A CNN-Architecture-Based Photovoltaic Cell Fault Classification Method Using Thermographic Images
Abstract
1. Introduction
2. Data Materials and Methods
2.1. Experimental System of the PV Cell Fault Detection
2.2. Infrared PV Cells Dataset
2.3. Offline Data Augmentation
2.4. CNN Architecture of the Proposed Method
3. Experiments
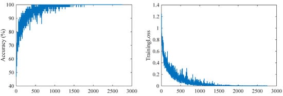
3.1. Model Training
3.2. Evaluation Criteria
3.3. Results and Discussion
4. Conclusions
Author Contributions
Funding
Data Availability Statement
Conflicts of Interest
References
- Rahaman, S.A.; Urmee, T.; Parlevliet, D.A. PV system defects identification using Remotely Piloted Aircraft (RPA) based infrared (IR) imaging: A review. Sol. Energy 2020, 206, 579–595. [Google Scholar] [CrossRef]
- Li, B.; Delpha, C.; Diallo, D.; Migan-Dubois, A. Application of Artificial Neural Networks to photovoltaic fault detection and diagnosis: A review. Renew. Sustain. Energy Rev. 2020, 138, 110512. [Google Scholar] [CrossRef]
- Korkmaz, D.; Akgz, H.; Yldz, C. A Novel Short-Term Photovoltaic Power Forecasting Approach based on Deep Convolutional Neural Network. Int. J. Green Energy 2021, 18, 525–539. [Google Scholar] [CrossRef]
- Tsanakas, J.A.; Ha, L.; Buerhop, C. Faults and infrared thermographic diagnosis in operating c-Si photovoltaic modules: A review of research and future challenges. Renew. Sustain. Energy Rev. 2016, 62, 695–709. [Google Scholar] [CrossRef]
- Gallardo-Saavedra, S.; Hernández-Callejo, L.; Alonso-García, M.D.C.; Santos, J.D.; Martínez-Sacristán, O. Nondestructive characterization of solar PV cells faults by means of electroluminescence, infrared thermography, I–V curves and visual tests: Experimental study and comparison. Energy 2020, 205, 117930. [Google Scholar] [CrossRef]
- Li, X.; Yang, Q.; Chen, Z.; Luo, X.; Yan, W. Visible faults detection based on UAV-based inspection in large-scale photovoltaic systems. IET Renew. Power Gener. 2017, 11, 1234–1244. [Google Scholar] [CrossRef]
- Wang, Y.; Li, L.; Sun, Y.; Xu, J.; Akiyama, H. Adaptive automatic solar cell fault detection and classification based on absolute electroluminescence imaging. Energy 2021, 229, 120606. [Google Scholar] [CrossRef]
- Kumar, S.; Jena, P.; Sinha, A.; Gupta, R. Application of infrared thermography for non-destructive inspection of solar photovoltaic modules. J. Non Destr. Test. Eval. 2017, 6, 25–32. [Google Scholar]
- Larbi Youcef, M.H.A.; Feuillet, V.; Ibos, L.; Candau, Y. In situ;quantitative diagnosis of insulated building walls using passive infrared thermography. Quant. InfraRed Thermogr. J. 2022, 19, 41–69. [Google Scholar] [CrossRef]
- Grys, S.; Dudzik, S. Investigation on dual-domain data processing algorithm used in thermal non-destructive evaluation. Quant. Infrared Thermogr. J. 2022, 19, 196–219. [Google Scholar] [CrossRef]
- He, Y.; Du, B.; Huang, S. Non-contact Electromagnetic induction excited infrared thermography for photovoltaic cells and modules inspection. IEEE Trans. Ind. Inform. 2018, 12, 12–20. [Google Scholar]
- Breitenstein, O. Lock-in thermography for investigating solar cells and materials. Quant. Infrared Thermogr. J. 2010, 7, 147–165. [Google Scholar] [CrossRef]
- Breitenstein, O.; Fertig, F.; Bauer, J. An empirical method for imaging the short circuit current density in silicon solar cells based on dark lock-in thermography. Sol. Energy Mater. Sol. Cells 2015, 143, 406–410. [Google Scholar] [CrossRef]
- Breitenstein, O.; Sontag, D. Lock-in thermography based local solar cell analysis for high efficiency monocrystalline hetero junction type solar cells. Sol. Energy Mater. Sol. Cells 2019, 193, 157–162. [Google Scholar] [CrossRef]
- Straube, H.; Siegloch, M.; Gerber, A.; Bauer, J.; Breitenstein, O. Illuminated lock-in thermography at different wavelengths for distinguishing shunts in top and bottom layers of tandem solar cells. Phys. Status Solidi C 2011, 8, 1339–1341. [Google Scholar] [CrossRef]
- Frühauf, F.; Breitenstein, O. DLIT-versus ILIT-based efficiency imaging of solar cells. Sol. Energy Mater. Sol. Cells 2017, 169, 195–202. [Google Scholar] [CrossRef]
- Akram, M.W.; Li, G.; Jin, Y.; Chen, X.; Ahmad, A. Automatic detection of photovoltaic module faults in infrared images with isolated and develop-model transfer deep learning. Sol. Energy 2020, 198, 175–186. [Google Scholar] [CrossRef]
- Chen, H.; Pang, Y.; Hu, Q.; Liu, K. Solar cell surface defect inspection based on multispectral convolutional neural network. J. Intell. Manuf. 2020, 31, 453–468. [Google Scholar] [CrossRef]
- Deitsch, S.; Christlein, V.; Berger, S.; Buerhop-Lutz, C.; Maier, A.; Gallwitz, F.; Riess, C. Automatic classification of defective photovoltaic module cells in electroluminescence images. Sol. Energy 2019, 185, 455–468. [Google Scholar] [CrossRef]
- Tang, W.; Yang, Q.; Xiong, K.; Yan, W. Deep learning based automatic fault identification of photovoltaic module using electroluminescence images. Sol. Energy 2020, 201, 453–460. [Google Scholar] [CrossRef]
- Akram, M.W.; Li, G.; Jin, Y.; Chen, X.; Ahmad, A. CNN based automatic detection of photovoltaic cell faults in electroluminescence images. Energy 2019, 189, 116319. [Google Scholar] [CrossRef]
- Cipriani, G.; D’Amico, A.; Guarino, S.; Manno, D.; Dio, V.D. Convolutional Neural Network for Dust and Hotspot Classification in PV Modules. Energies 2020, 13, 6357. [Google Scholar] [CrossRef]
- Wang, M.H.; Lin, Z.H.; Lu, S.D. A fault detection method based on cnn and symmetrized dot pattern for pv modules. Energies 2022, 15, 6449. [Google Scholar] [CrossRef]
- Bu, C.; Liu, T.; Li, R.; Shen, R.; Zhao, B.; Tang, Q. Electrical Pulsed Infrared Thermography and supervised learning for PV cells faults detection. Sol. Energy Mater. Sol. Cells 2022, 237, 111561. [Google Scholar] [CrossRef]
- Liu, J.; Guo, F.; Gao, H.; Huang, Z.; Zhang, Y.; Zhou, H. Image classification method on class imbalance datasets using multi-scale CNN and two-stage transfer learning. Neural Comput. Appl. 2021, 33, 14179–14197. [Google Scholar] [CrossRef]
- Korkmaz, D.; Acikgoz, H. An efficient fault classification method in solar photovoltaic modules using transfer learning and multi-scale convolutional neural network. Engineering Applications of Artificial Intelligence. Int. J. Intell. Real-Time Autom. 2022, 113, 104959. [Google Scholar]










| Class Name | Number of Images | |
|---|---|---|
| Original Dataset | Offline Data Augmentation | |
| Cracking | 161 | 1127 |
| Hot spot | 189 | 1323 |
| No-fault | 368 | 2576 |
| Total | 718 | 5026 |
| Layer Type | Parameter Settings |
|---|---|
| Conv-1 | 64 (11 × 11) filters with stride 1 [ReLU, L2] |
| Max-pooling | 2 × 2 filter with stride 2 |
| BN | - |
| Conv-2 | 128 (7 × 7) filters with stride 2 [ReLU, L2] |
| Max-pooling | 2 × 2 filter with stride 2 |
| BN | - |
| Conv-3-1 | 256 (3 × 3) filters with stride 2 [ReLU, L2] |
| BN | - |
| Conv-3-2 | 256 (3 × 3) filters with stride 1 [ReLU, L2] |
| BN | - |
| Conv-3-3 | 256 (3 × 3) filters with stride 2 [ReLU, L2] |
| BN | - |
| Conv-4 | 512 (1 × 1) filters with stride 1 [ReLU, L2] |
| Max-pooling | 2 × 2 filter with stride 2 |
| Fc-5 | 1000 [ReLU, 0.5 dropout] |
| Fc-6 | 1000 [ReLU, 0.5 dropout] |
| Fc-7 | 3 class [(softmax classifier)] |
| Akram’s CNN Model | Our Model |
|---|---|
| Conv-1 32 (3 × 3), stride 1 | Conv-1 64 (11 × 11), stride 1 |
| Max-pooling 2 × 2, stride 2, BN | Max-pooling 2 × 2, stride 2, BN |
| Conv-2 64 (3 × 3), stride 1 | Conv-2 128 (7 × 7), stride 2 |
| Max-pooling 2 × 2, stride 2, BN | Max-pooling 2 × 2, stride 2, BN |
| Conv-3 128 (3 × 3), stride 1 | Conv-3-1 256 (3 × 3), stride 2 [ReLU, L2] |
| Max-pooling 2 × 2, stride 2, BN | Conv-3-2 256 (3 × 3), stride 1 [ReLU, L2]- |
| Conv-4 256 (3 × 3), stride 1 | Conv-3-3 256 (3 × 3), stride 2 [ReLU, L2] |
| Max-pooling 2 × 2, stride 2, BN | Conv-4 512 (1 × 1), stride 1 [ReLU, L2] |
| Fc-5 (512) | Max-pooling 2 × 2, stride 2 |
| Fc-6 (2 class) | Fc-5 (1000) [ReLU, 0.5 dropout] |
| - | Fc-6 (1000) [ReLU, 0.5 dropout] |
| - | Fc-7 (3 class) [(softmax classifier)] |
| Model | |||||
|---|---|---|---|---|---|
| AlexNet | 93.04 | 91.70 | 91.39 | 96.47 | 91.54 |
| VGG 16 | 91.25 | 89.49 | 89.89 | 95.66 | 89.67 |
| ResNet 18 | 83.70 | 81.04 | 82.42 | 92.01 | 81.60 |
| Akram’s model | 94.30 | 92.45 | 92.27 | 96.70 | 92.66 |
| Proposed model | 97.42 | 96.72 | 96.68 | 98.76 | 96.70 |
| Faults | |||||
|---|---|---|---|---|---|
| hot spot | 95.72 | 97.19 | 95.72 | 99.01 | 96.45 |
| cracking | 94.97 | 93.86 | 94.97 | 99.05 | 94.41 |
| no-fault | 99.35 | 99.10 | 99.35 | 98.21 | 99.22 |
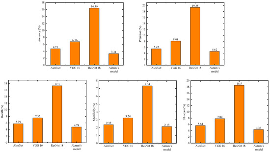
| Model | |||||
|---|---|---|---|---|---|
| AlexNet | 4.71 | 5.47 | 5.79 | 2.37 | 5.64 |
| VGG 16 | 6.76 | 8.08 | 7.55 | 3.24 | 7.84 |
| ResNet 18 | 16.39 | 19.35 | 17.30 | 7.34 | 18.50 |
| Akram’s model | 3.31 | 4.62 | 4.78 | 2.13 | 4.36 |
| Model | Hardware Situation | Time Cost/ 2750 Epochs | Single Image Time (ms) | |
|---|---|---|---|---|
| AlexNet | Intel Core i5-10500 CPU | 93.04 | 91 min and 15 s | 0.396 |
| VGG 16 | Intel Core i5-10500 CPU | 91.25 | 340 min and 54 s | 1.479 |
| ResNet 18 | Intel Core i5-10500 CPU | 83.70 | 177 min and 40 s | 0.771 |
| Akram’s model | Intel Core i5-10500 CPU | 94.30 | 80 min and 33 s | 0.349 |
| Proposed model | Intel Core i5-10500 CPU | 97.42 | 30 min and 52 s | 0.134 |
Disclaimer/Publisher’s Note: The statements, opinions and data contained in all publications are solely those of the individual author(s) and contributor(s) and not of MDPI and/or the editor(s). MDPI and/or the editor(s) disclaim responsibility for any injury to people or property resulting from any ideas, methods, instructions or products referred to in the content. |
© 2023 by the authors. Licensee MDPI, Basel, Switzerland. This article is an open access article distributed under the terms and conditions of the Creative Commons Attribution (CC BY) license (https://creativecommons.org/licenses/by/4.0/).
Share and Cite
Bu, C.; Liu, T.; Wang, T.; Zhang, H.; Sfarra, S. A CNN-Architecture-Based Photovoltaic Cell Fault Classification Method Using Thermographic Images. Energies 2023, 16, 3749. https://doi.org/10.3390/en16093749
Bu C, Liu T, Wang T, Zhang H, Sfarra S. A CNN-Architecture-Based Photovoltaic Cell Fault Classification Method Using Thermographic Images. Energies. 2023; 16(9):3749. https://doi.org/10.3390/en16093749
Chicago/Turabian StyleBu, Chiwu, Tao Liu, Tao Wang, Hai Zhang, and Stefano Sfarra. 2023. "A CNN-Architecture-Based Photovoltaic Cell Fault Classification Method Using Thermographic Images" Energies 16, no. 9: 3749. https://doi.org/10.3390/en16093749
APA StyleBu, C., Liu, T., Wang, T., Zhang, H., & Sfarra, S. (2023). A CNN-Architecture-Based Photovoltaic Cell Fault Classification Method Using Thermographic Images. Energies, 16(9), 3749. https://doi.org/10.3390/en16093749

