Enhancing Wind Farm Performance through Axial Induction and Tilt Control: Insights from Wind Tunnel Experiments
Abstract
:1. Introduction
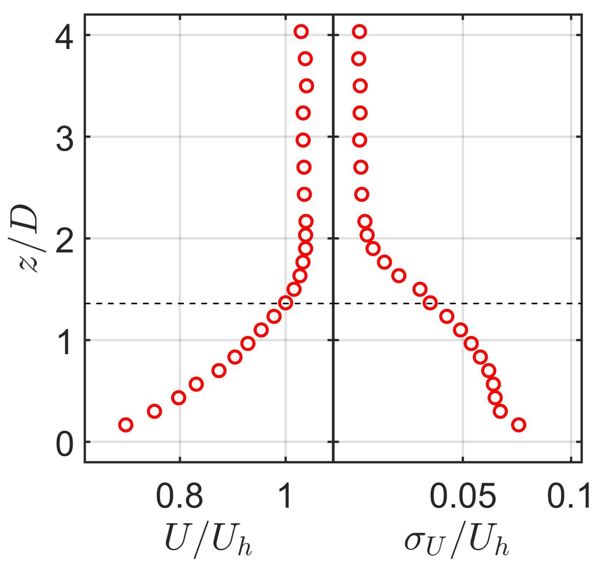
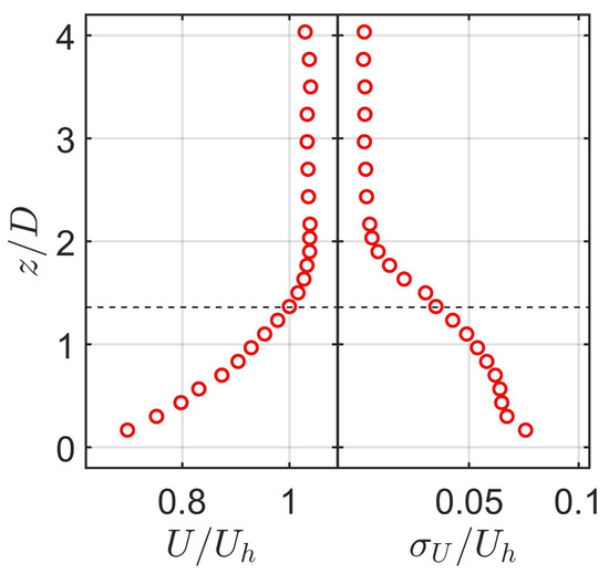
2. Experimental Setup
3. Results
3.1. Power Analysis
3.1.1. Static Axial Induction Control
3.1.2. Tilt Control
3.2. Flow Analysis
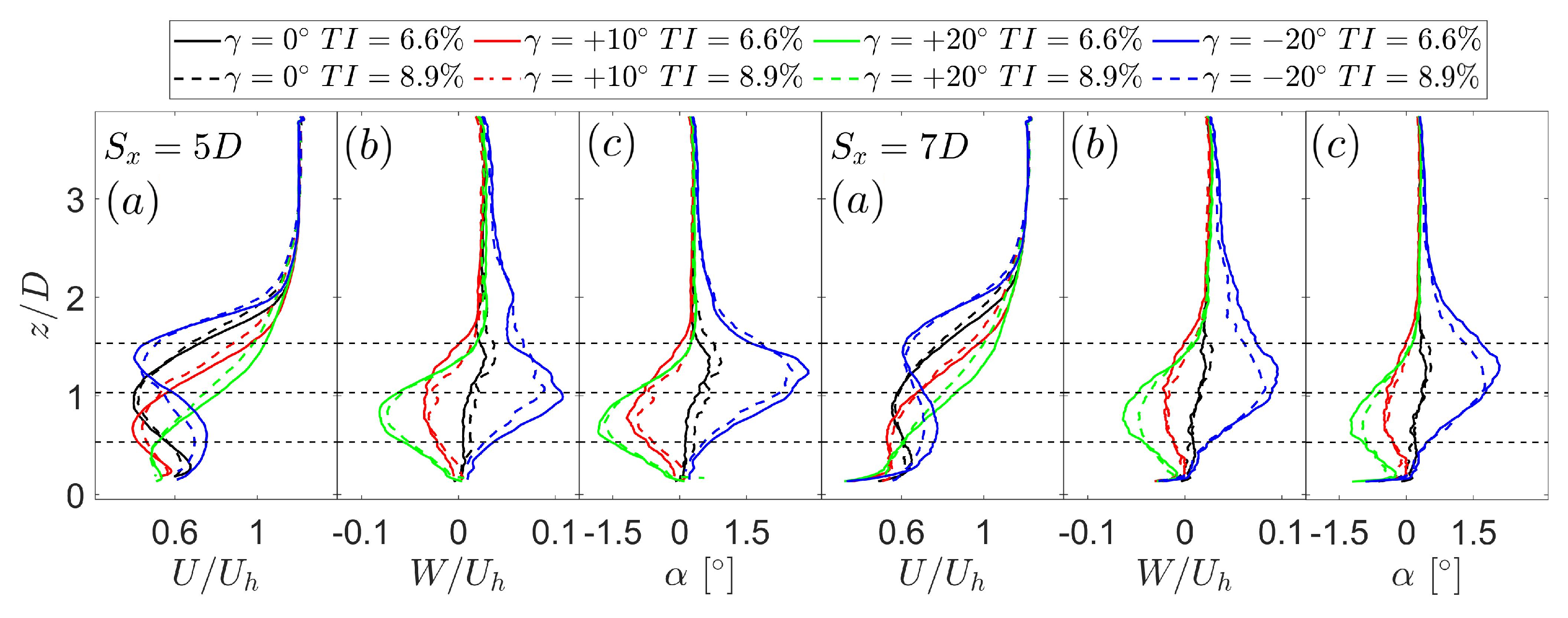
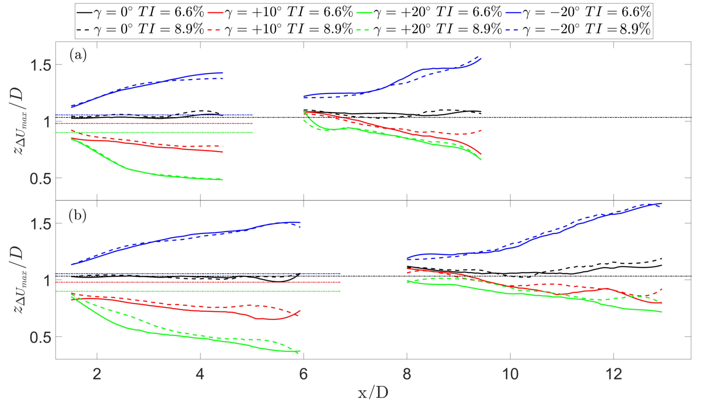
3.2.1. Wake Deflection
3.2.2. Wake Recovery
3.2.3. Available Power
4. Conclusions and Future Work
- Varying the axial induction factor by modifying the pitch angle is not equivalent to doing so by changing the TSR. In fact, it is theoretically shown that decreasing the AoA through blade pitch control reduces the thrust, whereas doing this through TSR control increases it.
- Static axial induction control is found to be ineffective in increasing the overall power extraction, even in a low-turbulence environment (hub-height turbulence intensity = 4%), regardless of the number of turbines. However, since the decrease in power extraction when the technique is applied is minimal, it could be considered for other purposes, such as balancing the load distribution within a wind farm.
- Negative tilt angles (i.e., upward-deflection tilt) are unable to increase the global power output. Although the downstream turbine experiences a power increase, it is far from compensating for the loss of power output in the upstream turbine, regardless of the turbulence intensity level and the turbine spacing.
- Positive tilt angles lead to a significant increase in the global power extraction, regardless of the turbine spacing and turbulence intensity level. They promote entrainment and draw high-energy flow into the wake space. The power gains observed with only two turbines (e.g., 16.5% for and ) are higher than those obtained through other wake mitigation strategies such as yaw control in a similar environment.
- The maximum power gain and optimal tilt angle decrease with an increase in turbulence intensity or turbine spacing. Furthermore, tilt control appears to be more responsive to changes in turbulence intensity than to variations in turbine spacing.
- The wake deflection increases with the tilt angle. Positive tilt angles induce higher deflection in the wake of a tilted turbine compared to negative ones. However, negative tilt angles induce higher secondary steering because of the higher vertical velocities and inclination angles experienced by the downstream turbine.
- Positive tilt angles promote entrainment from the outer flow, accelerating the wake recovery up to , after which the ground blocks and redirects the flow. The wake of a downstream turbine exhibits an opposite trend and recovers more slowly for high-tilt angles, regardless of the tilt direction. This is due to the lower level of turbulence intensity experienced by the downstream turbine, resulting from wake deflection and increased recovery.
- Tilting the first turbine affects the flow experienced by a hypothetical third wind turbine. Positive angles increase the level of shear, whereas negative angles increase the vertical velocity.
- The available power at the location of a hypothetical third wind turbine shows an increase in the upper half of the rotor and a decrease in the lower half for positive tilt angles. Conversely, negative tilt angles exhibit an opposite trend, primarily due to secondary steering effects.
Author Contributions
Funding
Data Availability Statement
Conflicts of Interest
References
- International Energy Agency (IEA). World Energy Outlook 2021, WEO2021; IEA: Paris, France, 2021. [Google Scholar]
- International Renewable Energy Agency (IRENA). Renewable Power Generation Costs in 2018; IRENA: Masdar City, United Arab Emirates, 2018; pp. 10,18,23,36. [Google Scholar]
- Nash, R.; Nouri, R.; Vasel-Be-Hagh, A. Wind turbine wake control strategies: A review and concept proposal. Energy Convers. Manag. 2021, 245, 114581. [Google Scholar] [CrossRef]
- Wilson, D.; Rodrigues, S.; Segura, C.; Loshchilov, I.; Hutter, F.; Buenfil, G.L.; Kheiri, A.; Keedwell, E.; Ocampo-Pineda, M.; Özcan, E.; et al. Evolutionary computation for wind farm layout optimization. Renew. Energy 2018, 126, 681–691. [Google Scholar] [CrossRef]
- Porté-Agel, F.; Bastankhah, M.; Shamsoddin, S. Wind-turbine and wind-farm flows: A review. Bound.-Layer Meteorol. 2020, 174, 1–59. [Google Scholar] [CrossRef]
- Weipao, M.; Chun, L.; Jun, Y.; Yang, Y.; Xiaoyun, X. Numerical investigation of wake control strategies for maximizing the power generation of wind farm. J. Sol. Energy Eng. 2016, 138, 034501. [Google Scholar] [CrossRef]
- Wu, Y.T.; Porté-Agel, F. Modeling turbine wakes and power losses within a wind farm using LES: An application to the Horns Rev offshore wind farm. Renew. Energy 2015, 75, 945–955. [Google Scholar] [CrossRef]
- Ghaisas, N.S.; Archer, C.L. Geometry-based models for studying the effects of wind farm layout. J. Atmos. Ocean. Technol. 2016, 33, 481–501. [Google Scholar] [CrossRef]
- Hou, P.; Hu, W.; Soltani, M.; Chen, C.; Chen, Z. Combined optimization for offshore wind turbine micro siting. Appl. Energy 2017, 189, 271–282. [Google Scholar] [CrossRef]
- Van Dijk, M.T.; van Wingerden, J.W.; Ashuri, T.; Li, Y. Wind farm multi-objective wake redirection for optimizing power production and loads. Energy 2017, 121, 561–569. [Google Scholar] [CrossRef]
- Bastankhah, M.; Porté-Agel, F. Wind farm power optimization via yaw angle control: A wind tunnel study. J. Renew. Sustain. Energy 2019, 11, 023301. [Google Scholar] [CrossRef]
- Zong, H.; Porté-Agel, F. Experimental investigation and analytical modelling of active yaw control for wind farm power optimization. Renew. Energy 2021, 170, 1228–1244. [Google Scholar] [CrossRef]
- Bastankhah, M.; Porté-Agel, F. Experimental and theoretical study of wind turbine wakes in yawed conditions. J. Fluid Mech. 2016, 806, 506–541. [Google Scholar] [CrossRef]
- Cossu, C. Wake redirection at higher axial induction. Wind. Energy Sci. 2021, 6, 377–388. [Google Scholar] [CrossRef]
- Fleming, P.; Gebraad, P.M.; Lee, S.; van Wingerden, J.W.; Johnson, K.; Churchfield, M.; Michalakes, J.; Spalart, P.; Moriarty, P. Simulation comparison of wake mitigation control strategies for a two-turbine case. Wind Energy 2015, 18, 2135–2143. [Google Scholar] [CrossRef]
- Bossuyt, J.; Scott, R.; Ali, N.; Cal, R.B. Quantification of wake shape modulation and deflection for tilt and yaw misaligned wind turbines. J. Fluid Mech. 2021, 917, A3. [Google Scholar] [CrossRef]
- Fleming, P.A.; Gebraad, P.M.; Lee, S.; van Wingerden, J.W.; Johnson, K.; Churchfield, M.; Michalakes, J.; Spalart, P.; Moriarty, P. Evaluating techniques for redirecting turbine wakes using SOWFA. Renew. Energy 2014, 70, 211–218. [Google Scholar] [CrossRef]
- Abdelsalam, A.M.; Ramalingam, V. Effect of the tilt angle on the wind turbine performance and wakes. In Proceedings of the Eighth Asia-Pacific Conference on Wind Engineering, Chennai, India, 10–14 December 2013. [Google Scholar]
- Nanos, E.M.; Letizia, S.; Clemente, D.J.B.; Wang, C.; Rotea, M.; Iungo, V.I.; Bottasso, C.L. Vertical wake deflection for offshore floating wind turbines by differential ballast control. In Journal of Physics: Conference Series; IOP Publishing: Bristol, UK, 2020; Volume 1618, p. 022047. [Google Scholar]
- Roddier, D.; Cermelli, C.; Weinstein, A. WindFloat: A floating foundation for offshore wind turbines—Part I: Design basis and qualification process. In Proceedings of the International Conference on Offshore Mechanics and Arctic Engineering, Honolulu, HI, USA, 31 May–5 June 2009; Volume 43444, pp. 845–853. [Google Scholar]
- Scott, R.; Bossuyt, J.; Cal, R.B. Characterizing tilt effects on wind plants. J. Renew. Sustain. Energy 2020, 12, 043302. [Google Scholar] [CrossRef]
- Johlas, H.M.; Schmidt, D.P.; Lackner, M.A. Large eddy simulations of curled wakes from tilted wind turbines. Renew. Energy 2022, 188, 349–360. [Google Scholar] [CrossRef]
- Su, K.; Bliss, D. A numerical study of tilt-based wake steering using a hybrid free-wake method. Wind Energy 2020, 23, 258–273. [Google Scholar] [CrossRef]
- Bay, C.J.; Annoni, J.; Martínez-Tossas, L.A.; Pao, L.Y.; Johnson, K.E. Flow control leveraging downwind rotors for improved wind power plant operation. In Proceedings of the 2019 American Control Conference (ACC), Philadelphia, PA, USA, 10–12 July 2019; IEEE: Piscataway, NJ, USA, 2019; pp. 2843–2848. [Google Scholar]
- Wang, J.; Bottasso, C.L.; Campagnolo, F. Wake redirection: Comparison of analytical, numerical and experimental models. J. Physics Conf. Ser. 2016, 753, 032064. [Google Scholar] [CrossRef]
- Tobin, N.; Hamed, A.M.; Chamorro, L.P. Fractional flow speed-up from porous windbreaks for enhanced wind-turbine power. Bound.-Layer Meteorol. 2017, 163, 253–271. [Google Scholar] [CrossRef]
- Adaramola, M.S.; Krogstad, P.Å. Experimental investigation of wake effects on wind turbine performance. Renew. Energy 2011, 36, 2078–2086. [Google Scholar] [CrossRef]
- Bartl, J.; Sætran, L. Experimental testing of axial induction based control strategies for wake control and wind farm optimization. In Journal of Physics: Conference Series; IOP Publishing: Bristol, UK, 2016; Volume 753, p. 032035. [Google Scholar]
- Campagnolo, F.; Petrović, V.; Bottasso, C.L.; Croce, A. Wind tunnel testing of wake control strategies. In Proceedings of the 2016 American Control Conference (ACC), Boston, MA, USA, 6–8 July 2016; IEEE: Piscataway, NJ, USA, 2016; pp. 513–518. [Google Scholar]
- Frederik, J.A.; Weber, R.; Cacciola, S.; Campagnolo, F.; Croce, A.; Bottasso, C.; van Wingerden, J.W. Periodic dynamic induction control of wind farms: Proving the potential in simulations and wind tunnel experiments. Wind Energy Sci. 2020, 5, 245–257. [Google Scholar] [CrossRef]
- Munters, W.; Meyers, J. Towards practical dynamic induction control of wind farms: Analysis of optimally controlled wind-farm boundary layers and sinusoidal induction control of first-row turbines. Wind Energy Sci. 2018, 3, 409–425. [Google Scholar] [CrossRef]
- Lee, J.; Son, E.; Hwang, B.; Lee, S. Blade pitch angle control for aerodynamic performance optimization of a wind farm. Renew. Energy 2013, 54, 124–130. [Google Scholar] [CrossRef]
- Dilip, D.; Porté-Agel, F. Wind turbine wake mitigation through blade pitch offset. Energies 2017, 10, 757. [Google Scholar] [CrossRef]
- Bastankhah, M.; Porté-Agel, F. A new miniature wind turbine for wind tunnel experiments. Part I: Design and performance. Energies 2017, 10, 908. [Google Scholar] [CrossRef]
- Bastankhah, M.; Porté-Agel, F. A new miniature wind turbine for wind tunnel experiments. Part ii: Wake structure and flow dynamics. Energies 2017, 10, 923. [Google Scholar] [CrossRef]
- Hansen, M. Aerodynamics of Wind Turbines; Routledge: London, UK, 2015. [Google Scholar]
- Revaz, T.; Lin, M.; Porté-Agel, F. Numerical framework for aerodynamic characterization of wind turbine airfoils: Application to miniature wind turbine WiRE-01. Energies 2020, 13, 5612. [Google Scholar] [CrossRef]
- Shapiro, C.R.; Gayme, D.F.; Meneveau, C. Modelling yawed wind turbine wakes: A lifting line approach. J. Fluid Mech. 2018, 841, R1. [Google Scholar] [CrossRef]
- Burton, T.; Jenkins, N.; Sharpe, D.; Bossanyi, E. Wind Energy Handbook; John Wiley & Sons: Hoboken, NJ, USA, 2011. [Google Scholar]
- Munters, W.; Meyers, J. Dynamic strategies for yaw and induction control of wind farms based on large-eddy simulation and optimization. Energies 2018, 11, 177. [Google Scholar] [CrossRef]
- Bastankhah, M.; Porté-Agel, F. A new analytical model for wind-turbine wakes. Renew. Energy 2014, 70, 116–123. [Google Scholar] [CrossRef]
- Hansen, K.S.; Barthelmie, R.J.; Jensen, L.E.; Sommer, A. The impact of turbulence intensity and atmospheric stability on power deficits due to wind turbine wakes at Horns Rev wind farm. Wind Energy 2012, 15, 183–196. [Google Scholar] [CrossRef]
- Chamorro, L.P.; Porté-Agel, F. A wind-tunnel investigation of wind-turbine wakes: Boundary-layer turbulence effects. Bound.-Layer Meteorol. 2009, 132, 129–149. [Google Scholar] [CrossRef]















| Turbine 1 | Turbine 2 | |||||
|---|---|---|---|---|---|---|
| x/D = 2 | x/D = 4 | x/D =6 | x/D = 2 | x/D = 4 | x/D = 6 | |
Disclaimer/Publisher’s Note: The statements, opinions and data contained in all publications are solely those of the individual author(s) and contributor(s) and not of MDPI and/or the editor(s). MDPI and/or the editor(s) disclaim responsibility for any injury to people or property resulting from any ideas, methods, instructions or products referred to in the content. |
© 2023 by the authors. Licensee MDPI, Basel, Switzerland. This article is an open access article distributed under the terms and conditions of the Creative Commons Attribution (CC BY) license (https://creativecommons.org/licenses/by/4.0/).
Share and Cite
Armengol Barcos, G.; Porté-Agel, F. Enhancing Wind Farm Performance through Axial Induction and Tilt Control: Insights from Wind Tunnel Experiments. Energies 2024, 17, 203. https://doi.org/10.3390/en17010203
Armengol Barcos G, Porté-Agel F. Enhancing Wind Farm Performance through Axial Induction and Tilt Control: Insights from Wind Tunnel Experiments. Energies. 2024; 17(1):203. https://doi.org/10.3390/en17010203
Chicago/Turabian StyleArmengol Barcos, Guillem, and Fernando Porté-Agel. 2024. "Enhancing Wind Farm Performance through Axial Induction and Tilt Control: Insights from Wind Tunnel Experiments" Energies 17, no. 1: 203. https://doi.org/10.3390/en17010203
APA StyleArmengol Barcos, G., & Porté-Agel, F. (2024). Enhancing Wind Farm Performance through Axial Induction and Tilt Control: Insights from Wind Tunnel Experiments. Energies, 17(1), 203. https://doi.org/10.3390/en17010203

