Next Article in Journal
Comparative Study of Grid Frequency Stability Using Flywheel-Based Variable-Speed Drive and Energy Capacitor System
Previous Article in Journal
Regulatory Challenges in the Electromobility Sector: An Analysis of Electric Buses in Brazil
Previous Article in Special Issue
Economic and Environmental Analysis of Incorporating Geothermal District Heating System Combined with Radiant Floor Heating for Building Heat Supply in Sarein, Iran Using Building Information Modeling (BIM)
 
 
Font Type:
Arial Georgia Verdana
Font Size:
Aa Aa Aa
Line Spacing:
Column Width:
Background:
Article

Residential Consumers’ Lifestyle Energy Usage and Energy Efficiency in Selected States in Malaysia

by
Salina Daud
1,2,3,
Wan Noordiana Wan Hanafi
1,2,3,*,
Bamidele Victor Ayodele
4,
Jegatheesan Rajadurai
1,2,3,
Siti Indati Mustapa
1,2,3,
Nurul Nadiah Ahmad
1,3,
Wan Mohammad Taufik Wan Abdullah
3,5,
Siti Norhidayah Toolib
1,3,
Maryam Jamilah Asha’ari
1,2,3 and
Harni Aziera Afsarizal
1,3
1
College of Business Management and Accounting, Universiti Tenaga Nasional, Muadzam Shah 26700, Pahang, Malaysia
2
Institute of Energy Policy and Research (IEPRe), Universiti Tenaga Nasional, Putrajaya Campus, Jalan Ikram-Uniten, Kajang 43000, Selangor, Malaysia
3
UNITEN R&D Sdn Bhd (URND), Universiti Tenaga Nasional, Jalan Ikram-Uniten, Kajang 43000, Selangor, Malaysia
4
Department of Chemical Engineering, Universiti Teknologi PETRONAS, Seri Iskandar 32610, Perak, Malaysia
5
Teaching & Learning Centre (TLC), Universiti Tenaga Nasional, Putrajaya Campus, Jalan Ikram-Uniten, Kajang 43000, Selangor, Malaysia
*
Author to whom correspondence should be addressed.
Energies 2023, 16(8), 3514; https://doi.org/10.3390/en16083514
Submission received: 8 December 2022 / Revised: 17 February 2023 / Accepted: 11 April 2023 / Published: 18 April 2023

Abstract

In recent decades, significant changes have occurred in the consumer lifestyle and energy consumption structure. In order to foster a more holistic understanding of how residential consumers use energy in their everyday life and how it affects energy efficiency, individual data about energy-related behaviour in six primary areas, namely, housing, mobility, diet, consumption, leisure activities, and information, were studied. Specifically, the objective of this study is to investigate energy efficiency behaviour based on residential consumers’ lifestyles. An exploratory pilot study with a total of 50 respondents was carried out in month of July. Data were collected from residential consumers from six states in Peninsular Malaysia and were analysed using the Partial Least Square Structural Equation Modelling approach. The result showed that consumption, housing, and information are the dominant direct contributors to energy efficiency. By understanding these lifestyles, researchers and policymakers can better understand consumer energy consumption behaviour and design targeted interventions to encourage energy efficiency and conservation. The paper highlights the need for further research on consumer lifestyles and their contribution to energy efficiency. It also provides findings from this study that was used to refine the research tools for future research.

Keywords; consumer lifestyle; residential; energy efficiency; energy

1. Introduction

Energy demand and consumption have been increasing rapidly over the past few decades because of the disruptive changes in energy industries and services as well as changes in people’s lifestyles around the world. The world is currently consuming about 9000 Mega Tonnes of Oil Equivalent (MTOE) energy, which has doubled in the last three decades [1]. In recent years, the residential sector in Malaysia has been responsible for 20.7% of energy consumption. The National Electrical Board (NEB) of the government works closely with electricity markets to balance the nation’s energy supply and demand. Market forecasting is used to predict future electricity demands and their distribution across power stations. Real-time estimation of the demand profile is performed throughout the day for the residential, commercial, and industrial sectors [2].
It is predicted that domestic power consumption in Malaysia will increase as a result of an increase in the possessing of appliances, an improvement in economic conditions, and a change in lifestyle [3]. The residential sector’s need for energy has skyrocketed in recent years as a result of rising demand as well as improvements in people’s quality of life, which has given rise to concerns on the part of policymakers. According to [4], consumer activities directly influence energy use (e.g., housing and private transport) and account for more than 43.0% of the total world energy use. Breaking habits can be difficult but not impossible. In fact, lifestyle changes are what is required to drive a net-zero carbon future.
It is now a new goal of household energy management to improve users’ energy habits, reduce electricity costs, and promote the efficient use of new energy equipment. To accomplish this goal, it is critical to collect energy consumption data, such as how much power is used, how long it is used, and what type of energy is used, as well as analyse users’ energy consumption patterns [5].
The behaviour of general residential customers in terms of energy use varies significantly depending on their lifestyle or how they live. As a result, electric power companies must create and offer appropriate services customised to energy user behaviour. Additionally, knowing one’s own inclination for energy consumption is useful information for customers when making decisions regarding tariff selection, purchasing household appliances, and the everyday use of household equipment.
Improving energy efficiency is important for reducing Malaysia’s energy demand, achieving sustainability goals, and improving the environment. However, monitoring energy usage in the residential sector, which is the largest energy consumer, is challenging due to the complexity of energy usage patterns. Comprehensive models are needed to study residential energy consumption effectively.
A study by Bin and Dowlatabadi [6] and Feng et al. [7] utilised the Consumer Lifestyle Approach (CLA) to understand the relationship between consumer behaviour, energy use, and CO2 emissions. However, the results from these studies were not accurate in predicting household energy consumption behaviour due to limitations in the data. Other studies that looked at household energy decision behaviours focused on income [8] and price elasticity [9] using household data.
Studies in developed countries have analysed the impact of lifestyle factors on energy demands, but there are few studies in developing countries such as Malaysia, where converging lifestyles could pose a challenge. This study aims to investigate energy efficiency behaviour based on residential consumers’ lifestyles, which include housing, mobility, consumption, diet, leisure activities, and information. The limited studies on this topic in developing countries emphasise the need for further research in this area.

2. Literature Review

2.1. Energy Efficiency

Energy efficiency is considered a cornerstone of a comprehensive energy policy. Both solutions must be developed simultaneously in order to stabilise and reduce emissions of carbon dioxide and other pollutants. Inasmuch as efficient energy consumption is crucial and impedes the growth of energy demand, increased supplies of pure energy may result in substantial reductions in the usage of fossil fuels [10].
Additionally, energy efficiency is acknowledged on a global scale as the most effective and economical means of achieving sustainable development objectives. Through an awareness campaign, building legislation, and building energy rules, the Malaysian government has been aggressive in introducing energy efficiency for buildings. The Malaysian Energy Policy emphasises a three-pronged strategy for managing the nation’s energy supply, use, and environment. It aims for prudent management of energy supply and use while minimising the impact of energy production in an effort to protect the environment.
The 11th National Energy Efficiency Action Plan (NEEAP) 2016–2025 of Malaysia outlines the methods necessary to accomplish coordinated and cost-effective energy production and consumption [11]. The 11th NEEAP emphasises improving the penetration of energy-efficient instruments and consumer conservation. Nonetheless, inconsistent results have been observed for Malaysian consumers’ responsible energy consumption. Malaysia is in the process of transitioning from its current energy production mix to a renewable energy mix, in which hydro and solar power will be the primary energy resources [12].
Energy efficiency has become a headline issue for governments around the world. Rinkinen et al. [13] emphasised that energy efficiency is defined as using less energy to produce the same amount of a good or service. This paper defines energy efficiency as “using energy wisely and economically to sustain everyday life, live comfortably, and support wellbeing” [14]. In addition, energy-efficient appliances consume less electricity than inefficient appliances [15]. Air conditioners, light bulbs, washer–dryers, refrigerators and freezers, washing machines, water heaters, tumble dryers, electric ovens, and dishwashers are examples of Energy-Efficient Appliances (EEAs) [16].

2.2. Residential Energy Behaviour

Residential energy behaviour refers to the energy consumption patterns and habits of individuals in their homes. This can include factors such as the type and energy efficiency of appliances used, heating and cooling practices, water usage, and other energy-related activities. Understanding residential energy behaviour is important for reducing energy consumption and promoting energy efficiency [17]. Residential consumers have been identified by researchers as a crucial target market for energy conservation. It was also stressed by Abrahamse and Shwom [18] and Wang et al. [19] that households play a critical role in energy consumption and conservation, and their energy usage is more difficult to regulate compared to other sectors such as industry. This is due to the challenge of influencing individual behaviour in households. This highlights the importance of understanding and addressing residential energy behaviour in promoting energy efficiency and reducing energy consumption [20].
According to Twerefou and Abeney [21], home energy consumption constitutes a significant portion of energy demand and greenhouse gas emissions in the residential sector in Indonesia [22]. Thus, increasing the energy efficiency of housing is a crucial strategy for mitigating climate change globally, as housing has a large impact on energy requirements [23]. There have been many studies on various aspects of residential energy use, with space heating being one of the most researched topics due to its high energy consumption. Space heating costs can vary based on factors such as the size of the area being heated, equipment efficiency, and utilization [24].

2.3. Consumer Lifestyle

Lifestyle research is not limited to a single field but has developed greatly in sociology and marketing. Lifestyle was first presented in marketing by Anderson and Golden [25], who described it as “the patterns that arise and emerge from the daily dynamics of a community”. The early study was successful in identifying lifestyle characteristics within patterns of consumer behaviours in domains such as travel, job, home leisure activities, and service use [26].
Along these lines, empirical studies that have been conducted over the past two decades have revealed that income, education, family size, number of people living in the home, number of hours a home is occupied, size and type of dwelling, and stage of life cycle (for example, young singles, young families, families with teenagers, empty-nesters, and retired households) are important indicators of household energy consumption. These factors all play a role in determining how much energy a household uses [27].
However, consumers’ lifestyle perspectives should be considered in the context of their personal, professional, and cultural backgrounds, values, and beliefs. Energy consumption is relevant to any activity that directly or indirectly uses energy or requires energy-intensive products or services [28]. To understand the relationship between energy consumption and lifestyle, individual behaviour and equipment use data need to be transformed into indicators for identifying energy lifestyle groups. The consumer’s lifestyle influences their views, choices, and behaviours towards energy-related items and services. Therefore, examining the lifestyle perspectives of consumers is crucial in understanding and promoting energy efficiency.
Household energy use and conservation actions can also be influenced by habits, rituals, and social practices [29]. A variety of factors influence customer energy usage behaviour. Among the most explored elements are socioeconomics, demography, housing/dwelling, household attitudes, household lifestyle, and technological advances [30,31]. Bird and Schwarzinger [32] divided the consumer energy lifestyle group into six separate areas of life: housing, mobility, consumption, diet, leisure activities, and information. All six consumer lifestyles were adapted from Schwarzinger and Bird [28] and are explained below.

2.3.1. Housing

Energy efficiency and energy consumption are closely related, where an increase in energy efficiency can result in significant reductions in energy consumption use [33]. This is aside from being a critical lifestyle domain. Housing is also considered a vital part of many people’s lives. It provides them with various basic needs such as shelter and recognition [34]. According to Chen, Wang [35], and other researchers, demographic and household factors can affect the energy consumption of households. For instance, younger households tend to use more electricity than older ones. This is because elderly households are replacing major electric appliances such as televisions, air conditioners, washing machines, and refrigerators, which are already widespread in developed countries periodically. Due to the increasing number of households that are replacing their old electric appliances, the demand for energy-efficient products is expected to rise. This can help lower household energy consumption [36]. According to Matsumoto [37], many households have expressed their concerns about the high cost of energy services. However, they tend to focus on the overall cost of these services rather than the individual consumption of energy.
A study by Frederik et al. [38] examined the determinants of household energy consumption and found that socio-demographic and psychological factors (such as income, employment status, type/size of dwelling, home ownership, household size, and phase of the family life cycle) influenced household energy consumption. These socio-demographic and psychological factors include beliefs and attitudes, motives, and intentions, perceived behavioural control, cost–benefit trade-offs, and personal and social norms that influence household energy consumption. However, the impact of these two characteristics varies widely across studies [39]. Several studies have also focused on identifying factors related to household electricity consumption and the household’s perception towards resource efficiency at home [40]. Based on the literature, the following hypothesis is proposed:
Hypothesis 1 (H1).
There is a positive relationship between housing and energy efficiency.

2.3.2. Mobility

Due to its high energy use, heavy reliance on oil products, and high emissions, the transportation sector is getting increasing attention in the consideration of climate change and sustainable development. The sustainable and energy-efficient transportation of passengers and goods has become the main concern of politicians around the world. However, transportation’s reliance on fossil fuels has resulted in it being a major contributor to greenhouse gas emissions, and it is one of the few industrial sectors where emissions are still increasing [41,42]. Eder and Nemov [43] evaluated the energy consumption levels of automobiles in various nations throughout the world and assessed the major trends in energy consumption. According to the report, transportation regulations have a direct impact on energy consumption and GHG emissions, and they can result in a significant modal shift toward more energy-efficient modes of transportation, such as public transportation, walking, and cycling [44,45,46]. Furthermore, the various behaviours of the routing schemes according to the mobility and traffic load caused a different pattern in energy consumption. Based on the literature, the following hypotheses are proposed:
Hypothesis 2 (H2).
There is a positive relationship between mobility and energy efficiency.

2.3.3. Consumption

The growth of residential sectors, as well as an increased dependence on electric appliances such as refrigerators, washing machines, air conditioning, water heaters, lights, and entertainment goods, has contributed to an increase in the use of electricity [47]. It is necessary for tropical regions to have data on the elements that affect energy consumption. This will allow for the development of specific electricity-saving strategies for reducing electricity consumption based on factors connected to the characteristics of individual households. In contrast to other sectors, such as the industrial sector, it is more difficult to limit the amount of energy that is consumed by households through the application of regulations or legislation that are applied to other sectors. This is due to the fact that families comprise individuals, and it is fairly difficult to compel individuals to comply with restrictions that are related to the consumption of energy [48]. Therefore, effective resource management at home needs to be addressed in order to guarantee that the country will be able to meet its energy requirements in the future [17]. Based on the literature, the following hypothesis is proposed:
Hypothesis 3 (H3).
There is a positive relationship between consumption and energy efficiency.

2.3.4. Diet

Every living organism has a daily energy requirement that food provides. This is due to eating a wide variety of foods. Each food group, such as beans, provides a specific amount of the fuel known as food energy (in kcal). The food has an efficiency-related indicator I in kg per kcal) and an emission factor (Efi in g CO2-eq per kilogramme) to produce the needed number of legumes [49]. Food consumption accounts for a sizable portion of indirect energy use. Mealtime activities are used as an example since the quantity of energy consumed can range from zero (preparing a cold meal) to low (microwaving food) (such as cooking using an electric oven). Choosing foods produced using less energy-intensive ways (i.e., climate-friendly agriculture) or switching to foods that provide comparable nutritional value (i.e., calorie or protein content) but release less greenhouse gas emissions are examples of indirect efficiency behaviours [10]. According to a prior study, food production accounts for a significant share of total energy consumption. For example, depending on how the borders of the energy input analysis of the food are formed, estimates of the total amount of energy used in the production of food in the United States can range from 8% to 16% (higher estimates include energy consumed by consumers who drive to buy food). Based on the literature, the following hypothesis is proposed:
Hypothesis 4 (H4).
There is a positive relationship between diet and energy efficiency.

2.3.5. Leisure Activities

Leisure activities in this study refer to indoor activities that are related to (1) relaxation, (2) distraction, or (3) increasing knowledge and spontaneous social interaction. For instance, watching television or video, listening to the radio, making recordings, and using a computer [50]. Daily human activities influence energy consumption patterns, with particular forms of energy usage behaviour forming clusters in specific spatial and temporal locations [51]. These activities can include work, home, and leisure activities, all of which have an impact on the city’s energy-saving potential in different sectors [52]. Meeting demand during peak periods in many countries necessitates the use of less efficient, more carbon-intensive generation units, making energy provision particularly costly, both economically and environmentally during these times [53]. A number of academic and policy studies have attempted to better understand which everyday activities contribute to residential peak demand, with the goal of identifying the degree of temporal flexibility that may exist when activities normally associated with energy consumption are carried out [53,54,55,56]. Based on the literature, the following hypothesis is proposed:
Hypothesis 5 (H5).
There is a positive relationship between leisure activities and energy efficiency.

2.3.6. Information

In this study, information is defined as the availability and quality of information on current energy consumption levels and trends based on metering level, the information content of utility bills, and households’ willingness and ability to analyse this information [57]. Information plays a critical role in improving energy efficiency in households. This is supported by previous studies that discovered a favourable relationship between these two aspects (information [58] and energy efficiency [59]). The information available to households, such as energy usage, energy conservation opportunities, and the energy performance of technology affects the adoption of energy-efficient devices. The extent of metering, the information content of utility bills, and families’ willingness and aptitude to analyse this information all influence the availability and quality of information on current energy usage levels and patterns [57]. Based on the literature, the following hypotheses is proposed:
Hypothesis 6 (H6).
There is positive relationship between information and energy efficiency.

3. Method

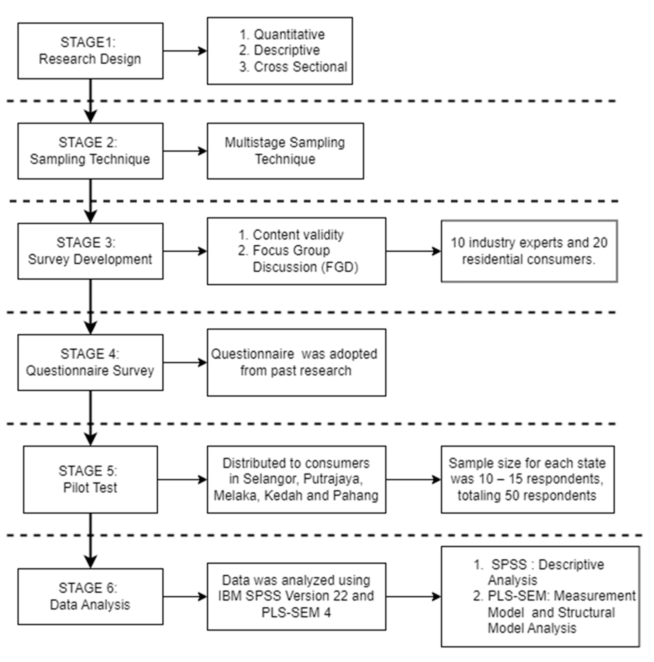
The research process flowchart is illustrated in Figure 1.

3.1. Research Design

Research design can be defined as the set of frameworks and structures used for the purpose of conducting research where it is useful to collect and analyse data to answer the research questions and solve research problems [60]. In accordance with the research objective, this study employs (1) quantitative, (2) descriptive, and (3) cross-sectional research designs to investigate energy consumption based on the residential consumers’ lifestyles.
Quantitative research places a premium on the collecting and analysis of numerical data and places an emphasis on reasonably large and representative data sets [61]. The hypotheses that were presented in the conceptualised model that addressed the objective of this research will be put to the test through the use of a survey, since the quantitative research method was used.
Descriptive analysis is provided by frequencies, measures of central tendency, and dispersion. The purpose of frequency is to demonstrate the values such as the numbers and percentages for the different categories of a single categorical variable [62]. In this study, after the samples are collected, the samples of descriptive statistics are used to make conclusions about the characteristics of the entire population [63].
Cross-sectional studies are those in which data are gathered once, during a period of days, weeks, or months [64]. Many cross-sectional studies are exploratory or descriptive in purpose [65]. This study used cross-sectional which would help in generating the hypothesis on which further research may be based on.

3.2. Sampling Technique

The sampling technique used in this study is the multistage sampling technique. In the first stage, the study area was divided into four clusters based on regions: South, Central, North, and East. In the second stage, all four clusters were then categorised based on state, in which Selangor, Putrajaya, Melaka, Kedah, and Pahang were selected randomly. In the third stage, 10 to 15 respondents were selected randomly within each state.

3.3. Survey Developments

From the very beginning, the survey instrument was developed together with the help of an expert. Establishing the content validity of a scale involves systematic but subjective assessments of a scale’s ability to measure what it is supposed to measure [66]. Content validity was established through a panel of 10 experts in the field of energy and research, who reviewed the questionnaire and made recommendations for improvement.
This panel was selected based on their experience in the field of energy, their knowledge of research work, as well as their familiarity with the subject. Based on experts’ comments and recommendations, the questionnaire was modified by eliminating vague statements, improving flow and structure, and increasing relevance and clarity. Overall, the panel’s response reveals that the instrument survey is a suitable instrument.
A focus group discussion was then conducted with research practitioners and stakeholders to further check the content of the questionnaire for relevance, clarity, and ease of completion. The results of the expert review and focus group discussion indicate that the survey instrument is a suitable tool for measuring energy efficiency in the Malaysian context.

3.4. Questionnaire Survey

The study used a survey by distributing self-administered questionnaires to residential consumers. The survey was administered to heads of households or housewives, as they are responsible for paying utility bills and managing household energy use. The data were collected through a face-to-face interview, which was preferred over other techniques such as telephonic interviews or email. This method provided the greatest scope for detailed questions and answers, according to Aborisade [67].
The study adopted measurement items for various constructs from past research, as follows: housing was adopted from Ruotsalainen et al. [4] and Kong et al. [5]; leisure activities from Bin and Dowlatabadi [6]; information from Kong et al. [5]; mobility from Feng et al. [7] and Zhang et al. [8]; consumption from Zhou and Teng [9]; diet from Zhou and Teng [9]; and energy efficiency from Gembicki [10]. The questionnaires with a Likert scale anchored on 1 “strongly disagree” and 6 “strongly agree”. The survey was divided into three sections. Section A to Section B included questions for measuring consumer lifestyles and energy efficiency, respectively, while Section C consisted of questions measuring the demographic profile of the respondents.

3.5. Pilot Study

A pilot study is a preliminary study conducted using a small sample to determine the validity, understandability, and answerability of the question [68]. The pilot study was carried out to identify any issues with the questionnaire and to make sure the participants understood the questions. The researcher met with the participants, explained the questions, and made sure they understood what the variables were. In this study, a pilot study was conducted with 50 respondents from Selangor, Putrajaya, Melaka, Kedah, and Pahang, with a sample size of 10–15 respondents per state. A comment box was provided at the end of the survey for participants to provide feedback on the questionnaire.

3.6. Data Analysis

This study used Structural Equation Modelling (SEM) with a focus on partial least squares structural equation modelling (PLS-SEM) to test the relationship between dependent and independent variables. The data analysis was conducted using a two-stage approach, and PLS-SEM was also used to test the validity and reliability of variables [69]. Reliability and validity are two important aspects of measurement in research. Reliability refers to the consistency and stability of the measurement, while validity refers to the accuracy and meaningfulness of the measurement.
In the first stage, the reliability and validity of the measurements were tested. In this case, composite reliability was used to assess the reliability of the measurements, and convergent and discriminant validity were used to assess the validity. The convergent validity was used to determine if the items measured the same concepts, while the discriminant validity was used to determine if the items were different from other constructs. The hetero-trait and mono-trait ratios (HTMT) were used to assess the discriminant validity [69]
In the second stage, the correlations of constructs of the structural model were assessed [70]. Validating the structural model can help the researcher to evaluate systematically whether the hypotheses expressed by the structural model are supported by the data [71]. The structural model results were evaluated by using path coefficients, coefficient of determination (R2), and effect size (f2), as recommended by Hair and Alamer [69] and Ramayah et al. [72].

4. Findings

4.1. Respondent Profile

The study was conducted on 50 respondents, of whom 26 were male and 24 were female. As presented in Figure 2, the average age of the respondents was between 36 to 59 years old, with 27 respondents having a Master’s/Ph.D. degree. In terms of occupation, the majority of the respondents were full-time workers (44 respondents). As for the housing area, 35 of the respondents were from urban areas, and 15 respondents were from rural areas. Out of the eight types of houses analysed in the study: bungalow, terrace, semi-detached, low-cost house, flat house, low-cost flat house, apartment/condominium, and village house. The terrace house was the highest, as there were 12 respondents who lived in a terrace house.
The focus of Figure 3 is on household income and average monthly electricity bills. A total of 30 respondents had a total household income of less than RM 5000. The average monthly electricity bills was between RM 51 and RM 100 for 15 respondents and between RM 101 and RM 250 for another 15 respondents.

4.2. Descriptive Analysis

The means and standard deviations for the variables are presented in Table 1. The mean scores for the variables on a six-point Likert scale were 3.801 and 4.955, with stand-ard deviation scores of 1.001 and 1.250 for housing, leisure activities, mobility, consumption, information, diet, and energy efficiency. The results suggest that the participants generally agreed with the survey questions, and the mean value can be used as a representative score for each item in the data set.

4.3. Measurement Model Analysis

Convergent and discriminant validity need to be established in the study before the measurement model is further tested. The outer loadings, Average Variance Extracted (AVE), and Composite Reliability (CR) are analysed in order to determine whether or not convergent validity has been achieved.
From Table 1, it was observed that all the items measuring a particular variable were greater than 0.50 on those particular variables and less than 0.50 on the other variable, thus confirming construct validity. Previous researchers suggested that the cut-off value for factor loadings should exceed 0.50 [73]. Following these criteria, items with factor loadings less than 0.50 were removed. Table 1 shows the outer loadings of all items for all variables in the initial and modified measurement model. According to these results, two items were removed from housing (P8 and P9), whereas three items were dropped from leisure activities (AKT4, AKT5, and AKT8), two items from information (SI3 and SI4), four items were removed from mobility (MO1, MO2, MO3, and MO4), four items were removed from consumption (PEE6, PEE7, PEE8, and PEE9), five items were removed from diet (D5, D6, D7, D8, and D9), and five items were removed for energy efficiency (KT7, KT8, KT9, KT10, and KT12). In total, 25 items were removed. After removing items with loading less than the recommended value, all measurement items loaded significantly between 0.564 and 0.893.
The reliability of the reflective measurement model was checked by using composite reliability. Composite reliability is preferred over Cronbach’s alpha as it takes into account different loadings for the indicators [74]. Composite reliability can be interpreted similarly to Cronbach’s alpha, with values ranging from 0 to 1, where higher values indicate higher reliability [75]. The composite reliability values reflect the level to which construct indicators reveal the latent variables, and they should be greater than 0.70 [76]. As shown in Table 1, all variables displayed composite reliability between 0.813 and 0.892, which is well above the threshold value of 0.70.
The validity of the study was assessed using convergent validity and discriminant validity. Convergent validity measures the extent to which a measure positively correlates with other measures of the same construct. The convergent validity of the constructs in this research was examined using Average Variance Extracted (AVE) values, as suggested by Fornell and Larcker (1981) [77]. AVE reflects the average variance shared between a construct and its measures relative to the amount of measurement error. As shown in Table 1, the AVE values for all variables were between 0.539 and 0.666, which are higher than the prescribed value of 0.50 [78]. This indicates that a construct explains more than 50% of the variance among the scale indicators, establishing convergent validity. Therefore, the results support the existence of convergent validity for the constructs in this study.
Table 1 summarizes each variable in the measurement model, all of which demonstrate satisfactory reliability and convergent validity.
Next, Table 2 lists the discriminant validity outcomes using the conservative heterotrait–monotrait (HTMT) ratio approach [79]. The HTMT approach shows the estimation of the true correlation between two latent variables and helps to examine the discriminant validity. A threshold value of 0.90 has been suggested, and it suggests a lack of discriminant validity if the HTMT values are above 0.90 [79]. The results in Table 2 show that the measurement model meets this criterion, as the HTMT values are below 0.90 and the confidence interval does not involve the value of 1, indicating the discriminant validity of the measurement model.

4.4. Structural Model Evaluation

The structural model in PLS-SEM was assessed after the measurement model was found to be valid and reliable. Hypotheses were tested through the structural model to answer research questions [69]. The assessment of the structural model included the significance of the path coefficients, coefficient determination (R2), and effect size (f2). Before testing the hypotheses, multicollinearity was checked by assessing the variance inflation factors (VIFs) of the exogenous variables. The result showed that the VIFs were less than 3.33, indicating no multicollinearity issues.

4.4.1. Path Coefficient

In accordance with [49], all hypotheses were tested with 5000 bootstrap samples through a one-tailed test. The PLS-bootstrapping results in Table 3 reveal that mobility (β = 0.0280, t-value = 0.143), diet (β = 0.024, t-value = 0.175), and leisure activities (β = −0.068, t-value = 0.431) each has a non-significant effect on energy efficiency. Therefore, H2, H4, and H5 are not supported. However, Table 3 also indicates a significant effect between housing (β = 0.278, t-value = 1.693), consumption (β = 0.387, t-value = 2.162), and information (β = 0.262, t-value = 1.883) on energy efficiency. As such, H1, H3, and H6 are supported.

4.4.2. Coefficient of Determination

The results from Table 4 show that customer lifestyle variables explain 63.7% of the total variance of energy efficiency, which is considered substantial according to the criteria proposed by Chin [80]. A value of R2 of 0.19 is considered weak, 0.33 is average, and a value of 0.50 R2 is considered substantial. The results from Table 4 indicate that customer lifestyle variables (housing, leisure activities, mobility, information, consumption, and diet) account for 63.7% of the total variance of energy efficiency. The model, therefore, possessed substantial explanatory power.

4.4.3. Effect Size (f2)

The evaluation of the effect size (f2) is the third criterion for assessing a structural model based on the R2 values of the independent variable. Cohen [81] stated that the f2 values of 0.020, 0.105, and 0.350 represent weak, moderate, and strong impacts, respectively. Regarding home consumer energy efficiency, consumption had an effect size of 0.035, while diet, leisure activities, and mobility each had effect sizes of 0.015, 0.019, and 0.006, indicating small effects (Refer to Table 4). Housing (effect size = 0.257) and information (effect size = 0.200) had a moderate effect on energy efficiency.

5. Discussion

In this study, a questionnaire survey was administered to investigate energy efficiency based on the energy consumption of the residential consumers’ lifestyles. The results from this study showed mixed findings for the hypotheses concerning consumer lifestyle and energy efficiency. The statistical analysis indicated that only three factors had significant effects on energy efficiency from the six consumer lifestyle behaviours: consumption, housing, and information.
The first hypothesis (H1) focuses on the relationship between housing and energy efficiency. The hypothesis aims to determine how improvements in these areas can lead to reduced energy use and increased energy efficiency, which can have positive impacts on both the environment and households. Consistent with previous research [38,39], the result indicated a positive significant relationship with (β = 0.278, t-value = 1.693). These findings also align with previous research which suggests that improved housing can have positive impacts on health and wellbeing [48]; boost development, especially in low-income countries [82]; and help achieve environmental goals through reduced energy consumption [83].
The second hypothesis (H2) is on the relationship between mobility and energy efficiency. The result is different from the finding by Gembicki [10], as it indicates as non-significant (β = 0.028, t-value = 0.143). However, more study is needed in this area as mobility and energy efficiency are closely linked as transportation is one of the major sources of energy consumption. Improving energy efficiency in transportation can greatly reduce the overall energy consumption of a household. This can be achieved through the use of fuel-efficient vehicles, public transportation, and alternative modes of transportation such as biking or walking. Encouraging low-carbon mobility options and reducing vehicle use can also help mitigate the impact of transportation on the environment.
The third hypothesis (H3) is on the relationship between consumption and energy efficiency. The result indicated a significant relationship (β = 0.387, t-value = 2.162). It is important to understand the main factors that impact household energy consumption. According to Wiesmann et al. [84], it is crucial to consider the energy sources and the energy requirements of households to gain insight into energy choices and consumption patterns. The significant relationship shows that the energy sources from the appliance characteristics (air conditioners, refrigerators, freezers, heaters, vacuums, rice cookers, kettles, irons, televisions, and other electrical appliances) are contributing factors towards energy efficiency.
The study also discusses the relationship between diet and energy efficiency as proposed in hypothesis four (H4). It is worth noting that diet has a non-significant relationship with energy efficiency (β = 0.024, t-value = 0.175). However, the results of analysis by Schwarzinger and Bird [28] indicate a significant relationship. The relationship between diet and energy efficiency can be seen in the way that the production, transportation, and preparation of food require energy inputs. Increasing energy efficiency can help to improve sustainability.
The relationship between leisure activities and energy efficiency was also tested as proposed in hypothesis five (H5). The structural model analysis indicated a non-significant relationship between leisure activities and energy efficiency (β = −0.068, t-value = 0.431). Leisure activities are an important consumer lifestyle as they could play a role in energy efficiency, as they often involve the use of energy-consuming devices such as televisions, gaming consoles, and computers. Encouraging energy-saving practices during leisure activities, such as using power-saving modes on electronics, can help reduce household energy consumption and improve energy efficiency.
Lastly, hypothesis six (H6) indicates a significant relationship between information and energy efficiency (β = 0.262, t-value = 1.883). The findings are supported by Santos and Borges [85], who, in their study, suggested that feedback and detailed information are effective ways to influence behaviour. Mills and Schleich [57] also indicated that household information on energy consumption, conservation opportunities, and the energy performance of technologies are expected to affect energy efficiency. The use of information technology and communication systems can help improve energy efficiency by enabling more effective monitoring and control of energy use, as well as facilitating the exchange in information about energy-saving practices and technologies. Additionally, the production and use of information technology also consume energy, thus there is a need for energy efficiency in the information technology sector as well.

6. Conclusions

Improving the energy efficiency of our houses is a wonderful way to minimise greenhouse gas emissions and boost thermal comfort. The study focused on the relationship between energy efficiency and consumer lifestyle behaviours in the residential sector. The results showed that only three factors (consumption, housing, and information) had a significant impact on energy efficiency. The findings suggested that Malaysia’s energy-saving policy, which emphasises the adoption of energy-saving appliances, has been effective. These results highlight the importance of consumer behaviour in driving energy efficiency and reducing greenhouse gas emissions.
The findings also indicated that three other consumer lifestyle attributes have a non-significant effect on energy efficiency: diet, leisure activities, and mobility. The outcomes of the analysis suggest the necessity of providing comparable but distinct policies or programmes to different groups in order to boost their domestic energy efficiency. In addition to extensive consumer education programmes that encourage users to shift or reduce the amount of time spent on energy-intensive activities in order to conserve energy, these resources may include the replacement of energy-intensive appliances, the promotion of energy storage devices, and the implementation of more cost-reflective tariffs.
According to the findings, residents should optimise their energy efficiency in accordance with their current energy lifestyles in order to reduce their large energy use. More research is needed, however, to understand the disparities in consumer groups’ lifestyles that affect energy efficiency. Following an assessment of residential users’ energy efficiency, energy-saving recommendations and services can be supplied to them. This can help power organisations maximise power package services based on user characteristics, support governments in formulating energy-saving and emission-reduction plans, and serve as a reference for the dispatching work of electric power companies.
The findings given in this research have several limitations that must be highlighted. For instance, as this is a pilot study with a small sample size, it can be expanded to a larger sample size in generalising the results of consumer energy lifestyles in Malaysia. Secondly, the study can use demographic factors to moderate the relationship between consumers’ energy lifestyle factors and energy efficiency.
Finally, from the literature search, this is the first study that investigates energy efficiency behaviour based on the six residential consumers’ lifestyles (housing, leisure activities, information, mobility, consumption, and diet) in Malaysia; thus, this topic deserves further research. Additionally, future studies are encouraged to expand the sample size to derive a more reliable and robust construct.

Author Contributions

Conceptualization, S.D., J.R., S.I.M., N.N.A. and W.M.T.W.A.; Methodology, S.D., J.R. and S.I.M.; Data analysis, W.N.W.H., S.D. and J.R.; Data collection, S.D., J.R., S.I.M., N.N.A., W.M.T.W.A., M.J.A., W.N.W.H., S.N.T. and H.A.A.; Writing—original draft preparation, W.N.W.H., S.N.T. and H.A.A.; Writing—review and editing, S.D., B.V.A., M.J.A. and W.N.W.H. All authors have read and agreed to the published version of the manuscript.

Funding

This research was supported by Tenaga Nasional Berhad (TNB) and UNITEN R&D Sdn Bhd (URND) through TNB seeding fund under the project code of U-TD-RD-21-09.

Data Availability Statement

Not applicable.

Conflicts of Interest

The authors declare no conflict of interest.

References

  1. Akroush, M.N.; Zuriekat, M.I.; Al Jabali, H.I.; Asfour, N.A. Determinants of purchasing intentions of energy-efficient products: The roles of energy awareness and perceived benefits. Int. J. Energy Sect. Manag. 2019, 13, 128–148. [Google Scholar] [CrossRef]
  2. Joshi, S. How Coronavirus Measures Have Changed Electricity Demand. Available online: https://www.rte.ie/brainstorm/2020/0327/1126718-ireland-electricity-coronavirus/ (accessed on 4 February 2023).
  3. Ministry of Energy, Green Technology and Water. Green Technology Master Plan Malaysia 2017–2030; Ministry of Energy, Green Technology and Water (KeTTHA): Putrajaya, Malaysia, 2017. [Google Scholar]
  4. Ruotsalainen, J.; Karjalainen, J.; Child, M.; Heinonen, S. Culture, values, lifestyles, and power in energy futures: A critical peer-to-peer vision for renewable energy. Energy Res. Soc. Sci. 2017, 34, 231–239. [Google Scholar] [CrossRef]
  5. Kong, X.; Zhu, S.; Huo, X.; Li, S.; Li, Y.; Zhang, S. A household energy efficiency index assessment method based on non-intrusive load monitoring data. Appl. Sci. 2020, 10, 3820. [Google Scholar] [CrossRef]
  6. Bin, S.; Dowlatabadi, H. Consumer lifestyle approach to US energy use and the related CO2 emissions. Energy Policy 2005, 33, 197–208. [Google Scholar] [CrossRef]
  7. Feng, Z.-H.; Zou, L.-L.; Wei, Y.-M. The impact of household consumption on energy use and CO2 emissions in China. Energy 2011, 36, 656–670. [Google Scholar] [CrossRef]
  8. Zhang, J.; Teng, F.; Zhou, S. The structural changes and determinants of household energy choices and energy consumption in urban China: Addressing the role of building type. Energy Policy 2020, 139, 111314. [Google Scholar] [CrossRef]
  9. Zhou, S.; Teng, F. Estimation of urban residential electricity demand in China using household survey data. Energy Policy 2013, 61, 394–402. [Google Scholar] [CrossRef]
  10. Gembicki, J. Energy efficiency in the agricultural and food industry illustrated with the example of the feed production plant. E3S Web Conf. 2016, 10, 00138. [Google Scholar] [CrossRef]
  11. Phrakhruopatnontakitti, P. Energy consumption, economic growth and environmental degradation in 4 Asian Countries: Malaysia, Myanmar, Vietnam and Thailand. Int. J. Energy Econ. Policy 2020, 10, 529–539. [Google Scholar] [CrossRef]
  12. Zulkifli, Z. Malaysia country report. In Proceedings of the 17th AsiaConstruct Conference, New Delhi, India, 13–15 December 2012; Energy Commission of Malaysia: Putrajaya, Malaysia, 2012; pp. 170–190. [Google Scholar]
  13. Rinkinen, J.; Shove, E.; Marsden, G. Conceptualising Demand: A Distinctive Approach to Consumption and Practice; Routledge: Oxfordshire, UK, 2020. [Google Scholar]
  14. McAndrew, R.; Mulcahy, R.; Gordon, R.; Russell-Bennett, R. Household energy efficiency interventions: A systematic literature review. Energy Policy 2021, 150, 112136. [Google Scholar] [CrossRef]
  15. Agyarko, K.A.; Opoku, R.; Van Buskirk, R. Removing barriers and promoting demand-side energy efficiency in households in Sub-Saharan Africa: A case study in Ghana. Energy Policy 2020, 137, 111149. [Google Scholar] [CrossRef]
  16. Tan, C.-S.; Ooi, H.-Y.; Goh, Y.-N. A moral extension of the theory of planned behavior to predict consumers’ purchase intention for energy-efficient household appliances in Malaysia. Energy Policy 2017, 107, 459–471. [Google Scholar] [CrossRef]
  17. Azlina, A.; Kamaludin, M.; Abdullah, E.S.Z.E.; Radam, A. Factors influencing household end-use electricity demand in Malaysia. Adv. Sci. Lett. 2016, 22, 4120–4123. [Google Scholar] [CrossRef]
  18. Abrahamse, W.; Shwom, R. Domestic energy consumption and climate change mitigation. Wiley Interdiscip. Rev. Clim. Chang. 2018, 9, e525. [Google Scholar] [CrossRef]
  19. Wang, S.S.; Zhou, D.Q.; Zhou, P.; Wang, Q. CO2 emissions, energy consumption and economic growth in China: A panel data analysis. Energy Policy 2011, 39, 4870–4875. [Google Scholar] [CrossRef]
  20. Twerefou, D.K.; Abeney, J.O. Efficiency of household electricity consumption in Ghana. Energy Policy 2020, 144, 111661. [Google Scholar] [CrossRef]
  21. Heinonen, J. The Impacts of Urban Structure and the Related Consumption Patterns on the Carbon Emissions of an Average Consumer; Aalto University: Espoo, Finland, 2012. [Google Scholar]
  22. Wiedenhofer, D.; Lenzen, M.; Steinberger, J.K. Energy requirements of consumption: Urban form, climatic and socio-economic factors, rebounds and their policy implications. Energy Policy 2013, 63, 696–707. [Google Scholar] [CrossRef]
  23. Surahman, U.; Hartono, D.; Setyowati, E.; Jurizat, A. Investigation on household energy consumption of urban residential buildings in major cities of Indonesia during COVID-19 pandemic. Energy Build. 2022, 261, 111956. [Google Scholar] [CrossRef] [PubMed]
  24. Stragier, J.; Hauttekeete, L.; De Marez, L.; Brondeel, R. Measuring energy-efficient behavior in households: The development of a standardized scale. Ecopsychology 2012, 4, 64–71. [Google Scholar] [CrossRef]
  25. Anderson, W.T., Jr.; Golden, L.L. Lifestyle and psychographics: A critical review and recommendation. Adv. Consum. Res. 1984, 11, 405–411. [Google Scholar]
  26. Schipper, L.; Bartlett, S.; Havk, D.; Vine, E. Linking life-styles and energy use: A matter of time? Annu. Rev. Energy 1989, 4, 273–320. [Google Scholar] [CrossRef]
  27. Lutzenhiser, L.; Lutzenhiser, S. Looking at lifestyle: The impacts of American ways of life on energy/resource demands and pollution patterns. In Proceedings of the 2006 ACEEE Summer Study on Energy Efficiency in Buildings, Washington, DC, USA, 13–18 August 2006. [Google Scholar]
  28. Schwarzinger, S.; Bird, D.N.; Skjølsvold, T.M. Identifying consumer lifestyles through their energy impacts: Transforming social science data into policy-relevant group-level knowledge. Sustainability 2019, 11, 6162. [Google Scholar] [CrossRef]
  29. Shove, E.; Pantzar, M.; Watson, M. The Dynamics of Social Practice: Everyday Life and How It Changes; Sage: Newcastle upon Tyne, UK, 2012. [Google Scholar]
  30. Chik, N.A.; Rahim, K.A.; Radam, A.; Shamsudin, M.N. CO2 emissions induced by households lifestyle in Malaysia. Int. J. Bus. Soc. 2013, 14, 344. [Google Scholar]
  31. Hwang, K.; Lee, B. Pride, mindfulness, public self-awareness, affective satisfaction, and customer citizenship behaviour among green restaurant customers. Int. J. Hosp. Manag. 2019, 83, 169–179. [Google Scholar] [CrossRef]
  32. Bird, D.; Schwarzinger, S.; Kortschak, D.; Strohmaier, M.; Lettmayer, G. Report: A Detailed Methodology for the Calculation of Cumulative Energy Demand per Survey Respondent; The ECHOES Consortium: Brussels, Belgium, 2019. [Google Scholar]
  33. Xie, L.; Yan, H.; Zhang, S.; Wei, C. Does urbanization increase residential energy use? Evidence from the Chinese residential energy consumption survey 2012. China Econ. Rev. 2020, 59, 101374. [Google Scholar] [CrossRef]
  34. Thøgersen, J. Housing-related lifestyle and energy saving: A multi-level approach. Energy Policy 2017, 102, 73–87. [Google Scholar] [CrossRef]
  35. Chen, J.; Wang, X.; Steemers, K. A statistical analysis of a residential energy consumption survey study in Hangzhou, China. Energy Build. 2013, 66, 193–202. [Google Scholar] [CrossRef]
  36. Matsumoto, S.; Mizobuchi, K.; Managi, S. Household energy consumption. Environ. Econ. Policy Stud. 2022, 24, 1–5. [Google Scholar] [CrossRef]
  37. Matsumoto, S. Daily Habits and Energy Consumption: Go to Bed Earlier for Environmental Protection. Eur. J. Sustain. Dev. 2019, 8, 54. [Google Scholar] [CrossRef]
  38. Frederiks, E.R.; Stenner, K.; Hobman, E.V. Household energy use: Applying behavioural economics to understand consumer decision-making and behaviour. Renew. Sustain. Energy Rev. 2015, 41, 1385–1394. [Google Scholar] [CrossRef]
  39. Urban, J.; Ščasný, M. Exploring domestic energy-saving: The role of environmental concern and background variables. Energy Policy 2012, 47, 69–80. [Google Scholar] [CrossRef]
  40. Ali, S.S.S.; Razman, M.R.; Awang, A.; Asyraf, M.; Ishak, M.; Ilyas, R.; Lawrence, R.J. Critical determinants of household electricity consumption in a rapidly growing city. Sustainability 2021, 13, 4441. [Google Scholar] [CrossRef]
  41. Creutzig, F.; Jochem, P.; Edelenbosch, O.Y.; Mattauch, L.; Vuuren, D.P.V.; McCollum, D.; Minx, J. Transport: A roadblock to climate change mitigation? Science 2015, 350, 911–912. [Google Scholar] [CrossRef] [PubMed]
  42. Businge, C.N.; Viani, S.; Pepe, N.; Borgarello, M.; Caruso, C.; Tripodi, G.; Soresinetti, S. Energy efficiency solutions for sustainable urban mobility: Case study of the Milan metropolitan area. Urban Transp. 2019, 182, 151–163. [Google Scholar]
  43. Eder, L.; Nemov, V.Y. Forecast of energy consumption of vehicles. Stud. Russ. Econ. Dev. 2017, 28, 423–430. [Google Scholar] [CrossRef]
  44. Poudenx, P. The effect of transportation policies on energy consumption and greenhouse gas emission from urban passenger transportation. Transp. Res. Part A Policy Pract. 2008, 42, 901–909. [Google Scholar] [CrossRef]
  45. Ogilvie, D.; Egan, M.; Hamilton, V.; Petticrew, M. Promoting walking and cycling as an alternative to using cars: Systematic review. BMJ 2004, 329, 763. [Google Scholar] [CrossRef]
  46. Scarinci, R.; Rast, F.; Bierlaire, M. Needed reduction in mobility energy consumption to meet the goal of a 2000-watt society. Transp. Res. Part A Policy Pract. 2017, 101, 133–148. [Google Scholar] [CrossRef]
  47. Jailani, J.; Mohamad, N.; Omar, M.A.; Hauashdh, A.; Abas, N.H. Energy Consumption Pattern of Residential Buildings: Case Study of Residential Area in Batu Pahat, Johor. Int. J. Integr. Eng. 2020, 12, 052–058. [Google Scholar] [CrossRef]
  48. Howden-Chapman, P.; Viggers, H.; Chapman, R.; O’Sullivan, K.; Barnard, L.T.; Lloyd, B. Tackling cold housing and fuel poverty in New Zealand: A review of policies, research, and health impacts. Energy Policy 2012, 49, 134–142. [Google Scholar] [CrossRef]
  49. Hadler, M.; Klösch, B.; Schwarzinger, S.; Schweighart, M.; Wardana, R.; Bird, D.N. Surveying Climate-Relevant Behavior: Measurements, Obstacles, and Implications; Springer Nature: Berlin/Heidelberg, Germany, 2022. [Google Scholar]
  50. Veal, A. Joffre Dumazedier and the definition of leisure. Loisir Et Société/Soc. Leis. 2019, 42, 187–200. [Google Scholar] [CrossRef]
  51. Fonseca, J.A.; Schlueter, A. Integrated model for characterization of spatiotemporal building energy consumption patterns in neighborhoods and city districts. Appl. Energy 2015, 142, 247–265. [Google Scholar] [CrossRef]
  52. Mohammadi, N.; Taylor, J.E. Recurrent Mobility: Urban Conduits for Diffusion of Energy Efficiency. Sci. Rep. 2019, 9, 1–12. [Google Scholar] [CrossRef] [PubMed]
  53. Lőrincz, M.J.; Ramírez-Mendiola, J.L.; Torriti, J. Impact of time-use behaviour on residential energy consumption in the United Kingdom. Energies 2021, 14, 6286. [Google Scholar] [CrossRef]
  54. Glorieux, I.; Mestdag, I.; Minnen, J. The coming of the 24-h economy? Changing work schedules in Belgium between 1966 and 1999. Time Soc. 2008, 17, 63–83. [Google Scholar] [CrossRef]
  55. Glorieux, I.; Laurijssen, I.; Minnen, J.; van Tienoven, T.P. In search of the harried leisure class in contemporary society: Time-use surveys and patterns of leisure time consumption. J. Consum. Policy 2010, 33, 163–181. [Google Scholar] [CrossRef]
  56. Hellgren, M. Extracting more knowledge from time diaries? Soc. Indic. Res. 2014, 119, 1517–1534. [Google Scholar] [CrossRef]
  57. Mills, B.; Schleich, J. Residential energy-efficient technology adoption, energy conservation, knowledge, and attitudes: An analysis of European countries. Energy Policy 2012, 49, 616–628. [Google Scholar] [CrossRef]
  58. Ek, K.; Söderholm, P. The devil is in the details: Household electricity saving behavior and the role of information. Energy Policy 2010, 38, 1578–1587. [Google Scholar] [CrossRef]
  59. Hori, S.; Kondo, K.; Nogata, D.; Ben, H. The determinants of household energy-saving behavior: Survey and comparison in five major Asian cities. Energy Policy 2013, 52, 354–362. [Google Scholar] [CrossRef]
  60. Akhtar, D.M.I. Research design. In Research in Social Science: Interdisciplinary Perspectives; 2016; Available online: https://papers.ssrn.com/sol3/papers.cfm?abstract_id=2862445 (accessed on 4 February 2023).
  61. Blaxter, L.; Hughes, C.; Tight, M. How to Research; McGraw-Hill Education: Maidenhead, UK, 2010. [Google Scholar]
  62. Zikmund, W.G.; Babin, B.J.; Carr, J.C.; Griffin, M. Business Research Methods, 7th ed.; Thomson/South-Western: Mason, OH, USA, 2003. [Google Scholar]
  63. Zikmund, W.G.; Babin, B.J.; Carr, J.C.; Griffin, M. Business Research Methods, 9th ed.; Cengage Learning: Boston, MA, USA, 2013. [Google Scholar]
  64. Sekaran, U.; Bougie, R. Research Methods for Business: A Skill Building Approach; John Wiley & Sons: Hoboken, NJ, USA, 2016. [Google Scholar]
  65. Ghauri, P.; Gronhaug, K. Research Methods in Business Studies: A Practical Guide; Pearson Education: London, UK, 2005. [Google Scholar]
  66. Netemeyer, R.G.; Boles, J.S.; McMurrian, R. Development and validation of work–family conflict and family–work conflict scales. J. Appl. Psychol. 1996, 81, 400. [Google Scholar] [CrossRef]
  67. Aborisade, O.P. Data collection and new technology. Int. J. Emerg. Technol. Learn. 2013, 8, 48. [Google Scholar] [CrossRef]
  68. Van Teijlingen, E.; Hundley, V. The importance of pilot studies. Nurs. Stand. 2002, 16, 33. [Google Scholar] [CrossRef]
  69. Hair, J.; Alamer, A. Partial Least Squares Structural Equation Modeling (PLS-SEM) in second language and education research: Guidelines using an applied example. Res. Methods Appl. Linguist. 2022, 1, 100027. [Google Scholar] [CrossRef]
  70. Hair, J.F.; Risher, J.J.; Sarstedt, M.; Ringle, C.M. When to use and how to report the results of PLS-SEM. Eur. Bus. Rev. 2019, 31, 2–24. [Google Scholar] [CrossRef]
  71. Urbach, N.; Ahlemann, F. Structural equation modeling in information systems research using partial least squares. J. Inf. Technol. Theory Appl. 2010, 11, 5–40. [Google Scholar]
  72. Ramayah, T.; Cheah, J.; Chuah, F.; Ting, H.; Memon, M. Partial least squares structural equation modeling (PLS-SEM) using SmartPLS 3.0. In An Updated Guide and Practical Guide to Statistical Analysis; Pearson: London, UK, 2018. [Google Scholar]
  73. Hair, J.F.; Ringle, C.M.; Sarstedt, M. Partial least squares structural equation modeling: Rigorous applications, better results and higher acceptance. Long Range Plan. 2013, 46, 1–12. [Google Scholar] [CrossRef]
  74. Henseler, J.; Ringle, C.M.; Sinkovics, R.R. The Use of Partial Least Squares Path Modeling in International Marketing. In Advances in International Marketing; Sinkovics, R.R., Ghauri, P.N., Eds.; Emerald Bingley: Bingley, UK, 2009; Volume 20, pp. 277–320. [Google Scholar]
  75. Hair, J.F.; Sarstedt, M.; Hopkins, L.; Kuppelwieser, V.G. Partial least squares structural equation modeling (PLS-SEM). Eur. Bus. Rev. 2014, 26, 106–121. [Google Scholar] [CrossRef]
  76. Bagozzi, R.P.; Yi, Y. On the use of structural equation models in experimental designs. J. Mark. Res. 1989, 26, 271–284. [Google Scholar] [CrossRef]
  77. Fornell, C.; Larcker, D.F. Evaluating structural equation models with unobservable variables and measurement error. J. Mark. Res. 1981, 18, 39–50. [Google Scholar] [CrossRef]
  78. Hair, J.F.; Howard, M.C.; Nitzl, C. Assessing measurement model quality in PLS-SEM using confirmatory composite analysis. J. Bus. Res. 2020, 109, 101–110. [Google Scholar] [CrossRef]
  79. Henseler, J.; Ringle, C.M.; Sarstedt, M. A new criterion for assessing discriminant validity in variance-based structural equation modeling. J. Acad. Mark. Sci. 2015, 43, 115–135. [Google Scholar] [CrossRef]
  80. Chin, W.W. How to write up and report PLS analyses. In Handbook of Partial Least Squares; Springer: Berlin/Heidelberg, Germany, 2010; pp. 655–690. [Google Scholar]
  81. Cohen, J. A power primer. Psychol. Bull. 1992, 112, 155. [Google Scholar] [CrossRef]
  82. Aldieri, L.; Gatto, A.; Vinci, C.P. Evaluation of energy resilience and adaptation policies: An energy efficiency analysis. Energy Policy 2021, 157, 112505. [Google Scholar] [CrossRef]
  83. Haines, V.; Mitchell, V.; Mallaband, B. Using a Practice-Orientated Approach to Inform the Design of Energy Efficiency Measures for Older Homes; Loughborough University: Loughborough, UK, 2010. [Google Scholar]
  84. Wiesmann, D.; Azevedo, I.L.; Ferrão, P.; Fernández, J.E. Residential electricity consumption in Portugal: Findings from top-down and bottom-up models. Energy Policy 2011, 39, 2772–2779. [Google Scholar] [CrossRef]
  85. Santos, J.; Borges, A.S.; Domingos, T. Exploring the links between total factor productivity and energy efficiency: Portugal, 1960–2014. Energy Econ. 2021, 101, 105407. [Google Scholar] [CrossRef]
Figure 1. Research Process.
Figure 1. Research Process.
Energies 16 03514 g001
Figure 2. Respondent profile (a) gender, (b) age, (c) area, (d) occupation, (e) education level, and (f) type of house.
Figure 2. Respondent profile (a) gender, (b) age, (c) area, (d) occupation, (e) education level, and (f) type of house.
Energies 16 03514 g002
Figure 3. Respondent profile (a) household income and (b) average monthly electricity bills.
Figure 3. Respondent profile (a) household income and (b) average monthly electricity bills.
Energies 16 03514 g003
Table 1. Measurement Model—Reliability and Convergent Validity Result.
Table 1. Measurement Model—Reliability and Convergent Validity Result.
VariableItem CodeInitial ModelModified ModelMSDCRAVE
HousingP10.5470.5644.8141.0330.8440.539
P20.6540.673
P30.5890.594
P40.7400.742
P50.7010.707
P60.5880.568
P70.7030.704
P80.309Deleted
P90.430Deleted
MobilityMO10.248Deleted3.8011.2500.8130.568
MO20.353Deleted
MO30.612Deleted
MO40.650Deleted
MO50.6030.557
MO60.7310.774
MO70.7150.725
MO80.7590.725
MO90.5640.582
ConsumptionPEE10.6450.6044.9551.0010.8310.599
PEE20.5700.648
PEE30.7690.759
PEE40.8050.757
PEE50.6140.659
PEE60.430Deleted
PEE70.555Deleted
PEE80.290Deleted
PEE90.308Deleted
DietD10.8770.8934.5281.0940.8860.666
D20.9070.872
D30.7050.765
D40.6760.707
D50.511Deleted
D60.551Deleted
D70.538Deleted
D80.178Deleted
D90.311Deleted
Leisure ActivitiesAKT10.6800.6984.2141.2280.8630.577
AKT20.7180.707
AKT30.6000.577
AKT40.375Deleted
AKT50.427Deleted
AKT60.8000.775
AKT70.6060.611
AKT80.247Deleted
AKT90.7560.758
AKT100.6540.669
Information SI10.8370.8454.3921.1870.8920.547
SI20.8470.832
SI30.390Deleted
SI40.356Deleted
SI50.7730.758
SI60.6090.573
SI70.6310.683
SI80.6140.664
SI90.7350.746
Energy EfficiencyKT10.7070.7014.4951.0950.8770.514
KT20.8070.807
KT30.7330.736
KT40.5930.599
KT50.7160.726
KT60.6210.633
KT70.524Deleted
KT80.489Deleted
KT90.396Deleted
KT100.178Deleted
KT110.5930.602
KT120.551Deleted
Note: M = Mean, SD = Standard Deviation, CR = Composite Reliability, AVE = Average Variance Extracted.
Table 2. Discriminant Validity Results—HTMT.
Table 2. Discriminant Validity Results—HTMT.
ConsumptionDietEnergy
Efficiency
HousingInformationLeisure ActivitiesMobility
Consumption
Diet0.561
Energy Efficiency0.8810.365
Housing0.7760.4730.705
Information0.7300.2130.6670.474
Leisure Activities0.4770.6630.3210.6190.337
Mobility0.7670.4830.7540.8310.6470.544
Table 3. Path coefficient and Hypotheses.
Table 3. Path coefficient and Hypotheses.
Path Coefficients  ( β ) Standard Deviationt-ValueDecision
H1: Housing -> Energy Efficiency0.2780.1641.693Accepted
H2: Mobility -> Energy Efficiency0.0280.1960.143Rejected
H3: Consumption -> Energy Efficiency0.3870.1792.162Accepted
H4: Diet -> Energy Efficiency0.0240.1360.175Rejected
H5: Leisure Activities -> Energy Efficiency−0.0680.1580.431Rejected
H6: Information -> Energy Efficiency0.2620.1391.883Accepted
Table 4. VIF, f2, and R2 Results.
Table 4. VIF, f2, and R2 Results.
VIFf2R2
Housing 2.0970.2570.637
Mobility 2.2720.006
Consumption 2.7840.035
Diet 1.7960.015
Leisure Activities1.8030.019
Information 1.7000.200
Disclaimer/Publisher’s Note: The statements, opinions and data contained in all publications are solely those of the individual author(s) and contributor(s) and not of MDPI and/or the editor(s). MDPI and/or the editor(s) disclaim responsibility for any injury to people or property resulting from any ideas, methods, instructions or products referred to in the content.

Share and Cite

MDPI and ACS Style

Daud, S.; Wan Hanafi, W.N.; Ayodele, B.V.; Rajadurai, J.; Mustapa, S.I.; Ahmad, N.N.; Wan Abdullah, W.M.T.; Toolib, S.N.; Asha’ari, M.J.; Afsarizal, H.A. Residential Consumers’ Lifestyle Energy Usage and Energy Efficiency in Selected States in Malaysia. Energies 2023, 16, 3514. https://doi.org/10.3390/en16083514

AMA Style

Daud S, Wan Hanafi WN, Ayodele BV, Rajadurai J, Mustapa SI, Ahmad NN, Wan Abdullah WMT, Toolib SN, Asha’ari MJ, Afsarizal HA. Residential Consumers’ Lifestyle Energy Usage and Energy Efficiency in Selected States in Malaysia. Energies. 2023; 16(8):3514. https://doi.org/10.3390/en16083514

Chicago/Turabian Style

Daud, Salina, Wan Noordiana Wan Hanafi, Bamidele Victor Ayodele, Jegatheesan Rajadurai, Siti Indati Mustapa, Nurul Nadiah Ahmad, Wan Mohammad Taufik Wan Abdullah, Siti Norhidayah Toolib, Maryam Jamilah Asha’ari, and Harni Aziera Afsarizal. 2023. "Residential Consumers’ Lifestyle Energy Usage and Energy Efficiency in Selected States in Malaysia" Energies 16, no. 8: 3514. https://doi.org/10.3390/en16083514

APA Style

Daud, S., Wan Hanafi, W. N., Ayodele, B. V., Rajadurai, J., Mustapa, S. I., Ahmad, N. N., Wan Abdullah, W. M. T., Toolib, S. N., Asha’ari, M. J., & Afsarizal, H. A. (2023). Residential Consumers’ Lifestyle Energy Usage and Energy Efficiency in Selected States in Malaysia. Energies, 16(8), 3514. https://doi.org/10.3390/en16083514

Note that from the first issue of 2016, this journal uses article numbers instead of page numbers. See further details here.

Article Metrics

Back to TopTop