Hydrothermal Carbonization of Corn Stover: Structural Evolution of Hydro-Char and Degradation Kinetics
Abstract
1. Introduction
2. Materials and Methods
2.1. Methodology
2.2. Materials, Pre-Treatment and Characterization of Corn Stover
2.3. Experimental Apparatus and Procedures
2.4. Characterization of Hydro-Char
2.4.1. Proximate, Ultimate and Elemental Analysis of Hydro-Char
2.4.2. Thermogravimetric, Morphological and Crystalline Analysis of Hydro-Char
2.5. Material Balances and Yields of Reaction Products
2.6. Degradation Kinetics of Corn Stover
3. Results
3.1. Thermogravimetric, Morphological and Mineralogical Characterization of Hydro-Char
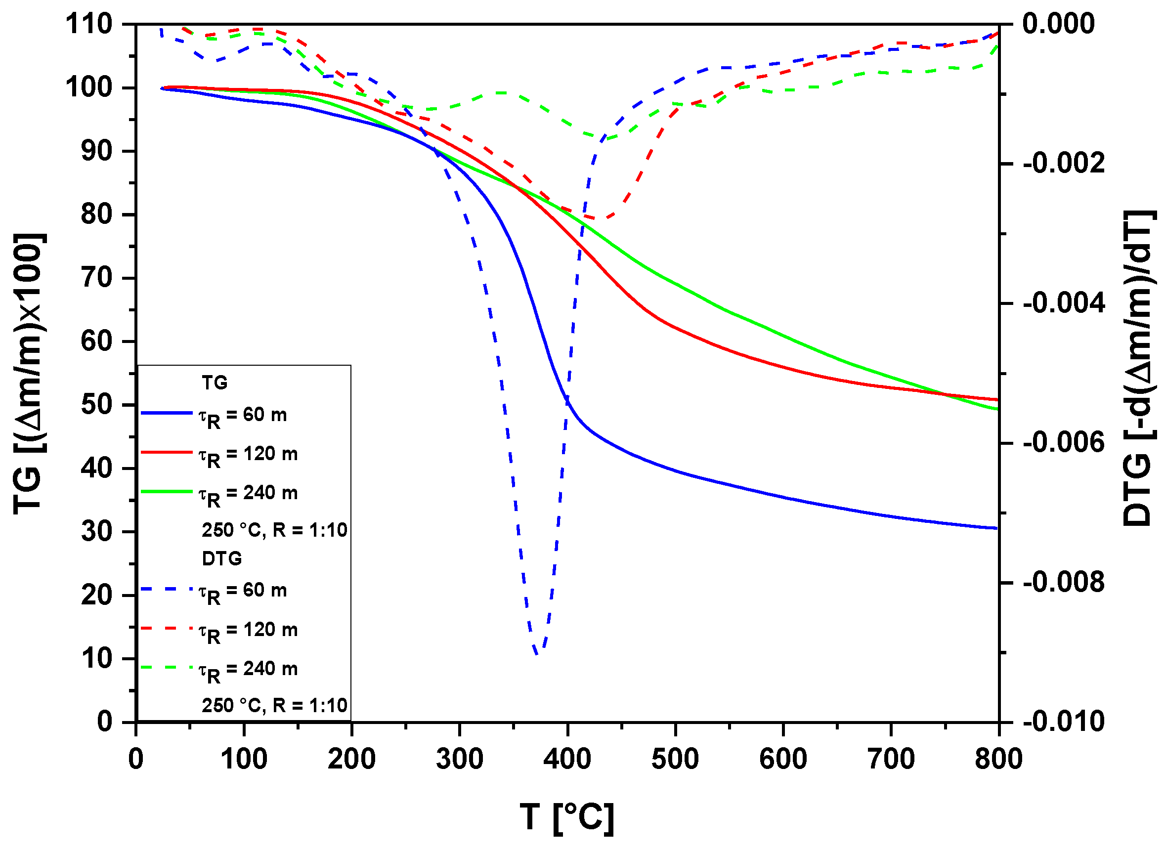
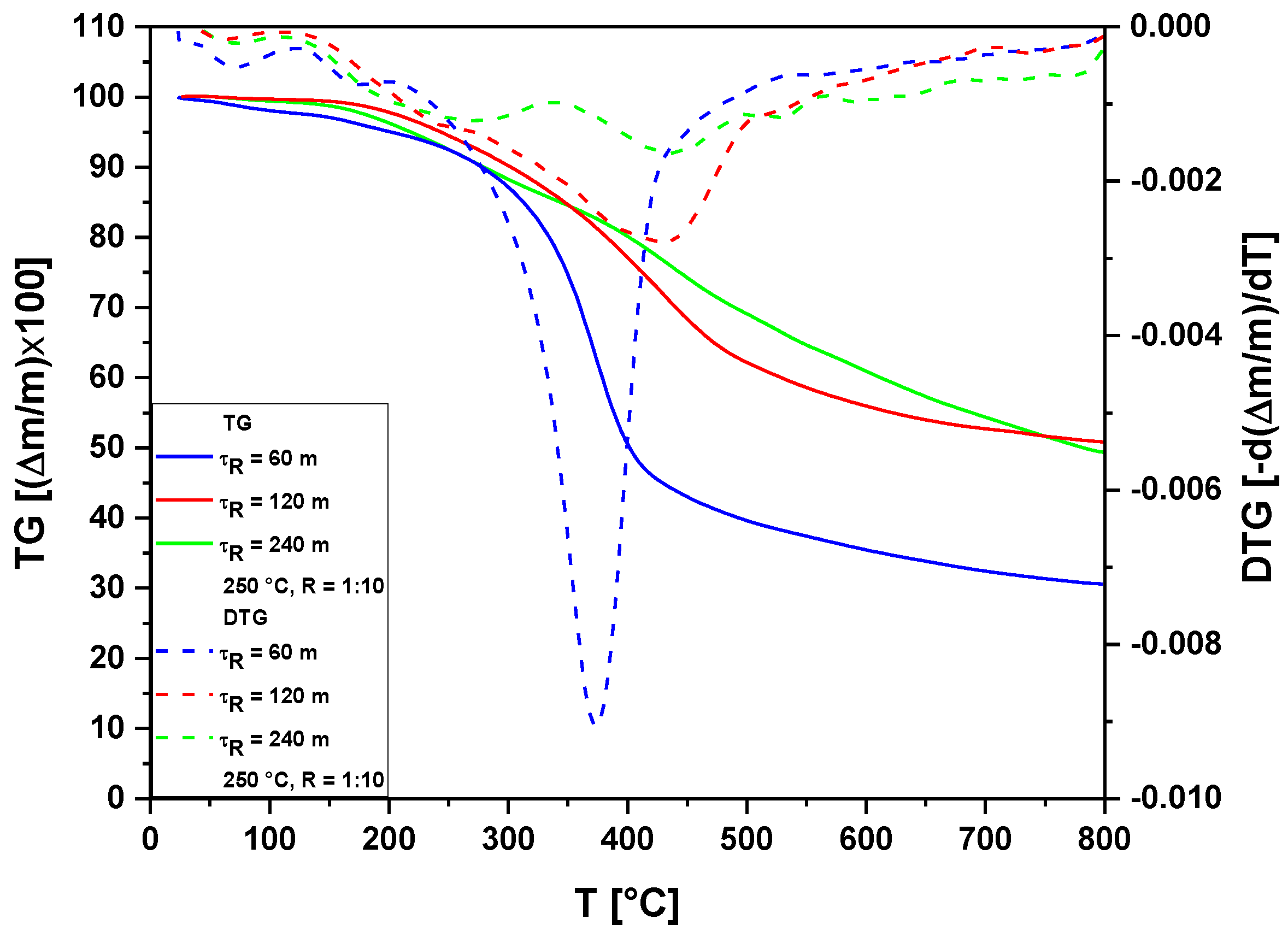
3.1.1. Thermogravimetric Analysis (TG/DTG)
Influence of Reaction Time
Influence of Biomass-to-H2O Ratio
3.1.2. Scanning Electron Microscopy
Influence of Reaction Time
Influence of Biomass-to-H2O Ratio
3.1.3. Energy Dispersive X-ray Spectroscopy
3.1.4. X-ray Diffraction
3.1.5. Surface Area Analysis
3.1.6. Proximate, Ultimate and Elemental Analysis of Hydro-Char
3.2. Process Parameters, Mass Balances and Yields of Reaction Products
3.2.1. Influence of Reaction Time
3.2.2. Influence of Biomass-to-H2O Ratio
3.2.3. Degradation Kinetics of Corn Stover
4. Conclusions
Supplementary Materials
Author Contributions
Funding
Data Availability Statement
Acknowledgments
Conflicts of Interest
References
- Paes, M.C.D.; Teixeira, F.F.; Martins, I.S. Composição Química da Palha de Milho com Qualidade para Artesanato. Available online: https://www.alice.cnptia.embrapa.br/alice/bitstream/doc/491365/1/Composicaoquimica.pdf (accessed on 6 December 2022).
- Chundawat, S.P.; Venkatesh, B.; Dale, B.E. Effect of particle size based separation of milled corn stover on AFEX pretreatment and enzymatic digestibility. Biotechnol. Bioeng. 2006, 96, 219–231. [Google Scholar] [CrossRef] [PubMed]
- Global Corn Production in 2021/2022 by Country. Available online: https://www.statista.com/statistics/254292/global-corn-production-by-country/ (accessed on 6 December 2022).
- Salazar, R.F.S.; Silva, G.L.P.; Silva, M.L.C.P. Estudo da Composição da Palha de Milho Para Posterior Utilização Como Suporte na Preparação de Compósitos. In Proceedings of the VI Congresso Brasileiro de Engenharia Química em Iniciação Científica, 2005, UNICAMP. Available online: https://docplayer.com.br/53288584-Estudo-da-composicao-da-palha-de-milho-para-posterior-utilizacao-como-suporte-na-preparacao-de-compositos.html (accessed on 6 December 2022).
- Machado, N.; Castro, D.; Queiroz, L.; Santos, M.; Costa, C. Production and Characterization of Energy Materials with Adsorbent Properties by Hydrothermal Processing of Corn Stover with Subcritical H2O. J. Appl. Solut. Chem. Model. 2016, 5, 117–130. [Google Scholar] [CrossRef]
- Machado, N.; de Castro, D.; Santos, M.; Araújo, M.; Lüder, U.; Herklotz, L.; Werner, M.; Mumme, J.; Hoffmann, T. Process analysis of hydrothermal carbonization of corn Stover with subcritical H2O. J. Supercrit. Fluids 2018, 136, 110–122. [Google Scholar] [CrossRef]
- Costa, M.E.G.; Assunção, F.P.D.C.; Teribele, T.; Pereira, L.M.; de Castro, D.A.R.; Santo, M.C.; da Costa, C.E.F.; Shultze, M.; Hofmann, T.; Machado, N.T. Characterization of Bio-Adsorbents Produced by Hydrothermal Carbonization of Corn Stover: Application on the Adsorption of Acetic Acid from Aqueous Solutions. Energies 2021, 14, 8154. [Google Scholar] [CrossRef]
- Funke, A.; Ziegler, F. Hydrothermal carbonization of biomass: A summary and discussion of chemical mechanisms for process engineering. Biofuels Bioprod. Biorefin. 2010, 4, 160–177. [Google Scholar] [CrossRef]
- Becker, R.; Dorgerloh, U.; Paulke, E.; Mumme, J.; Nehls, I. Hydrothermal Carbonization of Biomass: Major Organic Components of the Aqueous Phase. Chem. Eng. Technol. 2014, 37, 511–518. [Google Scholar] [CrossRef]
- Libra, J.A.; Ro, K.S.; Kammann, C.; Funke, A.; Berge, N.D.; Neubauer, Y.; Titirici, M.-M.; Fühner, C.; Bens, O.; Kern, J.; et al. Hydrothermal carbonization of biomass residuals: A comparative review of the chemistry, processes and applications of wet and dry pyrolysis. Biofuels 2011, 2, 71–106. [Google Scholar] [CrossRef]
- Oliveira, I.; Blöhse, D.; Ramke, H.-G. Hydrothermal carbonization of agricultural residues. Bioresour. Technol. 2013, 142, 138–146. [Google Scholar] [CrossRef]
- Reza, M.T.; Wirth, B.; Lüder, U.; Werner, M. Behavior of selected hydrolyzed and dehydrated products during hydrothermal carbonization of biomass. Bioresour. Technol. 2014, 169, 352–361. [Google Scholar] [CrossRef]
- Liu, Z.; Balasubramanian, R. Upgrading of waste biomass by hydrothermal carbonization (HTC) and low temperature pyrolysis (LTP): A comparative evaluation. Appl. Energy 2014, 114, 857–864. [Google Scholar] [CrossRef]
- Hoekman, S.K.; Broch, A.; Robbins, C.; Zielinska, B.; Felix, L. Hydrothermal carbonization (HTC) of selected woody and herbaceous biomass feedstocks. Biomass Convers. Biorefinery 2012, 3, 113–126. [Google Scholar] [CrossRef]
- Silva, C.D.M.S.D.; de Castro, D.A.R.; Santos, M.C.; Almeida, H.D.S.; Schultze, M.; Lüder, U.; Hoffmann, T.; Machado, N.T. Process Analysis of Main Organic Compounds Dissolved in Aqueous Phase by Hydrothermal Processing of Açaí (Euterpe oleraceae, Mart.) Seeds: Influence of Process Temperature, Biomass-to-Water Ratio, and Production Scales. Energies 2021, 14, 5608. [Google Scholar] [CrossRef]
- Fuertes, A.B.; Arbestain, M.C.; Sevilla, M.; Maciá-Agulló, J.A.; Fiol, S.; López, R.; Smernik, R.J.; Aitkenhead, W.P.; Arce, F.; Macias, F. Chemical and structural properties of carbonaceous products obtained by pyrolysis and hydrothermal carbonization of corn stover. Aust. J. Soil Res. 2010, 48, 618–626. [Google Scholar] [CrossRef]
- Xiao, L.-P.; Shi, Z.-J.; Xu, F.; Sun, R.-C. Hydrothermal carbonization of lignocellulosic biomass. Bioresour. Technol. 2012, 118, 619–623. [Google Scholar] [CrossRef] [PubMed]
- Reza, M.T. Upgrading Biomass by Hydrothermal and Chemical Conditioning. Ph.D. Thesis, University of Nevada, Reno, NV, USA, May 2013. Available online: https://www.researchgate.net/publication/245455351_Upgrading_Biomass_by_Hydrotherma_and_Chemical_Conditioning (accessed on 6 December 2022).
- Reza, M.T.; Lynam, J.; Uddin, M.H.; Coronella, C.J. Hydrothermal carbonization: Fate of inorganics. Biomass Bioenergy 2013, 49, 86–94. [Google Scholar] [CrossRef]
- Kang, K.; Sonil, N.; Guotao, S.; Ling, Q.; Yongqing, G.; Tianle, Z.; Mingqiang, Z.; Runcang, S. Microwave assisted hydrothermal carbonization of corn stalk for solid biofuel production: Optimization of process parameters and characterization of hydrochar. Energy 2019, 186, 115–125. [Google Scholar] [CrossRef]
- Mohammed, I.; Na, R.; Kushima, K.; Shimizu, N. Investigating the Effect of Processing Parameters on the Products of Hydrothermal Carbonization of Corn Stover. Sustainability 2020, 12, 5100. [Google Scholar] [CrossRef]
- Kumar, S.; Kothari, U.; Kong, L.; Lee, Y.; Gupta, R.B. Hydrothermal pretreatment of switchgrass and corn stover for production of ethanol and carbon microspheres. Biomass Bioenergy 2011, 35, 956–968. [Google Scholar] [CrossRef]
- Mosier, N.; Hendrickson, R.; Ho, N.; Sedlak, M.; Ladisch, M.R. Optimization of pH controlled liquid hot water pretreatment of corn stover. Bioresour. Technol. 2005, 96, 1986–1993. [Google Scholar] [CrossRef]
- Zhang, Y.; Jiang, Q.; Xie, W.; Wang, Y.; Kang, J. Effects of temperature, time and acidity of hydrothermal carbonization on the hydrochar properties and nitrogen recovery from corn stover. Biomass Bioenergy 2019, 122, 175–182. [Google Scholar] [CrossRef]
- Islam, T.; Saha, N.; Hernandez, S.; Klinger, J.; Reza, M. Integration of Air Classification and Hydrothermal Carbonization to Enhance Energy Recovery of Corn Stover. Energies 2021, 14, 1397. [Google Scholar] [CrossRef]
- Tu, R.; Sun, Y.; Wu, Y.; Fan, X.; Wang, J.; Cheng, S.; Jia, Z.; Jiang, E.; Xu, X. Improvement of corn stover fuel properties via hydrothermal carbonization combined with surfactant. Biotechnol. Biofuels 2019, 12, 249. [Google Scholar] [CrossRef] [PubMed]
- Shen, F.; Wang, Y.; Li, L.; Zhang, K.; Smith, R.L.; Qi, X. Porous carbonaceous materials from hydrothermal carbonization and KOH activation of corn stover for highly efficient CO2 capture. Chem. Eng. Commun. 2018, 205, 423–431. [Google Scholar] [CrossRef]
- Li, L.; Flora, J.R.; Caicedo, J.M.; Berge, N.D. Investigating the role of feedstock properties and process conditions on products formed during the hydrothermal carbonization of organics using regression techniques. Bioresour. Technol. 2015, 187, 263–274. [Google Scholar] [CrossRef]
- Hoekman, S.K.; Broch, A.; Robbins, C. Hydrothermal Carbonization (HTC) of Lignocellulosic Biomass. Energy Fuels 2011, 25, 1802–1810. [Google Scholar] [CrossRef]
- Becker, R.; Dorgerloh, U.; Helmis, M.; Mumme, J.; Diakité, M.; Nehls, I. Hydrothermally carbonized plant materials: Patterns of volatile organic compounds detected by gas chromatography. Bioresour. Technol. 2013, 130, 621–628. [Google Scholar] [CrossRef]
- Poerschmann, J.; Weiner, B.; Koehler, R.; Kopinke, F.D. Hydrothermal Carbonization of Glucose, Fructose, and XyloseIdentification of Organic Products with Medium Molecular Masses. ACS Sustain. Chem. Eng. 2017, 5, 6420–6428. [Google Scholar] [CrossRef]
- Urbanowska, A.; Kabsch-Korbutowicz, M.; Wnukowski, M.; Seruga, P.; Baranowski, M.; Pawlak-Kruczek, H.; Serafin-Tkaczuk, M.; Krochmalny, K.; Niedzwiecki, L. Treatment of Liquid By-Products of Hydrothermal Carbonization (HTC) of Agricultural Digestate Using Membrane Separation. Energies 2020, 13, 262. [Google Scholar] [CrossRef]
- Reza, M.T.; Becker, W.; Sachsenheimer, K.; Mumme, J. Hydrothermal carbonization (HTC): Near infrared spectroscopy and partial least-squares regression for determination of selective components in HTC solid and liquid products derived from maize silage. Bioresour. Technol. 2014, 161, 91–101. [Google Scholar] [CrossRef]
- Arauzo, P.J.; Olszewski, M.P.; Kruse, A. Hydrothermal Carbonization Brewer’s Spent Grains with the Focus on Improving the Degradation of the Feedstock. Energies 2018, 11, 3226. [Google Scholar] [CrossRef]
- Arauzo, P.; Du, L.; Olszewski, M.; Zavala, M.M.; Alhnidi, M.; Kruse, A. Effect of protein during hydrothermal carbonization of brewer’s spent grain. Bioresour. Technol. 2019, 293, 122117. [Google Scholar] [CrossRef]
- Putra, H.E.; Damanhuri, E.; Dewi, K.; Pasek, A.D. Production of Coal-Like Solid Fuel from Albizia Chinensis Sawdust via Wet Torrefaction Process. J. Ecol. Eng. 2020, 21, 183–190. [Google Scholar] [CrossRef]
- Reza, M.T.; Yan, W.; Uddin, M.H.; Lynam, J.G.; Hoekman, S.K.; Coronella, C.J.; Vásquez, V.R. Reaction kinetics of hydrothermal carbonization of loblolly pine. Bioresour. Technol. 2013, 139, 161–169. [Google Scholar] [CrossRef] [PubMed]
- Danso-Boateng, E.; Holdich, R.; Shama, G.; Wheatley, A.; Sohail, M.; Martin, S. Kinetics of faecal biomass hydrothermal carbonisation for hydrochar production. Appl. Energy 2013, 111, 351–357. [Google Scholar] [CrossRef]
- Álvarez-Murillo, A.; Sabio, E.; Ledesma, B.; Román, S.; González-García, C. Generation of biofuel from hydrothermal carbonization of cellulose. Kinetics modelling. Energy 2016, 94, 600–608. [Google Scholar] [CrossRef]
- Putra, H.E.; Djaenudin, D.; Damanhuri, E.; Dewi, K.; Pasek, A.D. Hydrothermal Carbonization Kinetics of Lignocellulosic Municipal Solid Waste. J. Ecol. Eng. 2021, 22, 188–198. [Google Scholar] [CrossRef]
- Yin, F.; Chen, H.; Xu, G.; Wang, G.; Xu, Y. A detailed kinetic model for the hydrothermal decomposition process of sewage sludge. Bioresour. Technol. 2015, 198, 351–357. [Google Scholar] [CrossRef]
- Guo, S.; Dong, X.; Wu, T.; Zhu, C. Influence of reaction conditions and feedstock on hydrochar properties. Energy Convers. Manag. 2016, 123, 95–103. [Google Scholar] [CrossRef]
- Gao, Y.; Wang, X.; Wang, J.; Li, X.; Cheng, J.; Yang, H.; Chen, H. Effect of residence time on chemical and structural properties of hydro-char obtained by hydrothermal carbonization of water hyacinth. Energy 2013, 58, 376–383. [Google Scholar] [CrossRef]
- Rather, A.M.; Khan, N.S.; Gupta, R. Hydrothermal carbonization of macrophyte Potamogeton lucens for solid biofuel: Production of solid biofuel from macrophyte Potamogeton lucens. Eng. Sci. Technol. Int. J. 2017, 20, 168–174. [Google Scholar]
- Putra, H.E.; Dewi, K.; Damanhuri, E.; Pasek, A.D. Conversion of organic fraction of municipal solid waste into solid fuel via hydrothermal carbonization. Int. J. Eng. Technol. 2018, 7, 4030–4034. [Google Scholar]
- Rather, M.A.; Khan, N.S.; Gupta, R. Catalytic hydrothermal carbonization of invasive macrophyte Hornwort (Ceratophyllum demersum) for production of hydrochar: A potential biofuel. Int. J. Environ. Sci. Technol. 2016, 14, 1243–1252. [Google Scholar] [CrossRef]
- Cao, Z.; Jung, D.; Olszewski, M.P.; Arauzo, P.J.; Kruse, A. Hydro-thermal carbonization of biogas digestate: Effect of digestate origin and process conditions. Waste Manag. 2019, 100, 138–150. [Google Scholar] [CrossRef] [PubMed]
- Heilmann, S.M.; Jader, L.R.; Sadowsky, M.J.; Schendel, F.J.; von Keitz, M.G.; Valentas, K.J. Hydrothermal carbonization of distiller’s grains. Biomass Bioenergy 2011, 35, 2526–2533. [Google Scholar] [CrossRef]
- Mäkelä, M.; Benavente, V.; Fullana, A. Hydrothermal carbonization of lignocellulosic biomass: Effect of process conditions on hydrochar properties. Appl. Energy 2015, 155, 576–584. [Google Scholar] [CrossRef]
- Wu, K.; Zhang, X.; Yuan, Q. Effects of process parameters on the distribution characteristics of inorganic nutrients from hydrothermal carbonization of cattle manure. J. Environ. Manag. 2018, 209, 328–335. [Google Scholar] [CrossRef] [PubMed]
- Tag, A.T.; Duman, G.; Yanik, J. Influences of feedstock type and process variables on hydrochar properties. Bioresour. Technol. 2018, 250, 337–344. [Google Scholar] [CrossRef]
- Putra, H.E.; Damanhuri, E.; Dewi, K.; Pasek, A.D. Hydrothermal carbonization of biomass waste under low temperature condition. MATEC Web Conf. 2018, 154, 01025. [Google Scholar] [CrossRef]
- Lu, X.; Pellechia, P.J.; Flora, J.R.; Berge, N.D. Influence of reaction time and temperature on product formation and characteristics associated with the hydrothermal carbonization of cellulose. Bioresour. Technol. 2013, 138, 180–190. [Google Scholar] [CrossRef] [PubMed]
- He, C.; Giannis, A.; Wang, J.-Y. Conversion of sewage sludge to clean solid fuel using hydrothermal carbonization: Hydrochar fuel characteristics and combustion behavior. Appl. Energy 2013, 111, 257–266. [Google Scholar] [CrossRef]
- Zhang, L.; Liu, S.; Wang, B.; Wang, Q.; Yang, G.; Chen, J. Effect of Residence Time on Hydrothermal Carbonization of Corn Cob Residual. Bioresources 2015, 10, 3979–3986. [Google Scholar] [CrossRef]
- Benavente, V.; Calabuig, E.; Fullana, A. Upgrading of moist agro-industrial wastes by hydrothermal carbonization. J. Anal. Appl. Pyrolysis 2015, 113, 89–98. [Google Scholar] [CrossRef]
- Kambo, H.S.; Dutta, A. Comparative evaluation of torrefaction and hydrothermal carbonization of lignocellulosic biomass for the production of solid biofuel. Energy Convers. Manag. 2015, 105, 746–755. [Google Scholar] [CrossRef]
- Lu, X.; Berge, N.D. Influence of feedstock chemical composition on product formation and characteristics derived from the hydrothermal carbonization of mixed feedstocks. Bioresour. Technol. 2014, 166, 120–131. [Google Scholar] [CrossRef]
- Lu, X.; Flora, J.R.V.; Berge, N.D. Influence of process water quality on hydrothermal carbonization of celulose. Bioresour. Technol. 2014, 154, 229–239. [Google Scholar] [CrossRef] [PubMed]
- Pala, M.; Kantarli, I.C.; Buyukisik, H.B.; Yanik, J. Hydrothermal carbonization and torrefaction of grape pomace: A comparative evaluation. Bioresour. Technol. 2014, 161, 255–262. [Google Scholar] [CrossRef] [PubMed]
- Śliz, M.; Wilk, M. A comprehensive investigation of hydrothermal carbonization: Energy potential of hydrochar derived from Virginia mallow. Renew. Energy 2020, 156, 942–950. [Google Scholar] [CrossRef]
- Sabio, E.; Álvarez-Murillo, A.; Román, S.; Ledesma, B. Conversion of tomato-peel waste into solid fuel by hydrothermal carbonization: Influence of the processing variables. Waste Manag. 2016, 47, 122–132. [Google Scholar] [CrossRef] [PubMed]
- Zhuang, X.; Zhan, H.; Song, Y.; He, C.; Huang, Y.; Yin, X.; Wu, C. Insights into the evolution of chemical structures in lignocellulose and non-lignocellulose biowastes during hydrothermal carbonization (HTC). Fuel 2018, 236, 960–974. [Google Scholar] [CrossRef]
- Guo, S.; Dong, X.; Wu, T.; Shi, F.; Zhu, C. Characteristic evolution of hydrochar from hydrothermal carbonization of corn stalk. J. Anal. Appl. Pyrolysis 2015, 116, 1–9. [Google Scholar] [CrossRef]
- Wang, T.; Zhai, Y.; Zhu, Y.; Li, C.; Zeng, G. A review of the hydrothermal carbonization of biomass waste for hydrochar formation: Process conditions, fundamentals, and physicochemical properties. Renew. Sustain. Energy Rev. 2018, 90, 223–247. [Google Scholar] [CrossRef]
- Jain, A.; Balasubramanian, R.; Srinivasan, M.P. Hydrothermal conversion of biomass waste to activated carbon with high porosity: A review. Chem. Eng. J. 2016, 283, 789–805. [Google Scholar] [CrossRef]
- Román, S.; Libra, J.; Berge, N.; Sabio, E.; Ro, K.; Li, L.; Ledesma, B.; Álvarez, A.; Bae, S. Hydrothermal Carbonization: Modeling, Final Properties Design and Applications: A Review. Energies 2018, 11, 216. [Google Scholar] [CrossRef]
- Maniscalco, M.P.; Volpe, M.; Messineo, A. Hydrothermal Carbonization as a Valuable Tool for Energy and Environmental Applications: A Review. Energies 2020, 13, 4098. [Google Scholar] [CrossRef]
- Nizamuddin, S.; Mubarak, N.M.; Tiripathi, M.; Jayakumar, N.S.; Sahu, J.N.; Ganesan, P. Chemical, dielectric and structural characterization of optimized hydrochar produced from hydrothermal carbonization of palm shell. Fuel 2016, 163, 88–97. [Google Scholar] [CrossRef]
- Sittisun, P.; Tippayawong, N.; Wattanasiriwech, D. Thermal Degradation Characteristics and Kinetics of Oxy Combustion of Corn Residues. Adv. Mater. Sci. Eng. 2015, 2015, 304395. [Google Scholar] [CrossRef]
- Román, S.; Nabais, J.M.V.; Laginhas, C.; Ledesma, B.; González, J.F. Hydrothermal carbonization as an effective way of densi-fying the energy content of biomass. Fuel Process. Technol. 2012, 103, 78–83. [Google Scholar] [CrossRef]
- Sermyagina, E.; Saari, J.; Kaikko, J.; Vakkilainen, E. Hydrothermal carbonization of coniferous biomass: Effect of process parameters on mass and energy yields. J. Anal. Appl. Pyrolysis 2015, 113, 551–556. [Google Scholar] [CrossRef]
- Sevilla, M.; Fuertes, A.B. The production of carbon materials by hydrothermal carbonization of cellulose. Carbon 2009, 47, 2281–2289. [Google Scholar] [CrossRef]
- Xing, X.; Fan, F.; Shi, S.; Li, Y.; Zhang, X.; Yang, J. Fuel Properties and Combustion Kinetics of Hydrochar Prepared by Hydrothermal Carbonization of Corn Straw. Bioresources 2016, 11, 9190–9204. [Google Scholar] [CrossRef]
- Hoskinson, R.L.; Karlen, D.L.; Birrell, S.J.; Radtke, C.W.; Wilhelm, W. Engineering, nutrient removal, and feedstock conversion evaluations of four corn stover harvest scenarios. Biomass Bioenergy 2007, 31, 126–136. [Google Scholar] [CrossRef]
- Regmi, P.; Moscoso, J.L.G.; Kumar, S.; Cao, X.; Mao, J.; Schafran, G. Removal of copper and cadmium from aqueous solution using switchgrass biochar produced via hydrothermal carbonization process. J. Environ. Manag. 2012, 109, 61–69. [Google Scholar] [CrossRef] [PubMed]
- Putra, H.E.; Damanhuri, E.; Dewi, K.; Pasek, A.D. Hydrothermal treatment of municipal solid waste into coal-like fuel. IOP Conf. Series: Earth Environ. Sci. 2020, 483, 012021. [Google Scholar] [CrossRef]
















| Process Parameters | 250 °C | |||||
|---|---|---|---|---|---|---|
| τ (min) | Biomass/H2O (-) | |||||
| 60 | 120 | 240 | 1:10 | 1:15 | 1:20 | |
| Mass of Corn Stover (g) | 600.66 | 600.31 | 600.10 | 600.10 | 600.11 | 600.28 |
| Mass of H2O (g) | 6000.20 | 6002.70 | 6000.70 | 6000.70 | 9003.10 | 12,007.00 |
| Hydro-Char | |||||||||||||||
|---|---|---|---|---|---|---|---|---|---|---|---|---|---|---|---|
| 250 °C, Biomass-to-H2O Ratio of 1:10 | 250 °C, 240 min | ||||||||||||||
| 60 (min) | 120 (min) | 240 (min) | 1:15 (gbiomass/gH₂O) | 1:20 (gbiomass/gH₂O) | |||||||||||
| CE | Mass (wt.%) | Atomic Mass (wt.%) | SD | Mass (wt.%) | Atomic Mass (wt.%) | SD | Mass (wt.%) | Atomic Mass (wt.%) | SD | Mass (wt.%) | Atomic Mass (wt.%) | SD | Mass (wt.%) | Atomic Mass (wt.%) | SD |
| C | 43.76 | 74.14 | 3.14 | 50.15 | 84.94 | 3.59 | 58.65 | 85.11 | 4.26 | 76.04 | 81.05 | 0.631 | 6.04 | 28.01 | 0.70 |
| O | 16.29 | 20.72 | 1.33 | 6.91 | 8.79 | 0.68 | 11.03 | 12.02 | 1.01 | 23.59 | 18.87 | 0.632 | 5.58 | 19.41 | 0.63 |
| Si | 0.75 | 0.54 | 0.05 | 0.50 | 0.32 | 0.04 | - | - | - | - | - | - | 5.09 | 10.09 | 0.18 |
| K | 0.17 | 0.09 | 0.03 | 1.02 | 0.53 | 0.05 | - | - | - | - | - | - | - | - | - |
| Ca | 1.06 | 0.54 | 0.05 | 2.73 | 1.39 | 0.08 | 0.48 | 0.21 | 0.04 | - | - | - | 2.60 | 3.61 | 0.10 |
| Mg | - | - | - | - | - | - | - | - | - | - | - | - | 0.33 | 0.77 | 0.04 |
| Al | - | - | - | - | - | - | - | - | - | - | - | - | 2.48 | 5.12 | 0.11 |
| S | - | - | - | - | - | - | - | - | - | - | - | - | 0.87 | 1.51 | 0.05 |
| Fe | - | - | - | - | - | - | - | - | - | - | - | - | 13.35 | 13.31 | 0.56 |
| Zn | - | - | - | - | - | - | - | - | - | 0.366 | 0.072 | 0.065 | - | - | - |
| Pt | 37.97 | 3.96 | 0.87 | 38.69 | 4.03 | 0.90 | 29.84 | 2.67 | 0.76 | - | - | - | 63.66 | 18.17 | 1.72 |
| Proximate, Ultimate and Elemental Analysis | Hydro-Char | ||
|---|---|---|---|
| 250 °C | |||
| τ (min) | |||
| 60 | 120 | 240 | |
| TS 60–105 °C (%MM) | 98.65 | 97.26 | 97.75 |
| OTS (%TS) | 89.17 | 92.61 | 88.49* |
| Ash (%TS) | 9.48 | 4.65 | 9.26 |
| N (%TS) | 0.5629 | 0.9846 | 0.8611 |
| C (%TS) | 50.57 | 55.74 | 59.17 |
| S (%TS) | 0.1885 | 0.2224 | 0.2353 |
| H (%TS) | 6.571 | 6.97 | 5.719 |
| O (%TS) | 32.63 | 31.40 | 24.75 |
| Process Parameters | 250 °C | ||
|---|---|---|---|
| τ (min) | |||
| 60 | 120 | 240 | |
| Mass of Corn Stover (g) | 600.66 | 600.31 | 600.10 |
| Mass of H2O (g) | 6000.20 | 6002.70 | 6000.70 |
| Mechanical Stirrer Speed (rpm) | 90 | 90 | 90 |
| Initial Temperature (°C) | 30 | 30 | 30 |
| Heating Rate (°C/min) | 2 | 2 | 2 |
| Mass of Slurry (g) | 6482.40 | 6402.20 | 6425.10 |
| Volume of Gas (mL), T = 25 °C, P = 1 atm | 8405 | 12,910 | 35,225 |
| Mass of Gas (g) | 13.195 | 20.656 | 57.495 |
| Process Loss (I) (g) | 105.265 | 200.81 | 118.205 |
| Input Mass of Slurry (Pressing) (g) | 6474.70 | 6335.10 | 6417.80 |
| Process Loss (II) (g) | 7.70 | 7.10 | 7.30 |
| Mas of Liquid Phase (g) | 5034.80 | 5321 | 5288.90 |
| Mass of Moist Biochar (g) | 1262.18 | 898.42 | 976.64 |
| Process Loss (III) (g) | 177.72 | 115.68 | 152.26 |
| Mass of Dried Biochar (g) | 318.19 | 263.88 | 214.99 |
| Mass of H2O(V) (g) | 943.99 | 634.54 | 761.65 |
| (Mas of Liquid Phase + Mass of H2O(V)) (g) | 5978.79 | 5955.54 | 6050.55 |
| Process Loss (I + II + III) (g) | 290.685 | 323.59 | 277.76 |
| Mass of LiquidReaction (g) | 269.275 | 315.774 | 327.61 |
| Yield of Hydro-char (wt.%) | 52.97 | 43.96 | 35.82 |
| Yield of Gas (wt.%) | 2.19 | 3.44 | 9.58 |
| Yield of Liquid Phase (wt.%) | 44.84 | 52.60 | 54.59 |
| Process Parameters | 250 °C | ||
|---|---|---|---|
| Biomass/H2O (-) | |||
| 1:10 | 1:15 | 1:20 | |
| Mass of corn stover (g) | 600.10 | 600.11 | 600.28 |
| Mass of H2O (g) | 6000.70 | 9003.10 | 12,007.00 |
| Mechanical Stirrer Speed (rpm) | 90 | 90 | 90 |
| Initial Temperature (°C) | 30 | 30 | 30 |
| Heating Rate (°C/min) | 2 | 2 | 2 |
| Process Time (min) | 240 | 240 | 240 |
| Mass of Slurry (g) | 6425.10 | 9488.90 | 11,893.90 |
| Volume of Gas (mL), T = 25 °C, P = 1 atm | 35,225 | 32,536 | 30,518 |
| Mass of Gas (g) | 57.495 | 52.546 | 48.534 |
| Process Loss (I) (g) | 118.205 | 61.764 | 664.846 |
| Input Mass of Slurry (Pressing) (g) | 6417.80 | 9476.40 | 11,890.20 |
| Process Loss (II) (g) | 7.30 | 12.50 | 3.70 |
| Mas of Liquid Phase (g) | 5288.90 | 8544.30 | 10,996.00 |
| Mass of Moist Biochar (g) | 976.64 | 851.06 | 782.45 |
| Process Loss (III) (g) | 152.26 | 81.04 | 111.75 |
| Mass of Dried Biochar (g) | 214.99 | 205.61 | 186.57 |
| Mass of H2O(V) (g) | 761.65 | 645.45 | 595.88 |
| (Mas of Liquid Phase + Mass of H2O(V)) (g) | 6050.55 | 9189.75 | 11,591.88 |
| Process Loss (I + II + III) (g) | 277.76 | 155.30 | 780.29 |
| Mass of LiquidReaction (g) | 327.61 | 341.95 | 365.17 |
| Yield of Solids (wt.%) | 35.82 | 34.26 | 31.08 |
| Yield of Gas (wt.%) | 9.58 | 8.75 | 8.08 |
| Yield of Liquid Phase (wt.%) | 54.59 | 56.98 | 60.83 |
| Kinetic Data [33,34,36,40,44,60,74,77] | Regression of Experimental Kinetic Data | |||||
|---|---|---|---|---|---|---|
| Process Parameters | Kinetic Parameters | |||||
| T (°C) | Biomass/H2O (-) | τ (min) | A | K (min−1) | R2 | |
| Xing et al. (2016) [74] | 260 | 1:8 | 0, 15, 30 | 50.33 | 0.19231 | 1.000 |
| Xing et al. (2016) [74] | 230 | 1:8 | 0, 15, 30 | 63.77 | 0.11880 | 1.000 |
| Putra et al. (2021) [40] | 210 | 1:10 | 0, 30, 60 | 59.54 | 0.14536 | 1.000 |
| Reza et al. (2014) [33] | 200 | 1:12 | 0, 20, 60, 180, 360 | 47.31 | 0.12266 | 1.000 |
| Reza et al. (2014) [33] | 250 | 1:12 | 0, 20, 60, 180, 360 | 34.44 | 0.11501 | 1.000 |
| Arauzo et al. (2018) [34] | 220 | 1:4 | 0, 120, 240 | 54.77 | 0.02199 | 1.000 |
| Putra et al. (2020) [36,77] | 230 | 1:10 | 0, 30, 60 | 57.84 | 0.14070 | 1.000 |
| Pala et al. (2014) [60] | 225 | 1:4 | 0, 10, 30, 60 | 58.50 | 0.33176 | 1.000 |
| Rather et al. (2017) [44] | 300 | 1:8 | 0, 10, 20, 30, 40 | 38.26 ± 0.71 | 0.2273–0.2835 | 0.999 |
| Teribele | 250 | 1:10 | 0, 60, 120, 240 | 36.79 | 0.02148 | 0.996 |
Disclaimer/Publisher’s Note: The statements, opinions and data contained in all publications are solely those of the individual author(s) and contributor(s) and not of MDPI and/or the editor(s). MDPI and/or the editor(s) disclaim responsibility for any injury to people or property resulting from any ideas, methods, instructions or products referred to in the content. |
© 2023 by the authors. Licensee MDPI, Basel, Switzerland. This article is an open access article distributed under the terms and conditions of the Creative Commons Attribution (CC BY) license (https://creativecommons.org/licenses/by/4.0/).
Share and Cite
Teribele, T.; Costa, M.E.G.; Sales da Silva, C.d.M.; Pereira, L.M.; Bernar, L.P.; de Castro, D.A.R.; da Costa Assunção, F.P.; Santos, M.C.; de Sousa Brandão, I.W.; Fonseca, C.J.N.; et al. Hydrothermal Carbonization of Corn Stover: Structural Evolution of Hydro-Char and Degradation Kinetics. Energies 2023, 16, 3217. https://doi.org/10.3390/en16073217
Teribele T, Costa MEG, Sales da Silva CdM, Pereira LM, Bernar LP, de Castro DAR, da Costa Assunção FP, Santos MC, de Sousa Brandão IW, Fonseca CJN, et al. Hydrothermal Carbonization of Corn Stover: Structural Evolution of Hydro-Char and Degradation Kinetics. Energies. 2023; 16(7):3217. https://doi.org/10.3390/en16073217
Chicago/Turabian StyleTeribele, Tiago, Maria Elizabeth Gemaque Costa, Conceição de Maria Sales da Silva, Lia Martins Pereira, Lucas Pinto Bernar, Douglas Alberto Rocha de Castro, Fernanda Paula da Costa Assunção, Marcelo Costa Santos, Isaque Wilkson de Sousa Brandão, Clícia Joana Neves Fonseca, and et al. 2023. "Hydrothermal Carbonization of Corn Stover: Structural Evolution of Hydro-Char and Degradation Kinetics" Energies 16, no. 7: 3217. https://doi.org/10.3390/en16073217
APA StyleTeribele, T., Costa, M. E. G., Sales da Silva, C. d. M., Pereira, L. M., Bernar, L. P., de Castro, D. A. R., da Costa Assunção, F. P., Santos, M. C., de Sousa Brandão, I. W., Fonseca, C. J. N., Shultze, M., Hofmann, T., Bremer, S. J., & Machado, N. T. (2023). Hydrothermal Carbonization of Corn Stover: Structural Evolution of Hydro-Char and Degradation Kinetics. Energies, 16(7), 3217. https://doi.org/10.3390/en16073217

