Next Article in Journal
A Comprehensive Evaluation of Off-Grid Photovoltaic Experiences in Non-Interconnected Zones of Colombia: Integrating a Sustainable Perspective
Next Article in Special Issue
Calculation Method of Theoretical Line Loss in Low-Voltage Grids Based on Improved Random Forest Algorithm
Previous Article in Journal
Towards a Power Production from 100% Renewables: The Italian Case Study
Previous Article in Special Issue
Demand Response Using Disturbance Estimation-Based Kalman Filtering for the Frequency Control
 
 
Font Type:
Arial Georgia Verdana
Font Size:
Aa Aa Aa
Line Spacing:
Column Width:
Background:
Article

Research on Optimization Strategy of Battery Swapping for Electric Taxis

1
School of Mechanical Engineering and Rail Transit, Changzhou University, Changzhou 213164, China
2
Jiangsu Province Engineering Research Center of High-Level Energy and Power Equipment, Changzhou University, Changzhou 213164, China
*
Author to whom correspondence should be addressed.
Energies 2023, 16(5), 2296; https://doi.org/10.3390/en16052296
Submission received: 20 January 2023 / Revised: 21 February 2023 / Accepted: 24 February 2023 / Published: 27 February 2023
(This article belongs to the Special Issue Advances and Optimization of Electric Energy System)

Abstract

Nowadays, sustainability-related issues have attracted growing attention due to fossil fuel depletion and environmental concerns. Considering many cities have gradually replaced taxis with electric vehicles (EVs), to reduce greenhouse gas emissions and traditional energy consumption, this paper studies the optimization strategy of battery swapping for electric taxis (ETs), and it is not only to ease congestion in the battery swapping station (BSS) but also for electric taxis to address their range anxiety and maximize their benefits. Firstly, based on the road network, the Dijkstra algorithm is adopted to provide the optimal path for ETs to BSSs with the minimum energy consumption. Then, this paper proposes the optimization objective function with minimum cost, which contains the battery service cost based on the battery’s state of charge, waiting cost caused by waiting for swapping battery in BSSs and the carbon emission reduction benefit generated during ETs driving to BSSs, and uses a mixed-integer linear programming (MILP) algorithm to solve this function. Finally, taking the Leisure Park of Laoshan City in Beijing as an example, the numerical simulation is carried out and the proposed battery swapping strategy is efficient to alleviate the congestion of BSSs and maximize the total benefit of ETs, and the cost based on the proposed strategy is 14.21% less than that of disorderly swapping.

1. Introduction

In the last few decades, sustainable development has attracted more and more attention due to fossil fuel consumption and greenhouse gas emissions. In 2018, about 28% of greenhouse gas emissions were directly relevant to the transport department according to the United States Environmental Protection Agency [1]. As an efficient, low-carbon and sustainable transportation mode, electric vehicles (EVs) are one of the effective means to mitigate the energy crisis and environmental pollution, and it has become the consensus of all countries in the world. While, as the basis for electric vehicle (EV) large-scale promotion, its power supply mode has also attracted more and more attention [2]. The notice on the Development Guidelines of Electric Vehicle Charging Infrastructure (2015–2020) implies that China has set the goal of constructing 2500 charging stations for electric taxis (ETs). Due to the unified production and purchase of taxis, it is feasible to have a unified standard battery [3].
Although charging mode is the primary energy supplement for EVs at present, and there has been progress in charging stations construction, many common problems remain in practice [4]. The EVs’ charging time depending on their capacity is longer than the refueling time of gasoline vehicles to meet the same driving needs. Generally, the battery capacity can be charged to 90% in 30 min to 2 h. Long charging time will not only prolong the waiting time but also shorten the operating time of the electric taxi (ET) and indirectly reduce its operating income, which has a demand for rapid energy supplement. Meanwhile, if the charging time is too long, the quality-of-service level for EV users will also be reduced due to the long charging queue. As a result, the probability of users arriving at charging stations for charging will be greatly reduced [5]. Furthermore, the disordered charging of EVs will have adverse effects on the power grid operation, including fluctuations in load, voltage and frequency; it is also unfavorable for EVs to realize their potential environmental benefits [6].
Compared with traditional charging modes, the battery swapping station (BSS) has many advantages and has become gradually popularized. Battery swapping, pioneered by Renault and Better Place, has been considered as a new model for the development of EVs. The battery swapping mode consists in replacing empty batteries with fully charged batteries to supply energy to EVs when the battery power is about to run out, which can provide a great convenience for EV users, and greatly improve the efficiency of the battery swapping station (BSSs) by shortening the energy supplement time in less than 5 min (usually 2~4 min). For ETs, the larger daily driving distance leads to more frequent charging demands, and BSSs are more suitable for them than charging stations [7,8]. As of 2014, 27 BSSs had operated in Hangzhou and serviced 723 EVs. Notably, power companies in several regions of China are implementing the battery swap model, primarily for ET fleets [9]. In Haikou, Longhua BSS had also been put into operation, which currently serves 253 ETs. In 2016, Aulton cooperated with BAIC New Energy to carry out the swapping operation of ETs in Beijing, Xiamen, Guangzhou and other places, and in 2020, they released the fourth generation of BSS, which took only 20 s to swap batteries. The most significant policy was issued in October 2021, and the Ministry of Industry and Information Technology decided to launch the pilot application of EV battery swapping mode in 11 cities, including Beijing, Nanjing, Wuhan, etc. The goal of these 11 cities is to build more than 1000 BSSs and serve more than 100,000 EVs. In January 2022, the “Implementation Opinions on Further Improving the Service Guarantee Capability of Charging and Switching Infrastructure” pointed out that the promotion and application of EV swapping mode should be strengthened. Many enterprises actively responded to the policy. Nowadays, some electrical vehicles such as NIO’s ET7, Autoro and Jilly can support swapping batteries and are already on the market. Furthermore, the most representative battery swapping stations are NIO and CATL. CATL is oriented to entire users while NIO can only provide battery swapping service to the users that purchase their own vehicles. By 2025, the BSS construction targets for NIO, Sinopec, GCL and Aulton are 4000, 5000, 6000 and 10,000, respectively [10,11].
EVs are moving forward in the market, in addition to these policy and technology promotions, academic research into BSS and charging behaviors of batteries is actively underway. An intelligent battery information management system was designed to charge swapped batteries in a management hub and then deliver them to a switching station via an optimized route with minimal supply chain costs. Nevertheless, the model assumes that all battery charging takes place only at the hub, which would result in many shipments of batteries increasing transportation costs [12]. A BSS model was proposed as a mediator between the power system and EV order [7]. It aimed to meet swapping demand and maximize its profits by buying electricity during low-price periods and selling electricity during high-price periods. However, the profits obtained by reselling electricity from batteries are unreal since the batteries’ degradation due to the frequent recharging cycles was not considered. A decision model was proposed to choose the location of a BSS serving EVs on freeways. The operation policy of the charging service provider was determined with the aim of preparing sufficient stock batteries for incoming swapping demand [13]. ET fleets will swap batteries many times every day, which is affecting significantly the charging behaviors of BSSs in [14] studying EVs’ swapping behaviors in battery swapping mode. An optimal charging mode is proposed, and it is demonstrated that the benefits of an optimal charging mode will be significantly improved on both the grid side and the generation side with the increase of EVs.
Although the BSS is the development direction and trend in the future, the percentage in cities is almost negligible and most people are still not comfortable with this technology, and it still faces many challenges due to its low proportion in some cities. Some of these factors that limit the widespread of BSSs are: firstly, the high cost of the construction and maintenance of the BSSs leads to a low number of the BSSs, for example, there is only 1.5% of the total number of public charging stations in Zhejiang Province [9], which will be far from enough to meet the needs of the population; secondly, although the process of battery swapping takes only a few minutes, if the number of available batteries in BSS is insufficient when the EVs arrive at the station, the EVs may have to wait in a line lasting for several hours. The problem of battery swapping is similar to the disadvantages of the charging mode, which seriously hinders the development of the battery swapping mode; thirdly, an inappropriate swapping price will directly affect the interests of the power system [15,16], the BSS, and the EVs, and uncoordinated charging of the empty batteries in the BSSs can also have a negative impact on the stable operation of the power system. Therefore, to reduce the above-mentioned problems, many researchers began to study the optimal scheduling of BSSs with regard to the careful management of the battery swapping service and BSSs operation. The research about swapping services examines, on the one hand, the scheduling of vehicles and, on the other hand, the scheduling of BSSs.
A new and feasible operational model of the BSS for EVs is presented to minimize the total cost with considerations for three aspects, the number of batteries taken from the stock to satisfy the swapping orders, charging damage of high-rate chargers, and electricity cost. A mathematical model of the charging process is developed based on a constant-current charging strategy. An integrated algorithm for determining the optimal charging schedule is proposed, inspired by genetic algorithms, differential evolution, and particle swarm algorithms [17]. Researchers in [18] gave a comprehensive EV network that included vehicles, charging stations, and coalitions of stations, and proposed a model where individual stations, coalitions of stations, and vehicles interact to reach a market equilibrium, and demonstrate that equilibrium could be found in the polynomial. The study [19] proposed an operational model of an electric vehicle exchange station considering the customers’ arrival, the variations of grid price, the grid connection limitations, and the batteries’ self-degradation, which determined the optimal charging, discharging, and swapping decisions for the battery stored with the objective to maximize the battery exchange station profit while satisfying the requirements of EVs. The BES operation optimization problem is formulated as a mixed-integer programming problem and solved as a day-ahead solution. The research in [20] proposed an optimal scheduling problem for customers of the BSSs, based on its current location and state-of-charge (SoC), subject to EV range constraints, grid operational constraints, and AC power flow equations assigning to each EV the best BSS to swap empty batteries, to minimize a weighted sum of EVs’ travel distance and electricity generation cost.
To bridge the aforementioned research gaps, based on the cooperation of BSSs, ETs, and road networks, this paper carries out a study on battery swapping optimization strategy for ETs with the minimum cost, which consists of battery service cost, waiting cost, and carbon emission reduction benefit.
According to the basic information in [19] and [21], Section 2 illustrates the operating mode and the specific structure of BSS system; Section 3.1 adopts the Dijkstra algorithm to minimize ETs’ energy consumption by providing them with the optimal path to BSSs, and to solve their mileage anxiety. Section 3.2 analyzes three main costs in the process of battery swapping: battery service cost, waiting cost and carbon emission reduction benefit, and proposes a waiting model based on BSS system operation model. Section 3.3 takes the minimum cost as the optimization objective and Section 3.4 uses mixed-integer linear programming (MILP) to solve the objective function. Section 4 carries out a numerical simulation and Section 5 gives the conclusions and discusses future studies. The main contributions of this study are as follows:
  • This study is for the condition that ETs have multiple options of BSSs, which establishes the optimization objective aiming at the minimum cost to guide ETs orderly swapping of batteries, and the decisions of ETs have a positive impact on the optimal operation of BSSs and ease their congestion.
  • At the same time, this study also establishes a model with the goal of minimum energy consumption, screening out the optimal path to each BSS, saving ETs unnecessary time of choosing the path, and at the same time alleviating traffic pressure.
  • This study proposes the BSS system operation in the mode of “centralized charging and unified distribution, supplemented by charging at BSSs”, which can reduce the charging load burden of BSSs.
  • This research takes the surrounding area of Laoshan Leisure Park in Beijing as an example, and the results show that the proposed battery swapping strategy can effectively reduce cost by 14.21%.

2. BSS System Structure

The ET battery swapping system consists of a centralized charging station (CCS), battery delivery station (BDS) and BSS, as shown in Figure 1.
To facilitate the management of battery charging and distribution fleet, this paper adopts a “centralized charging and unified distribution” mode [21]. In the centralized charging station, batteries are fully charged. These batteries are distributed to each BSS by battery delivery station according to the feedback information from BSS. As shown in Figure 1, the BSS consists of three main components: swapping area, waiting area, and charging area. When receiving the battery swapping request from ET, BSS will predict whether this ET needs to enter waiting area to queue for battery swapping when it arrives and begin to charge a reserve battery in fast charging mode, which fully charges battery in 30 min [22]. In addition, the current models of vehicles that can swap batteries are shown in the green dotted box in Figure 1. In order to focus more on the battery swapping strategy, and to facilitate the process of research, this study ignores the different battery configurations caused by different models of vehicles.

3. Battery Swapping Strategy

3.1. Path Optimization

In [23], it is pointed out that there was a linear relationship between the driving distance S and battery’s SoC, expressed as
S = 112.86 soc + 112.64
It should be noted that the initial value of  soc  (SoC0) in Equation (1) is 1. While at any SoC0, the SoC after ET driving distance S would become SoC1, and can be deduced as
SoC 1 =   SoC 0 Δ SoC =   SoC 0 ( 1 soc )
where ΔSoC is the charge difference generated by the driving distance S.
Substitute Equation (1) into Equation (2) and obtain
SoC 1 = SoC 0 ( 1 S 112.64 112.86 )
Different driving paths lead to different distances and driving energy consumption. To solve ET’s mileage anxiety, the optimal path is found with the goal of minimizing driving energy consumption. In [24], it is indicated that distance and speed are the main factors affecting energy consumption during driving. Assuming that the speed of ET is uniform and constant in any section, the energy consumption is linear with travel distance [25]. Then, the shortest path is also the path with the least energy consumption. As shown in Figure 2, O is the position where the last passenger got off. D represents any BSS to be selected by ET, and r represents any section in the road network. Sr is the length of section r. Then, the distance SOD can be expressed as
S OD = min r R S r
  SoC D = SoC 0 ( 1 S OD 112.64 112.86 )
while  ζ OD  is energy consumption of ET from O to D.
ζ OD = ( SoC D SoC 0 ) · E n = ( 1 S OD 112.64 112.86 ) · E n
where En stands for the rated capacity of battery.
To obtain SOD, this study adopts the Dijkstra algorithm to establish the path optimization model for finding the shortest path scheme and corresponding shortest distance from the starting point to each site. The Dijkstra algorithm defines the path with the minimum weight from a node to all other nodes in the network model as the optimal path, and the corresponding question is described as the optimal path searching problem. As a classic algorithm to solve the shortest path in graph theory, Dijkstra algorithm abstracts the road as an edge [26].
A road network, G = (N, R) can be considered as a weighted non-directed graph shown in Figure 2, where N = {O(n0), n1, n2, n3, n4, n5, D(n6)} and R = {r0, r1, r2, r3, r4, r5, r6, r7, r8} represent the collection of nodes and roads, respectively. Usually, the weight between two nodes, also known as the weight of edge, is referred as the distance between two nodes. which is represented by the weight matrix W = [dninj]6×6. If dninj = ∞, it means that there is no edge connection between ni and nj. O and D stand for the starting node and the destination node, respectively.
Initialize the parameters of the algorithm, and obtain the shortest distance d[ni] from the marked node ni to node O. Extract the smallest d as the next dynamic node before each iteration, and mark the previous node of each node in the shortest path as φ[n]. Under repeated forward iteration, find the shortest distance from node D to node O in the recorded information d[n6], and query the previous node of D according to φ[n6] until node O is found, so as to get the shortest path (as shown by the black dashed arrow in Figure 2). Finally, reversely output the path to obtain the real shortest path (as shown by the red arrow in Figure 2), then the corresponding shortest distance SOD, namely d[n6], and  ζ OD  can be calculated.

3.2. Battery Swapping Cost

3.2.1. Battery Service Cost (BSC)

  • Due to the continuous energy consumption in operation, ETs need to supplement energy, which generates a demand for battery replacement. When ETs sent a request for battery swapping to BSS, the intelligent navigation system would give the optimal path scheme, corresponding distance, and energy consumption to each BSS according to ET’s SoC, send the information to BSS, and receive the battery service cost fed back by BSS.
SoCij represents the SoC when ET i arrives at BSS j after driving distance Sij, it can be expressed as
SoC ij =   SoC i 0 ( 1 S ij 112.64 112.86 )
The corresponding energy consumption  ζ ij  can be deduced as
  ζ ij = ( 1 + S ij 112.64 112.86 ) · E n
The ET’s empty battery will be replaced with the fully battery in BSS, and the battery service cost  C ij rep  can be calculated as
C ij rep = pri rep · Δ E ij rep
Δ E ij rep = ( 0.9 SoC ij ) · E n
where  pri rep  is the unit price of electricity swapping.

3.2.2. Waiting Cost (WC)

Without the proper BSS-selection scheme, it is easy to cause congestion in some BSSs, while others are idling. In order to alleviate the congestion problem in BSS, this paper adopts a queuing mechanism to predict the ET waiting time from arriving at the station to swapping the battery.
BSS reserves a fully charged battery for the ET that has sent a battery swapping request. If there is no fully charged battery, BSS will charge an empty battery as soon as it receives the battery swapping request of ET. When the ET that is not reserved for a fully charged battery arrives at BSS, if there are new fully charged batteries (distributed from battery delivery station or charged fully in BSS), it can swap the battery directly without waiting, otherwise the ET will enter the queue and wait for a battery swap.
When the speed of the ET is v0, which is given as 60 km/h [27]. The travel time  t ij travel  of Sij can be calculated.
  t ij travel = S i j v 0
The charging time tjSoC of the reserve empty battery in BSS can be deduced as
t j SoC = E n · ( 0.9 SoC j ) P j
where Pj is the charging power of BSS j, kMh/min. SoCj is the initial charge state of the empty battery satisfied normal distribution [17,28], as shown in Figure 3.
  f ( x ) = 1 2 π e 1 2 u 2
Additionally, after receiving swapping battery request of ET i, BSS j will calculate its waiting time  T ij   wait  in station when ET i arrives at BSS j according to the number of fully charged batteries Nij.
N ij = N j 0 + N j new υ j · t ij travel
where  N j 0  represents the number of fully charged batteries in the station at the time of station receiving the request.  N j new  stands for the number of new fully charged batteries including those delivered as scheduled and those charged fully in the BSS during  T ij   wait . vj is arrival rate of BSS j, denoted as the number of ETs entering the BSS for battery swapping per minute.
If, Nij > 0, ET i does not need to wait, otherwise, it does. The  T ij   wait  can be expressed as
T ij   wait = { min { t ij ch , t ij de } 0 N ij 0 N ij > 0
t ij ch = t j   SoC t ij travel
t ij de = t j   de t ij travel
where  t ij de  is the time of ET i waiting for the delivered batteries in BSS j t j   de  represents the time required to deliver the battery to BSS j as scheduled, calculated by BSS at the same initial time of  t ij travel .
The operation loss of ET caused by waiting for battery swapping is called waiting cost  C ij wait , expressed as
C ij wait = pri wait · T ij   wait
where  pri wait  is the unit price of operation benefit.

3.2.3. Carbon Emission Reduction Benefit (CERB)

Compared with traditional gasoline taxis, ETs can effectively reduce carbon emissions. The carbon emission reduction  Δ E ij carbon  when the ET driving distance Sij can be expressed as
Δ E ij carbon = Sij   ( g 0 e 0 )
where e0 and g0 represent the carbon emission coefficients of ETs and gasoline taxis, respectively.
Then, the carbon emission reduction benefit  C ij carbon  is deduced as
C ij carbon = pri carbon · Δ E ij carbon
where  pri carbon  is the unit price of carbon trading specified by the power grid.

3.3. Optimization Objective

The optimal path has ensured the minimum energy consumption, that is, the minimum driving cost, when the ET arrives at the BSS. Therefore, only service cost, waiting cost, and carbon emission reduction benefit can be considered when optimizing power swapping strategy with minimum cost. Assuming that the number of ETs sending battery swapping requests at a certain time is NE and the number of BSSs is NB, the optimization objective is to minimize the total battery swapping cost C of ETs.
Minimize C
C = i N E j N B χ ij ( C ij rep + C ij wait + C ij carbon )
Subject to
j N B χ ij = 1
i N E υ j · t ij travel · χ ij + M j 0 M j
SoC ijmin SoC ij SoC ijmax
S ij · q E n · χ ij ζ ij
where  χ ij  is a 0–1 decision variable. “1” and “0” indicate that ET i selects or does not select BSS j to swap battery. Mj is the maximum number of ETs accommodated in BSS j and Mj0 is the number of ETs in BSS j when the ET sends a battery swapping request. SoCijmin and SoCijmax are the minimum and maximum SoC when ET i arrives at BSS j, respectively. q is the electricity consumption per kilometer.

3.4. Solution

The optimization objective proposed in this paper is a single-objective minimization model with linear constraints. In linear programming issues, some optimal solutions may be decimals, but for some specific problems, the solutions of certain variables must be integers. In some cases, the non-integer solution is rounded to meet the integer requirement, but the rounded solution is not necessarily the optimal solution [29]. In this study, the optimization problem of ETs battery swapping is expressed as a 0–1 Integer Programming model and solved by Matlab based on MILP [30]. As an effective mathematical modeling approach, MILP can solve complex optimization tasks and identify the potential trade-offs between conflicting objectives.
First of all, convert the objective function to standard form:
min C = Z T · x
subject   to   { Aeq · x = beq A · x b lb x ub
x = [   χ 11 , χ 12 χ 1 N B , χ 21 χ i j χ N E N B   ] T
Z = [ C 11 rep + C 11 wait C 11 carbon C 1 j rep + C 1 j wait C 1 j carbon C 1 N B rep + C 1 N B wait C 1 N B carbon C i 1 rep + C i 1 wait C i 1 carbon C i j rep + C i j wait C i j carbon C i N B rep + C i N B wait C i N B carbon C N E 1 rep + C N E 1 wait C N E 1 carbon C N E j rep + C N E j wait C N E j carbon C N E N B rep + C N E N B wait C N E N B carbon ]
where NE and NB are the numbers of ETs and BSSs. Aeq is a matrix with NE rows and (NE × NB) columns. beq is a unit column vector with NE rows. lb and ub are zero vector and unit column vector with (NE × NB) rows, respectively. A and b are determined by the inequality constraints (23)~(25).
This paper adopts MILP to solve the objective function by the intlinprog function of Matlab, and the flowchart is shown in Figure 4.

4. Simulation and Analysis

4.1. Solution

Figure 5 shows the road network around Beijing Laoshan City Leisure Park, obtained from the Road Network Map of China. For better simulation, we abstracted Figure 5 into Figure 6, which shows a simulation road network including 4 ET location nodes marked in red, 3 BSS nodes marked in yellow, 8 general nodes, and 23 road segments. The main parameters of simulation are listed in Table 1, Table 2, Table 3 and Table 4. We assume that all ETs sent requests at twelve PM. SoC0 in Table 2 is randomly generated on the basis of ETs’ swapping needs in Laoshan City according to [31],  N j 0  and vj in Table 3 is randomly generated within a reasonable range according to [32].

4.2. Results and Discussion

Based on the Dijkstra algorithm, the optimal paths and corresponding distance between all ETs and BSSs are obtained, as shown in Table 5.
After receiving the battery swapping requests, BSS predicts the SoC of ETs when they arrived combined with road traffic conditions, and gives the predicted SoC back to the ETs for alleviating their mileage anxiety. Table 6 shows the SoC of the ET arriving at various BSSs.
According to Equations (11)–(17), the total time required for the ET to swap their battery at each BSS can be calculated and is listed in Table 7.
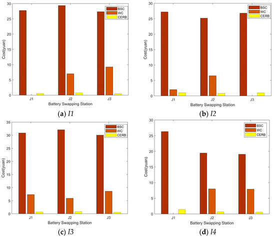
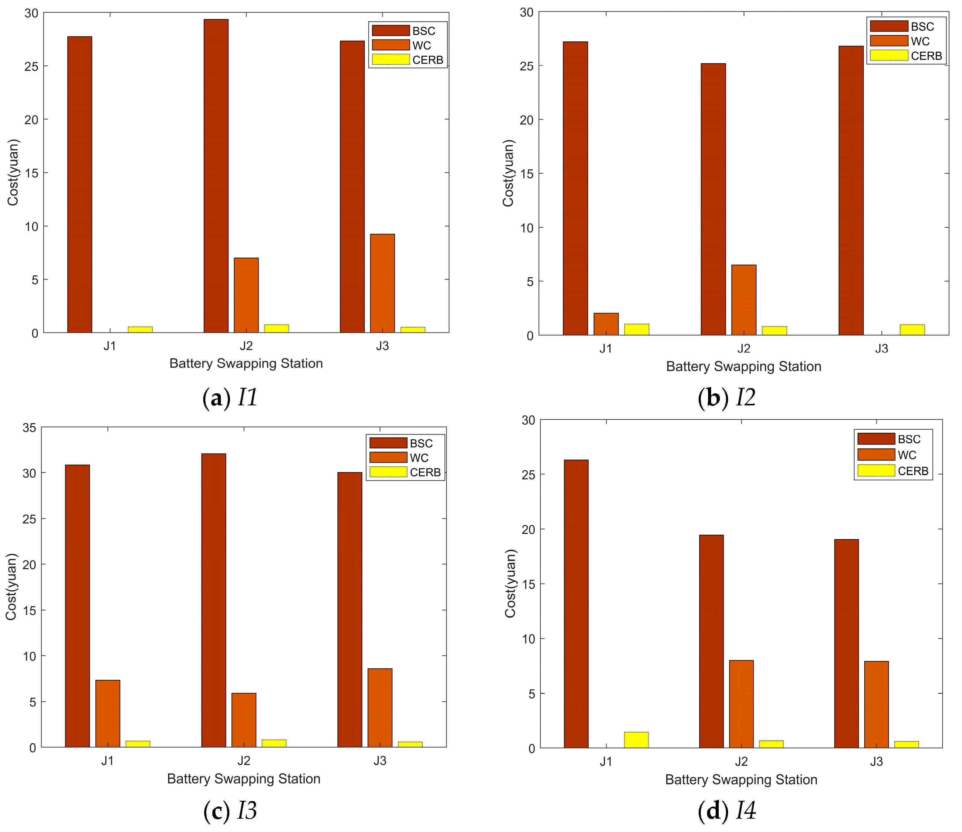
Figure 7 shows the detailed cost of swapping battery of each ET.
The total swapping battery cost is listed in Table 8.
Based on the objective function of minimizing the total cost of swapping batteries, the final optimal battery swapping scheme and cost are shown in Table 9.
If ET does not follow BSS guidance strategy and selects nearby BSS according to map navigation, the results are shown in Table 10.
In Table 10, seventy-five percent of ETs choose BSS J3, which is easy to lead to uneven allocation of resources in BSSs. This study proposes the swapping battery strategy with the least cost objective can achieve effective scheduling. I1I4 select three BSSs to swap battery and the total cost of four ETs can be reduced by 14.21%.

5. Conclusions

This study mainly carries out the research on the optimization strategy of ET’s battery swapping. After adopting the Dijkstra algorithm to optimize the path of ET battery swapping, an optimization model with the minimum battery swapping cost, which is based on the SoC when ET arriving at BSS, waiting time, and carbon emission reduction benefits generated during driving, is established. Finally, according to the road network information of Laoshan City in Beijing, the numerical simulation is carried out and the results show that the proposed optimal strategy is efficient to reduce the total battery swapping cost of ETs, 14.21% less than that of disorderly swapping. Meanwhile, it can solve ETs mileage anxiety and reduce the waiting time for ETs to swap the battery.
In the path optimization model, the ETs’ speed is assumed to be uniform and constant during driving. However, considering the characteristics of time-varying road network, the ETs’ speed is random and path optimization for battery swapping is a goal of our further work. Moreover, this study researches the battery swapping request at a certain time. Therefore, how to establish the dynamic operation model of BSS for random swapping demand in a day is another goal of our further work. Finally, this study assumes that the batteries are uniform, so the optimization decision of BSSs when considering different batteries is also our follow-up work.

Author Contributions

Conceptualization, Y.H. and H.Q.; methodology, Y.H.; software, Y.H.; validation, Y.H.; formal analysis, Y.H. and H.Q.; investigation, Y.H. and W.T.; writing—original draft preparation, Y.H.; writing—review and editing, Y.H.; visualization, H.Q.; supervision, H.Q.; resources, X.Z. All authors have read and agreed to the published version of the manuscript.

Funding

This research was funded by the Postgraduate Research and Practice Innovation Program of Jiangsu Province under the grant number [SJCX21_1272].

Data Availability Statement

Not applicable.

Conflicts of Interest

The authors declare no conflict of interest.

Abbreviations

ETElectric Taxi
OCMOptimal Charging Mode
EV Electric Vehicle
ETs Electric Taxis
BSSBattery Swapping Station
BSSsBattery Swapping Stations
BDSBattery Delivery Station
CCS Centralized Charging Station
BSCBattery Swapping Cost
WC Waiting Cost
CERB Carbon Emission Reduction Benefit
MILP Mixed-Integer Linear Programming
SoC State of Charge

References

  1. Duan, G.; Fan, T.; Chen, X.; Chen, L.; Ma, J. A hybrid algorithm on the vessel routing optimization for marine debris collection. Expert Syst. Appl. 2021, 182, 115198. [Google Scholar] [CrossRef]
  2. Florent, Q.; Enrico, B. Agent-based modelling for assessing hybrid and electric cars deployment policies in Luxembourg and Lorraine. Transp. Res. Part A 2014, 70, 149–161. [Google Scholar]
  3. Liang, Y.; Zhang, X. Battery swap pricing and charging strategy for electric taxis in China. Energy 2018, 147, 561–577. [Google Scholar] [CrossRef]
  4. Painuli, S.; Rawat, M.S.; Rayudu, D.R. A Comprehensive Review on Electric Vehicles Operation, Development and Grid Stability. In Proceedings of the 2018 International Conference on Power Energy, Environment and Intelligent Control (PEEIC), Greater Noida, India, 13–14 April 2018; IEEE: Greater Noida, India; Volume 18512459, pp. 807–814. [Google Scholar]
  5. Clairand, J.; González-Rodríguez, M.; Kumar, R.; Vyas, S.; Escrivá-Escrivá, G. Optimal siting and sizing of electric taxi charging stations considering transportation and power system requirements. Energy 2022, 256, 124572. [Google Scholar] [CrossRef]
  6. Florian, S.; Jens, P.I.; Christoph, M.F.; Hauke, B.; Clemens, V.D. Impact of electric vehicles on distribution substations: A Swiss case study. Appl. Energy 2015, 137, 88–96. [Google Scholar]
  7. Sarker, M.R.; Pandzic, H.; Ortega-Vazquez, M.A. Optimal Operation and Services Scheduling for an Electric Vehicle Battery Swapping Station. IEEE Trans. Power Syst. A Publ. Power Eng. Soc. 2015, 30, 901–910. [Google Scholar] [CrossRef]
  8. Zhao, X.; Yang, Y.; Xu, Q. Day-ahead robust optimal dispatch of integrated energy station considering battery exchange service. J. Energy Storage 2022, 50, 104228. [Google Scholar] [CrossRef]
  9. Tan, Y.; Fukuda, H.; Li, Z.; Wang, S.; Gao, W.; Liu, Z. Does the public support the construction of battery swapping station for battery electric vehicles?—Data from Hangzhou, China. Energy Policy 2022, 163, 112858. [Google Scholar] [CrossRef]
  10. Ahmad, N.H.; Rusdiansyah, A.; Wikarta, A. The Design of Model and Inventory Routing Problem (IRP) Algorithm for Swapped Battery at Battery Exchange Station (BES): Case Study of Electric Motor. In Proceedings of the 2019 Asia Pacific Conference on Research in Industrial and Systems Engineering (APCoRISE), Depok, Indonesia, 18–19 April 2019; IEEE: Depok, Indonesia; Volume 20366849, pp. 1–6. [Google Scholar]
  11. Chen, Z.; Zhou, C.; Qin, H.; Cheng, M.; Lu, C.; Lin, X. Research on Capacity Optimization of Power Station for Electric Taxi Distribution Network. In Proceedings of the 2022 7th International Conference on Power and Renewable Energy (ICPRE), Shanghai, China, 23–26 September 2022; IEEE: Shanghai, China; Volume 22334992, pp. 319–324. [Google Scholar]
  12. Wong, D.W.; Choy, K.L.; Lin, C.; Lam, H.Y.; Lee, C.K.H.; Chow, H.K.; Pang, G.K. An intelligent battery information management system to support information sharing and vehicle routing planning for battery distribution in Hong Kong. Int. J. Innov. Sustain. Dev. 2015, 9, 1–27. [Google Scholar] [CrossRef]
  13. Mak, H.; Rong, Y.; Shen, Z.M. Infrastructure Planning for Electric Vehicles with Battery Swapping. Manag. Sci. 2013, 59, 1557–1575. [Google Scholar] [CrossRef]
  14. Rao, R.; Xingping, Z.; Jian, X.; Liwei, J. Optimizing electric vehicle users’ charging behavior in battery swapping mode. Appl. Energy 2015, 155, 547–559. [Google Scholar] [CrossRef]
  15. Heike, L. Is car drivers’ response to congestion charging schemes based on the correct perception of price signals? Transp. Res. Part A Policy Pract. 2015, 71, 96–109. [Google Scholar]
  16. Xingping, Z.; Yanni, L.; Wenfeng, L. Pricing model for the charging of electric vehicles based on system dynamics in Beijing. Energy 2017, 119, 218–234. [Google Scholar]
  17. Yanni, L.; Xingping, Z.; Jian, X.; Wenfeng, L.; Yongrok, C. An Optimal Operation Model and Ordered Charging/Discharging Strategy for Battery Swapping Stations. Sustainability 2017, 9, 700. [Google Scholar]
  18. Edgar, R.M.; Ghazal, R.; Li, Z.; Faryar, J. Electric vehicle charging algorithms for coordination of the grid and distribution transformer levels. Energy 2016, 113, 930–942. [Google Scholar]
  19. Zaher, G.K.; Shaaban, M.F.; Mokhtar, M.; Zeineldin, H.H. Optimal operation of battery exchange stations for electric vehicles. Electr. Power Syst. Res. 2021, 192, 106935. [Google Scholar] [CrossRef]
  20. You, P.; Low, S.H.; Tushar, W.; Geng, G.; Yuen, C.; Yang, Z.; Sun, Y. Scheduling of EV Battery Swapping—Part I: Centralized Solution. IEEE Trans. Control. Netw. Syst. 2017, 5, 1887–1897. [Google Scholar] [CrossRef]
  21. Lv, W.M. Research on Battery Logistics Operation in Electric Vehicle Changing Network. Master’s Thesis, Dalian Maritime University, Dalian, China, June 2019. [Google Scholar]
  22. Yu, H.; Liu, W.; Wen, X. Charging Load Forecast of Electric Taxis Based on Reinforcement Learning. Shandong Electr. Power Shandong China 2022, 49, 7–14. [Google Scholar]
  23. Bi, J.; Zhang, J.; Zhang, D.; Chen, Y. A Correlation Analysis and Modeling for Battery SOC and Driving Mileage of Electric Vehicle. Transp. Syst. Eng. Inf. Technol. Shandong China 2015, 15, 49–54. [Google Scholar]
  24. Guido, W.; Jonathan, W.; Thomas, B. Driving electric vehicles at highway speeds: The effect of higher driving speeds on energy consumption and driving range for electric vehicles in Australia. Renew. Sustain. Energy Rev. 2016, 63, 158–165. [Google Scholar]
  25. Zhang, T.; Bi, J.; Wang, P.; Li, L. Modeling and Analysis of the Driving Range for Electric Passenger Vehicles Based on Robust Regression Analysis. In Proceedings of the Chinese Intelligent Automation Conference, Tianjin, China, 2 June 2017; Springer: Singapore, 2017; pp. 295–302. [Google Scholar]
  26. Wang, C.; Wang, K.; Tao, J.; Zhou, Y. Research on Real-Time Optimal Path Planning Model and Algorithm for Ship Block Transportation in Shipyard. J. Mar. Sci. Eng. 2020, 8, 991. [Google Scholar] [CrossRef]
  27. Yu, H.; Huang, M.; Li, S. Electric Taxi Charging Demand Forecasting and Charging Pile Incremental Planning Considering Trip Record Data. Shandong Electr. Power Shandong China 2022, 49, 28–49. [Google Scholar]
  28. Cao, Y.; Wang, T.; Kaiwartya, O.; Min, G.; Ahmad, N.; Abdullah, A.H. An EV Charging Management System Concerning Drivers’ Trip Duration and Mobility Uncertainty. IEEE Trans. Syst. Man Cybern. Syst. 2018, 48, 596–607. [Google Scholar] [CrossRef]
  29. Cao, P.; Liu, M. PMU placement method based on improved integer programming method combined with zero injection buses. Power Syst. Prot. Control. Guizhou China 2021, 49, 143–150. [Google Scholar]
  30. Williams, H.P. Integer programming. In Logic and Integer Programming; Springer: Boston, MA, USA, 2009; pp. 25–70. [Google Scholar]
  31. Wang, Y.X. Research on Guidance Strategies and Optimization for Electric Vehicle Charging Service. Ph.D. Thesis, Beijing Jiaotong University, Beijing, China, June 2020. [Google Scholar]
  32. Liang, M.L. Research on Operation Mode and Strategy of New Energy Vehicle Changing Station. Master’s Thesis, North China Electric Power University, Beijing, China, May 2022. [Google Scholar]
Figure 1. Schematic diagram of EV battery swapping system.
Figure 1. Schematic diagram of EV battery swapping system.
Energies 16 02296 g001
Figure 2. Schematic diagram of path optimization.
Figure 2. Schematic diagram of path optimization.
Energies 16 02296 g002
Figure 3. The probability distribution of battery State of Charge.
Figure 3. The probability distribution of battery State of Charge.
Energies 16 02296 g003
Figure 4. Flowchart of MILP algorithm.
Figure 4. Flowchart of MILP algorithm.
Energies 16 02296 g004
Figure 5. The road network around Beijing Laoshan City Leisure Park.
Figure 5. The road network around Beijing Laoshan City Leisure Park.
Energies 16 02296 g005
Figure 6. Simulation of road network.
Figure 6. Simulation of road network.
Energies 16 02296 g006
Figure 7. Detailed cost of swapping battery.
Figure 7. Detailed cost of swapping battery.
Energies 16 02296 g007
Table 1. Length of each section in the road network.
Table 1. Length of each section in the road network.
SectionDistance (km)SectionDistance (km)SectionDistance (km)
1–275–649–135
1–565–91210–117
1–856–7810–145
2–3106–10611–158
3–468–91213–144
3–698–12414–155
4–749–1010
Table 2. Basic situation of ETs.
Table 2. Basic situation of ETs.
ETFurthest Distance (km)SoC0SoCi0·En (kWh)
I1600.524
I2480.419.2
I3420.3516.8
I4720.628.8
Table 3. Fundamental situation of BSSs.
Table 3. Fundamental situation of BSSs.
BSS   N j 0   vj (Vehicles/min)
J1141.097
J2120.876
J380.785
Table 4. Essential situation of BDSs [21].
Table 4. Essential situation of BDSs [21].
BDS-BSSDelivery TimeDelivery Quantity
Q1-J112:4035
Q2-J212:3025
Q3-J312:2520
Table 5. The optimal path and distance of each ET.
Table 5. The optimal path and distance of each ET.
ETBSSsOptimal PathDistance (km)
141, 5, 6, 7, 422
91, 8, 917
141, 5, 6, 10, 1421
646, 7, 412
96, 5, 916
146, 10, 1411
11411, 7, 414
911, 10, 917
1411, 10, 1412
12412, 8, 1, 5, 6, 7, 431
912, 13, 914
1412, 13, 1413
Table 6. SoCij of ET i.
Table 6. SoCij of ET i.
BSSJ1J2J3
State of Charge
ET
I10.3031 0.3474 0.3120
I20.2917 0.2563 0.3006
I30.2240 0.1974 0.2417
I40.3234 0.4740 0.4829
Table 7. The total time of each ET.
Table 7. The total time of each ET.
BSSJ1J2J3
Time/min
ET
I128.83021
I2123025
I338.428.825
I4313025
Table 8. The total cost.
Table 8. The total cost.
BSSJ1J2J3
Cost/yuan
ET
I128.2330.9025.83
I227.1835.6036.06
I337.4937.1438.04
I424.8426.7726.33
Table 9. Final optimal scheme and cost.
Table 9. Final optimal scheme and cost.
ETOptimal RouteDistance/kmTotal Time/minC/yuan
I15—6—10—>J3222125.83
I27—>J1121227.18
I310—>J21728.837.14
I48—1—5—6—7—>J1313124.84
Table 10. Cost of various selecting.
Table 10. Cost of various selecting.
StrategyBSSC/yuan
Selecting nearby BSSI1——J2; I2——J3
I3——J3; I4——J3
131.33
OursI1——J3; I2——J1
I3——J2; I4——J1
114.99
Disclaimer/Publisher’s Note: The statements, opinions and data contained in all publications are solely those of the individual author(s) and contributor(s) and not of MDPI and/or the editor(s). MDPI and/or the editor(s) disclaim responsibility for any injury to people or property resulting from any ideas, methods, instructions or products referred to in the content.

Share and Cite

MDPI and ACS Style

Qiang, H.; Hu, Y.; Tang, W.; Zhang, X. Research on Optimization Strategy of Battery Swapping for Electric Taxis. Energies 2023, 16, 2296. https://doi.org/10.3390/en16052296

AMA Style

Qiang H, Hu Y, Tang W, Zhang X. Research on Optimization Strategy of Battery Swapping for Electric Taxis. Energies. 2023; 16(5):2296. https://doi.org/10.3390/en16052296

Chicago/Turabian Style

Qiang, Hao, Yanchun Hu, Wenqi Tang, and Xiaohua Zhang. 2023. "Research on Optimization Strategy of Battery Swapping for Electric Taxis" Energies 16, no. 5: 2296. https://doi.org/10.3390/en16052296

APA Style

Qiang, H., Hu, Y., Tang, W., & Zhang, X. (2023). Research on Optimization Strategy of Battery Swapping for Electric Taxis. Energies, 16(5), 2296. https://doi.org/10.3390/en16052296

Note that from the first issue of 2016, this journal uses article numbers instead of page numbers. See further details here.

Article Metrics

Back to TopTop