Research on the Influence of the Mounting Configuration on the Elastic Characteristics and Energy Dissipation Capacity of Multi-Leaf Springs for Truck Vehicles
Abstract
1. Introduction
2. Tests of Freely Mounted Multi-Leaf Springs
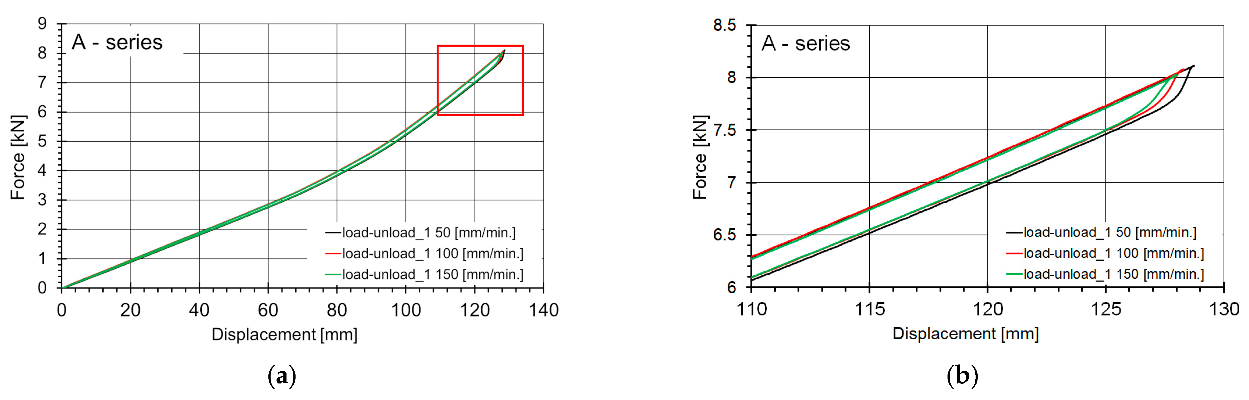
- 1A—speed equal to 10 mm/min;
- 2A—speed equal to 50 mm/min;
- 3A—speed equal to 100 mm/min;
- 4A—speed equal to 150 mm/min.
- Several percent share of dissipated energy in relation to the spring load energy,
- A slight percentage decrease in dissipated energy as the loading rate increases,
- Energy dissipation is increased with larger spring deflection arrows. For deflection of 60 mm, the value of dissipated energy can be neglected.
- No significant impact of the loading rate of 50–150 mm/min on the hysteresis loops.
- Further findings are as follows:
- Differences in the final loop courses and energy values between the archived and updated tests may result from the difference in the spring deflection, which in test A was about 2 mm smaller than in B.
- The shapes of the hysteresis loop in measurements A and B are very similar throughout the course.
- The repeatability of results recorded for the same object in identical laboratory conditions of site tests was confirmed.
3. Tests of a Multi-Leaf Spring Mounted with a Hanger
3.1. Test Setup for Quasi-Static Testing of the Spring with a Hanger
3.2. Laboratory Research Methodology
3.3. The Influence of Mounting a Multi-Leaf Double-Leaf Spring on Elastic Characteristics
4. Energy Dissipation Tests for Cyclic Loading of a Double-Leaf Spring with Hanger
4.1. Methodology for Determining Energy Dissipation Based on Experimental Data
4.2. The Influence of Mounting on Energy Dissipation in the Process of Loading and Unloading a Multi-Leaf Spring
- Due to the very small influence of the loading/unloading speed demonstrated in the free mounting of the spring, tests of the spring with a hanger for all variants were performed at the same speed of 100 mm/min.
- As a result of bench tests, the basic elastic characteristics of the bilinear spring in terms of quasi-static excitations were identified for two basic methods of spring cooperation in dependent suspension: a free spring and a spring with a hanger; the data necessary to support design work were determined, and a universal laboratory station was constructed.
- In the test variant of the spring mounted with a hanger, in the KW/P_I configuration, the lowest value of load energy LOBC was determined at the level of 381.32 J (the average value of two samples is 385.67 J).
- The maximum load energy of 472.05 J (average of 468.33 J from two tests) was observed for the KZ/P_I configuration (the spring mounted with the hanger with the longest length Hmax in the variant of setting the initial deflection of the hanger with an angle −ϕ) (Figure 16 and Table 4). The average load energy value of 468.33 J measured during tests of the spring mounted with a hanger in the KZ/P_I configuration is slightly higher (the relative difference is less than 5%) than the average load energy Lobc = 449.5 J determined during testing of the freely supported spring (Diagram ‘KLAS’ in Figure 16).
- The average value of the dissipated energy determined in the KZ/P_I variant, corresponding to the maximum load energy of the spring with a hanger, is 60.84 J and is significantly higher than the average dissipated energy of the freely supported spring, equal to 17.93 J (Table 2), determined on the basis of the results of two tests with identical loading/unloading speed 100 mm/min (Diagram ‘KLAS’ in Figure 16). The average dissipated energies (ΔL) in all variants of the spring mounted with a hanger are larger than those determined for the free spring (ΔL = 17.93 J). Their average values change in the range of 49.50 J to 60.84 J (Table 4). The average energy dissipated in the KZ/P_I variant is higher than the average dissipated energy of the freely supported spring by almost 340%.
5. Summary of Research and Comparative Analysis
- The share of dissipated energy (ΔL) in relation to the spring load energy (LOBC) is several percent (<5%).
- A slight decrease in dissipated energy was observed as the loading rate increased.
- No signs of degradation of the spring’s elastic properties were observed over time, as evidenced by similar hysteresis loop courses in both old and new measurements.
- 4.
- The greatest influence on changes in elastic characteristics with a constant hanger length (Hmax) is attributed to adjustments in the initial deflection angle of the hanger within the range of deflection angles from −ϕ to +ϕ.
- 5.
- Altering the length of the hanger from Hmin to Hmax, while keeping the initial deflection angle (ϕ) constant, also affects the elastic characteristics. Changes in hanger length in a perpendicular position have little effect on the hysteresis loop cycle. It was found that level III (the shortest hanger) achieved the highest force value for maximum displacement (Table 4)
- 6.
- 7.
- The values of the maximum forces obtained at the maximum spring deflection for the KZ configuration and the freely supported spring are at a similar level (Figure 15), while the average value of the dissipated energy corresponding to this configuration is significantly higher than the average dissipated energy of the freely supported spring, more than three times.
- 8.
- The average dissipated energies (ΔL) in all variants of mounting the spring with a hanger are higher than those determined for the free spring.
- 9.
- The share of dissipated energy in relation to the load energy for free support of the double-leaf spring does not exceed 5% (Table 2).
6. Conclusions
- In conclusion, this research highlights the significant impact of hanger configurations on the elastic characteristics and energy dissipation of multi-leaf springs, demonstrating the importance of design considerations in suspension systems.
- The proposed research stand and the developed methodology for experimental testing of multi-leaf springs can be successfully used to assess dissipation energy in testing the elastic components of trucks of various categories (N1, N2, N3) and special railway bogies intended for intermodal transport.
- The presented results concern the operating conditions of suspensions of various vehicles, where multi-leaf springs are only used, without additional components, e.g., shock absorbers and friction dampers, which have a significant impact on the damping properties of the suspension, mainly of trucks, work machines, railway rolling stock equipment and other devices that carry extremely heavy loads.
- The presented test results identify the level of inelastic resistance in the dependent suspensions of various vehicles caused by the deflection of the multi-leaf spring with fastening elements (hanger, joints, etc.) without additional damping components. Knowledge of the level of inelastic resistance at the suspension design stage is necessary because it is a reference level for introducing additional damping in the vehicle suspension by using a listed damper, e.g., a hydraulic shock absorber. Such damping components (e.g., hydraulic shock absorbers or friction dampers) have a decisive impact on the damping properties of the suspension of trucks, work machines, railway equipment and other devices that carry extremely heavy loads.
- The novelty in the presented work is the original design, construction of the stand and methodology of experimental tests of the multi-leaf springs together with a comparative analysis of the test results and an answer to the question of the influence of the spring mounting conditions on the mechanical characteristics of the multi-leaf spring and the ability to dissipate energy under quasi-static load conditions.
- The use of hangers for mounting multi-leaf springs in the suspension of medium-duty vehicles significantly increases the ability to dissipate the energy of external loads.
- The presented results and conclusions are original and practical data regarding the operation of multi-leaf springs because the bench tests reproduced the design conditions of their mounting in the suspensions of various vehicles and the operation of the springs.
- The authors anticipate using the presented research results in work on a universal laboratory stand for testing various types of multi-leaf springs used in suspensions of road, rail and other means of transport, paying attention to those means of transport used to transport heavy loads.
Author Contributions
Funding
Data Availability Statement
Conflicts of Interest
References
- Yu, B.; Wang, Z.; Wang, G.; Zhao, J.; Zhou, L.; Zhao, J. Investigation of the suspension design and ride comfort of an electric mini off-road vehicle. Adv. Mech. Eng. 2019, 11, 1687814018823351. [Google Scholar] [CrossRef]
- Patil, S.; More, I. On-Road Ride Comfort Test and Simulation Analysis of Passenger Cars with Emphasis on Indian Suburban and Rural Road Conditions; SAE Technical Paper 2016-01-1680; SAE International: Warrendale, PA, USA, 2016. [Google Scholar] [CrossRef]
- Mantilla, D.; Arzola, N.; Araque, O. Optimal design of leaf springs for vehicle suspensions under cyclic conditions. Ingeniare Rev. Chil. Ing. 2022, 30, 23–36. [Google Scholar] [CrossRef]
- Stanowisko do Badania Charakterystyk Sprężyn i Resorów. Available online: https://www.ascorail.pl/stanowisko-do-badania-charakterystyk-sprezyn-i-resorow.html (accessed on 19 February 2023). (In Polish).
- Zhao, L.; Zhang, Y.; Yu, Y.; Zhou, C.; Li, X.; Li, H. Truck Handling Stability Simulation and Comparison of Taper-Leaf and Multi-Leaf Spring Suspensions with the Same Vertical Stiffness. Appl. Sci. 2020, 10, 1293. [Google Scholar] [CrossRef]
- Malikoutsakis, M.; Savaidis, G.; Savaidis, A.; Ertelt, C.; Schwaiger, F. Design, analysis and multi-disciplinary optimization of high-performance front leaf springs. Theor. Appl. Fract. Mech. 2016, 83, 42–50. [Google Scholar] [CrossRef]
- Dobaj, K. Influence of car wheel suspension parameters on improvement of active safety and ride comfort. Tech. Trans. Mech. 2015, 2015, 13–22. [Google Scholar] [CrossRef]
- Rizki, R.; Nurdin, A.; Putra, T.E. Failure analysis of the leaf spring of truck colt diesel using Finite Element Method. IOP Conf. Ser. Mater. Sci. Eng. 2019, 547, 012017. [Google Scholar] [CrossRef]
- Magnum Technology. Available online: https://magnum-technology.com/pl/market/ciezarowe/#top (accessed on 19 February 2023). (In Polish).
- Stańco, M.; Iluk, A. Numeryczno-Doświadczalna Analiza Wytężenia Resoru Pojazdu Ciężarowego Parabolicznego. XIV Konferencja Naukowo-Techniczna Techniki Komputerowe w Inżynierii, Poland. 2016. Available online: https://tki.wat.edu.pl/2016/streszczenia_TKI_pdf/051_Stanco.pdf (accessed on 19 February 2023). (In Polish).
- Kim, S.; Moon, W.; Yoo, Y. An efficient method for calculating the nonlinear stiffness of progressive multi-leaf springs. Int. J. Veh. Des. 2004, 29, 403–422. [Google Scholar] [CrossRef]
- Agrawal, H. Manufacturing & Testing of Composite Hybrid Leaf Spring for Automotive Applications. Master’s Thesis, Faculty of Purdue University, West Lafayette, IN, USA, 2019. Available online: https://hammer.purdue.edu/articles/thesis/Manufacturing_and_Testing_of_Composite_Hybrid_Leaf_Spring_for_Automotive_Applications/9108641 (accessed on 19 February 2023).
- TVZ ASSALI. Mechanical Suspensions. Available online: https://www.tvzassali.it/en/suspensions/mechanical-suspensions (accessed on 19 February 2023).
- Ślaski, G. Symulacyjne i eksperymentalne badania adaptacyjnego sterowania tłumieniem zawieszenia w zależności od częstotliwości sinusoidalnego wymuszenia kinematycznego. Arch. Motoryz. 2014, 64, 65–78. (In Polish) [Google Scholar]
- Kosobudzki, M.; Stańco, M. The experimental identification of torsional angle on a load-carrying truck frame during static and dynamic tests. Maint. Reliab. 2016, 18, 285–290. [Google Scholar] [CrossRef]
- Stańco, M.; Iluk, A.; Działak, P. Numerical and experimental analysis of stress of a semi-elliptical spring. Mater. Today Proc. 2018, 5, 26760–26765. [Google Scholar] [CrossRef]
- Maloch, M.; Cornak, S. Multileaf Spring Model and Its Behaviour in a Tandem Bogie Layout. In Proceedings of the 4th International Conference on Civil, Structural and Transportation Engineering (ICCSTE’19), Ottawa, ON, Canada, 11–12 June 2019. Paper No. ICCSTE 191; pp. ICCSTE 191-1–ICCSTE 191-9. [Google Scholar] [CrossRef]
- Krason, W.; Wysocki, J.; Hryciow, Z. Dynamics stand tests and numerical research of multi-leaf springs regarding clearances and friction. Adv. Mech. Eng. 2019, 11, 1687814019853353. [Google Scholar] [CrossRef]
- Dukalski, P.; Będkowski, B.; Parczewski, K.; Wnęk, H.; Urbaś, A.; Augustynek, K. Dynamics of the vehicle rear suspension system with electric motors in wheels. Maint. Reliab. 2019, 21, 125–136. [Google Scholar] [CrossRef]
- Hryciow, Z.; Krason, W.; Wysocki, J. Evaluation of the influence of friction in a multi-leaf spring on the working conditions of a truck driver. Maint. Reliab. 2021, 23, 422–429. [Google Scholar] [CrossRef]
- Ryan, D.M.; Lokeh, A.; Hirschman, D.; Spector, J.; Parker, R.; Johnson, P.W. The effect of road type on neonate whole body vibration exposures during ambulance transport. In Proceedings of the 7th American Conference on Human Vibration, Seattle, WA, USA, 13–15 June 2018; pp. 76–77. [Google Scholar]
- Ryou, H.; Johnson, P.W. Whole-body vibration exposures among solid waste collecting truck operators. Proc. Hum. Factors Ergon. Soc. Annu. Meet. 2018, 62, 860–864. [Google Scholar] [CrossRef]
- ISO 2631-1; Mechanical Vibration and Shock. Evaluation of Human Exposure to Whole-Body Vibration—Part 1: General Requirements. International Organization for Standarization: Geneva, Switzerland, 2018.
- ISO 8608; Mechanical Vibration. Road Surface Profiles. Reporting of Measured Data. ISO: Geneva, Switzerland, 2016. Available online: https://www.iso.org/standard/71202.html (accessed on 19 February 2023).
- Krason, W.; Wysocki, J. Investigation of friction in dual leaf spring. J. Frict. Wear 2017, 38, 214–220. [Google Scholar] [CrossRef]
- Stańco, M.; Kowalczyk, M. Analysis of experimental results regarding the selection of spring elements in the front suspension of a four-axle truck. Materials 2022, 15, 1539. [Google Scholar] [CrossRef] [PubMed]
- Bocian, M.; Jamroziak, K.; Kulisiewicz, M. The identification of nonlinear damping of the selected components of MDOF complex vibratory systems. In Proceedings of the 9th International Conference on Structural Dynamics, EURODYN 2014, Porto, Portugal, 30 June–2 July 2014; Cunha, A., Caetano, E., Ribeiro, P., Müller, G., Eds.; Book Series: EURODYN-International Conference on Structural Dynamics. 2014; pp. 3365–3372, ISBN 978-972-752-165-4. [Google Scholar]
- Dębski, H.; Koszałka, G.; Ferdynus, M. Application of FEM in the analysis of the structure of a trailer supporting frame with variable operation parameters. Maint. Reliab. 2012, 14, 107–114. [Google Scholar]
- Melnik, R.; Koziak, S.; Dižo, J.; Kuźmierowski, T.; Piotrowska, E. Feasibility study of a rail vehicle damper fault detection by artificial neural networks. Maint. Reliab. 2023, 25, 5. [Google Scholar] [CrossRef]
- Kulkarni, A.; Ranjha, S.A.; Kapoor, A. A quarter-car suspension model for dynamic evaluations of an in-wheel electric vehicle. Proc. Inst. Mech. Eng. Part D J. Automob. Eng. 2018, 232, 1139–1148. [Google Scholar] [CrossRef]
- Instron. Dynacell-Bringing a Dynamic Dimension to Force Measurement. Available online: https://instron-romania.com/wp-content/uploads/2017/07/Dynacell-Fatigue-Rated-Load-Cells.pdf (accessed on 19 February 2023).
- Szmelter, J. Metody Komputerowe w Mechanice; Państwowe Wydawnictwo Naukowe: Warszawa, Poland, 1980; pp. 136–147. ISBN 83-01-00686-2. (In Polish) [Google Scholar]

















| Test No. | Load Parameters | Sampling Frequency [Hz] | ||
|---|---|---|---|---|
| Loading Rate [mm/min] | Maximum Deflection [mm] | Peak Force [kN] | ||
| 1 | 50 | 128.0 | 8.04 | 10 |
| 2 | 100 | 128.0 | 8.05 | 10 |
| 3 | 150 | 128.0 | 8.03 | 10 |
| Item | Description | Cross-Beam Piston Speed | Max. Force | Max. Displacement | Spring Load Energy | Energy Dissipated When the Spring Is Unloaded | Share of Dissipated Energy in Relation to the Load Energy |
|---|---|---|---|---|---|---|---|
| [mm/min.] | [kN] | [mm] | [J] | [J] | [%] | ||
| 1A | Pressing | 10 | 8.38 | 131.2 | 462.4 | - | - |
| 2A | Single load–unload cycle | 50 | 8.11 | 128.7 | 439.8 | 17.20 | 3.9 |
| 2B | 50 | 8.30 | 130.1 | 453.5 | 20.43 | 4.5 | |
| 2B | 50 | 8.28 | 130.0 | 451.7 | 21.11 | 4.7 | |
| 3A | 100 | 8.08 | 128.3 | 434.8 | 14.40 | 3.3 | |
| 3B | 100 | 8.26 | 129.9 | 449.2 | 17.84 | 4.0 | |
| 3B | 100 | 8.27 | 129.8 | 449.8 | 18.07 | 4.0 | |
| 4A | 150 | 8.03 | 128.0 | 431.6 | 12.00 | 2.8 | |
| 4B | 150 | 8.27 | 130.6 | 451.7 | 15.42 | 3.4 | |
| 4B | 150 | 8.30 | 130.6 | 453.2 | 14.59 | 3.2 |
| Configuration Designation | Parameter | Value [mm] |
|---|---|---|
| I | Hmax = H + 2Δz | 150 |
| II | HII = H + Δz | 130 |
| III | Hmin = H | 110 |
| KW | X = L − Δx (angle ϕ) | 1200 |
| KN | X = L (angle ϕ = 0) | 1220 |
| KZ | X = L + Δx (angle −ϕ) | 1240 |
| Test | Mounting Variant | Max. Displacement [mm] | Force for Maximum Displacement [kN] | Loading Energy Lobc [J] | Dissipated Energy ΔL [J] | · 100 [%] |
|---|---|---|---|---|---|---|
| 1 | KN/P_I | 130.23 | 7.70 | 433.84 | 55.97 | 12.90 |
| 2 | KN/P_I | 129.87 | 7.78 | 443.10 | 61.37 | 13.85 |
| Mean value | 7.74 | 438.47 | 58.67 | 13.38 | ||
| 1 | KN/P_II | 130.40 | 7.84 | 442.02 | 54.64 | 12.36 |
| 2 | KN/P_I | 130.23 | 7.93 | 448.57 | 55.23 | 12.31 |
| Mean value | 7.89 | 445.30 | 54.93 | 12.34 | ||
| 1 | KN/P_III | 130.20 | 7.96 | 445.65 | 50.59 | 11.35 |
| 2 | KN/P_I | 130.22 | 8.04 | 454.27 | 54.42 | 11.98 |
| Mean value | 8.00 | 449.96 | 52.50 | 11.67 | ||
| 1 | KW/P_III | 130.14 | 7.61 | 422.79 | 51.96 | 12.29 |
| 2 | KW/P_I | 130.04 | 7.69 | 429.46 | 52.14 | 12.14 |
| 3 | KW/P_I | 130.20 | 7.63 | 426.21 | 53.54 | 12.56 |
| Mean value | 7.64 | 426.15 | 52.55 | 12.33 | ||
| 1 | KW/P_II | 130.22 | 7.37 | 404.23 | 47.98 | 11.87 |
| 2 | KW/P_II | 130.16 | 7.44 | 410.94 | 51.03 | 12.42 |
| Mean value | 7.41 | 407.59 | 49.50 | 12.14 | ||
| 1 | KW/P_I | 130.18 | 6.89 | 381.32 | 54.67 | 14.34 |
| 2 | KW/P_II | 130.42 | 6.98 | 390.03 | 58.35 | 14.96 |
| Mean value | 6.93 | 385.67 | 56.51 | 14.65 | ||
| 1 | KZ/P_I | 129.77 | 8.17 | 464.62 | 59.85 | 12.88 |
| 2 | KZ/P_I | 130.13 | 8.25 | 472.05 | 61.84 | 13.10 |
| Mean value | 8.21 | 468.33 | 60.84 | 12.99 | ||
| 1 | KZ/P_II | 130.05 | 8.20 | 463.92 | 54.96 | 11.85 |
| 2 | KZ/P_II | 129.96 | 8.26 | 469.20 | 57.02 | 12.15 |
| Mean value | 8.23 | 466.56 | 55.99 | 12.00 | ||
| 1 | KZ/P_III | 130.33 | 8.22 | 464.34 | 53.88 | 11.60 |
| 2 | KZ/P_III | 130.19 | 8.25 | 465.53 | 51.86 | 11.14 |
| Mean value | 8.24 | 464.93 | 52.87 | 11.37 |
Disclaimer/Publisher’s Note: The statements, opinions and data contained in all publications are solely those of the individual author(s) and contributor(s) and not of MDPI and/or the editor(s). MDPI and/or the editor(s) disclaim responsibility for any injury to people or property resulting from any ideas, methods, instructions or products referred to in the content. |
© 2024 by the authors. Licensee MDPI, Basel, Switzerland. This article is an open access article distributed under the terms and conditions of the Creative Commons Attribution (CC BY) license (https://creativecommons.org/licenses/by/4.0/).
Share and Cite
Krason, W.; Bogusz, P.; Wysocki, J. Research on the Influence of the Mounting Configuration on the Elastic Characteristics and Energy Dissipation Capacity of Multi-Leaf Springs for Truck Vehicles. Energies 2024, 17, 5688. https://doi.org/10.3390/en17225688
Krason W, Bogusz P, Wysocki J. Research on the Influence of the Mounting Configuration on the Elastic Characteristics and Energy Dissipation Capacity of Multi-Leaf Springs for Truck Vehicles. Energies. 2024; 17(22):5688. https://doi.org/10.3390/en17225688
Chicago/Turabian StyleKrason, Wieslaw, Pawel Bogusz, and Jozef Wysocki. 2024. "Research on the Influence of the Mounting Configuration on the Elastic Characteristics and Energy Dissipation Capacity of Multi-Leaf Springs for Truck Vehicles" Energies 17, no. 22: 5688. https://doi.org/10.3390/en17225688
APA StyleKrason, W., Bogusz, P., & Wysocki, J. (2024). Research on the Influence of the Mounting Configuration on the Elastic Characteristics and Energy Dissipation Capacity of Multi-Leaf Springs for Truck Vehicles. Energies, 17(22), 5688. https://doi.org/10.3390/en17225688

