Electricity Generation (kWh) | Unit of Area Power Generation (kWh/m2) | Illumination Uniformity | Average Daily Temperature (°C) | Average Daily Temperature Difference (°C) |
|---|---|---|---|---|---|---|
| Harbin | CR1 | 2834.56 | 149.97 | 0.929 | 14.44 | 20.91 |
| BR2 | 2817.4 | 149.07 | 0.903 | 14.38 | 20.79 | |
| Shenyang | CR1 | 2459.8 | 130.15 | 0.923 | 17.81 | 15.39 |
| BR4 | 4671.96 | 123.6 | 0.891 | 17.58 | 14.03 | |
| Nanjing | CR2 | 4231.1 | 111.94 | 0.86 | 20.5 | 5.5 |
| BR6 | 5798.7 | 102.27 | 0.871 | 20.62 | 5.22 | |
| Guangzhou | CR2 | 3574.9 | 94.57 | 0.875 | 26.65 | 9.15 |
| BR7 | 6597.88 | 84.27 | 0.853 | 26.6 | 8.22 |
| City | Scheme | Total Electricity Generation (kWh) | Unit of Area Power Generation (kWh/m2) | Illumination Uniformity | Average Daily Temperature (°C) | Average Daily Temperature Difference (°C) |
|---|---|---|---|---|---|---|
| Harbin | CR1 | 2271.07 | 120.16 | 0.89 | −6.19 | 5.43 |
| BR2 | 2256.38 | 119.38 | 0.86 | −6.22 | 5.43 | |
| Shenyang | CR1 | 1820.33 | 96.31 | 0.89 | 3.27 | 10.96 |
| BR2 | 1786.97 | 94.55 | 0.87 | 3.25 | 10.97 | |
| Nanjing | CR2 | 3340.4 | 88.37 | 0.86 | 9.05 | 11.56 |
| BR2 | 1670.2 | 88.37 | 0.9 | 9.22 | 12.57 | |
| Guangzhou | CR2 | 3231.68 | 85.49 | 0.863 | 17.22 | 17.66 |
| BR3 | 2407.19 | 84.9 | 0.894 | 17.66 | 18.62 |
| City | Scheme | Total Electricity Generation (kWh) | Unit of Area Power Generation (kWh/m2) | Illumination Uniformity | Average Daily Temperature (°C) | Average Daily Temperature Difference (°C) |
|---|---|---|---|---|---|---|
| Harbin | None | None | None | None | None | None |
| None | None | None | None | None | None | |
| Shenyang | None | None | None | None | None | None |
| None | None | None | None | None | None | |
| Nanjing | None | None | None | None | None | None |
| BR1 | 839.8 | 88.87 | 0.907 | 9.28 | 13.08 | |
| Guangzhou | CR2 | 3231.68 | 85.49 | 0.863 | 12.22 | 17.66 |
| BR3 | 2407.19 | 84.9 | 0.894 | 17.66 | 18.62 |
| City | Cherry Tomatoes in Summer | Cherry Tomatoes in Winter | Strawberries in Summer | Strawberries in Winter |
|---|---|---|---|---|
| Harbin | BR9 | CR1 | CR1 | None |
| Shenyang | BR9 | CR1 | BR4 | None |
| Nanjing | BR9 | CR2 | BR6 | BR1 |
| Guangzhou | BR7 | CR2 | BR7 | CR2 |
Disclaimer/Publisher’s Note: The statements, opinions and data contained in all publications are solely those of the individual author(s) and contributor(s) and not of MDPI and/or the editor(s). MDPI and/or the editor(s) disclaim responsibility for any injury to people or property resulting from any ideas, methods, instructions or products referred to in the content. |
© 2025 by the authors. Licensee MDPI, Basel, Switzerland. This article is an open access article distributed under the terms and conditions of the Creative Commons Attribution (CC BY) license (https://creativecommons.org/licenses/by/4.0/).
Share and Cite
Qin, Y.; Cheng, Q. Optimization Study of Photovoltaic Cell Arrangement Strategies in Greenhouses. Energies 2025, 18, 135. https://doi.org/10.3390/en18010135
Qin Y, Cheng Q. Optimization Study of Photovoltaic Cell Arrangement Strategies in Greenhouses. Energies. 2025; 18(1):135. https://doi.org/10.3390/en18010135
Chicago/Turabian StyleQin, Yuzhe, and Qing Cheng. 2025. "Optimization Study of Photovoltaic Cell Arrangement Strategies in Greenhouses" Energies 18, no. 1: 135. https://doi.org/10.3390/en18010135
APA StyleQin, Y., & Cheng, Q. (2025). Optimization Study of Photovoltaic Cell Arrangement Strategies in Greenhouses. Energies, 18(1), 135. https://doi.org/10.3390/en18010135
