Influence Mechanism of Cathode Curvature Radius on Corona Discharge at Microscale
Abstract
1. Introduction
2. Simulation Model
2.1. Model Description
2.2. Model Verification
3. Calculation Results and Analysis
3.1. Influence of Curvature Radius on Discharge Current
3.2. Influence of Curvature Radius on Discharge Process
3.2.1. Electric Field
3.2.2. Ionization Reaction Rate
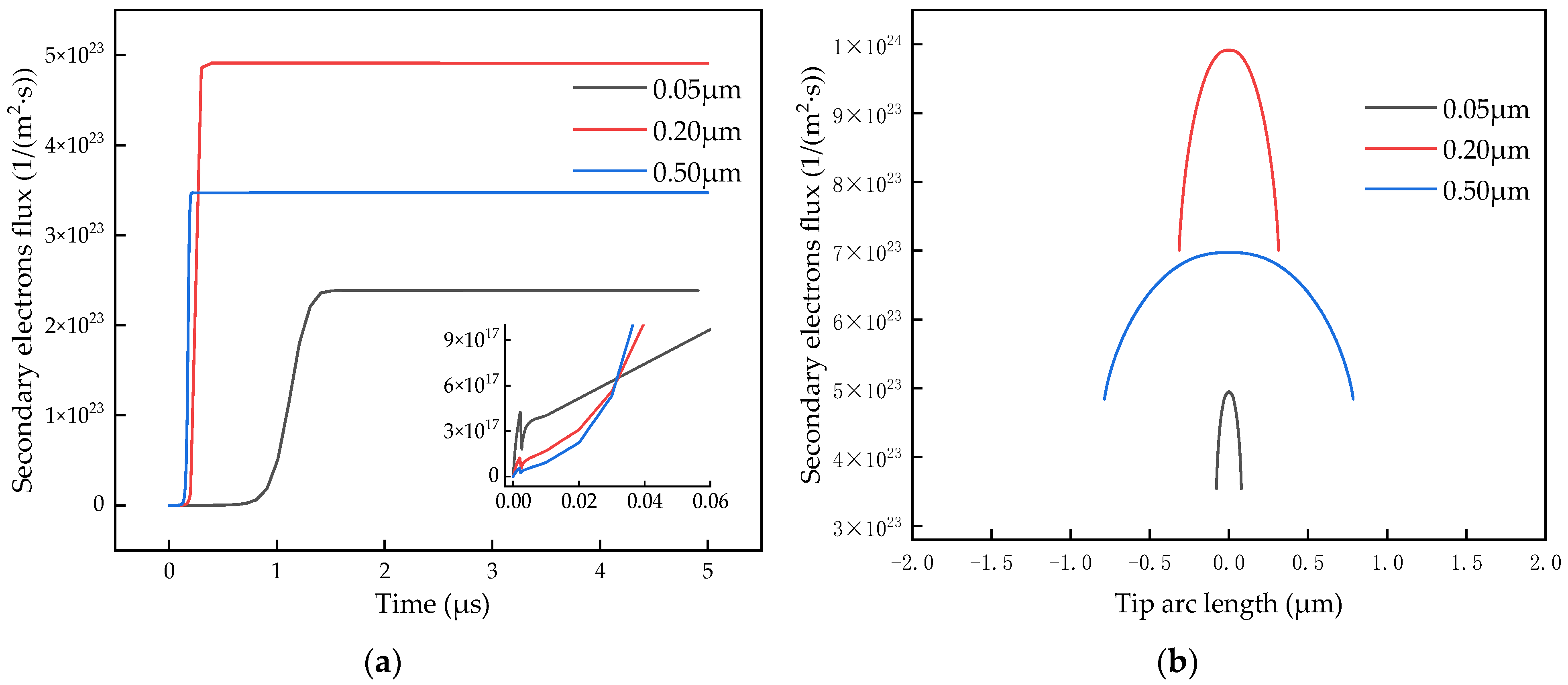
3.2.3. Charged Particle Characteristics
3.3. Analysis and Discussion
4. Conclusions
- (1)
- The electric field at the tip of the nanowires is not the only factor determining the discharge current. The curvature radius affects not only the electric field but also the emission area. The polar gap impacts not only the spatial electric field but also the growth of collision ionization. The discharge current is a result of the time-coupled effects of the electric fields, collisions, and emissions.
- (2)
- The increase in curvature radius will reduce the electric field near the tip of the nanowires and reduce the pre-discharge ionization intensity. Simultaneously, it will increase the ionization area and the secondary emission area, leading to an increase in the number of the secondary emission electrons, promoting space ionization during the development of discharge. The positive ions generated by ionization further promote the secondary emission, subsequently reciprocating, resulting in an overall increase in positive ions within the space.
- (3)
- The discharge intensity is not strictly proportional to the curvature radius or the static electric field intensity under conditions of a small gap and a low voltage. While reducing the curvature radius of the nanowires can increase the electric field of the tip, appropriately increasing it can enhance the coupling of the collision ionization and the secondary emission process, leading to an increase in the discharge current. However, there is a competitive interval for the discharge parameters under weak discharge conditions, indicating that the curvature radius cannot be increased indefinitely.
Author Contributions
Funding
Data Availability Statement
Conflicts of Interest
References
- Kim, J.Y.; Kaganovich, I.; Lee, H.-C. Review of the Gas Breakdown Physics and Nanomaterial-Based Ionization Gas Sensors and Their Applications. Plasma Sources Sci. Technol. 2022, 31, 033001. [Google Scholar] [CrossRef]
- Fu, Y.; Zhang, P.; Verboncoeur, J.P.; Wang, X. Electrical Breakdown from Macro to Micro/Nano Scales: A Tutorial and a Review of the State of the Art. Plasma Res. Express 2020, 2, 013001. [Google Scholar] [CrossRef]
- Nazemi, H.; Joseph, A.; Park, J.; Emadi, A. Advanced Micro- and Nano-Gas Sensor Technology: A Review. Sensors 2019, 19, 1285. [Google Scholar] [CrossRef]
- Macheret, S.O.; Tholeti, S.S.; Alexeenko, A.A. Low Pressure Microplasmas Enabled by Field Ionization: Kinetic Modeling. Appl. Phys. Lett. 2016, 108, 194102. [Google Scholar] [CrossRef]
- Abedini Sohi, P.; Kahrizi, M. Low-Voltage Gas Field Ionization Tunneling Sensor Using Silicon Nanostructures. IEEE Sens. J. 2018, 18, 6092–6096. [Google Scholar] [CrossRef]
- Venkattraman, A. Theory and Analysis of Operating Modes in Microplasmas Assisted by Field Emitting Cathodes. Phys. Plasmas 2015, 22, 057102. [Google Scholar] [CrossRef]
- Lee, W.C.; Fang, Y.; Turner, J.F.C.; Bedi, J.S.; Perry, C.C.; He, H.; Qian, R.; Chen, Q. An Enhanced Gas Ionization Sensor from Y-Doped Vertically Aligned Conductive ZnO Nanorods. Sens. Actuators B Chem. 2016, 237, 724–732. [Google Scholar] [CrossRef]
- Sun, Z.; Shao, Z.K.; Sun, X.; Sun, W.F. Trichel Pulse Characteristics and Mechanism of Negative Corona Discharge in Sub-Millimeter Gaps. Phys. Plasmas 2023, 30, 063901. [Google Scholar] [CrossRef]
- Wang, D.; Du, L.; Yao, C. Statistical Study on Space Charge Effects and Stage Characteristics of Needle-Plate Corona Discharge under DC Voltage. Energies 2019, 12, 2732. [Google Scholar] [CrossRef]
- Ren, X.; Jiang, X.; Yang, G.; Huang, Y.; Wu, J.; Yang, Z. Effect of Environmental Parameters on Streamer Discharge in Short Air Gap between Rod and Plate. Energies 2022, 15, 817. [Google Scholar] [CrossRef]
- Li, S.; Wang, F.; Wang, Q.; Ouyang, L.; Chen, X.; Li, J. Numerical Modeling of Branching-Streamer Propagation in Ester-Based Insulating Oil Under Positive Lightning Impulse Voltage: Effects From Needle Curvature Radius. IEEE Trans. Dielect. Electr. Insul. 2023, 30, 139–147. [Google Scholar] [CrossRef]
- Chai, Y.; Zhang, N.; Liu, J.; Yin, N.; Liu, S.-L.; Zhang, J.-Y. Two-dimensional simulation of dynamic characteristics of N2–O2 corona discharge at micro scale. Acta Phys. Sin. 2020, 69, 165202. [Google Scholar] [CrossRef]
- Garner, A.L.; Loveless, A.M.; Dahal, J.N.; Venkattraman, A. A Tutorial on Theoretical and Computational Techniques for Gas Breakdown in Microscale Gaps. IEEE Trans. Plasma Sci. 2020, 48, 808–824. [Google Scholar] [CrossRef]
- Sun, Y.; Wang, L.; Dong, K.; Liu, X. Research on Ion Enhancement Effect in Micro-Gap Gas Discharge. J. Phys. Soc. Jpn. 2020, 89, 094501. [Google Scholar] [CrossRef]
- Go, D.B.; Venkattraman, A. Microscale Gas Breakdown: Ion-Enhanced Field Emission and the Modified Paschen’s Curve. J. Phys. D Appl. Phys. 2014, 47, 503001. [Google Scholar] [CrossRef]
- Meng, G.; Ying, Q.; Wang, K.; Gao, X.; Cheng, Y. The Influence of the Cathode Radius on the Microgap Breakdown in Air Based on PIC/MCC Simulation. In Proceedings of the 2019 IEEE Conference on Electrical Insulation and Dielectric Phenomena (CEIDP), Washington, DC, USA, 20–23 October 2019; IEEE: Richland, WA, USA, 2019; pp. 769–772. [Google Scholar] [CrossRef]
- Ma, Z.; Zhou, Y.; Xia, J.; He, X.; Zhao, L.; Shen, B.; Bian, X. Experimental Study on Corona Onset Characteristics of Small Curvature Electrode Under Combined AC–DC Voltages. IEEE Trans. Dielect. Electr. Insul. 2022, 29, 1785–1794. [Google Scholar] [CrossRef]
- Chang, Z.; Meng, G.; Ying, Q.; Cheng, Y. Study on the influence of cathode radius on the breakdown characteristics across microgaps in air. Trans. China Electrotech. Soc. 2023, 38, 1032–1041. [Google Scholar] [CrossRef]
- Zhang, L.; Sheng, G.; Hou, H.; Song, H.; Jiang, X. Influence of Protrusion Tip Size on Current Pulse Characteristics of Negative Corona Discharge Based on Numerical Simulation. IEEE Trans. Power Deliv. 2022, 37, 3792–3802. [Google Scholar] [CrossRef]
- Ma, X.; Chen, L.; Wang, Y.; Wang, W.; Zhang, X. Microplasma Emission Performances Dependent on Silicon Nanowires Morphologies. J. Phys. D Appl. Phys. 2022, 55, 395201. [Google Scholar] [CrossRef]
- Kossyi, I.A.; Kostinsky, A.Y.; Matveyev, A.A.; Silakov, V.P. Kinetic Scheme of the Non-Equilibrium Discharge in Nitrogen-Oxygen Mixtures. Plasma Sources Sci. Technol. 1992, 1, 207–220. [Google Scholar] [CrossRef]
- Feng, N.; Ma, T.; Chen, C.; Yao, B.; Gao, W. Simulation and Study of DC Corona Discharge Characteristics of Bar-Plate Gap. Energies 2022, 15, 6431. [Google Scholar] [CrossRef]
- Pan, Z.; Zhang, Y. Gas Discharge Mechanism of Weakly Ionized Gas Sensor Using Nanomaterials. Ionics 2021, 27, 389–395. [Google Scholar] [CrossRef]
- Snoeckx, R.; Setareh, M.; Aerts, R.; Simon, P.; Maghari, A.; Bogaerts, A. Influence of N2 Concentration in a CH4/N2 Dielectric Barrier Discharge Used for CH4 Conversion into H2. Int. J. Hydrog. Energy 2013, 38, 16098–16120. [Google Scholar] [CrossRef]
- Xu, X.; Chu, D. Gas Discharge Physics, 1st ed.; Fudan University Press: Shanghai, China, 1996; pp. 87–95. [Google Scholar]










| Reaction Types | Plasma Reactions | Rate Constant * | Reference |
|---|---|---|---|
| elastic collisions | e + N2 => e + N2 | f(Te) | [23] |
| e + O2 => e + O2 | f(Te) | [21] | |
| collision ionization | e + N2 => 2e + N2+ | f(Te) | [22] |
| e + O2 => 2e + O2+ | f(Te) | [22] | |
| attachment reaction | e + N2 + N2+ => 2N2 | 3.12 × 10−35/Te1.5 | [22] |
| e + 2O2 => O2 + O2− | 6.0 × 10−39/Te | [22] | |
| e + O4+ => 2O2 | 2.42 × 10−11/Te0.5 | [22] | |
| e + O2+ => 2O | 6.0 × 10−11/Te | [22] | |
| heavy particle reaction | N2O2+ + N2 => O2+ + 2N2 | 4.3 × 10−10 | [12] |
| N2O2+ + O2 => O4+ + N2 | 1.0 × 10−15 | [12] | |
| O2+ + 2N2 => N2O2+ + N2 | 9.0 × 10−43 | [12] | |
| O2 + N2+ => N2 + O2+ | 6.0 × 10−17 | [12] | |
| N2+ + N2 + O2 => O2 + N4+ | 5.0 × 10−41 | [22] | |
| N2+ + N2 + N2 => N2 + N4+ | 5.0 × 10−41 | [22] | |
| O2 + N4+ => N2 + N2 + O2+ | 2.5 × 10−16 | [22] | |
| O2 + O2− + N2 => 2O2 + N2 | 2.0 × 10−37 | [22] | |
| O2+ + O2− + O2 => 2O2 + O2 | 2.0 × 10−37 | [22] | |
| O4+ + O2− => 3O2 | 1.0 × 10−13 | [22] | |
| O4+ + O2− + N2 => 3O2 + N2 | 2.0 × 10−37 | [22] | |
| O4+ + O2− + O2 => 3O2 + O2 | 2.0 × 10−37 | [22] | |
| O2+ + O2+ + N2 => O4+ + N2 | 2.04 × 10−34/Te3.2 | [22] | |
| O2+ + O2+ + O2 => O4+ + O2 | 5.65 × 10−27/Te0.8 | [22] |
| No. | Surface Reactions | Nanowire Tip | Nanowire Sidewall | ||
|---|---|---|---|---|---|
| γ | εi * | γ | εi | ||
| 1 | e + N2+ => N2 | 0.05 | 4 | 0.002 | 2 |
| 2 | e + O2+ => O2 | 0.05 | 4 | 0.002 | 2 |
| 3 | e + N4+ => 2N2 | 0.05 | 4 | 0.002 | 2 |
| 4 | e + O4+ => 2O2 | 0.05 | 4 | 0.002 | 2 |
| 5 | e + N2O2+ => O2 + N2 | 0.05 | 4 | 0.002 | 2 |
| 6 | O2− => O2 | 0 | 0 | 0 | 0 |
| Argument | Nanotip Boundary | Non-Nanotip Boundary | Discharge Space |
|---|---|---|---|
| maximum element size/μm | 0.004 | 0.1 | 0.2 |
| minimum element size/μm | 0.002 | 0.05 | 0.05 |
| maximum element growth rate | 1.1 | 1.1 | 1.2 |
Disclaimer/Publisher’s Note: The statements, opinions and data contained in all publications are solely those of the individual author(s) and contributor(s) and not of MDPI and/or the editor(s). MDPI and/or the editor(s) disclaim responsibility for any injury to people or property resulting from any ideas, methods, instructions or products referred to in the content. |
© 2024 by the authors. Licensee MDPI, Basel, Switzerland. This article is an open access article distributed under the terms and conditions of the Creative Commons Attribution (CC BY) license (https://creativecommons.org/licenses/by/4.0/).
Share and Cite
Zhang, J.; Zhang, B.; Yang, Y.; Liu, Z.; Pan, H. Influence Mechanism of Cathode Curvature Radius on Corona Discharge at Microscale. Energies 2024, 17, 3411. https://doi.org/10.3390/en17143411
Zhang J, Zhang B, Yang Y, Liu Z, Pan H. Influence Mechanism of Cathode Curvature Radius on Corona Discharge at Microscale. Energies. 2024; 17(14):3411. https://doi.org/10.3390/en17143411
Chicago/Turabian StyleZhang, Jingyuan, Bei Zhang, Yong Yang, Zhenzu Liu, and Hongguang Pan. 2024. "Influence Mechanism of Cathode Curvature Radius on Corona Discharge at Microscale" Energies 17, no. 14: 3411. https://doi.org/10.3390/en17143411
APA StyleZhang, J., Zhang, B., Yang, Y., Liu, Z., & Pan, H. (2024). Influence Mechanism of Cathode Curvature Radius on Corona Discharge at Microscale. Energies, 17(14), 3411. https://doi.org/10.3390/en17143411
