Developing a Reactivity-Equivalent Physical Transformation to Simulate an Axially Heterogeneous Boiling Water Reactor
Abstract
1. Introduction
2. Code Descriptions
3. Model Descriptions for BWR Burnup Calculations
3.1. RBWR-Analogue Radial Pin-Cell Model
3.2. Axial Uranium Breeder Pin/Burnup
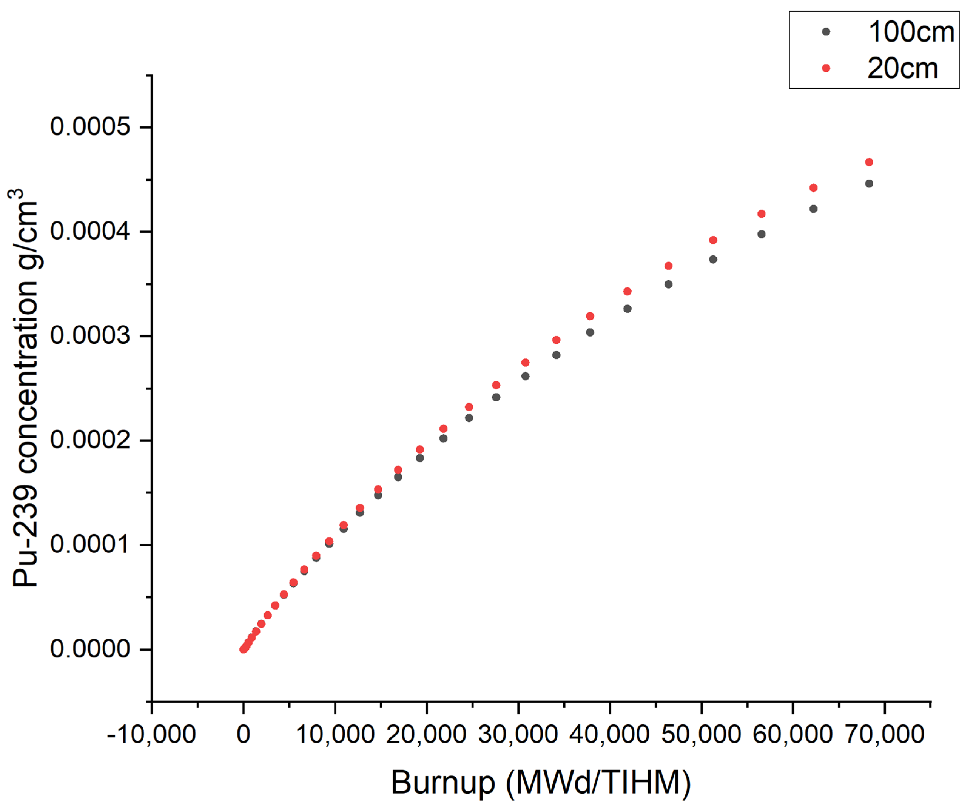
3.3. Spatial Self-Shielding Effect
3.4. Monte Carlo Validation
4. Results and Discussion
4.1. Producing the Equivalence Model
4.1.1. Effective Multiplication Factor
4.1.2. Spectral Comparison
4.2. Applying the Equivalence Model
4.3. Reapplying the Results to a Full Assembly Model
4.4. Validation Results
5. Discussion and Conclusions
Author Contributions
Funding
Data Availability Statement
Conflicts of Interest
References
- Merk, B.; Litskevich, D.; Bankhead, M. iMAGINE-A disruptive change to nuclear or how can we make more out of the existing spent nuclear fuel and what has to be done to make it possible in the UK? ATW Int. J. Nucl. Power 2019, 64, 353–359. [Google Scholar]
- Merk, B.; Litskevich, D.; Whittle, K.; Bankhead, M.; Taylor, R.; Mathers, D. On a Long Term Strategy for the Success of Nuclear Power. Energies 2017, 10, 867. [Google Scholar] [CrossRef]
- Kito, K.; Hino, T.; Matsumura, K.; Matsuura, M. Hitachi’s Vision for Nuclear Power and Development of New Reactors. Hitachi’s Nucl. Power Bus. 2020, 69, 156–162. [Google Scholar]
- Hino, T.; Nagayoshi, T.; Mitsuyasu, T.; Ohtsuka, M.; Moriya, K. Development of RBWR (Resource-renewable BWR) for Recycling and Transmutation of Transuranium Elements (1)—Overview and core concept. In Proceedings of the ICAPP2015, Nice, France, 3–6 May 2015. [Google Scholar]
- Hino, T.; Miwa, J.; Mitsuyasu, T.; Ishii, Y.; Ohtsuka, M.; Moriya, K.; Shirvan, K.; Seker, V.; Hall, A.; Downar, T.; et al. Core Design and Analysis of Axially Heterogeneous Boiling Water Reactor for burning Transuranium Elements. Nucl. Sci. Eng. 2017, 187, 213–239. [Google Scholar] [CrossRef]
- Hino, T.; Miwa, J.; Murakami, Y.; Mitsuyasu, T.; Soneda, H.; Lindley, B.; Tollit, B.; Smith, P.; Shirvan, K.; Downar, T.; et al. Core Design of RBWR (Resource-renewable Boiling Water Reactor) and Benchmark Calculation of Core Analysis Tools. In Proceedings of the ICAPP2019, Juan-les-Pins, France, 12–15 May 2019. [Google Scholar]
- Hino, T. Research needs for BWR core and core analysis. In Proceedings of the Conference and Workshop on the Research Needs of Boiling Water Reactors, Bangor, UK, 25–27 October 2016. [Google Scholar]
- Lui, Y. A Full Core Resonance Self-Shielding Method Accounting for Temperature-Independent Fuel Subregions and Resonance Interference. Ph.D. Thesis, University of Michigan, Ann Arbor, MI, USA, 2015. [Google Scholar]
- Kim, T.; Yang, W.; Taiwo, T.; Smith, M. Preliminary assessment of lattice physics capabilities for VHTR analysis. In Proceedings of the ANS Winter Meeting, Washington, DC, USA, 14–18 November 2004. [Google Scholar]
- Kim, Y.; Baek, M. Elimination of double-heterogeneity through a reactivity-equivalent physical transformation. In Proceedings of the International Conference on Nuclear Energy Systems for Future Generation and Global Sustainability, Tsukuba, Japan, 9–13 October 2005. [Google Scholar]
- Noh, J.; Kim, K.; Kim, Y.; Lee, H. Development of a computer code system for the analysis of prism and pebble type VHTR cores. Ann. Nucl. Energy 2008, 35, 1919–1928. [Google Scholar] [CrossRef]
- Rohde, U.; Merk, B.; Baier, S.; Fridman, E.; Dürigen, S.; Kliem, S.; Weiss, F. Development of a reactor dynamics code for block-type HTR at Forschungszentrum Dresden-Rossendorf. In Proceedings of the Fachtag der KTG: “Aktuelle Themen der Reaktorsicherheitsforschung in Deutschland”, Dresden, Germany, 7–8 October 2010. [Google Scholar]
- Kim, Y.; Kim, K.; Noh, J. Preservation of Fuel Characteristics in the RPT Method. In Proceedings of the Spring Meeting of the Korean Nuclear Society, Gapyoung, Republic of Korea, 22 December 2006. [Google Scholar]
- Miwa, J.; Hino, T.; Mitsuyasu, T.; Nagaya, Y. Whole-core Monte Carlo burnup calculation for RBWR by parallel computing. In Proceedings of the Joint International Conference on Supercomputing in Nuclear Applications + Monte Carlo 2020, Chiba, Japan, 18–22 May 2020. [Google Scholar]
- Fridman, E.; Merk, B. Modification of the Reactivity Equivalent Physical Transformation Method for HTGR Fuel Element Analysis. In Proceedings of the 5th International Topical Meeting on High Temperature Reactor Technology, Prague, Czech Republic, 18–20 October 2010. [Google Scholar]
- Rearden, B.; Jessee, M. SCALE Code System, Manual; Oak Ridge National Laboratory: Oak Ridge, TN, USA, 2017.
- Lynch, S. Reactivity-Equivalent Physical Transformation Model or Pin Cell Arrays. Bachelor’s Thesis, Massachusetts Institute of Technology, Cambridge, MA, USA, 2010. [Google Scholar]
- Goluoglu, S.; Williams, M.L. Modeling Doubly Heterogeneous Systems in SCALE. Trans. Am. Nucl. Soc. 2005, 93, 963–965. [Google Scholar]
- Rohde, U.; Baier, S.; Duerigan, S.; Fridman, E.; Kliem, S.; Merk, B. Development and verification of the coupled 3D neutron kinetics/thermal-hydraulics code DYN3D-HTR for the simulation of transients in block-type HTGR. Nucl. Eng. Des. 2012, 251, 412–422. [Google Scholar] [CrossRef]
- Baldova, D. Feasibility Study on High-Conversion Th-U233 Fuel Cycle for Current Generation of PWRs. Ph.D. Thesis, Czech Technical University in Prague, Prague, Czech Republic, 2014. [Google Scholar]
- Lou, L.; Chai, X.; Yao, D.; Peng, X.; Chen, L.; Li, M.; Yu, Y.; Wang, L. Research of ring RPT method on spherical and cylindrical Double-Heterogeneous systems. Ann. Nucl. Energy 2020, 147, 107741. [Google Scholar] [CrossRef]
- Kulikowska, T. Reactor Lattice Codes; Lecture; Institute of Atomic Energy: Otwock, Poland, 2000. [Google Scholar]
- Downar, T.; Hall, A.; Jabaay, D.; Ward, A.; Greenspan, E.; Ganda, F.; Bartoloni, F.; Bergmann, R.; Varela, C.; DiSanzo, C. Technical Evaluation of the HITACHI Resource—Renewable BWR (RBWR) Design Concept; Technical Report; Electric Power Research Institute: Palo Alto, CA, USA, 2012. [Google Scholar]


















| Parameter | Data |
|---|---|
| Fuel radius, mm | 3.00 |
| Zircaloy clad radius, mm | 3.60 |
| Pitch, mm | 9.10 |
| Fuel temperature, K Natural Zr clad and moderator temperature, K | 850 620 |
| Fuel enrichment, wt% | 20 |
| Fuel density, g/cm3 | 10.2540 |
| Moderator densities, g/cm3 | 0.3–0.7 |
| Parameter | Data |
|---|---|
| Modified Fuel radius | To be determined |
| Modified Zircaloy clad radius | To be determined |
| Pitch, mm | 9.10 |
| Fuel temperature, K Natural Zr clad and moderator temperature, K | 850 620 |
| Fuel enrichment, wt% | 20 |
| Axial region size for self-shielding calculation, cm | 10 |
| Calculated region sizes of seed/blanket structure, cm | 20/100 |
| Region sizes for water density distribution, cm | 100 |
Disclaimer/Publisher’s Note: The statements, opinions and data contained in all publications are solely those of the individual author(s) and contributor(s) and not of MDPI and/or the editor(s). MDPI and/or the editor(s) disclaim responsibility for any injury to people or property resulting from any ideas, methods, instructions or products referred to in the content. |
© 2023 by the authors. Licensee MDPI, Basel, Switzerland. This article is an open access article distributed under the terms and conditions of the Creative Commons Attribution (CC BY) license (https://creativecommons.org/licenses/by/4.0/).
Share and Cite
Mossop, R.; Merk, B.; Patel, M.; Hino, T.; Peakman, A. Developing a Reactivity-Equivalent Physical Transformation to Simulate an Axially Heterogeneous Boiling Water Reactor. Energies 2023, 16, 3359. https://doi.org/10.3390/en16083359
Mossop R, Merk B, Patel M, Hino T, Peakman A. Developing a Reactivity-Equivalent Physical Transformation to Simulate an Axially Heterogeneous Boiling Water Reactor. Energies. 2023; 16(8):3359. https://doi.org/10.3390/en16083359
Chicago/Turabian StyleMossop, Robert, Bruno Merk, Maulik Patel, Tetsushi Hino, and Aiden Peakman. 2023. "Developing a Reactivity-Equivalent Physical Transformation to Simulate an Axially Heterogeneous Boiling Water Reactor" Energies 16, no. 8: 3359. https://doi.org/10.3390/en16083359
APA StyleMossop, R., Merk, B., Patel, M., Hino, T., & Peakman, A. (2023). Developing a Reactivity-Equivalent Physical Transformation to Simulate an Axially Heterogeneous Boiling Water Reactor. Energies, 16(8), 3359. https://doi.org/10.3390/en16083359

